applsci-logo

Journal Browser

Journal Browser

Advances in Geopolymers and Fiber-Reinforced Concrete Composites

A special issue of Applied Sciences (ISSN 2076-3417). This special issue belongs to the section "Civil Engineering".

Deadline for manuscript submissions: 31 December 2026 | Viewed by 3292

Special Issue Editor


E-Mail Website
Guest Editor
School of Civil Engineering, Beijing Jiaotong University, Beijing 100044, China
Interests: geotechnical engineering; pipe jacking; slope; tunnel; fiber-reinforced concrete; underground space; hydraulic engineering
Special Issues, Collections and Topics in MDPI journals

Special Issue Information

Dear Colleagues,

The growing demand for sustainable and high-performance construction materials has led to significant research on geopolymers and fiber-reinforced concrete (FRC) composites. Geopolymers, known for their eco-friendly production and superior durability, offer an alternative to conventional cement, which is responsible for substantial CO2 emissions. Additionally, FRC provides enhanced mechanical properties, including improved tensile strength, crack resistance, and toughness, making it an ideal material for modern infrastructure projects. The combination of geopolymers and FRC composites holds great promise in terms of advancing the performance of construction materials while addressing environmental concerns. This Special Issue highlights recent developments in, applications of, and future prospects for these innovative materials.

We are pleased to invite you to submit your original research and reviews related to geopolymers and fiber-reinforced concrete composites. This Special Issue seeks to showcase cutting-edge research that explores the mechanical, durability, and environmental benefits of these advanced materials for the construction sector. Contributions will provide a comprehensive overview of the current state of the art and future directions for these promising materials.

In this Special Issue, original research articles and reviews are welcome and research areas may include, but are not limited to, the following topics: (1) the mechanical properties and performance of geopolymers and FRC composites; (2) the durability and long-term behavior of geopolymers and FRCs in various environments; (3) sustainable production techniques and applications for concrete composites; (4) the structural and non-structural applications of geopolymers and FRC composites in construction; (5) fiber types and their influence on the properties of FRC composites; (6) the impact of nanomaterials in terms of enhancing the performance of geopolymers and FRCs; (7) the behavior of geopolymers and FRCs under extreme loading conditions (e.g., fire, seismic events, etc.); (8) recycling and waste utilization in the production of geopolymers and FRC composites; (9) the life cycle assessment (LCA) of geopolymers and FRC composites in construction applications; (10) computational modeling and simulations of geopolymers and FRC composites for predicting performance. We look forward to receiving your contributions.

Dr. Zhiyun Deng
Guest Editor

Manuscript Submission Information

Manuscripts should be submitted online at www.mdpi.com by registering and logging in to this website. Once you are registered, click here to go to the submission form. Manuscripts can be submitted until the deadline. All submissions that pass pre-check are peer-reviewed. Accepted papers will be published continuously in the journal (as soon as accepted) and will be listed together on the special issue website. Research articles, review articles as well as short communications are invited. For planned papers, a title and short abstract (about 250 words) can be sent to the Editorial Office for assessment.

Submitted manuscripts should not have been published previously, nor be under consideration for publication elsewhere (except conference proceedings papers). All manuscripts are thoroughly refereed through a single-blind peer-review process. A guide for authors and other relevant information for submission of manuscripts is available on the Instructions for Authors page. Applied Sciences is an international peer-reviewed open access semimonthly journal published by MDPI.

Please visit the Instructions for Authors page before submitting a manuscript. The Article Processing Charge (APC) for publication in this open access journal is 2400 CHF (Swiss Francs). Submitted papers should be well formatted and use good English. Authors may use MDPI's English editing service prior to publication or during author revisions.

Keywords

  • geopolymers
  • fiber-reinforced concrete
  • sustainable construction materials
  • mechanical properties
  • durability
  • concrete composites
  • structural applications
  • recycling
  • environmental impact

Benefits of Publishing in a Special Issue

  • Ease of navigation: Grouping papers by topic helps scholars navigate broad scope journals more efficiently.
  • Greater discoverability: Special Issues support the reach and impact of scientific research. Articles in Special Issues are more discoverable and cited more frequently.
  • Expansion of research network: Special Issues facilitate connections among authors, fostering scientific collaborations.
  • External promotion: Articles in Special Issues are often promoted through the journal's social media, increasing their visibility.
  • Reprint: MDPI Books provides the opportunity to republish successful Special Issues in book format, both online and in print.

Further information on MDPI's Special Issue policies can be found here.

