-
Time- and Space-Resolved Radiation from the Plasma Produced by High-Power, Sub-ns Microwave Pulse Gas Ionization -
Minimization of Chemical Kinetic Reaction Set for System-Level Study of Non-Thermal Plasma NOx Abatement Process -
The Effect of Electrode Geometry on Excited Species Production in Atmospheric Pressure Air–Hydrogen Streamer Discharge
Journal Description
Plasma
Plasma
is an international, open access, peer-reviewed journal covering all aspects of plasma science, published quarterly online by MDPI.
- Open Access— free for readers, with article processing charges (APC) paid by authors or their institutions.
- High Visibility: indexed within ESCI (Web of Science), Scopus, Inspec, CAPlus / SciFinder, and other databases.
- Rapid Publication: manuscripts are peer-reviewed and a first decision is provided to authors approximately 22.6 days after submission; acceptance to publication is undertaken in 4.6 days (median values for papers published in this journal in the first half of 2025).
- Recognition of Reviewers: reviewers who provide timely, thorough peer-review reports receive vouchers entitling them to a discount on the APC of their next publication in any MDPI journal, in appreciation of the work done.
Impact Factor:
1.7 (2024)
Latest Articles
A Tutorial on the Mechanism of Beam-Field Interactions in Virtual Cathode Oscillators
Plasma 2025, 8(4), 51; https://doi.org/10.3390/plasma8040051 (registering DOI) - 13 Dec 2025
Abstract
This review article is the third of a three-article introductory series on virtual cathode oscillators. The first article has laid the theoretical ground for understanding the physical properties of the virtual cathode, and the second article has provided a numerical tool for studying
[...] Read more.
This review article is the third of a three-article introductory series on virtual cathode oscillators. The first article has laid the theoretical ground for understanding the physical properties of the virtual cathode, and the second article has provided a numerical tool for studying virtual cathode oscillation. This third article focuses on the interaction between the electron beam and electromagnetic field. The virtual cathode oscillator has been studied for decades with the aim of developing it as high-power microwave source. The beam-field interaction has been one of the core issues that always perplexes both experimentalists and theorists. Using the physical model established in the first article and the numerical method described in the second article, this article is an attempt to answer some of the key questions based on a more comprehensive description of the device and its interaction process. This article is expected to serve as a reference for young researchers and students working on high-power microwaves and pulsed particle beams.
Full article
(This article belongs to the Special Issue Feature Papers in Plasma Sciences 2025)
►
Show Figures
Open AccessArticle
CO2 Conversion at Reduced Pressure in a Novel Stabilized Arc Discharge for In Situ Oxygen Production on Mars
by
Veselin Vasilev, Nikola Lazarov, Svetlana Lazarova, Tsvetelina Paunska and Stanimir Kolev
Plasma 2025, 8(4), 50; https://doi.org/10.3390/plasma8040050 - 10 Dec 2025
Abstract
The aim of this work is to provide an extensive experimental study of the performance of a novel magnetically and gas-flow-stabilized arc discharge for carbon dioxide (CO2) conversion and oxygen (O2) production on Mars. The proposed discharge provides an
[...] Read more.
The aim of this work is to provide an extensive experimental study of the performance of a novel magnetically and gas-flow-stabilized arc discharge for carbon dioxide (CO2) conversion and oxygen (O2) production on Mars. The proposed discharge provides an additional degree of freedom for easy scalability by adjusting its length. The discharge is examined at a pressure range of 200–612 mbar in order to optimize it for oxygen production on Mars, where low-pressure operation is preferable due to energy costs. Additionally, two quenching configurations with an actively cooled region are evaluated. They are compared to a benchmark configuration without additional cooling. Two high-voltage power supplies (PSs) are used, and the results are compared—a constant direct current (DC) and a pulsed unipolar current. The pulsed power supply offers better CO2 conversion performance at lower pressure due to stable operation in an arc regime. The energy cost for oxygen production on Mars is also presented, including a conservative estimation of the energy needed for compressing the Martian atmosphere at ambient pressure to the discharge operational pressure. It is discussed how this affects the energy cost of oxygen production.
Full article
(This article belongs to the Special Issue Feature Papers in Plasma Sciences 2025)
►▼
Show Figures

