-
The Plastic Signature: Microplastic Ingestion and Phthalate Exposure in Parapenaeus longirostris from Three Tyrrhenian Sites (Mediterranean Sea) -
The Fate of Biodegradable Plastic Items Under Conditions of State-of-the-Art Composting -
Microplastic Accumulation in Urban Stream Sediments: Vertical Distribution and Transport Dynamics
Journal Description
Microplastics
Microplastics
is an international, peer-reviewed, open access journal on the science and technology of primary and secondary microplastics published quarterly online by MDPI.
- Open Access— free for readers, with article processing charges (APC) paid by authors or their institutions.
- High Visibility: indexed within ESCI (Web of Science), Scopus, EBSCO, and other databases.
- Journal Rank: JCR - Q1 (Environmental Sciences) / CiteScore - Q1 (Environmental Science (miscellaneous))
- Rapid Publication: manuscripts are peer-reviewed and a first decision is provided to authors approximately 34.6 days after submission; acceptance to publication is undertaken in 5.9 days (median values for papers published in this journal in the first half of 2025).
- Recognition of Reviewers: APC discount vouchers, optional signed peer review and reviewer names are published annually in the journal.
- Journal Cluster of Polymer and Macromolecular Science: Polymers, Gels, Polysaccharides, Textiles, Macromol, Microplastics and Adhesives.
Impact Factor:
5.1 (2024);
5-Year Impact Factor:
5.2 (2024)
Latest Articles
Nanoplastic Contamination Across Common Beverages and Infant Food: An Assessment of Packaging Influence
Microplastics 2025, 4(4), 108; https://doi.org/10.3390/microplastics4040108 - 18 Dec 2025
Abstract
The widespread presence of nanoplastics (NPs) in the environment creates a significant and growing concern for global health, with ingestion, inhalation, and dermal contact identified as primary exposure pathways. Despite their documented presence in various environmental matrices and human tissues, robust quantitative data
[...] Read more.
The widespread presence of nanoplastics (NPs) in the environment creates a significant and growing concern for global health, with ingestion, inhalation, and dermal contact identified as primary exposure pathways. Despite their documented presence in various environmental matrices and human tissues, robust quantitative data on NP levels remains scarce. This study addresses this critical gap by employing a novel and rapid flow cytometry technique to quantify nanoplastic concentrations in commercial waters, common beverages and infant food, with special focus in packaging influence. Pyrogen-free water was analyzed to establish the negative control for NP concentration, yielding 5.24 ± 2.02 events/µL. Ten commercial waters from natural springs in Spain and France showed NP levels ranging from 1.75 NP/µL to 67.94 NP/µL (mean: 19.90 ± 14.53 NP/µL), where three of those brands showed significantly higher NP numbers than the pyrogen-free water control. Compared to pyrogen-free water, infant formula and cereal porridge showed very low NP concentrations, with values of 10.27 ± 6.85 and 6.78 ± 2.27 events/µL, respectively, following triplicate analyses of six samples. Additional analyses comparing three similar soft drinks across different packaging (can, plastic bottle, or glass bottle) found no significant differences in NP concentration attributable to the container type. NPs, as ubiquitous contaminants, can be ingested by organisms through food and drink. Potential NP contamination in commercial water may be due to factors such as source water contamination, filtration and packaging. The presence of very low concentrations of NPs in infant foods suggests rigorous and effective quality control. Finally, the presence of NP in soft drinks was not affected by the type of packaging. Although soft drinks have higher NP levels than water, the type of packaging had no effect on the presence of NP in these soft drinks. Despite all plastic bottles being made of polyethylene terephthalate, variation in NP accumulation implies that material quality, storage condition, and substantially, water treatment and filtering processes contribute to NP contamination. This research gives evidence for widespread nanoplastic accumulation in bottled water, common beverages and infant formula and sets the stage for demanding research to further investigate sources, health effects, and development into effective quality control and preventive measures for public health.
Full article
(This article belongs to the Collection Feature Papers in Microplastics)
►
Show Figures
Open AccessReview
Nature-Based Solutions for Removal of Microplastics from Wastewater: Technologies, Challenges, and Prospects
by
Casper Boongaling Agaton
Microplastics 2025, 4(4), 107; https://doi.org/10.3390/microplastics4040107 - 16 Dec 2025
Abstract
►▼
Show Figures
Microplastic pollution has emerged as a serious societal concern, posing risks to the environment, human health, and economies. Conventional wastewater treatment processes remove microplastics at various levels from physical removal (primary), biological degradation (secondary), and contaminant-specific removal (tertiary treatment). Nature-based solutions (NbSs) offer
[...] Read more.
Microplastic pollution has emerged as a serious societal concern, posing risks to the environment, human health, and economies. Conventional wastewater treatment processes remove microplastics at various levels from physical removal (primary), biological degradation (secondary), and contaminant-specific removal (tertiary treatment). Nature-based solutions (NbSs) offer an ecologically friendly alternative that utilizes nature to remove microplastics from wastewater. Recent reviews either focus broadly on NBSs for wastewater, technological solutions for microplastics, or NbSs for microplastics, but rarely connect them systematically. This review presents an integrated review of the sources and impacts of microplastic pollution, NbS technologies for the removal of microplastics, challenges and prospects in utilizing NbSs, and the knowledge gaps. Primary sources of microplastics are intentionally produced at microscopic sizes, while secondary sources originate from the disintegration of larger plastic debris. Among the NbS technologies are constructed wetlands (horizontal subsurface flow, vertical flow, surface flow, microbial fuel cells, multistage) with up to 100% efficiency; green infrastructures (bioretention systems, green walls, permeable pavements, retention ponds) with up to 99% efficiency; macrophytes and microphytes with up to 94% microplastic removal rate. Despite the ecosystem services provided by NbSs, they are challenged by the decrease in efficiency in removing other contaminants, detection and evaluation of NbS performance, and non-technical factors (operations and maintenance, public acceptance, climate risks, and financing). The findings present insights on further research and policy recommendations aimed at facilitating the integration of NbSs into existing frameworks for the removal of microplastics from wastewater, promoting research and innovation, and ensuring sustainable practices for sustainable management of water resources.
Full article