Published Papers (5 papers)

Order results
Result details
Select all
Export citation of selected articles as:

Research

29 pages, 11626 KB  
Article
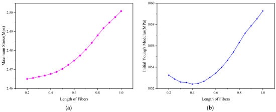
Numerical Investigation of Statistical Relationships Between Random Fiber Distributions and Mechanical Properties of Concrete Composites
by Shihe Xiong, Zhenrui Zhou, Jiongyi Yan and Yutai Su
Appl. Sci. 2025, 15(24), 13186; https://doi.org/10.3390/app152413186 - 16 Dec 2025
Abstract
The mechanical behavior of fiber-reinforced concrete largely depends on the fiber morphology, geometry, and distribution. However, current numerical models do not take into account the stochastic properties of fibers with a spatial distribution, which limits their prediction accuracy and overlooks the critical impact [...] Read more.
The mechanical behavior of fiber-reinforced concrete largely depends on the fiber morphology, geometry, and distribution. However, current numerical models do not take into account the stochastic properties of fibers with a spatial distribution, which limits their prediction accuracy and overlooks the critical impact of microstructural effects on macroscopic properties. To address this issue, a comprehensive numerical framework is developed using the Concrete Damage Plasticity (CDP) model for the concrete matrix, an elastoplastic model for steel fibers, and with cohesive zone elements applied to describe fiber–matrix interfacial debonding. Random fiber configurations are generated to represent statistical variability, and their effects on the elastic modulus, compressive strength, and tensile strength are systematically examined. A wide range of fiber parameters—including dimensions, volume fractions, stochastic orientation, and spatial distribution—is investigated to reveal microstructure-dependent mechanical behavior at the macroscale. The results highlight the critical roles of the fiber volume fraction and orientation control in enhancing mechanical behavior and provide practical guidelines for optimizing fiber incorporation strategies in concrete design. Full article
(This article belongs to the Special Issue Advances in Geopolymers and Fiber-Reinforced Concrete Composites)
Show Figures

Figure 1

24 pages, 3328 KB  
Article
Dynamic and Quasi-Static Loading Behavior of Low-Strength Concrete Incorporating Rubber Aggregates and Polymer Fiber
by Amit Kenny, Ariel Amar and Dorith Tavor
Appl. Sci. 2025, 15(22), 12191; https://doi.org/10.3390/app152212191 - 17 Nov 2025
Viewed by 411
Abstract
This study evaluates low-strength concrete incorporating recycled rubber aggregates from waste tires and polymer fiber for use as “forgiving” safety barriers that enhance road safety while promoting environmental sustainability. Incorporating the rubber and fiber enables recycling the tires close to the source where [...] Read more.
This study evaluates low-strength concrete incorporating recycled rubber aggregates from waste tires and polymer fiber for use as “forgiving” safety barriers that enhance road safety while promoting environmental sustainability. Incorporating the rubber and fiber enables recycling the tires close to the source where they were originally used—the road. These barriers are designed to absorb collision energy, reduce vehicle deceleration, and minimize the severity of accidents. The key requirements for such concrete are low strength, low elastic modulus, high ductility, high toughness, and minimal dispersion of large fragments upon failure. The study investigated various concretes containing different percentages of recycled rubber (0–20% by volume) and polymer fibers (0–1.2% by volume). We conducted compression, flexural, and dynamic impact tests to assess the effects of these additions on the properties of the concrete. Dynamic tests were carried out in a cantilever loading scheme with strain rates of 2.5–3 s−1, to emulate barrier loading during car crush. Key findings include indications that recycled rubber decreases concrete strength, while its contribution to energy absorption is limited. In contrast, polymer fibers enhance the concrete’s elongation and toughness, increasing energy absorption. The quantity of fibers present in the fracture area is critical for energy absorption. Notably, energy absorption under dynamic loads is more significant than that under quasi-static loads; however, the difference between these results diminishes as the fiber percentage increases. Furthermore, quasi-static tests on fiber-reinforced concrete can effectively evaluate its response to impact loads. In conclusion, the combined use of recycled rubber and polymer fibers in low-strength concrete offers a sustainable solution for developing safer and more environmentally responsible roadside infrastructure by repurposing waste materials and reducing the ecological footprint of construction. Careful attention should be paid to the distribution of fibers within the concrete, as this significantly influences energy absorption. Full article
(This article belongs to the Special Issue Advances in Geopolymers and Fiber-Reinforced Concrete Composites)
Show Figures

