-
Influence of Long Jetties on Coastal and Estuarine Hydro-Sedimentological Patterns in a Microtidal Region: Potential for Mud Deposit Formation -
Predicting Seiche-Impacted Estuarine Water Levels with Machine Learning Methods -
Interaction Between the Longshore Current and the Undertow Induced by the Turbulent Flow in the Surf Zone of Oblique Spilling Breakers
Journal Description
Coasts
Coasts
is an international, peer-reviewed, open access journal on coastal engineering, management, conservation, biology and ecology, published quarterly online by MDPI.
- Open Access— free for readers, with article processing charges (APC) paid by authors or their institutions.
- High Visibility: indexed within Scopus, GeoRef, and other databases.
- Rapid Publication: manuscripts are peer-reviewed and a first decision is provided to authors approximately 26.6 days after submission; acceptance to publication is undertaken in 5.4 days (median values for papers published in this journal in the second half of 2025).
- Recognition of Reviewers: APC discount vouchers, optional signed peer review, and reviewer names published annually in the journal.
- Journal Clusters of Water Resources: Water, Journal of Marine Science and Engineering, Hydrology, Resources, Oceans, Limnological Review, Coasts.
Latest Articles
Shoreline and Onshore Phenological Characteristics Change Assessment of Bangladesh Delta Adjacent to the Bay of Bengal from 2021 to 2025 Using Satellite Remote Sensing
Coasts 2026, 6(2), 21; https://doi.org/10.3390/coasts6020021 - 19 May 2026
Abstract
►
Show Figures
Bangladesh is an extremely climate-exposed country, with erosion, accretion, tidal surges, and cyclones continuously modifying coastal districts. Shoreline change in Bangladesh is crucial for sustainable coastal management and disaster resilience. Therefore, the objectives of this research are as follows: (i) to assess accretion-
[...] Read more.
Bangladesh is an extremely climate-exposed country, with erosion, accretion, tidal surges, and cyclones continuously modifying coastal districts. Shoreline change in Bangladesh is crucial for sustainable coastal management and disaster resilience. Therefore, the objectives of this research are as follows: (i) to assess accretion- and erosion-based shoreline changes of the Bangladesh delta adjacent to the Bay of Bengal for 2021–2025 using a fixed 2021 reference shoreline and a 2025 shoreline proxy extracted from Landsat 8/9 imagery, and (ii) to explore onshore change dynamics from satellite-derived NDVI, NDBI, and NDWI for 2022–2025. The study covers 14 coastal districts and integrates the 2021 baseline shoreline, Survey of Bangladesh geospatial datasets, and 17,055 Ground Reference Points (GRPs) to support geometric consistency and spatially explicit reporting at the delta scale. Three spectral indices—Normalized Difference Vegetation Index (NDVI), Normalized Difference Water Index (NDWI), and Normalized Difference Built-up Index (NDBI)—were applied to assess vegetation health, surface water distribution, and built-up/exposed land characteristics. Results indicate spatial variability in coastal change, with 383.49 km2 of land gained through accretion and 124.12 km2 lost to erosion, resulting in a neat accretion of 259.37 km2 between 2021 and 2025; 8747.91 km2 remained geomorphologically stable. Spectral index trends show minimal inter-annual NDVI and NDWI variability, suggesting stable vegetation cover and no long-term expansion of surface water. In contrast, a slight increase in NDBI indicates localized exposure of new sediments or small-scale land-use transitions along emerging coastal zones. Spearman correlation analysis highlights consistent negative relationships between NDVI and NDWI and moderate contrasts between NDVI and NDBI, reinforcing the coexistence of vegetation recovery, water withdrawal, and sediment-driven land emergence. The novelty of this study lies in the provision of consistent, near-real-time coastal change inventory for the full ~710 km Bangladesh delta coastline by combining a common 2021 baseline shoreline with harmonized Landsat 8/9 OLI surface reflectance (2022–2025) and linked onshore spectral-index dynamics over the same period. Overall, this short-term assessment reveals a sedimentary system that is active but balanced, with accretion surpassing erosion despite cyclone-affected disturbances, underscoring the value of operational satellite monitoring for coastal management, hazard preparedness, and climate-adaptive planning.
