energies-logo

Journal Browser

Journal Browser

Design and Production Process Optimization for High Performance and Energy Efficiency in Electrical Machines—2nd Edition

A special issue of Energies (ISSN 1996-1073). This special issue belongs to the section "F: Electrical Engineering".

Deadline for manuscript submissions: 10 April 2026 | Viewed by 2860

Special Issue Editor


E-Mail Website
Guest Editor
Department of Electric Machines, Drives and Automation, Faculty of Electrical Engineering and Computing, University of Zagreb, Unska 3, 10000 Zagreb, Croatia
Interests: electric machines and drives for power systems, electromobility, aerospace and general industrial applications; design, simulation and optimization of electric machines and power transformers
Special Issues, Collections and Topics in MDPI journals

Special Issue Information

Dear Colleagues,

The optimization of the design and production process for electrical machines is essential for achieving their high performance and energy efficiency. In this context, the design process includes the selection of suitable materials, the optimal design of machine components, and a careful consideration of factors such as magnetic losses, thermal management, and electrical insulation. The production process includes the selection of appropriate manufacturing techniques, assembly procedures, and quality control measures. Optimizing these processes can lead to improved performance, reduced energy consumption, and lower production costs. Achieving these goals requires a multidisciplinary approach that includes expertise in electrical engineering, materials science, mechanical engineering, and manufacturing.

This Special Issue aims to present the most recent advances in electromagnetic, thermal, and mechanical design and production processes for the development of high-performance and energy-efficient electrical machines. The specific topics of interest include (but are not limited to) the following:

  • Development of advanced materials for improved electrical machine performance and energy efficiency;
  • Optimization of electromagnetic design for high-performance and energy-efficient electrical machines;
  • Investigations of thermal management strategies for enhancing the efficiency of electrical machines;
  • Development of advanced electrical insulation materials and techniques to improve machine performance and reliability;
  • Investigations of manufacturing processes for the efficient and cost-effective production of electrical machines;
  • Development of design optimization algorithms to improve machine performance and reduce energy consumption;
  • Evaluations of the impact of design and production process variations on electrical machine performance and energy efficiency;
  • Investigations of the impact of operating conditions on electrical machine performance and energy efficiency;
  • Investigations of the impact of new technologies, such as artificial intelligence and machine learning, on the design and production process optimization of electrical machines.

Prof. Dr. Damir Žarko
Guest Editor

Manuscript Submission Information

Manuscripts should be submitted online at www.mdpi.com by registering and logging in to this website. Once you are registered, click here to go to the submission form. Manuscripts can be submitted until the deadline. All submissions that pass pre-check are peer-reviewed. Accepted papers will be published continuously in the journal (as soon as accepted) and will be listed together on the special issue website. Research articles, review articles as well as short communications are invited. For planned papers, a title and short abstract (about 250 words) can be sent to the Editorial Office for assessment.

Submitted manuscripts should not have been published previously, nor be under consideration for publication elsewhere (except conference proceedings papers). All manuscripts are thoroughly refereed through a single-blind peer-review process. A guide for authors and other relevant information for submission of manuscripts is available on the Instructions for Authors page. Energies is an international peer-reviewed open access semimonthly journal published by MDPI.

Please visit the Instructions for Authors page before submitting a manuscript. The Article Processing Charge (APC) for publication in this open access journal is 2600 CHF (Swiss Francs). Submitted papers should be well formatted and use good English. Authors may use MDPI's English editing service prior to publication or during author revisions.

Keywords

  • electrical machines
  • design optimization
  • production process optimization
  • high performance
  • energy efficiency
  • advanced materials
  • electromagnetic design
  • electrical insulation
  • manufacturing processes
  • design optimization algorithms
  • artificial intelligence
  • machine learning

Benefits of Publishing in a Special Issue

  • Ease of navigation: Grouping papers by topic helps scholars navigate broad scope journals more efficiently.
  • Greater discoverability: Special Issues support the reach and impact of scientific research. Articles in Special Issues are more discoverable and cited more frequently.
  • Expansion of research network: Special Issues facilitate connections among authors, fostering scientific collaborations.
  • External promotion: Articles in Special Issues are often promoted through the journal's social media, increasing their visibility.
  • Reprint: MDPI Books provides the opportunity to republish successful Special Issues in book format, both online and in print.

Further information on MDPI's Special Issue policies can be found here.