Figure 1
Open AccessArticle
Land Use and Rainfall as Drivers of Microplastic Transport in Canal Systems: A Case Study from Upstate New York
by
Md Nayeem Khan Shahariar, Addrita Haque, Thomas M. Holsen and Abul B. M. Baki
Microplastics 2025, 4(4), 106; https://doi.org/10.3390/microplastics4040106 - 15 Dec 2025
Abstract
Microplastic pollution in freshwater systems represents a growing environmental concern, yet the dynamics of microplastic distributions in smaller tributaries like canals/creeks remain understudied. This case study presents an investigation of microplastic contamination in a canal system in upstate New York, USA, examining land
[...] Read more.
Microplastic pollution in freshwater systems represents a growing environmental concern, yet the dynamics of microplastic distributions in smaller tributaries like canals/creeks remain understudied. This case study presents an investigation of microplastic contamination in a canal system in upstate New York, USA, examining land use and rainfall that influence microplastic abundance, distribution, and characteristics. Water and sediment samples were collected bi-weekly (June–August 2023) from sites representing runoff from diverse land-use types: agricultural areas, residential zones, academic buildings, and parking lots. The study reveals significant land-use dependent variations in contamination, with mean concentrations of 17 ± 7 items/L in the water column, while suspended sediment and bedload reached 540 ± 230 items/kg and 370 ± 80 items/kg, respectively. Upstream water column exhibited the highest loads (27 ± 2 items/L), driven by cumulative agricultural and commercial inputs, while downstream declines highlighted vegetation-mediated sedimentation. Land-use patterns strongly influenced contamination profiles, with parking lots exhibiting tire-wear fragments, artificial turf contributing polyethylene particles, and residential areas contributing 43% textile fibers. Rainfall intensity and antecedent dry days differentially influenced transport mechanisms. Antecedent dry days strongly predicted parking lot runoff fluxes surpassing rainfall intensity effects and underscored impervious surfaces as transient microplastic reservoirs.
Full article
(This article belongs to the Special Issue Microplastics in Freshwater Ecosystems)
►▼
Show Figures

Graphical abstract
Open AccessArticle
Citizen Science for Assessment of Microplastics on Beaches: A Case Study in Mexico
by
Ana Isabel Hernández-Soriano, Arely Areanely Cruz-Salas, Natalia Paulina Martínez-Toledo, Mariana Elizabeth Ballesteros-López, Alethia Vázquez-Morillas and Juan Carlos Alvarez-Zeferino
Microplastics 2025, 4(4), 105; https://doi.org/10.3390/microplastics4040105 - 11 Dec 2025
Abstract
►▼
Show Figures
Microplastic pollution is a global environmental problem that affects marine and coastal ecosystems, and whose traditional monitoring is often expensive and limited in coverage. In this citizen science project, through the active participation of 26 local volunteers, data were gathered on the abundance
[...] Read more.
Microplastic pollution is a global environmental problem that affects marine and coastal ecosystems, and whose traditional monitoring is often expensive and limited in coverage. In this citizen science project, through the active participation of 26 local volunteers, data were gathered on the abundance and types of microplastics present on various Mexican beaches, while also promoting public awareness. Participants received materials and basic training to identify and collect microplastics using a standardized methodology, which enabled the creation of a broad and representative database consisting of 63 samples from 42 different beaches. A total of 1500 particles were collected, of which 75.13% were microplastics. The average success rate in collecting microplastics among the volunteers was 63.7 ± 34.7%. The results revealed a considerable diversity of microplastics in the studied areas, with a mean concentration of 3.5 MP/m ± 3.4 MP/m, fragments as the most common type identified (45% of the total), white as the predominant color (43%) and polyethylene as the polymer with the highest proportion (31%). This citizen science approach proved to be an effective tool for environmental monitoring, as the median value of correct identification of microplastics in this study was 80%. This method facilitates large-scale data collection and contributes to community engagement in marine conservation. Moreover, although it needs improvement, the advantages of this methodology are evident in its ability to complement traditional scientific studies and support more informed and participatory public policies in plastic waste management.
Full article