Figure 1
Open AccessArticle
The Effect of the Axial Plasma Electron Density Distribution on the Effective Length and Radiation Pattern of a Plasma Antenna
by
Nikolai N. Bogachev, Vyacheslav P. Stepin, Vsevolod I. Zhukov, Sergey E. Andreev, Dmitry M. Karfidov, Maksim S. Usachonak, Evgeny M. Konchekov and Namik G. Gusein-zade
Plasma 2025, 8(4), 49; https://doi.org/10.3390/plasma8040049 - 28 Nov 2025
Abstract
►▼
Show Figures
This study investigates the axial electron density distribution in two plasma antenna configurations excited by a surface wave microwave discharge and its influence on the radiation pattern of antennas. The axial plasma electron density profiles were characterized using two non-invasive diagnostic techniques: the
[...] Read more.
This study investigates the axial electron density distribution in two plasma antenna configurations excited by a surface wave microwave discharge and its influence on the radiation pattern of antennas. The axial plasma electron density profiles were characterized using two non-invasive diagnostic techniques: the resonant cavity measurements in the TM110 mode and the waveguide transmission analysis. A linear decrease in the plasma electron density along the antenna was observed. The effective electrical length of the plasma antennas, accounting for this density distribution, is found to be approximately half the physical plasma column length. Numerical simulations employing COMSOL Multiphysics based on the Drude model revealed that a realistic nonuniform axial plasma electron density distribution markedly modifies the antenna radiation characteristics. For the wave-type plasma monopole antenna, this results in a shift in the emission maximum, a reduction in the main lobe amplitude, a nearly twofold broadening of the main lobe, and the disappearance of the side lobe. For the quarter-wave-type plasma asymmetric dipole antenna, there is a reduction in the main lobe amplitude without a shift in the maximum and a broadening of the main lobe due to an increase in the side-lobe level and its merging with the main lobe.
Full article

Figure 1
Open AccessArticle
Role of CF4 Addition in Gas-Phase Variations in HF Plasma for Cryogenic Etching: Insights from Plasma Simulation and Experimental Correlation
by
Shigeyuki Takagi, Shih-Nan Hsiao, Yusuke Imai, Makoto Sekine and Fumihiko Matsunaga
Plasma 2025, 8(4), 48; https://doi.org/10.3390/plasma8040048 - 24 Nov 2025
Abstract
The fabrication of semiconductor devices with three-dimensional architectures imposes unprecedented demands on advanced plasma dry etching processes. These include the simultaneous requirements of high throughput, high material selectivity, and precise profile control. In conventional reactive ion etching (RIE), fluorocarbon plasma provides both accelerated
[...] Read more.
The fabrication of semiconductor devices with three-dimensional architectures imposes unprecedented demands on advanced plasma dry etching processes. These include the simultaneous requirements of high throughput, high material selectivity, and precise profile control. In conventional reactive ion etching (RIE), fluorocarbon plasma provides both accelerated ion species and reactive neutrals that etch the feature front, while the CFx radicals promote polymerization that protects sidewalls and enhance selectivity to the amorphous carbon layer (ACL) mask. In this work, we present computational results on the role of CF4 addition to hydrogen fluoride (HF) plasma for next-generation RIE, specifically cryogenic etching. Simulations were performed by varying the CF4 concentration in the HF plasma to evaluate its influence on ion densities, neutral species concentration, and electron density. The results show that the densities of CFx (x = 1–3) ions and radicals increase significantly with CF4 addition (up to 20%), while the overall plasma density and the excited HF species remain nearly unchanged. The results of plasma density and atomic fluorine density are consistent with the experimental observations of the HF/CF4 plasma using an absorption probe and the actimetry method. It was verified that the gas-phase reaction model proposed in this study can accurately reproduce the plasma characteristics of the HF/CF4 system. The coupling of HF-based etchants with CFx radicals enables polymerization that preserves SiO2 etching throughput while significantly enhancing etch selectivity against the ACL mask from 1.86 to 5.07, with only a small fraction (~10%) of fluorocarbon gas added. The plasma simulation provides new insights into enhancing the etching performance of HF-based cryogenic plasma etching by controlling the CF2 radicals and HF reactants through the addition of fluorocarbon gases.
Full article
(This article belongs to the Special Issue Feature Papers in Plasma Sciences 2025)
►▼
Show Figures

Figure 1
Open AccessArticle
Processing the Inner Surfaces of Hollow Ceramic Samples with the Use of Fast Argon Atom Beams
by
Alexander S. Metel, Marina A. Volosova, Enver S. Mustafaev, Yury A. Melnik and Sergey N. Grigoriev
Plasma 2025, 8(4), 47; https://doi.org/10.3390/plasma8040047 - 21 Nov 2025
Abstract
►▼
Show Figures
To increase the wear resistance of a hollow ceramic product, it is necessary to apply wear-resistant coatings to all its surfaces, including the internal surfaces. Before the coating deposition, the surface must be processed with a beam of energetic particles to ensure its
[...] Read more.
To increase the wear resistance of a hollow ceramic product, it is necessary to apply wear-resistant coatings to all its surfaces, including the internal surfaces. Before the coating deposition, the surface must be processed with a beam of energetic particles to ensure its adhesion. In this study, a scheme for processing internal surfaces of hollow cylinders with fast argon atoms is proposed and tested. Simultaneous treatment of all surfaces of the rotating ceramic cylinder allowed for deposition of a uniform TiB2 coating on both sides of the cylinder and a decrease in the abrasion wear by several times.
Full article