Related Special Issue

Published Papers (3 papers)

Order results
Result details
Select all
Export citation of selected articles as:

Research

20 pages, 8891 KB  
Article
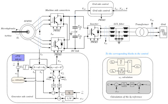
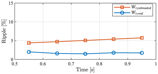
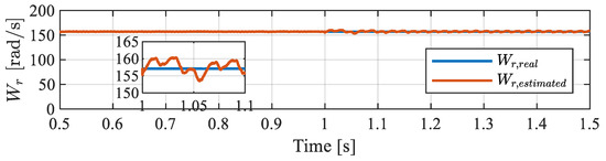
Sensorless Field-Oriented Control of a Low-Speed Six-Phase Induction Generator
by Marius Ouédraogo, Amine Yazidi and Franck Betin
Energies 2025, 18(23), 6293; https://doi.org/10.3390/en18236293 - 29 Nov 2025
Viewed by 175
Abstract
This paper presents a sensorless control strategy for a six-phase induction generator (6PIG) operating at low speed (125 rpm). The proposed approach is based on the Model Reference Adaptive System (MRAS), with an initial estimation scheme developed using the reference model as the [...] Read more.
This paper presents a sensorless control strategy for a six-phase induction generator (6PIG) operating at low speed (125 rpm). The proposed approach is based on the Model Reference Adaptive System (MRAS), with an initial estimation scheme developed using the reference model as the rotor flux. Simulation studies were conducted in MATLAB/Simulink 24.2.0.2740171 (R2024b) Update 1 and experimentally validated on a 24 kW–125 rpm 6PIG, to demonstrate the feasibility and performance of this method. A reactive power-based MRAS variant was also proposed to overcome the observed limitations. Comparative analysis showed a significant improvement in estimation accuracy and dynamic response compared with the flux-based MRAS. Robustness tests under fault conditions, such as opening phases, confirmed that the reactive power-based MRAS maintains a stable and accurate rotor speed estimation. These findings demonstrate the potential of reactive-power-based MRAS for the sensorless control of six-phase induction generators (6PIGs) in renewable energy systems. Full article
Show Figures

Figure 1

17 pages, 956 KB  
Article
Energy Optimization of Motor-Driven Systems Using Variable Frequency Control, Soft Starters, and Machine Learning Forecasting
by Hashnayne Ahmed, Cristián Cárdenas-Lailhacar and S. A. Sherif
Energies 2025, 18(19), 5135; https://doi.org/10.3390/en18195135 - 26 Sep 2025
Viewed by 816
Abstract
This paper presents a unified modeling framework for quantifying power and energy consumption in motor-driven systems operating under variable frequency control and soft starter conditions. By formulating normalized expressions for voltage, current, and power factor as functions of motor speed, the model enables [...] Read more.
This paper presents a unified modeling framework for quantifying power and energy consumption in motor-driven systems operating under variable frequency control and soft starter conditions. By formulating normalized expressions for voltage, current, and power factor as functions of motor speed, the model enables accurate estimation of instantaneous and cumulative energy use using only measurable electrical quantities. The effect of soft starter operation during startup is incorporated through ramp-based profiles, while variable frequency control is modeled through dynamic speed modulation. Analytical results show that variable speed control can achieve energy savings of up to 36.1% for sinusoidal speed profiles and up to 42.9% when combined with soft starter operation, with the soft starter alone contributing a consistent 8.6% reduction independent of the power factor. To support energy optimization under uncertain demand scenarios, a two-stage stochastic optimization framework is developed for motor sizing and control assignment, and four physics-guided machine learning models—MLP, LSTM, GRU, and XGBoost—are benchmarked to forecast normalized energy ratios from key electrical parameters, enabling rapid and interpretable predictions. The proposed framework provides a scalable, interpretable, and practical tool for monitoring, diagnostics, and smart energy management of industrial motor-driven systems. Full article
Show Figures

Figure 1

19 pages, 4247 KB  
Article
Accuracy of Core Losses Estimation in PMSM: A Comparison of Empirical and Numerical Approximation Models
by Michael Nye, Matilde D’Arpino and Luigi Pio Di Noia
Energies 2025, 18(17), 4494; https://doi.org/10.3390/en18174494 - 23 Aug 2025
Viewed by 1507
Abstract
The estimation of core loss in permanent magnet synchronous machines (PMSMs) is a fundamental step for the optimization of the performance of PMSM drives. However, there is a lack of literature which fully demonstrates the goodness of some of the empirical approximations that [...] Read more.
The estimation of core loss in permanent magnet synchronous machines (PMSMs) is a fundamental step for the optimization of the performance of PMSM drives. However, there is a lack of literature which fully demonstrates the goodness of some of the empirical approximations that are commonly used in industrial and automotive sectors. This work investigates how different approximations for the core loss estimation of PMSMs can lead to considerable error across the entire machine operating domain. An interior PMSM (IPMSM) is modeled in finite element analysis (FEA) and used to calibrate the coefficients of the Bertotti equation. Approximations of the Bertotti equation are then made, which are calculated from a simple algebraic expression of measurable states, and these are used to estimate machine core loss in the whole direct-quadrature (dq) domain of operation. The estimated core loss obtained with the approximations are finally compared to FEA core loss results. The approximations are shown to have considerable variability in their accuracy compared to FEA results. The results of this work can be used as guidance during the development of estimation algorithms for PMSM losses and the development of control strategies. Full article
Show Figures

Figure 1

Back to TopTop