Figure 1
Open AccessArticle
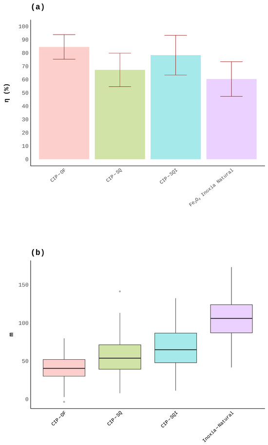
Assessing the Efficacy of Magnetic Micro-Nanoparticles in Water Treatment as a Potential Solution for Textile Microplastic Pollution
by
Serena Benedetta Cabigliera, Costanza Scopetani, Beatrice Muzzi, Martin Albino, David Chelazzi, Daniele Cantagalli, Alessandra Cincinelli and Tania Martellini
Microplastics 2025, 4(4), 104; https://doi.org/10.3390/microplastics4040104 - 10 Dec 2025
Abstract
►▼
Show Figures
Microplastics (MPs) and microfibers (MFs) pose significant environmental hazards, especially in aquatic systems, and are increasingly subject to EU regulatory measures under REACH (Registration, Evaluation, Authorization, and Restriction of Chemicals). This study investigates the effectiveness of magnetic micro/nanoparticles (MNPs) in removing MFs (e.g.,
[...] Read more.
Microplastics (MPs) and microfibers (MFs) pose significant environmental hazards, especially in aquatic systems, and are increasingly subject to EU regulatory measures under REACH (Registration, Evaluation, Authorization, and Restriction of Chemicals). This study investigates the effectiveness of magnetic micro/nanoparticles (MNPs) in removing MFs (e.g., polyester) from water samples from industrial laundry processes. Eight types of MNPs, primarily iron-based and chosen for their easy availability and low cost, were tested. The removal efficiency of these MNPs was evaluated in both laboratory-prepared samples and real industrial laundry effluents. The results demonstrated that most of the tested magnetic MNPs achieved removal rates exceeding 60% with averages of 66% for laboratory samples and 73% for real samples, under optimized conditions. The robustness and applicability of these findings were confirmed by demonstrating that the concentration of MFs in untreated real samples aligns with established literature. This study addresses both the technical aspects of MF separation from water and their real applicability. Magnetic MNPs proved to be a practical and possible scalable solution for mitigating MFs pollution in water, offering a viable approach for both domestic and industrial applications in water purification. The most suitable option was identified based on sustainability criteria such as ecotoxicity, operator safety, and economic benefits. Among the tested MNPs, Carbonyl Iron Powder (CIP), grade OF (Oral Formulation), BASF, emerged as the most promising candidate due to its low environmental impact and established safety profile.
Full article

Graphical abstract
Open AccessArticle
Can Micro/Nanoplastics Influence PM2.5 Characteristics: An Ex Situ Investigation by Physicochemical Indicators of PM2.5 and Their Bacterial Model Toxicity
by
Hasan Saygin, Asli Baysal, Batuhan Tilkili and Sinem Karniyarik
Microplastics 2025, 4(4), 103; https://doi.org/10.3390/microplastics4040103 - 9 Dec 2025
Abstract
Exposure to PM2.5 and its associated micropollutants, including micro- and nanoplastics, has been strongly linked to adverse health effects in humans. The risk posed by micro/nanoplastics can be attributed to the particles themselves and their ability to leach into the surrounding environment. However,
[...] Read more.
Exposure to PM2.5 and its associated micropollutants, including micro- and nanoplastics, has been strongly linked to adverse health effects in humans. The risk posed by micro/nanoplastics can be attributed to the particles themselves and their ability to leach into the surrounding environment. However, the impact of micro/nanoplastics on the surrounding environment through leaching is still underestimated. In this study, we conducted ex situ experiments involving micro/nanoplastics and PM2.5 at various particulate matter mass concentrations and exposure times (1–336 h). The micro/nanoplastics were then removed from the PM2.5 media, and the aromaticity, light absorption, zeta potential, and oxidative potential of the PM2.5 were measured. Furthermore, the toxicity of the PM2.5 was investigated using a bacterial model by Staphylococcus aureus. Changes in the aromaticity, light absorption, zeta potential, and oxidative potential of PM2.5 indicated the impact of the micro/nanoplastics on the PM2.5. For example, PM2.5 exhibited higher aromaticity in the initial exposure stages (2–4% and 9–11%), whereas its light absorption (0.5–6-fold) increased with prolonged exposure to micro/nanoplastics. Overall, more negative zeta potentials and higher oxidative inputs (~6–40%) were obtained in PM2.5 after micro/nanoplastic treatment. The bacterial model revealed that the viability and biofilm formation of bacteria were affected by PM2.5 exposed to micro/nanoplastics, compared to PM2.5 not exposed to micro/nanoplastics, for example, 0.5–2-fold higher bacterial activity with longer MNP exposure and 4–39% higher biofilm formation. Furthermore, the oxidative stress-related bacterial indicators were primarily influenced by the aromaticity, zeta potential, and oxidative potential of PM2.5. The results of this study suggest that the bacterium Staphylococcus aureus can adapt to PM2.5 contaminated with micro/nanoplastics. Therefore, this study highlights the potential impact of micro/nanoplastics on bacterial adaptation to environmental contaminants and antibiotic resistance via PM2.5.
Full article
(This article belongs to the Collection Feature Papers in Microplastics)
►▼
Show Figures

Figure 1
Open AccessArticle
Macro Waste and Microplastics on Moyo and Medang Islands, Nusa Tenggara Barat, Indonesia
by
Engki A. Kisnarti and Selly Kartika Amertha Mevia
Microplastics 2025, 4(4), 102; https://doi.org/10.3390/microplastics4040102 - 9 Dec 2025
Abstract
►▼
Show Figures
Indonesia is an archipelagic country with many small islands. However, studies on the distribution of plastic waste in coastal areas of small islands are still minimal compared to larger islands. This study aims to identify the types, quantities, and distribution of plastic waste
[...] Read more.
Indonesia is an archipelagic country with many small islands. However, studies on the distribution of plastic waste in coastal areas of small islands are still minimal compared to larger islands. This study aims to identify the types, quantities, and distribution of plastic waste (both macro and microplastics) on the coasts of Moyo Island and Medang Island, West Nusa Tenggara Province, Indonesia. Samples were collected at high and low tide through visual observation using transects for macro waste and by collecting coastal sediments for microplastics. Subsequently, sediments were analysed in the laboratory for microplastic identification using fragment, film, fibre, and granule classifications. The results showed that on Moyo Island, 273 macro waste items (8727 g) were recorded at high tide and 277 items (9539 g) at low tide, dominated by hard plastics (125 items), soft plastics (80 items), and rubber (15 items, 3375 g). Meanwhile, on Medang Island, 146 items were found at high tide and 205 items at low tide, with rubber contributing the highest weight (1115 g). Microplastic concentrations were also quite high, with 866 particles/kg at high tide and 689 particles/kg at low tide on Moyo Island, while on Medang Island, 807 particles/kg and 659 particles/kg were recorded, respectively. The most abundant types were films (401 particles/kg at Moyo, 251 particles/kg at high tide) and fragments (201–252 particles/kg), while granules were more prevalent at low tide (213 particles/kg at Moyo, 134 particles/kg at Medang).
Full article