Figure 1
Open AccessArticle
Inactivation Effect and Influencing Factors of Cold Atmospheric Plasma Treatment with Bacteria on Food Contact Materials
by
Mingyan Chen, Chenhong Wang, Tian Xie, Zheng Chen and Guimin Xu
Plasma 2025, 8(4), 46; https://doi.org/10.3390/plasma8040046 - 10 Nov 2025
Abstract
This study investigated the inactivation effect and influencing factors of cold atmospheric plasma (CAP) treatment with Salmonella typhimurium and Staphylococcus aureus populations on three food contact materials (FCMs)—kraft paper, 304 stainless steel, and glass. The CAP was generated as an atmospheric helium plasma
[...] Read more.
This study investigated the inactivation effect and influencing factors of cold atmospheric plasma (CAP) treatment with Salmonella typhimurium and Staphylococcus aureus populations on three food contact materials (FCMs)—kraft paper, 304 stainless steel, and glass. The CAP was generated as an atmospheric helium plasma jet (15 kV, 10.24 kHz, He 4 L/m), and the experimental results indicated that its inactivation effects on two bacterial species gradually increased as the plasma treatment duration increased (0, 1, 2, 3, 4, and 5 min). Three classical sterilization kinetic models (Log-linear, Weibull, and Log-linear + Shoulder + Tail) were employed to evaluate the inactivation efficiency of plasma against bacteria FCMs. Combined with the coefficient of determination (R2), accuracy factor (Af), and bias factor (Bf), together with the root mean square error (RMSE), it can be concluded that the Log-linear + Shoulder + Tail model had the highest fitting degree among the three sterilization kinetics models. Salmonella typhimurium exhibited weaker resistance than Staphylococcus aureus to the same CAP treatment. Under the same conditions, CAP had the strongest bactericidal effect on the bacteria on the glass surface, followed by those on the 304 stainless steel, and had the weakest bactericidal effect on the bacteria on the kraft paper surface, which might be related to the surface hydrophilicity and roughness of the FCMs. The above results indicated that CAP’s inactivation effect may be influenced by the microbial species as well as the surface characteristics of FCMs. This study provides useful information for future applications of CAP in enhancing food safety.
Full article
(This article belongs to the Special Issue Feature Papers in Plasma Sciences 2025)
►▼
Show Figures

Figure 1
Open AccessArticle
Obtaining Iron Chelates and Iron Oxide Nanoparticles via Multispark Discharge Treatment of EDTA Solutions in Argon Atmosphere
by
Viktoriia V. Gudkova, Valentin D. Borzosekov, Maria A. Zimina, Igor V. Moryakov, Dmitry V. Malakhov, Namik Gusein-zade and Evgeny M. Konchekov
Plasma 2025, 8(4), 45; https://doi.org/10.3390/plasma8040045 - 3 Nov 2025
Abstract
►▼
Show Figures
This study investigates the physicochemical processes in aqueous solutions treated with a high-current (up to 300 A) pulsed multispark discharge. Pulse length was 2 μs at a 50 Hz repetition rate. The discharge occurred within bubbles of argon injected between the stainless-steel electrodes
[...] Read more.
This study investigates the physicochemical processes in aqueous solutions treated with a high-current (up to 300 A) pulsed multispark discharge. Pulse length was 2 μs at a 50 Hz repetition rate. The discharge occurred within bubbles of argon injected between the stainless-steel electrodes at the constant flow rate. The erosion of electrode material during the discharge led to iron and other alloy components entering the liquid. Optical emission spectra confirmed the erosion of electrode material (Fe, Cr, Ni atoms and ions). EDTA and its disodium salt were used in order to study their effect on the metal particle formation process. Treatment with deionized water led to an increase in conductivity and the generation of hydrogen peroxide (up to 1200 µM). In contrast, the presence of EDTA and its disodium salt drastically altered the reaction pathways: the H2O2 yield decreased, and the solution conductivity dropped substantially for the acidic form of EDTA, while the decrease was minor for EDTA-Na2. This effect is attributed to the buffered chelation of eroded metal ions, forming stable Fe-EDTA complexes, as confirmed by a characteristic absorption band at 260 nm. The results demonstrate the critical role of complex-forming agents in modulating plasma–liquid interactions, shifting the process from direct erosion products to the formation of stable coordination compounds.
Full article