Full article
Open AccessArticle
Governing Marine Space in Peninsular Malaysia: A Framework for Marine Spatial Planning (MSP)
by
Husni Alhan Md Salimun, Mohd Fadzil Mohd Akhir, Nazli Aziz, Che Din Mohd Safuan, Xiong-Zhi Xue, Mohd Fikri Mohamad and Wan Izatul Asma Wan Talaat
Coasts 2026, 6(2), 20; https://doi.org/10.3390/coasts6020020 - 14 May 2026
Abstract
►▼
Show Figures
Marine spatial planning (MSP) has emerged as a key governance approach for managing competing uses of marine space. However, implementing MSP in federal governance systems presents unique challenges due to the distribution of authority across multiple levels of government and sectoral institutions. This
[...] Read more.
Marine spatial planning (MSP) has emerged as a key governance approach for managing competing uses of marine space. However, implementing MSP in federal governance systems presents unique challenges due to the distribution of authority across multiple levels of government and sectoral institutions. This study examines the governance feasibility of MSP in Peninsular Malaysia by analyzing the interaction between constitutional arrangements, as well as legal, policy, institutional, and stakeholder perspectives. The coastal districts of Kuala Terengganu and Kuala Nerus are examined as potential pilot areas for exploring MSP implementation within existing planning mechanisms. This study adopts a qualitative governance analysis based on document review and stakeholder perspectives. Relevant constitutional provisions, policy documents, and institutional mandates are analyzed using qualitative coding in ATLAS.ti and synthesized through a Thematic Analysis Matrix. The findings indicate that Malaysia possesses several governance elements necessary for initiating MSP, including the statutory spatial planning system under the Town and Country Planning Act 1976 (Act 172) and policy recognition of coastal–marine integration. However, governance responsibilities remain dispersed across administrative levels and sectoral agencies. This study proposes a governance pathway demonstrating how MSP may be incrementally integrated within existing spatial planning mechanisms, through Local Plan adaptation and strengthened institutional coordination.
Full article

Figure 1
Open AccessArticle
Ecological Risk in Coastal Ecosystems: Assessment in Two Municipalities in the Gulf of California, Mexico
by
Andrea Escamilla-Trejo, Thelma Michelle Ruiz-Ruiz, Elia Inés Polanco-Mizquez, Luz María Cruz García and José Alfredo Arreola-Lizárraga
Coasts 2026, 6(2), 19; https://doi.org/10.3390/coasts6020019 - 8 May 2026
Abstract
►▼
Show Figures
Ecological risk assessment of ecosystems facing anthropogenic pressures informs coastal management. This study evaluated the ecological risk of ecosystems in two coastal municipalities in the Gulf of California, Mexico. The coastal area under study spans 175 km of coastline and includes various ecosystems,
[...] Read more.
Ecological risk assessment of ecosystems facing anthropogenic pressures informs coastal management. This study evaluated the ecological risk of ecosystems in two coastal municipalities in the Gulf of California, Mexico. The coastal area under study spans 175 km of coastline and includes various ecosystems, as well as the cities of Guaymas and Empalme (~160,000 inhabitants). Ecological risk was assessed by surveying the opinions of experts on local and global activities and influences (climate change), the ecological consequences of hazards, and the resilience (fragmentation) and natural recovery of ecosystems. In addition, potential synergies between human activities and the effects of climate change were identified. The results showed that the main threats are discharges of raw or poorly treated wastewater into the sea, the generation and dumping of garbage, and illegal fishing. Wastewater discharges represent the local threat that interacts most intensively with the effects of climate change. Mangroves, coastal water bodies, and rocky shores face the greatest ecological risk due to continuous exposure to anthropogenic threats, poorly planned urban growth, and industrial development. Approximately 20% of the coastal zone is estimated to correspond to the metropolitan areas of Guaymas and Empalme, where the greatest ecological risk occurs, and these represent opportunities to promote coastal management processes aimed at ecosystem restoration and planned urban development to prevent the loss of coastal ecosystem functions and the services they provide to society.
Full article

Figure 1
Open AccessArticle
Coastal Vulnerability and Risk Analysis Along the Littoral of Togo
by
Dkawlma Tora, Giorgio Fontolan, Saverio Fracaros and Annelore Bezzi
Coasts 2026, 6(2), 18; https://doi.org/10.3390/coasts6020018 - 4 May 2026
Abstract
►▼
Show Figures
This study presents the first fine-scale Coastal Vulnerability Index (CVI) assessment for Togo, evaluating coastal vulnerability and risk along the country’s 50 km barrier coastline in the context of accelerating erosion, rising sea level, and growing human exposure. Using remote sensing, GIS, and
[...] Read more.