Figure 1
Open AccessArticle
Synthesis of Novel Bismuth-Based Catalysts for the Degradation of Microplastics in Aquatic Matrices
by
Ágata Egea-Corbacho, Ana Pilar Martín-García, María de la Paz Sánchez-Aparicio, María Dolores Coello, José María Quiroga, Rocío Rodríguez, Miguel Ángel Cauqui and María Pilar Yeste
Microplastics 2025, 4(4), 101; https://doi.org/10.3390/microplastics4040101 - 5 Dec 2025
Abstract
►▼
Show Figures
Microplastics are one of the most widely studied and concerning contaminants, as they are present in all environmental compartments, especially water bodies. Wastewater treatment plants are one of the most important pathways through which these pollutants enter the environment. Currently, novel techniques are
[...] Read more.
Microplastics are one of the most widely studied and concerning contaminants, as they are present in all environmental compartments, especially water bodies. Wastewater treatment plants are one of the most important pathways through which these pollutants enter the environment. Currently, novel techniques are being developed to eliminate microplastics from wastewater, including heterogeneous photocatalysis. In this study, two bismuth-based photocatalysts were synthesized using different methods: BiPO4 by the solvothermal method, and Bi2O3/TiO2 by the wet impregnation method. These were morphologically and structurally characterized. Both photocatalysts were then tested in laboratory-scale experiments to evaluate their effectiveness on the degradation of polypropylene microplastics under UV irradiation in ultrapure water. The effectiveness of the treatment was estimated by measuring the reduction in the area of each of the microplastics, and structural changes were assessed using infrared spectroscopy (FTIR). It was found that the BiPO4 catalyst was more effective when applying UV-B radiation, achieving a reduction in the area of microplastics of up to 10.81%, while the Bi2O3/TiO2 catalyst showed a higher efficiency when applying UV-A, achieving a reduction in the area of microplastics of up to 9.15%. The study of microplastics by ATR-FTIR revealed the appearance and modification of some absorption bands, which indicates incipient degradation. The application of both catalysts in real wastewater showed a reduction in the efficiency of the treatment; hence, further studies should be conducted to determine the influence of other variables in the photocatalytic process. In the current context of growing environmental concern, the development of new, easily synthesized catalysts represents a key strategy for reducing or eliminating MPs. This study presents significant advances in the formulation and evaluation of innovative catalysts, demonstrating their potential as effective and accessible tools for mitigating one of the most pressing global pollution challenges.
Full article

Graphical abstract
Open AccessSystematic Review
Microplastic Concentration in Mediterranean Commercial Fish: A Systematic Review
by
Stefania M. Manolaki, Panagiotis D. Dimitriou, Maria Lampa, Ioannis Karakassis and Nafsika Papageorgiou
Microplastics 2025, 4(4), 100; https://doi.org/10.3390/microplastics4040100 - 5 Dec 2025
Abstract
Nowadays, microplastic (MP) pollution has attracted increasing interest from the scientific community. This systematic review investigated the MP concentration in various tissues of five commercial fish species (Engraulis encrasicolus, Boops boops, Sardina pilchardus, Sardinella aurita, and Trachurus mediterraneus
[...] Read more.
Nowadays, microplastic (MP) pollution has attracted increasing interest from the scientific community. This systematic review investigated the MP concentration in various tissues of five commercial fish species (Engraulis encrasicolus, Boops boops, Sardina pilchardus, Sardinella aurita, and Trachurus mediterraneus) in different Mediterranean water bodies in order to identify spatial trends and key analytes influencing their variation. The reported concentrations of MPs in all fish ranged from 4.2 particles/individual in the southeastern Mediterranean to 1.2 particles/individual in the western part, but these values are highly uncertain due to inconsistent methodologies, absence of recovery tests, and incomplete data reporting. No significant difference was found in the MP concentration of the different tissues of these species. The key factor affecting the MP concentration was the water body from which they were collected. This systematic review suggests that fewer than six samples may not provide statistically reliable results, and that a lack of detailed data reporting, despite the advances in chemical characterization techniques, continues to limit the robustness of MP studies. Additionally, this study evaluated how methodological differences could influence the reported MP concentrations. These findings offer a comprehensive overview of the MP expansion in the Mediterranean waterbodies and fish species, and provide recommendations for future research design improvement.
Full article
(This article belongs to the Collection Feature Papers in Microplastics)
►▼
Show Figures