Figure 1
Open AccessArticle
Low-Current High-Voltage Pulsed Atmospheric Arc Plasma Jet: Nanoparticle Emission from the Cathodic Spot
by
Dariusz Korzec, Florian Freund, Isabelle Doelfs, Florian Zacherl, Lucas Kudala and Hans-Peter Rabl
Plasma 2025, 8(4), 44; https://doi.org/10.3390/plasma8040044 - 28 Oct 2025
Abstract
The atmospheric pressure plasma jet (APPJ) is a popular type of cold atmospheric plasma (CAP). APPJs based on a pulsed atmospheric arc (PAA) are widely spread in industrial processing. A plasma jet of this type, PlasmaBrush PB3 (PB3), is a subject of diverse
[...] Read more.
The atmospheric pressure plasma jet (APPJ) is a popular type of cold atmospheric plasma (CAP). APPJs based on a pulsed atmospheric arc (PAA) are widely spread in industrial processing. A plasma jet of this type, PlasmaBrush PB3 (PB3), is a subject of diverse research activities. The characteristic feature of PB3 is the generation of a low-current (300 mA), high-voltage (1500 V) pulsed (54 kHz) atmospheric arc. A gas flow vortex is used to stabilize the arc and to sustain the circular motion of the cathodic arc foot. During long periods of operation, nozzles acting as arc discharge cathodes erode. Part of the eroded material is emitted as nanoparticles (NPs). These NPs are not wanted in many processing applications. Knowledge of the number, type, and size distribution of emitted NPs is essential to minimize their emissions. In this study, NPs in the size range of 6 to 220 nm, emitted from four different nozzles operated with PB3, are investigated. The differences between the nozzles are in the eroded surface material (copper, tungsten, and nickel), the diameter of the nozzle orifice, the length of the discharge channel, and the position of the cathodic arc foot. Significant differences in the particle size distribution (PSD) and particle mass distribution (PMD) of emitted NPs are observed depending on the type and condition of the nozzle and their operating time. Monomodal and bimodal PMD models are used to approximate emissions from the nozzles with tungsten and copper cores, respectively. The skew-normal distribution function is deemed suitable. The results of this study can be used to control NP emissions, both to avoid them and to utilize them intentionally.
Full article
(This article belongs to the Special Issue Feature Papers in Plasma Sciences 2025)
►▼
Show Figures

Graphical abstract
Open AccessArticle
Effects of Plasma and Activated Water on Biological Characteristics of Bromus inermis Seeds Under Different Power Supply Excitation
by
Jiawen Xie, Fubao Jin, Shangang Ma, Jinqiang Shi and Yanming Qi
Plasma 2025, 8(4), 43; https://doi.org/10.3390/plasma8040043 - 24 Oct 2025
Abstract
►▼
Show Figures
To explore the potential of plasma technology in regulating seed germination, this study compared the effects of direct treatment with needle-plate electrodes using DC and pulse power supplies, and indirect treatment with plasma-activated water on the growth characteristics of Bromus inermis seeds. By
[...] Read more.
To explore the potential of plasma technology in regulating seed germination, this study compared the effects of direct treatment with needle-plate electrodes using DC and pulse power supplies, and indirect treatment with plasma-activated water on the growth characteristics of Bromus inermis seeds. By comparing different pulse power parameters, including voltage, pulse width, frequency, and duration, it was found that treatments at 15 kV, 2500 ns, 6 kHz, and 10 min significantly increased the surface hydrophilicity and germination performance of the seeds. The best conditions for DC power supply were 15 kV and 10 min. Indirect treatment with plasma-activated water (15 kV, 10 min) effectively broke the seed dormancy by regulating active nitrogen oxygen particle components, increasing the germination percentage by 50%. Analysis of antioxidant enzyme activity showed that in seedlings the activities of superoxide dismutase (SOD) and peroxidase (POD) increased by 75% and 21%, respectively, after treatment, revealing the mechanism of oxidative stress response induced by plasma. This study provides theoretical and technical references for the application of plasma technology in enhancing seed vitality and agricultural practices.
Full article

Figure 1
Open AccessArticle
The Effect of Electrode Geometry on Excited Species Production in Atmospheric Pressure Air–Hydrogen Streamer Discharge
by
Shirshak Kumar Dhali and Stuart Reyes
Plasma 2025, 8(4), 42; https://doi.org/10.3390/plasma8040042 - 15 Oct 2025
Abstract
When a gas is overvolted at or near atmospheric pressure, it results in a streamer discharge formation. Electrode geometries exert significant impact on the electrical breakdown of gases by altering the spatial profile of the electric field. In many applications the efficient generation
[...] Read more.
When a gas is overvolted at or near atmospheric pressure, it results in a streamer discharge formation. Electrode geometries exert significant impact on the electrical breakdown of gases by altering the spatial profile of the electric field. In many applications the efficient generation of radicals is critical and is determined by the characteristics of the streamer discharge. We examine the effect of electrode geometry on the streamer characteristics and the production of radicals. This is performed for three different electrode geometries: plane–plane, pin–plane, and pin–pin. A two-dimensional rotationally symmetric fluid model is used for the streamer discharge simulation in the hydrogen/air gas mixture. The spatial profile of electron density and the electric field for point electrodes show significant differences when compared to plane electrodes. However, the efficiency of radical generation shows similar trends for the electrode configurations studied. We also present the results of spatial electrical energy density distribution which in turn determines spatial excited species distribution. These results can inform the design of specific applications.
Full article
(This article belongs to the Special Issue Processes in Atmospheric-Pressure Plasmas—2nd Edition)
►▼
Show Figures

