Diversity and Pathogenesis of Common Human and Animal Viruses: Second Edition

A special issue of Microorganisms (ISSN 2076-2607). This special issue belongs to the section "Virology".

Deadline for manuscript submissions: closed (31 July 2025) | Viewed by 1208

Special Issue Editors


E-Mail Website
Guest Editor
Department of Microbiology and Immunology, College of Medicine and Health Sciences, Sultan Qaboos University, Muscat P.O. Box 123, Oman
Interests: virus diagnosis; IBV; bocavirus; influenza virus; coronaviruses; paediatric viruses; avian viruses
Special Issues, Collections and Topics in MDPI journals

E-Mail Website
Guest Editor
Faculty of Medicine, King George’s Medical University (KGMU), Lucknow 226003, India
Interests: novel viruses; virus transmission; virus evolution; molecular virology; virus-host interaction
Special Issues, Collections and Topics in MDPI journals

E-Mail Website
Guest Editor
Department of Food Science, University of Massachusetts, Amherst, MA, USA
Interests: food microbiology; food and environmental virology; eukaryotic virus-bacteria interactions; portable detection and sequencing platforms; viral inactivation strategies and therapeutics; viral concentration techniques
Special Issues, Collections and Topics in MDPI journals

Special Issue Information

Dear Colleagues,

We are excited to present a captivating Special Issue titled "Diversity and Pathogenesis of Common Human and Animal Viruses: Second Edition", with which we hope to captivate scholars across diverse scientific domains. In an era of dynamic viral evolution and its implications for human and animal health and beyond, this Special Issue serves as a dynamic platform to explore the multifaceted landscape of human and animal viruses, shedding light on their diversity, mechanisms of pathogenesis, vaccine hesitancy and public health impacts. We invite scholars to delve into the intricate world of viral infections in the animal kingdom. With viral diseases posing ongoing threats to humans, domesticated animals, and wildlife, understanding the intricate mechanisms underlying viral diversity and pathogenesis is of paramount importance. The key focal points of this Special Issue include the following:

  • Viral Diversity Across Species: We invite researchers to explore the diverse range of human and animal viruses affecting different species, exploring the factors that contribute to viral host range and cross-species transmission.
  • Molecular Insights into Pathogenesis: Scholars are encouraged to delve into the molecular intricacies driving viral pathogenesis, offering insights into viral entry, replication, immune evasion, and resultant disease progression.
  • One Health Perspectives: This Special Issue emphasizes the interconnectedness of animal, human, and environmental health. Articles exploring the One Health approach to understanding and combating viral diseases will be a cornerstone of this Special Issue.
  • Emerging Viral Threats: Contributors are invited to shed light on newly emergent viruses, elucidating their origins, modes of transmission, and potential pandemic risks, as exemplified by zoonotic diseases.
  • Innovative Control Strategies: Scholars are encouraged to present cutting-edge strategies for controlling viral infections, ranging from vaccine development to antiviral therapies and biosecurity measures, as well as vaccine hesitancy.
  • Epidemiology and Surveillance: This Special Issue underscores the pivotal role of epidemiology and surveillance in tracking and managing viral diseases, offering insights into disease dynamics, transmission patterns, disease awareness and outbreak preparedness.

We invite scholars to contribute original research, reviews, and perspectives that illuminate the complex realm of viruses. By fostering interdisciplinary dialogues, we will uncover novel insights into viral diversity and pathogenesis, catalyzing advancements in human and veterinary medicine, conservation, and public health.

Prof. Dr. Ahmed Sayed Abdel-Moneim
Prof. Dr. Shailendra K. Saxena
Dr. Matthew D. Moore
Guest Editors

Manuscript Submission Information

Manuscripts should be submitted online at www.mdpi.com by registering and logging in to this website. Once you are registered, click here to go to the submission form. Manuscripts can be submitted until the deadline. All submissions that pass pre-check are peer-reviewed. Accepted papers will be published continuously in the journal (as soon as accepted) and will be listed together on the special issue website. Research articles, review articles as well as short communications are invited. For planned papers, a title and short abstract (about 100 words) can be sent to the Editorial Office for announcement on this website.

Submitted manuscripts should not have been published previously, nor be under consideration for publication elsewhere (except conference proceedings papers). All manuscripts are thoroughly refereed through a single-blind peer-review process. A guide for authors and other relevant information for submission of manuscripts is available on the Instructions for Authors page. Microorganisms is an international peer-reviewed open access monthly journal published by MDPI.

Please visit the Instructions for Authors page before submitting a manuscript. The Article Processing Charge (APC) for publication in this open access journal is 2700 CHF (Swiss Francs). Submitted papers should be well formatted and use good English. Authors may use MDPI's English editing service prior to publication or during author revisions.

Keywords

  • human viruses
  • animal viruses
  • pathogenesis
  • influenza virus
  • avian virus

Benefits of Publishing in a Special Issue

  • Ease of navigation: Grouping papers by topic helps scholars navigate broad scope journals more efficiently.
  • Greater discoverability: Special Issues support the reach and impact of scientific research. Articles in Special Issues are more discoverable and cited more frequently.
  • Expansion of research network: Special Issues facilitate connections among authors, fostering scientific collaborations.
  • External promotion: Articles in Special Issues are often promoted through the journal's social media, increasing their visibility.
  • Reprint: MDPI Books provides the opportunity to republish successful Special Issues in book format, both online and in print.

Further information on MDPI's Special Issue policies can be found here.

Published Papers (1 paper)

Order results
Result details
Select all
Export citation of selected articles as:

Research

12 pages, 1666 KB  
Article
Real-Time PCR Assay to Quantify Moloney Murine Leukemia Virus in Mouse Cells
by Jiwon Choi, Amaiya Murphy and Takayuki Nitta
Microorganisms 2025, 13(6), 1268; https://doi.org/10.3390/microorganisms13061268 - 29 May 2025
Viewed by 956
Abstract
Murine leukemia viruses (MuLVs) are retroviruses that cause various diseases in mice and have served as a model for retrovirus replication and pathogenesis. MuLVs are separated into infectious exogenous retroviruses (XRVs) and endogenous retroviruses (ERVs) that are remnants of ancient infectious XRVs. Detection [...] Read more.
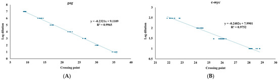
Murine leukemia viruses (MuLVs) are retroviruses that cause various diseases in mice and have served as a model for retrovirus replication and pathogenesis. MuLVs are separated into infectious exogenous retroviruses (XRVs) and endogenous retroviruses (ERVs) that are remnants of ancient infectious XRVs. Detection of XRVs in the original host cells has some difficulties because of the high similarity in sequence between ERVs and XRVs and expression of some ERV genes. There are some techniques available for monitoring retroviral replication, but each comes with limitations in terms of labor intensity, detection range, cost, and phases after infection. This study developed a novel quantitative PCR (qPCR) method for assessing replication of Moloney MuLV (M-MuLV) in mouse cells. The method amplified the region in packaging signal and gag and distinguished exogenous M-MuLV from ERVs with mouse SC-1 cells. The qPCR system could quantify viral sequences in infected cells from 16 to 72 h post-infection, with a 3-log range of difference. This was compared with the traditional infectivity assay, focal immunofluorescence assay. In conclusion, the developed qPCR system provides a rapid, sensitive, and scalable alternative for quantifying M-MuLV infectivity, with potential for broader applications in MuLV research. Full article
Show Figures

Figure 1

Back to TopTop