Graphical abstract
Open AccessSystematic Review
Biochar for the Removal of Microplastics from Water: A Comprehensive Scoping Review
by
Abas Mohsenzadeh, Maria Persson, Anita Pettersson and Flemming Jappe Frandsen
Microplastics 2025, 4(4), 99; https://doi.org/10.3390/microplastics4040099 - 3 Dec 2025
Abstract
►▼
Show Figures
Microplastics (MPs) and nanoplastics (NPs) are emerging aquatic contaminants that pose environmental and public health risks due to their persistence, ubiquity, and ability to adsorb co-contaminants. This scoping review synthesises findings from 57 experimental studies and five review studies published between 2019 and
[...] Read more.
Microplastics (MPs) and nanoplastics (NPs) are emerging aquatic contaminants that pose environmental and public health risks due to their persistence, ubiquity, and ability to adsorb co-contaminants. This scoping review synthesises findings from 57 experimental studies and five review studies published between 2019 and 2025 on the use of biochar-based materials for the removal of microplastics from water and wastewater. Guided by the hypothesis that surface-modified biochars, such as magnetised, surfactant-coated, or chemically activated forms, achieve high removal efficiencies through multimodal mechanisms (e.g., electrostatic attraction, hydrophobic interactions, π–π stacking, and physical entrapment), this review applies PRISMA-based protocols to systematically evaluate biochar feedstocks, pyrolysis conditions, surface modifications, polymer types, removal mechanisms, and regeneration approaches. Scopus, Web of Science, and PubMed were searched until 30 May 2025 (English-only), and 62 studies were included. The review was not registered, and no protocol was prepared. The results confirm a high removal efficiency (>90%) in most experimental studies, particularly under controlled laboratory conditions and using pristine polystyrene. However, the performance declines significantly in complex matrices (e.g., wastewater and surface water) owing to dissolved organic matter, ionic competition, and particle heterogeneity, thus supporting the guiding hypothesis. This review also identifies critical methodological gaps, including narrow plastic typologies, a lack of standardised testing protocols, and limited field-scale validation. Addressing these gaps through environmentally realistic testing, regeneration optimisation, and harmonised methods is essential for transitioning biochar from a promising sorbent to a practical water treatment solution.
Full article

Graphical abstract
Open AccessArticle
Emerging Health Risks Associated with the Intake of Microplastics Found in Milk and Dairy Products
by
Andreea Laura Banica, Cristiana Radulescu, Claudia Lavinia Buruleanu, Radu Lucian Olteanu, Raluca Maria Stirbescu, Sorina Geanina Stanescu and Ioana Daniela Dulama
Microplastics 2025, 4(4), 98; https://doi.org/10.3390/microplastics4040098 - 3 Dec 2025
Abstract
Microplastic contamination in milk and dairy products is an emerging public health concern due to the potential transfer of polymer particles into the human diet. This study aims to assess the health risks associated with the presence of five major polymers, such as
[...] Read more.
Microplastic contamination in milk and dairy products is an emerging public health concern due to the potential transfer of polymer particles into the human diet. This study aims to assess the health risks associated with the presence of five major polymers, such as poly(methyl methacrylate), polyurethane, polyester, polyethylene, and polyamide, found in a variety of conventional, organic, and raw milk and dairy products. The risk assessment was performed by calculating several indices, including the polymer risk index, concentration factor, daily plastic intake, the chronic daily exposure dose by ingestion, and the plastic risk index. Statistical analyses, including t-test, Pearson correlations, Multilayer Perceptron Analysis, Principal Component Analysis, Scatterplot Matrix, pairwise comparisons, and Multidimensional Scaling, were performed to establish the emerging risks associated with the consumption of contaminated dairy products. The results indicated significant differences in risk parameters between certain product categories, with yogurts, both conventional and organic, showing consistently higher associations with poly(methyl methacrylate), polyurethane, polyester, and polyamide contamination. Strong positive correlations between microplastic concentration and intake-related parameters have confirmed a robust exposure-risk relationship. The exploratory and predictive analyses have revealed product-specific contamination patterns, but no significant association has been observed between product and polymer types. These findings validate the link between microplastic exposure and human health risk and suggest that targeted monitoring of dairy products with high sensitivity is needed to mitigate potential impacts.
Full article
(This article belongs to the Special Issue Microplastics and Human Health: Impact, Challenges and Interaction Mechanisms)
►▼
Show Figures

Graphical abstract
Open AccessReview
Sustainable Magnetic Nanorobots for Microplastics Remediation
by
Sarah Briceño, José Eduardo Arevalo-Fester and Ivan Andres Fierro-Sanchez
Microplastics 2025, 4(4), 97; https://doi.org/10.3390/microplastics4040097 - 3 Dec 2025
Abstract
►▼
Show Figures
Microplastics have become a major environmental concern due to their resistance to degradation, wide distribution, and potential uptake by organisms. Conventional mitigation strategies often exhibit limitations in efficiency, reuse, and scalability, and may generate secondary pollutants. In this review, we highlight the application
[...] Read more.
Microplastics have become a major environmental concern due to their resistance to degradation, wide distribution, and potential uptake by organisms. Conventional mitigation strategies often exhibit limitations in efficiency, reuse, and scalability, and may generate secondary pollutants. In this review, we highlight the application of magnetically controlled, sustainable nanorobots based on magnetic hybrid nanoparticles with different functional groups to enhance the removal efficiency of microplastics from the environment. By leveraging hydrophobic interactions, surface modifications, and tailored additives, these magnetic nanorobots provide a sustainable, eco-friendly approach to mitigating microplastic pollution and offer improved magnetic separation performance. Bioinspired and biohybrid magnetic nanorobots, based on green synthesis principles, carbon-based nanomaterials, biochar, nature-inspired swarm motion, and collective behavior, present further advancements that mimic biological systems to capture microplastics with high efficiency and recovery. Achieving removal efficiencies often exceeding 90% in minutes, and maintaining the efficiency after several cycles. The synergistic integration of magnetic separability with tailor-made surface functionalities underpins the effectiveness of these magnetic nanorobots, setting the stage for their future commercialization and widespread adoption in water remediation technologies.
Full article