Figure 1
Open AccessArticle
Study on Development of Hydrogen Peroxide Generation Reactor with Pin-to-Water Atmospheric Discharges
by
Sung-Young Yoon, Eun Jeong Hong, Junghyun Lim, Seungil Park, Sangheum Eom, Seong Bong Kim and Seungmin Ryu
Plasma 2025, 8(4), 41; https://doi.org/10.3390/plasma8040041 - 14 Oct 2025
Abstract
We present an experimentally validated, engineering-oriented framework for the design and operation of pin-to-water (PTW) atmospheric discharges to produce hydrogen peroxide (H2O2) on demand. Motivated by industrial needs for safe, point-of-use oxidant supply, we combine time-resolved diagnostics (FTIR, OES),
[...] Read more.
We present an experimentally validated, engineering-oriented framework for the design and operation of pin-to-water (PTW) atmospheric discharges to produce hydrogen peroxide (H2O2) on demand. Motivated by industrial needs for safe, point-of-use oxidant supply, we combine time-resolved diagnostics (FTIR, OES), liquid-phase analysis (ion chromatography, pH, conductivity), and coupled plasma-chemistry/fluid simulations to link plasma state to aqueous H2O2 yield. Under the tested conditions (14.3 kHz, 0.2 kW; electrode to quartz wall distance 12–14 mm; coolant setpoints 0–40 °C), H2O2 concentration follows a reproducible non-monotonic trajectory: rapid accumulation during the early treatment (typical peak at ~15–25 min), followed by decline with continued operation. The decline coincides with a robust vibrational-temperature (Tvib) threshold near ~4900 K measured from N2 emission, and with concurrent NOX accumulation and bulk acidification. Global chemistry modeling and Fluent flow fields reproduce the observed trend and show that both vibrational excitation (kinetics) and convective transport (mass/heat transfer) determine the productive time window. Based on these results, we formulate practical design rules—electrode gap (power density), discharge current control, thermal/flow management, water quality, and OES-based Tvib monitoring with an automated stop rule—that maximize H2O2 yield while avoiding NOX-dominated suppression. The study provides a clear path for transforming mechanistic plasma insights into deployable, industrial H2O2 generator designs.
Full article
(This article belongs to the Special Issue Feature Papers in Plasma Sciences 2025)
►▼
Show Figures

Figure 1
Open AccessArticle
Non-Thermal Plasma Treatment of Dye-Contaminated Wastewater: A Sustainable Approach for Pollutant Degradation and Enhanced Plant Growth
by
Subash Mohandoss, Harshini Mohan, Natarajan Balasubramaniyan and Sivachandiran Loganathan
Plasma 2025, 8(4), 40; https://doi.org/10.3390/plasma8040040 - 11 Oct 2025
Abstract
The win–win situation of dye degradation and nitrogen fixation in wastewater using non-thermal plasma (NTP) were investigated in this study. Specifically, the feasibility of utilizing plasma-treated dye-contaminated wastewater for seed germination and plant growth was explored. Crystal Violet (CV) and Rhodamine B (RhB)
[...] Read more.
The win–win situation of dye degradation and nitrogen fixation in wastewater using non-thermal plasma (NTP) were investigated in this study. Specifically, the feasibility of utilizing plasma-treated dye-contaminated wastewater for seed germination and plant growth was explored. Crystal Violet (CV) and Rhodamine B (RhB) dyes were used as model pollutants, while Sorghum bicolor (great millet) seeds were used to assess germination rates and plant growth responses. In untreated wastewater containing CV and RhB, approximately 45% of seeds germinated after three days, but no significant stem or root growth was observed after 11 days. Plasma treatment significantly enhanced dye degradation, with efficiency improving as treatment time and input power increased. After 16 min of plasma treatment at 1.3 ± 0.2 W input power, about 99% degradation efficiency was achieved for both CV (0.0122 mM) and RhB (0.0104 mM). This degradation was primarily driven by reactive oxygen and nitrogen species (RONS) generated by plasma discharge. When sorghum seeds were germinated using plasma-treated wastewater, the germination rate increased to 65% after three days—20% higher than with untreated wastewater. Furthermore, after 11 days, the average stem length reached 9 cm, while the average root length extended to 7 cm. These findings highlight NTP as a promising and sustainable method for degrading textile industry pollutants while simultaneously enhancing crop productivity through the reuse of treated wastewater.
Full article
(This article belongs to the Special Issue Feature Papers in Plasma Sciences 2025)
►▼
Show Figures

Graphical abstract
Open AccessArticle
PIC Modeling of Ionospheric Plasma Diagnostics by Hemispherical Probes: Study of the LAP-CSES at Magnetic Conjugates
by
Nadia Imtiaz, Saeed Ur Rehman, Liu Chao, Rui Yan and Richard Marchand
Plasma 2025, 8(4), 39; https://doi.org/10.3390/plasma8040039 - 30 Sep 2025
Abstract
►▼
Show Figures
We present three dimensional particle-in-cell simulations of current-voltage characteristics of the hemispherical Langmuir probe (LAP), onboard the China Seismo-Electromagnetic Satellite (CSES). Using realistic plasma parameters and background magnetic fields obtained from the International Reference Ionosphere (IRI) and International Geomagnetic Reference Field (IGRF) models,
[...] Read more.
We present three dimensional particle-in-cell simulations of current-voltage characteristics of the hemispherical Langmuir probe (LAP), onboard the China Seismo-Electromagnetic Satellite (CSES). Using realistic plasma parameters and background magnetic fields obtained from the International Reference Ionosphere (IRI) and International Geomagnetic Reference Field (IGRF) models, we simulate probe–plasma interactions at three locations: the equatorial region and two magnetically conjugate mid-latitude sites: Millstone Hill (Northern Hemisphere) and Rothera (Southern Hemisphere). The simulations, performed using the PTetra PIC code, incorporate realistic LAP geometry and spacecraft motion in the ionospheric plasma. Simulated current voltage characteristics or I–V curves are compared against in-situ LAP measurements from CSES Orbit-026610, with Pearson’s correlation coefficients used to assess agreement. Our findings indicate how plasma temperature, density, and magnetization affect sheath structure and probe floating potential. The study highlights the significance of kinetic modeling in enhancing diagnostic accuracy, particularly in variable sheath regimes where classic analytical models such as the Orbital-Motion-Limited (OML) theory may be inadequate.
Full article

