Improvement of Resistance Strategies for Horticultural Plant Cultivation

A special issue of Horticulturae (ISSN 2311-7524). This special issue belongs to the section "Vegetable Production Systems".

Deadline for manuscript submissions: 31 May 2026 | Viewed by 506

Special Issue Editor

College of Horticulture, Henan Agricultural University, Zhengzhou 450002, China
Interests: plant growth promoting rhizobacteria; biological control (biocontrol of plant pathogens); abiotic stress tolerance; plant physiology

Special Issue Information

Dear Colleagues,

Horticultural plant cultivation is a cornerstone of agricultural production, vital for ensuring a stable supply of fresh produce and enhancing farmers’ incomes. However, conventional cultivation practices often involve the excessive use of pesticides and fertilizers, along with inefficient management approaches, leading to emerging challenges such as soil-borne diseases, secondary salinization, autotoxicity, and other obstacles associated with continuous cropping. These issues increasingly threaten the sustainability of horticultural plant production systems. It is, therefore, essential to develop innovative, green, and efficient strategies that enhance stress resistance in horticultural plants.

This Special Issue, entitled “Improvement of Resistance Strategies for Horticultural Plant Cultivation”, will integrate fundamental research with practical solutions to advance sustainable horticultural plant production. Topics of interest include, but are not limited to, the following:

  • Investigating the mechanisms underlying root–rhizosphere interactions and their role in improving stress resilience;
  • Applying plant growth regulators, grafting techniques, and other methods to enhance crop resistance, yield, and nutrient uptake.

We invite you to contribute original research and insights. Your submissions will help us to share valuable knowledge with both the academic community and the wider industry.

Dr. Nanshan Du
Guest Editor

Manuscript Submission Information

Manuscripts should be submitted online at www.mdpi.com by registering and logging in to this website. Once you are registered, click here to go to the submission form. Manuscripts can be submitted until the deadline. All submissions that pass pre-check are peer-reviewed. Accepted papers will be published continuously in the journal (as soon as accepted) and will be listed together on the special issue website. Research articles, review articles as well as short communications are invited. For planned papers, a title and short abstract (about 250 words) can be sent to the Editorial Office for assessment.

Submitted manuscripts should not have been published previously, nor be under consideration for publication elsewhere (except conference proceedings papers). All manuscripts are thoroughly refereed through a single-blind peer-review process. A guide for authors and other relevant information for submission of manuscripts is available on the Instructions for Authors page. Horticulturae is an international peer-reviewed open access monthly journal published by MDPI.

Please visit the Instructions for Authors page before submitting a manuscript. The Article Processing Charge (APC) for publication in this open access journal is 2200 CHF (Swiss Francs). Submitted papers should be well formatted and use good English. Authors may use MDPI's English editing service prior to publication or during author revisions.

Keywords

  • environmental response
  • plant growth promoting rhizobacteria
  • biological control (biocontrol of plant pathogens)
  • abiotic stress tolerance
  • plant physiology

Benefits of Publishing in a Special Issue

  • Ease of navigation: Grouping papers by topic helps scholars navigate broad scope journals more efficiently.
  • Greater discoverability: Special Issues support the reach and impact of scientific research. Articles in Special Issues are more discoverable and cited more frequently.
  • Expansion of research network: Special Issues facilitate connections among authors, fostering scientific collaborations.
  • External promotion: Articles in Special Issues are often promoted through the journal's social media, increasing their visibility.
  • Reprint: MDPI Books provides the opportunity to republish successful Special Issues in book format, both online and in print.

Further information on MDPI's Special Issue policies can be found here.

Published Papers (1 paper)

Order results
Result details
Select all
Export citation of selected articles as:

Research

18 pages, 4398 KB  
Article
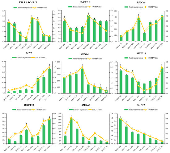
Physiological Response and Transcriptome Analysis of Waxy Near-Isogenic Lines in Chinese Cabbage (Brassica rapa L. ssp. pekinensis) Under Drought Stress
by Ronghua Wang, Shubin Wang, Zhizhong Zhao, Nianfang Xu, Qiaoyun Li, Zhigang Zhang and Shuantao Liu
Horticulturae 2025, 11(12), 1431; https://doi.org/10.3390/horticulturae11121431 - 26 Nov 2025
Viewed by 377
Abstract
To identify key genes involved in drought stress response among Chinese cabbage materials with different drought resistance, a pair of waxy near-isogenic lines (NILs) of Chinese cabbage were used as materials, and a 10% polyethylene glycol (PEG) 6000 solution was employed to simulate [...] Read more.
To identify key genes involved in drought stress response among Chinese cabbage materials with different drought resistance, a pair of waxy near-isogenic lines (NILs) of Chinese cabbage were used as materials, and a 10% polyethylene glycol (PEG) 6000 solution was employed to simulate drought stress. A comparative analysis of phenotypes, physiology, and transcriptomes under drought stress was conducted in this study. Compared with the non-waxy material T065-2, the waxy material T065-1 exhibited 5068, 5512, 5210, and 5875 significantly differentially expressed genes (DEGs) at 0, 6, 12, and 24 h under drought stress, respectively. These DEGs were primarily enriched in “response to oxygen levels” and “secondary metabolite biosynthesis” biological processes and “biosynthesis of secondary metabolites” and “glucosinolate biosynthesis” pathways. Combined with gene function annotation, 26 genes related to the abscisic acid (ABA) signaling pathway (e.g., PYL2, PYL6, SnRK2.5, and SnRK2.10), 63 genes associated with wax synthesis and transport (e.g., MAH1, CER3a, ABCG25, and LTPG1), and 84 transcription factor genes (e.g., ERF, WRKY, and MYB) were identified, all of which showed significant differential expression in the waxy NILs of Chinese cabbage, potentially participating in drought stress response. The reliability of the transcriptomic analysis was validated using qRT-PCR. These findings provide a crucial theoretical foundation for exploring drought-resistant molecular markers and editing targets in Chinese cabbage, significantly accelerating the breeding of superior drought-resistant varieties. Full article
Show Figures

Figure 1

Back to TopTop