Graphical abstract
Open AccessArticle
Microplastic-Mediated Delivery of Di-butyl Phthalate Alters C. elegans Lifespan and Reproductive Fidelity
by
Chiara Angelyn O. Maldonado, David M. Mares, Paola C. Garcia, Maria F. Gamez, Midori R. Flores, Alyssa D. Friudenberg, Ryan L. Peterson and Jennifer C. Harr
Microplastics 2025, 4(4), 96; https://doi.org/10.3390/microplastics4040096 - 1 Dec 2025
Abstract
►▼
Show Figures
Microplastics harbor chemical additives and absorb pollutants from the environment. Microplastics pose a human health threat and have been found in nearly all human tissues. The toxicological pathways and physiological effects of microplastic-mediated chemical exposure following ingestion remain unknown. Here we use Caenorhabditis
[...] Read more.
Microplastics harbor chemical additives and absorb pollutants from the environment. Microplastics pose a human health threat and have been found in nearly all human tissues. The toxicological pathways and physiological effects of microplastic-mediated chemical exposure following ingestion remain unknown. Here we use Caenorhabditis elegans to investigate the effects of di-butyl phthalate and polystyrene microplastic mixtures on fertility and lifespan. Our studies demonstrate that 1 µm microplastics at 1 mg/L exposure levels result in decreased brood size, whereas 1000 times fewer microplastics (1 µg/L) did not affect the number of eggs laid. While there was no change in brood size at 1 µg/L microplastic exposure levels, there was an increase in embryonic lethality. Microplastics-mediated delivery of di-butyl phthalate to C. elegans significantly reduced brood size and increased embryonic lethality compared to exposure to microplastics alone. This reproductive toxicity is potentially due to a stress response via DAF-16, as observed with microplastics and di-butyl phthalate co-exposure. Furthermore, chronic exposure (from hatching onward) to microplastics shortened the lifespan of C. elegans, which was further reduced with di-butyl phthalate co-exposure. The exacerbated defects observed with co-exposure to phthalate-containing microplastics underscore the risks associated with microplastics releasing the additives and/or chemicals that they have absorbed from the environment.
Full article

Figure 1
Open AccessCommunication
Promoting Biofilm Formation by Serratia marcescens on Three Types of Artificially Aged Microplastics Under Marine Conditions
by
Manildo Marcião de Oliveira, Nikolas Gomes Silveira de Souza, Rachel Ann Hauser-Davis, Renato Matos Lopes, Victor Barbosa Saraiva, Ocimar Ferreira de Andrade, Jader Lugon, Jr., Antônio Silva Neto, Carla C. C. R. de Carvalho and Ramiro Neves
Microplastics 2025, 4(4), 95; https://doi.org/10.3390/microplastics4040095 - 1 Dec 2025
Abstract
►▼
Show Figures
Bacterial biofilms on different types of microplastics in aquatic environments have become an increasing ecological and public health concern. In this context, this study investigated biofilm formation on virgin and aged microplastics under marine conditions. Serratia marcescens biofilm formation was observed on both
[...] Read more.
Bacterial biofilms on different types of microplastics in aquatic environments have become an increasing ecological and public health concern. In this context, this study investigated biofilm formation on virgin and aged microplastics under marine conditions. Serratia marcescens biofilm formation was observed on both virgin and aged polyethylene particles after 7 days, with no significant changes by day 14. Concerning polypropylene microplastics, biofilms developed on aged particles but were not detectable on virgin particles, likely due to interference from the polypropylene red color matching S. marcescens cells. In contrast, expanded polystyrene spheres showed an initial biofilm formation that dissipated by day 14, potentially due to toxic residues from photooxidation, including potential styrene monomers and other chemical additives, inhibiting biofilm persistence. These findings indicate differences in biofilm formation across microplastics types, which may influence microplastic buoyancy and ecological impacts. Thus, microplastic color and additives should be considered in future studies on microplastics biofilm formation and biofouling.
Full article

Figure A1
Open AccessArticle
The Effect of Subchronic Polyethylene Microplastic Exposure on Pulmonary Fibrosis Through Pro-Inflammatory Cytokines TNF-α and IL-1β in Wistar Rats
by
Prehatin Trirahayu Ningrum, Soedjajadi Keman, I Ketut Sudiana, Lilis Sulistyorini, Saliza Mohd Elias, Tri Marthy Mulyasari and Abdullah Al Mamun
Microplastics 2025, 4(4), 94; https://doi.org/10.3390/microplastics4040094 - 27 Nov 2025
Abstract
►▼
Show Figures
The lungs function as the organs responsible for the respiratory system and they are essential for breathing, where any dysfunction can impair the respiratory processes. Pulmonary fibrosis is a lung disease that progresses slowly and is not contagious. The purpose of this study
[...] Read more.
The lungs function as the organs responsible for the respiratory system and they are essential for breathing, where any dysfunction can impair the respiratory processes. Pulmonary fibrosis is a lung disease that progresses slowly and is not contagious. The purpose of this study was to analyze the effect of airborne microplastic exposure on the expression of TNF-α and IL-1β cytokines, and on fibroblast cell formation in Rattus norvegicus Wistar strain rats. This research was a quantitative analytical study with a laboratory experimental approach that used experimental animals as research subjects. The research design was a true experimental design with a randomized posttest-only group design. The research was conducted at the molecular level, and the indicators measured were molecular biomarkers. This design involved dividing the experimental animals into six groups: a control group (X0) and five treatment groups (X1, X2, X3, X4, and X5), which received doses of 0.025, 0.5, 1, 2, and 4 mg/L, respectively. Biomarkers and microscopic changes were then measured after 90 days of treatment. In Wistar rats, microplastic exposure significantly increased the expression of TNF-α and IL-1β cytokines, which play an important role in the early phase of the inflammatory response in the lungs, as well as the formation of fibroblast cells as indicators of pulmonary fibrosis. Subchronic inhalation exposure to polyethylene microplastics significantly increased the expression of TNF-α and IL-1β cytokines, and the formation of fibroblast cells, leading to pulmonary fibrosis.
Full article