Figure 1
Open AccessArticle
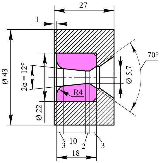
Polishing Inner Surface of Dies with a Beam of Fast Argon Atoms
by
Alexander S. Metel, Marina A. Volosova, Enver S. Mustafaev, Yury A. Melnik and Sergey N. Grigoriev
Plasma 2025, 8(4), 38; https://doi.org/10.3390/plasma8040038 - 28 Sep 2025
Abstract
The removal of defective surface layers can substantially improve the quality of various products. It can be carried out using beams of accelerated ions or fast argon atoms. However, it is difficult to process the inner surface of narrow channels. In the present
[...] Read more.
The removal of defective surface layers can substantially improve the quality of various products. It can be carried out using beams of accelerated ions or fast argon atoms. However, it is difficult to process the inner surface of narrow channels. In the present work, a narrow beam of fast argon atoms is used to sputter and polish the inner surface of drawing dies with 5.7 mm wide working channels. Due to the high angle of incidence to the channel walls, sputtering with fast argon atoms decreased their roughness to Ra ~ 0.004 µm.
Full article
(This article belongs to the Special Issue Feature Papers in Plasma Sciences 2025)
►▼
Show Figures

Figure 1
Open AccessArticle
Study on Lightning-Induced Plasma Extinguishing in 10 kV Distribution Network Lines Based on Electronegative Gas Trifluoroiodomethane
by
Ping Huang, Zhipeng Wu, Li Tian, Biao Zhang, Yuang Long, Zhenyu Liu and Yiyi Zhang
Plasma 2025, 8(3), 37; https://doi.org/10.3390/plasma8030037 - 19 Sep 2025
Abstract
►▼
Show Figures
Plasma arcs generated by lightning strikes are prone to tripping distribution lines, especially 10 kV lines. To reduce the lightning-induced tripping rate of 10 kV distribution lines and ensure the safe operation of power systems, this paper proposes a same-level double-fracture lightning protection
[...] Read more.
Plasma arcs generated by lightning strikes are prone to tripping distribution lines, especially 10 kV lines. To reduce the lightning-induced tripping rate of 10 kV distribution lines and ensure the safe operation of power systems, this paper proposes a same-level double-fracture lightning protection device containing the electronegative gas trifluoroiodomethane (CF3I). A mathematical model of the gas arc-extinguishing process is established based on magnetohydrodynamics. Meanwhile, the mechanism of CF3I in the arc-extinguishing process is analyzed according to its physical and chemical properties, and the arc-extinguishing process is simulated using COMSOL Multiphysics 6.0. The results show that (1) the arc-extinguishing effect is optimal when the horizontal distance of the compression pipeline of the device is 9 mm; (2) under the action of power frequency currents with different initial phases of π/2 and 0, the arc-extinguishing device can extinguish the arc within 800 without re-ignition; and (3) in the arc-extinguishing process involving CF3I, the arc can be extinguished within 710 , which is 11.2% quicker than that without CF3I. Meanwhile, CF3I can effectively reduce the arc temperature at the initial stage of arc extinguishing, avoiding damage caused by excessive internal compression of the device.
Full article

Figure 1
Open AccessArticle
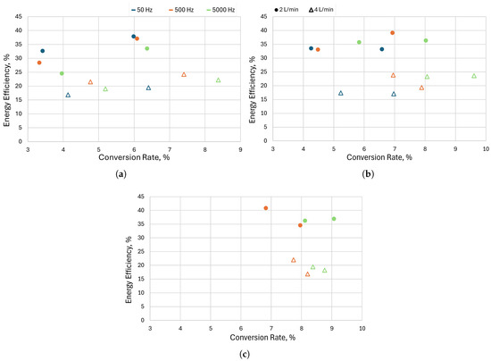
Minimization of Chemical Kinetic Reaction Set for System-Level Study of Non-Thermal Plasma NOx Abatement Process
by
Nicolas Bente, Alfredo Cuellar Valencia and Hubert Piquet
Plasma 2025, 8(3), 36; https://doi.org/10.3390/plasma8030036 - 12 Sep 2025
Abstract
A system-level study of a NOx abatement process by means of non-thermal plasma (NTP) generated with dielectric barrier discharges (DBDs) is the framework of this article. With the goal of system improvement, the kinetic reaction simulation software ZdPlaskin is considered to select
[...] Read more.
A system-level study of a NOx abatement process by means of non-thermal plasma (NTP) generated with dielectric barrier discharges (DBDs) is the framework of this article. With the goal of system improvement, the kinetic reaction simulation software ZdPlaskin is considered to select the most favorable operating conditions in order to optimize NOx abatement (deNOx). A parametric exploration of the performance, through variations in operating conditions (temperature, power injection pattern, and input gas mixture composition), requires highly numerous simulations; thus, the shortest possible computation times with robust results are of significant interest. As such, an analysis and filtering method is proposed and detailed to build a minimized chemical kinetic reaction set, allowing us to reliably analyze the impact of the selected operating conditions for the DBD reactor on treatment performance.
Full article
(This article belongs to the Special Issue Feature Papers in Plasma Sciences 2025)
►▼
Show Figures