This study presents the first fine-scale Coastal Vulnerability Index (CVI) assessment for Togo, evaluating coastal vulnerability and risk along the country’s 50 km barrier coastline in the context of accelerating erosion, rising sea level, and growing human exposure. Using remote sensing, GIS, and a CVI framework, shoreline trend rates, beach width, land use, and the role of existing coastal defences were analysed to support risk-informed decision-making. The coastline was segmented into 99 coastal units of 500 m, and shoreline trend rates were computed using the End Point Rate (EPR) method based on multi-temporal satellite-derived shorelines spanning from 1988 to 2024. Results show strong spatial contrasts in vulnerability, with the eastern sector of the Port of Lomé, particularly a 24.5 km stretch, exhibiting high vulnerability due to persistent shoreline retreat and narrow beach widths. In contrast, the western coastline displays lower vulnerability levels. Several erosion hotspots were identified, including Baguida and Dévinkemé, where recent shoreline retreat reaches up to −12.8 m/year. Existing coastal defences locally mitigate erosion impacts, reducing the extent of highly vulnerable shoreline from 23.5 km to 15 km. The integrated risk assessment identifies 6.5 km of coastline, primarily in the eastern port area, as being at high risk due to the combined effects of erosion and dense human settlement. These results provide spatially explicit information to support integrated coastal zone management, land-use planning, and adaptation strategies in Togo.
Full article

Figure 1
Open AccessArticle
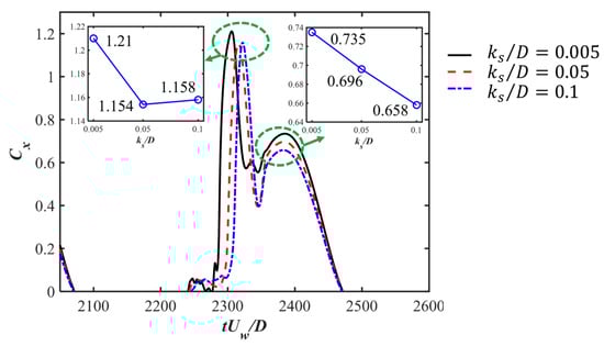
Influence of Long Jetties on Coastal and Estuarine Hydro-Sedimentological Patterns in a Microtidal Region: Potential for Mud Deposit Formation
by
Monique Franzen, Eduardo Siegle, Aldo Sottolichio and Elisa H. L. Fernandes
Coasts 2026, 6(2), 17; https://doi.org/10.3390/coasts6020017 - 15 Apr 2026
Abstract
►▼
Show Figures
Given the continuous expansion of global trade, coastal and estuarine environments have been increasingly modified by anthropogenic pressures associated with port development, particularly through inlet stabilization by jetties, which often causes unintended environmental changes. This study evaluates alterations in estuarine and coastal hydro-sedimentological
[...] Read more.
Given the continuous expansion of global trade, coastal and estuarine environments have been increasingly modified by anthropogenic pressures associated with port development, particularly through inlet stabilization by jetties, which often causes unintended environmental changes. This study evaluates alterations in estuarine and coastal hydro-sedimentological dynamics resulting from the construction of jetties (1911–1915) in the Patos Lagoon estuary, Brazil. A calibrated and validated numerical model (TELEMAC-3D) was used to compare pre-jetties and present conditions. Results showed that the morphological changes induced by the jetties altered estuarine circulation and sediment retention mechanisms. The reduction in current velocities within the channel increased sediment trapping, decreasing sediment transport capacity towards the adjacent coast. In contrast, along the plume jet, flow acceleration enhanced offshore export of fine suspended sediments, shifting deposition from nearshore areas to deeper offshore zones. Under northeastern wind conditions, a higher potential for mud deposition near the western jetty was observed in the post-construction scenario, reflecting a change in local deposition trends. These human-induced modifications not only reorganize sediment pathways but also influence habitat distribution and deposition patterns, highlighting the importance of considering engineering structures in sustainable coastal and estuarine management strategies.