Figure 1
Open AccessReview
Definition of Emerging Microplastic Syndrome Based on Clinical and Epidemiological Evidence: A Narrative Review
by
Umberto Cornelli, Claudio Casella, Giovanni Belcaro, Maria Rosaria Cesarone, Simonetta Marucci, Mariangela Rondanelli, Martino Recchia and Giuseppe Zanoni
Microplastics 2025, 4(4), 93; https://doi.org/10.3390/microplastics4040093 - 26 Nov 2025
Cited by 1
Abstract
Microplastics and nanoplastics (MNPs) are pervasive contaminants infiltrating water, food, and human tissues. The sharp rise in plastic production—with over half manufactured between 2003 and 2022—has heightened concerns about their health impacts. Methods included: (1) a literature review of clinical studies on MNPs
[...] Read more.
Microplastics and nanoplastics (MNPs) are pervasive contaminants infiltrating water, food, and human tissues. The sharp rise in plastic production—with over half manufactured between 2003 and 2022—has heightened concerns about their health impacts. Methods included: (1) a literature review of clinical studies on MNPs focusing on human health and (2) analysis of Standardized Mortality Rates (SMRs) for 44 groups of diseases in Italy (2003–2022, Italian National Institute of Statistics, ISTAT data). The outcomes suggest that MNPs have been connected to pathological alterations in a number of organ systems, such as the gastrointestinal tract (intestine, liver, and pancreas), breathing system, eyes, brain, and vascular structures. SMRs increased significantly in only eight of the 46 illness categories examined between 2003 and 2022. The analysis of clinical and epidemiological data allows us to identify a possible clinical assessment consisting of a 30-variable diagnostic questionnaire (Chicago Cluster Evaluation System, CCES), encompassing laboratory markers, clinical signs, and ultrasound findings. A binomial distribution model suggests that more than 8 positive responses may indicate a presumptive diagnosis of Microplastic Syndrome (MP-Sy). This framework reflects observed clinical/epidemiological patterns and provides a foundation for hypothesis-driven research. Prospective longitudinal studies are warranted to validate the proposed definition and its diagnostic utility. The aim of the present study is to propose a preliminary clinical framework for a potential MP-Sy integrating toxicological evidence with epidemiological data, define diagnostic criteria and assess their consistency with observed disease trends.
Full article
(This article belongs to the Special Issue Microplastics and Human Health: Impact, Challenges and Interaction Mechanisms)
►▼
Show Figures

Graphical abstract
Open AccessArticle
Release of Microplastics from Shoe Outsoles into the Environment by Walking and Jogging, and Ingestion of Shoe Outsole Microplastics by Goldfish
by
Sayaka Manabe, Yasuo Shimizu, Tomoyasu Yoshitomi, Ryosuke Fujinuma and Makito Kobayashi
Microplastics 2025, 4(4), 92; https://doi.org/10.3390/microplastics4040092 - 25 Nov 2025
Abstract
►▼
Show Figures
The migration of terrestrial microplastics (MPs) into aquatic environments is considered to have negatively affected aquatic ecosystems. However, quantifying terrestrial pathways is challenging because of the diverse sources of MPs. A poorly understood MP source is shoe outsoles. Therefore, this study determined whether
[...] Read more.
The migration of terrestrial microplastics (MPs) into aquatic environments is considered to have negatively affected aquatic ecosystems. However, quantifying terrestrial pathways is challenging because of the diverse sources of MPs. A poorly understood MP source is shoe outsoles. Therefore, this study determined whether shoes released MPs by abrasion and conducted a series of five experiments to study the potential impacts on aquatic life. The first and second experiments examined the relationship between the distance walked or jogged and the weight loss of shoes. The weight of the shoes decreased significantly as the moving distance increased; however, the values did not differ significantly between walking and jogging. The third experiment tested the size and number of MPs originating from shoe outsole under simulated conditions using sandpaper, which imitated the surface of an asphaltic pavement. The number of MPs increased as the number of contacts with the sandpaper increased. The fourth and fifth experiments examined whether goldfish, Carassius auratus, ingested rubber tips (RTs) derived from the shoe outsoles. When goldfish were given sinking RT or floating RT, they ingested both types of RT with or without feed, suggesting that goldfish recognized RTs as feed. The results of this study suggested that shoes released abrasion debris and particles into the environment as MPs. This study is the first to demonstrate the process of MP release from shoe outsoles and the ingestion of MPs from shoe outsoles by fish.
Full article

Graphical abstract
Open AccessArticle
Characterization of Microplastics and 6-PPD Quinone in a Suburban Lake–Tributary System Impacted by Highway Runoff
by
Paris M. Velasquez, Lee Green, John Scott and Alan D. Steinman
Microplastics 2025, 4(4), 91; https://doi.org/10.3390/microplastics4040091 - 18 Nov 2025
Abstract
►▼
Show Figures
Characterizing and enumerating microplastics (MPs) have received considerable attention in recent years. Most attention has focused on major waterways and especially in the water column. However, less is known about MPs in smaller lakes and tributaries, as well as in sediments, under both
[...] Read more.
Characterizing and enumerating microplastics (MPs) have received considerable attention in recent years. Most attention has focused on major waterways and especially in the water column. However, less is known about MPs in smaller lakes and tributaries, as well as in sediments, under both baseflow and storm flow conditions. This study examines the role of an unnamed tributary in transporting microplastics and 6PPD-quinone from a major state highway into a small, salt-impacted lake in Grand Rapids, Michigan. Water and sediment samples were collected over a one-year period to characterize microplastic types, abundances, and seasonal variability, while environmental conditions were monitored to assess storm event impacts. Results confirmed widespread microplastic presence in both habitats, with abundances ranging from 61 to 16,390 MPs/L. Many microplastics were black fragments, often unidentifiable but suspected to be rubber-derived. Storm events significantly increased microplastic transport, particularly in the tributary, where concentrations peaked at 16,390/L during fall stormflow. Concentrations of 6-PPD-quinone were very low overall (<1 ng/L), with spikes during storm events in the tributary (up to 201 ng/L). Sediment analysis revealed higher microplastic abundances in the tributary compared to the lake, with black fragments dominating in both habitats. These findings underscore the critical role of storm-driven runoff in microplastic and chemical transport, highlighting the need for improved road infrastructure design to mitigate environmental impacts on downstream water bodies.
Full article