Figure 1
Open AccessArticle
Time- and Space-Resolved Radiation from the Plasma Produced by High-Power, Sub-ns Microwave Pulse Gas Ionization
by
Vladislav Maksimov, Adi Haim, Ron Grikshtas, Alexander Kostinskiy, Elhanan Magid, John G. Leopold and Yakov E. Krasik
Plasma 2025, 8(3), 35; https://doi.org/10.3390/plasma8030035 - 5 Sep 2025
Abstract
Time- and space-resolved radiation emitted by the plasma produced by a 0.8 ns duration at full width half maximum, ~600 MW maximum power microwave (~9.6 GHz) pulse traversing a hydrogen-, helium-, or air-filled circular waveguide, is studied. Gas ionization by microwaves is an
[...] Read more.
Time- and space-resolved radiation emitted by the plasma produced by a 0.8 ns duration at full width half maximum, ~600 MW maximum power microwave (~9.6 GHz) pulse traversing a hydrogen-, helium-, or air-filled circular waveguide, is studied. Gas ionization by microwaves is an old subject but the regime investigated in the present experimental research, of very high-power microwaves and very short pulses using modern diagnostic tools, is new and follows a series of new studies performed so far only in our laboratory, revealing non-linear phenomena never observed before. In the present research, plasma radiation is observed along a slit made in a circular waveguide wall by either an intensified fast frame camera or a streak camera. Using calibrated input and output couplers, the transmission and reflection coefficients of the high-power microwaves were determined over a broad range of gas pressures, 0.1 kPa < P < 90 kPa. It was found that the intensity of the plasma light emission increases significantly after the high-power microwave pulse has left the waveguide. Depending on pressure, the radiation is either uniform along the slit, while the front of the emitted light follows the microwave pulse at a velocity close to its group velocity, or it remains in the vicinity of the input window, indicating that the plasma density is above critical density. It was also found that the radial distribution of radiation depends on pressure. At pressures <10 kPa, when the electron oscillatory energy reaches 20 keV close to the waveguide axis, light emission forms faster near the waveguide walls, where the ionization rate is maximal. Otherwise, when pressure is >80 kPa, light emission is most intense on the axis where the electron oscillatory energy is ~100 eV and the ionization rate is maximal. We also studied the UV radiation from the plasma, the duration of which was found to be longer than the duration of visible light emission. This indicates the existence of energetic electrons for tens of ns after the high-power microwave pulse has left the observation region. Considering that the emitted light intensity depends on the plasma density and temperature, the observed data may be used for a comparison with the results of collisional radiative models if the electron time and spatial energy distribution is known.
Full article
(This article belongs to the Special Issue Feature Papers in Plasma Sciences 2025)
►▼
Show Figures

Figure 1
Open AccessArticle
Trypan Blue Image-Guided Removal of Surface-Based Bacterial Biofilms from Chicken Tissue Using Cold Atmospheric Pressure Plasma
by
Michael Okebiorun, Dalton Miller, Kenneth A. Cornell and Jim Browning
Plasma 2025, 8(3), 34; https://doi.org/10.3390/plasma8030034 - 26 Aug 2025
Abstract
►▼
Show Figures
The study evaluates the efficacy of an image-guided CAP treatment method with a plasma device capable of rapid biofilm removal from chicken tissue. The plasma treatment operating configuration includes a gas mixture of Argon and H2O at a flowrate of 1.5
[...] Read more.
The study evaluates the efficacy of an image-guided CAP treatment method with a plasma device capable of rapid biofilm removal from chicken tissue. The plasma treatment operating configuration includes a gas mixture of Argon and H2O at a flowrate of 1.5 lpm. An X-Y stage was used to move the chicken sample below the stationary plasma scalpel at a speed of 0.1 mm/s. The discharge voltage and current were maintained between 3.2 and 3.7 kV (AC 20 kHz), and at 3 mA, respectively. The electrode gap and sample distance were set to 0.6 mm and 4 mm. This configuration facilitated effective biofilm removal, as confirmed by CFU analysis and 3D microscopic analysis showing a >99% reduction in biofilm post treatment with an etch rate of 2.2–5.8 µm/s and an impact width of up to 300 µm. The plasma scalpel electrode temperature reached 94.7 °C, while the targeted biofilm area was heated to 36.3 °C, suggesting non-thermal biofilm disruption. Three-dimensional microscopic analysis revealed biofilm thickness on chicken tissues ranging from 20 to 180 µm, comparable to biofilm loads on mammalian tissues. In conclusion, the study highlights the potential of CAP devices as a promising solution for biofilm debridement.
Full article