Full article

Figure 1
Open AccessArticle
Wind as an Influential Factor in the Transport and Destination of Oil from Spills Along the Brazilian Semiarid Coast (Ceará State, Northeast Brazil)
by
Alexandre Medeiros de Carvalho, Lidriana de Souza Pinheiro, Antonio Rodrigues Ximenes Neto, Vanda Claudino-Sales, Sérgio Rossi, José Francisco Soares Lima Júnior, Regimario Pereira Lima Filho, Beatriz Diniz Lopes, Thalya dos Santos Sousa and Rivelino Martins Cavalcante
Coasts 2026, 6(2), 16; https://doi.org/10.3390/coasts6020016 - 9 Apr 2026
Abstract
►▼
Show Figures
Oil spills along the northeast coast of Brazil have the potential to cause catastrophic contamination of coastal environments and their associated biota. Beyond the direct contamination processes occurring on beaches, oil can also be transported inland by tides through estuaries. In addition, wind-driven
[...] Read more.
Oil spills along the northeast coast of Brazil have the potential to cause catastrophic contamination of coastal environments and their associated biota. Beyond the direct contamination processes occurring on beaches, oil can also be transported inland by tides through estuaries. In addition, wind-driven transport of oil was observed in nearly all sections studied along the coast. Therefore, this study evaluated the potential of wind to transport oil fragments inland using both direct and indirect methods, including field observations and GIS-based mapping tools. The results identified and quantified oil fragmentation processes and wind-driven transport over relatively large distances (hundreds of meters). The presence of exhumed beachrock, combined with the absence or low elevation of foredunes and the high potential for wind transport, plays a crucial role in trapping oil on the beach surface. These factors further facilitate the fragmentation and inland dispersal of oil particles, allowing them to penetrate deeper into the coastal environment. The findings underscore the importance of assessing the contamination risks posed by oil fragments as they become incorporated into aeolian and other interconnected inland systems.
Full article

Figure 1
Open AccessArticle
Predicting Seiche-Impacted Estuarine Water Levels with Machine Learning Methods
by
Nicolas Guillou
Coasts 2026, 6(2), 15; https://doi.org/10.3390/coasts6020015 - 7 Apr 2026
Abstract
►▼
Show Figures
In estuarine environments, machine learning (ML) methods have been widely applied to predict water-level variations prone to flooding. However, most studies have focused on low-frequency components driven by tides and surges, neglecting high-frequency oscillations such as seiches. This study addresses this gap by
[...] Read more.
In estuarine environments, machine learning (ML) methods have been widely applied to predict water-level variations prone to flooding. However, most studies have focused on low-frequency components driven by tides and surges, neglecting high-frequency oscillations such as seiches. This study addresses this gap by assessing the ability of ML methods to predict seiche-influenced water levels. The application was conducted in the upper Elorn estuary (France), where seiches exceeded 0.6 m in height, with first-mode periods of 45–70 min. The ML procedure relied on a series of recurrent neural networks (RNNs, LSTM, and GRUs) and was implemented in a two-step framework to separately predict (i) low-frequency water-level variations and (ii) high-frequency seiche oscillations. The model accurately reproduced low-frequency dynamics (with a coefficient of determination of 0.98) and captured a substantial portion of seiches-related variability during major events. The integration of seiches improved peak total water-level predictions, reducing the mean absolute error by 30% during tidal cycles characterized by strong seiches (amplitude exceeding 0.1 m). Furthermore, the inclusion of seiches enhanced the estimation of the highest 10% peak water levels while reducing the tendency to underestimate measurements. These findings emphasize the importance of integrating seiche-generating physical processes into ML-based forecasting frameworks.
Full article

Figure 1
Open AccessArticle
Temperature Gradients on the Coast of Peru: Characteristics and Impacts
by
Mark R. Jury
Coasts 2026, 6(2), 14; https://doi.org/10.3390/coasts6020014 - 2 Apr 2026
Abstract
►▼
Show Figures
This study considers temperature gradients over recent decades near Trujillo, Peru, (8.15 S, 78.95 W) using high-resolution data assimilation. Statistical analyses describe a steep gradient from the cool foggy coast to the warm coastal plains below the Andes. A cross-coast transect is analyzed
[...] Read more.