Figure 1
Open AccessArticle
Microplastic Migration from Plastic Packaging into Honey
by
Klytaimnistra Katsara, Zacharias Viskadourakis, Eleftherios Alissandrakis, George Kenanakis and Vassilis M. Papadakis
Microplastics 2025, 4(4), 90; https://doi.org/10.3390/microplastics4040090 - 17 Nov 2025
Abstract
►▼
Show Figures
Prized since antiquity in Greek cultural heritage as a fountain of health and healing and nature’s golden nectar, honey remains one of the world’s most valued natural products. Celebrated for its nutritional, therapeutic, and antimicrobial virtues, honey is now faced with the emerging
[...] Read more.
Prized since antiquity in Greek cultural heritage as a fountain of health and healing and nature’s golden nectar, honey remains one of the world’s most valued natural products. Celebrated for its nutritional, therapeutic, and antimicrobial virtues, honey is now faced with the emerging threat of microplastic contamination. Here, we present direct evidence of microplastic migration into honey, examining real honey samples packaged in flexible plastic pouches, which are commonly offered in cafes all around the world. Such honey samples were tested under different environmental storage conditions (common dry and dark outdoors) and prolonged refrigeration conditions at low temperature, which replicate consumer use. We have identified microplastics using filters and spectroscopic methods in honey from commercial honey pouches, which prove plastic packaging as a contamination source. Additionally, plasticizers were detected in honey that migrated from plastic packaging. The mere fact that microplastics were found in every single storage condition tested and at every time point examined (from day zero of this experiment), while increasing through time, is of great concern for the long-term safety of honey packaging. Our findings emphasize the urgency of reevaluating packaging for honey and other foods, and they open up new perspectives in the study of microplastic migration under real-world conditions.
Full article

Figure 1
Open AccessArticle
Investigating the Potential of Coagulants to Improve Microplastics Removal in Wastewater and Tap Water
by
Claudio Casella, Daniel Sol, Adriana Laca and Mario Díaz
Microplastics 2025, 4(4), 89; https://doi.org/10.3390/microplastics4040089 - 12 Nov 2025
Abstract
►▼
Show Figures
This study investigates the impact of using coagulants on the removal of microplastics (MPs) from wastewater and tap water. Before the settling step, coagulants commonly used in water treatment (FeCl3 or Al2(SO4)3) were added at different
[...] Read more.
This study investigates the impact of using coagulants on the removal of microplastics (MPs) from wastewater and tap water. Before the settling step, coagulants commonly used in water treatment (FeCl3 or Al2(SO4)3) were added at different concentrations to samples taken from an activated sludge reactor and tap water. MPs initially contained in the water samples were chemically and physically characterized, resulting in most of them being fibres smaller than 500 μm, in both media. The use of coagulants improved MPs removal, and the best results were obtained with the aluminum salt, which allowed removal efficiencies of 43% and 62% for tap water and wastewater, respectively. These results demonstrated the potential of coagulants to improve the removal of MPs in treated waters and wastewaters. However, the necessary concentration of the assayed coagulants was quite high, highlighting the interest in investigating their combination with coagulant aids, such as organic polyelectrolytes, which might allow for reduced doses.
Full article

Graphical abstract
Highly Accessed Articles
Latest Books
E-Mail Alert
News
Topics
Topic in
IJERPH, Microplastics, Polymers, Toxics
Plastic Contamination (Plastamination): An Environmental and Public Health-Related Concern
Topic Editors: Rosaria Meccariello, Antonino Testa, Francesco Cappello, Antonietta SantoroDeadline: 30 June 2026
Topic in
Microplastics, Polymers, Sustainability, Toxics, Water
Microplastics Across Ecosystems: Multidisciplinary Approaches to Sources, Sinks and Health Sustainable Solutions
Topic Editors: Caio Rodrigues Nobre, Camilo Dias Seabra PereiraDeadline: 30 November 2026
Topic in
Fishes, Foods, Microplastics, Veterinary Sciences, Poultry, Animals, Ruminants
Micro- and Nanoplastics in Animals and Livestock Production
Topic Editors: Sonia Tassone, Beniamino T. Cenci-Goga, Samia Ben Said, Khalil AbidDeadline: 31 December 2026
Special Issues
Special Issue in
Microplastics
Microplastics and Human Health: Impact, Challenges and Interaction Mechanisms
Guest Editor: Javier BayoDeadline: 31 March 2026
Special Issue in
Microplastics
Microplastics in Freshwater Ecosystems
Guest Editor: Piotr ZielińskiDeadline: 31 August 2026
Special Issue in
Microplastics
Micro- and Nanoplastics Beyond the Mainstream: Understudied Dimensions and Emerging Approaches
Guest Editors: Manuela Piccardo, Antonio TerlizziDeadline: 30 September 2026
Special Issue in
Microplastics
The Role of Recycling in Reducing Microplastic Pollution in Textile Industry
Guest Editors: Maria Râpă, Carmen GaidauDeadline: 30 September 2026
Topical Collections
Topical Collection in
Microplastics
Feature Papers in Microplastics
Collection Editor: Nicolas Kalogerakis