Figure 1
Open AccessArticle
Fluorine Plasma Functionalization of Borophene Nanoflakes
by
Juan Casanova-Chafer, Pedro Atienzar and Carla Bittencourt
Plasma 2025, 8(3), 33; https://doi.org/10.3390/plasma8030033 - 22 Aug 2025
Abstract
Theoretical studies have indicated that borophene is a promising two-dimensional material characterized by remarkable chemical, mechanical, and electrical properties. Nonetheless, its practical applications in areas such as catalysis and gas sensing are hindered by the limited density of reactive sites in its pristine
[...] Read more.
Theoretical studies have indicated that borophene is a promising two-dimensional material characterized by remarkable chemical, mechanical, and electrical properties. Nonetheless, its practical applications in areas such as catalysis and gas sensing are hindered by the limited density of reactive sites in its pristine form. To address this limitation, the present study explores the controlled fluorination of borophene nanoflakes as a strategy to modify their surface chemistry and enhance the availability of active sites. Furthermore, it is anticipated that surface fluorination will improve hydrophobicity, which is crucial for reducing humidity-related interference in sensing applications. In this study, we report the successful functionalization of borophene nanoflakes with fluorine using a plasma arc discharge technique for the first time. Borophene nanolayers were synthesized via a sonochemical-assisted exfoliation method, yielding nanosheets with an average lateral dimension of approximately 100 nm. The fluorinated samples were characterized using X-ray photoelectron spectroscopy (XPS), X-ray diffraction (XRD), and high-resolution transmission electron microscopy (HRTEM). A systematic investigation of plasma exposure durations demonstrated that fluorine was effectively introduced as a dopant while maintaining the crystallinity of the borophene lattice.
Full article
(This article belongs to the Special Issue Feature Papers in Plasma Sciences 2025)
►▼
Show Figures

Figure 1
Open AccessArticle
MMMnet: A Neural Network Surrogate for Real-Time Transport Prediction Based on the Updated Multi-Mode Model
by
Khadija Shabbir, Brian Leard, Zibo Wang, Sai Tej Paruchuri, Tariq Rafiq and Eugenio Schuster
Plasma 2025, 8(3), 32; https://doi.org/10.3390/plasma8030032 - 22 Aug 2025
Abstract
The Multi-Mode Model (MMM) is a physics-based anomalous transport model integrated into TRANSP for predicting electron and ion thermal transport, electron and impurity particle transport, and toroidal and poloidal momentum transport. While MMM provides valuable predictive capabilities, its computational cost, although manageable for
[...] Read more.
The Multi-Mode Model (MMM) is a physics-based anomalous transport model integrated into TRANSP for predicting electron and ion thermal transport, electron and impurity particle transport, and toroidal and poloidal momentum transport. While MMM provides valuable predictive capabilities, its computational cost, although manageable for standard simulations, is too high for real-time control applications. MMMnet, a neural network-based surrogate model, is developed to address this challenge by significantly reducing computation time while maintaining high accuracy. Trained on TRANSP simulations of DIII-D discharges, MMMnet incorporates an updated version of MMM (9.0.10) with enhanced physics, including isotopic effects, plasma shaping via effective magnetic shear, unified correlation lengths for ion-scale modes, and a new physics-based model for the electromagnetic electron temperature gradient mode. A key advancement is MMMnet’s ability to predict all six transport coefficients, providing a comprehensive representation of plasma transport dynamics. MMMnet achieves a two-order-of-magnitude speed improvement while maintaining strong correlation with MMM diffusivities, making it well-suited for real-time tokamak control and scenario optimization.
Full article
(This article belongs to the Special Issue Feature Papers in Plasma Sciences 2025)
►▼
Show Figures

Figure 1
Highly Accessed Articles
Latest Books
E-Mail Alert
News
Topics
Topic in
Electronics, Magnetism, Physics, Plasma, Symmetry, Energies, Sensors
Advanced Electromagnetic Modeling and Simulation for Multidisciplinary Engineering Systems
Topic Editors: Jinru Sun, Ya'nan Wang, Lujia WangDeadline: 31 December 2026
Conferences
Special Issues
Special Issue in
Plasma
Feature Papers in Plasma Sciences 2025
Guest Editor: Andrey StarikovskiyDeadline: 31 December 2025
Special Issue in
Plasma
Latest Review Papers in Plasma Science 2025
Guest Editor: Andrey StarikovskiyDeadline: 31 December 2025
Special Issue in
Plasma
Application of Neural Networks to Plasma Data Analysis
Guest Editor: Brunello TirozziDeadline: 31 January 2026
Special Issue in
Plasma
Recent Advances of Dielectric Barrier Discharges
Guest Editor: Bruno CaillierDeadline: 28 February 2026