Figure 1

32 pages, 5087 KB  
Article
Study on the Deformation Characteristics of the Surrounding Rock and Concrete Support Parameter Design for Deep Tunnel Groups
by Zhiyun Deng, Jianqi Yin, Peng Lin, Haodong Huang, Yong Xia, Li Shi, Zhongmin Tang and Haijun Ouyang
Appl. Sci. 2025, 15(15), 8295; https://doi.org/10.3390/app15158295 - 25 Jul 2025
Cited by 1 | Viewed by 728
Abstract
The deformation characteristics of the surrounding rock in tunnel groups are considered critical for the design of support structures and the assurance of the long-term safety of deep-buried diversion tunnels. The deformation behavior of surrounding rock in tunnel groups was investigated to guide [...] Read more.
The deformation characteristics of the surrounding rock in tunnel groups are considered critical for the design of support structures and the assurance of the long-term safety of deep-buried diversion tunnels. The deformation behavior of surrounding rock in tunnel groups was investigated to guide structural support design. Field tests and numerical simulations were performed to analyze the distribution of ground stress and the ground reaction curve under varying conditions, including rock type, tunnel spacing, and burial depth. A solid unit–structural unit coupled simulation approach was adopted to derive the two-liner support characteristic curve and to examine the propagation behavior of concrete cracks. The influences of surrounding rock strength, reinforcement ratio, and secondary lining thickness on the bearing capacity of the secondary lining were systematically evaluated. The following findings were obtained: (1) The tunnel group effect was found to be negligible when the spacing (D) was ≥65 m and the burial depth was 1600 m. (2) Both P0.3 and Pmax of the secondary lining increased linearly with reinforcement ratio and thickness. (3) For surrounding rock of grade III (IV), 95% ulim and 90% ulim were found to be optimal support timings, with secondary lining forces remaining well below the cracking stress during construction. (4) For surrounding rock of grade V in tunnels with a burial depth of 200 m, 90% ulim is recommended as the initial support timing. Support timings for tunnels with burial depths between 400 m and 800 m are 40 cm, 50 cm, and 60 cm, respectively. Design parameters should be adjusted based on grouting effects and monitoring data. Additional reinforcement is recommended for tunnels with burial depths between 1000 m and 2000 m to improve bearing capacity, with measures to enhance impermeability and reduce external water pressure. These findings contribute to the safe and reliable design of support structures for deep-buried diversion tunnels, providing technical support for design optimization and long-term operation. Full article
(This article belongs to the Special Issue Advances in Geopolymers and Fiber-Reinforced Concrete Composites)
Show Figures

Figure 1

13 pages, 1634 KB  
Article
Physico-Mechanical Properties of Geopolymers Based on Fly Ashes and Waste Broken Glass
by Krzysztof Cendrowski, Elżbieta Horszczaruk and Jarosław Strzałkowski
Appl. Sci. 2025, 15(13), 7495; https://doi.org/10.3390/app15137495 - 3 Jul 2025
Cited by 1 | Viewed by 712
Abstract
This paper presents the results of testing the insulation performance of geopolymers based on fly ashes with the addition of waste broken glass. The waste glass was dried and ground to a maximum of 1 mm grain size. The proportions of broken glass [...] Read more.
This paper presents the results of testing the insulation performance of geopolymers based on fly ashes with the addition of waste broken glass. The waste glass was dried and ground to a maximum of 1 mm grain size. The proportions of broken glass in the total binder’s mass were 0%, 10%, 20%, and 30%. Sodium hydroxide and sodium silicate were the activators of the alkaline reaction. The obtained geopolymer materials were characterised by determining the basic physico-mechanical properties. The chemical composition, density, and thermal conductivity coefficient were determined. The mechanical performance, including compressive and flexural strength, was investigated after 28 days of curing. The morphological analysis was also carried out using microphotographs obtained from optical and scanning microscopes. A significant effect of the waste glass on the tested geopolymers’ mechanical performance was observed. Proportions of 10% and 20% broken glass in the binder led to more than a four-fold increase in the compressive strength and a two-fold increase in the flexural strength compared to the geopolymer without the waste glass. All tested geopolymers had excellent insulation ability compared to the reference mortar (more than 80% higher than cement mortar). However, the problem is potential alkali–silica reaction, which can occur when the waste glass content is high. Full article
(This article belongs to the Special Issue Advances in Geopolymers and Fiber-Reinforced Concrete Composites)
Show Figures

Figure 1

23 pages, 6434 KB  
Article
A Study of the Flexural Performance of Fiber-Reinforced Anchored Shotcrete Single-Layer Lining in a Hard Rock Tunnel Based on the Thickness Ratio
by Mengjun Wu, Zuliang Zhong, Miao Xu, Xuebing Hu, Kaixin Zhu and Peng Cao
Appl. Sci. 2025, 15(13), 7473; https://doi.org/10.3390/app15137473 - 3 Jul 2025
Viewed by 878
Abstract
Aiming at the unclear bearing mechanism of the single-layer lining structure of high-performance fiber shotcrete under layered construction in the hard rock section of a highway tunnel, this paper studies the effect of different thickness ratios under layered construction on the flexural performance [...] Read more.
Aiming at the unclear bearing mechanism of the single-layer lining structure of high-performance fiber shotcrete under layered construction in the hard rock section of a highway tunnel, this paper studies the effect of different thickness ratios under layered construction on the flexural performance of the single-layer lining structure. Six types of thickness ratio specimens were subjected to a four-point bending test. The tests employed 3D digital image correlation technology to record and analyze the deformation and failure process of the specimens, and the calculation method of single-layer lining flexural stiffness was modified. The results indicate that the flexural ultimate load of the specimens is achieved at a thickness ratio of 2, which is 20.9% higher compared to a thickness ratio of 0. Layered construction affects the failure mode of the specimens. All specimens exhibit mixed-mode failure. However, with the increase in the thickness ratio, the percentage of flexural failure cracks gradually increases. Under layered construction, the reduction in the effective bending stiffness of fiber shotcrete beams becomes more pronounced as the thickness ratio increases. Based on these findings, the interface influence factor is proposed, and the flexural stiffness is corrected using composite beam theory. Full article
(This article belongs to the Special Issue Advances in Geopolymers and Fiber-Reinforced Concrete Composites)
Show Figures

Figure 1

Back to TopTop