This study considers temperature gradients over recent decades near Trujillo, Peru, (8.15 S, 78.95 W) using high-resolution data assimilation. Statistical analyses describe a steep gradient from the cool foggy coast to the warm coastal plains below the Andes. A cross-coast transect is analyzed for seasonal changes in maximum air temperature from SENAMHI station data interpolated with satellite infrared measurements. Weather forecasts aimed at the urban area show a cool bias at higher temperatures and often under-represent the landward increase of 5 °C/10 km, induced by wind-driven upwelling and turbulent heat flux. Morning fog-stratus tends to delay diurnal heating on the beachfront, whereas, a few kilometers inland, warming occurs due to the segregating effect of channeled long-shore winds. Although seasonality is limited near Trujillo, winter exhibits the greatest variance of maximum temperature due to fluctuations of cloud albedo. Regressions of temperature time series onto meteorological fields identify that a subtropical trough/ridge pattern leads to higher winter values due to weaker upwelling, warmer sea temperatures, and reduced fog-stratus. Long-term trends for increased sea/land gradients have implications for the adaptation to climate change.
Full article

Figure 1
Open AccessArticle
Runoff and Sediment Flux on the North Coast of KwaZulu-Natal: Counter-Acting Beach Erosion from Rising Seas?
by
Mark R. Jury
Coasts 2026, 6(2), 13; https://doi.org/10.3390/coasts6020013 - 1 Apr 2026
Abstract
►▼
Show Figures
A remote analysis of coastal sedimentation in northern KwaZulu-Natal (KZN), South Africa, describes how summer runoff and winter wave-action operate within a highly variable climate. Despite rising sea levels, the sediment flux can sustain beaches under certain conditions. Daily satellite red-band reflectivity and
[...] Read more.
A remote analysis of coastal sedimentation in northern KwaZulu-Natal (KZN), South Africa, describes how summer runoff and winter wave-action operate within a highly variable climate. Despite rising sea levels, the sediment flux can sustain beaches under certain conditions. Daily satellite red-band reflectivity and ocean–atmosphere reanalysis datasets were studied over the period of 2018–2025. Statistical results indicate that streamflow discharges are spread northward by oblique wave-driven currents. Sediment concentrations peak during late winter (>1 mg/L, May–October) when deep turbulent mixing (>40 m) mobilizes sand from the seabed. A case study from September 2021 revealed that ridging high-pressure/cut-off low weather patterns can simultaneously increase streamflow, wave energy, and wind power, creating a surf-zone sediment conveyor along the coast of northern KZN. Long-term climate diagnostics from 1981 to 2025 reveal upward trends in coastal runoff, vegetation, and turbidity (0.29 σ/yr) that point to an increasingly vigorous water cycle. The warming of the southeast Atlantic intensifies the sub-tropical upper-level westerlies and late winter storms over southeast Africa. These processes occur in 5–8 year cycles and drive shoreline advance and retreat, from accretion ~1 T/m and storm surge inundations up to 5.5 m. Using Digital Earth, it was noted that ~1/4 of beaches around Africa are gaining sediment while ~1/3 are eroding. Although remote information could not close the sediment budget, realistic estimates of long-shore transport in the surf-zone (>104 kg/yr/m) and on the beach (>103 kg/yr/m) were calculated. These provide an emerging explanation for the resilience of northern KZN beaches, as sea levels rise at a rate of 0.6 cm/yr.
Full article

Figure 1
Open AccessArticle
Positive Influence of Mussel Aquaculture on Epibenthic Macrofauna: An Example of Restorative Aquaculture in Coastal Ecosystems
by
Estela Carbonell-Garzon, Angela Mateo, Laura Leyva, Paula Daban, Jesus Troncoso and Pablo Sanchez-Jerez
Coasts 2026, 6(1), 12; https://doi.org/10.3390/coasts6010012 - 18 Mar 2026
Abstract
►▼
Show Figures
Human activities have driven habitat degradation and biodiversity loss in marine ecosystems, highlighting the need for strategies that reconcile food production with ecosystem restoration. Restorative aquaculture has emerged as a potential tool to enhance habitat complexity, nutrient cycling, and biodiversity. The review highlighted
[...] Read more.
Human activities have driven habitat degradation and biodiversity loss in marine ecosystems, highlighting the need for strategies that reconcile food production with ecosystem restoration. Restorative aquaculture has emerged as a potential tool to enhance habitat complexity, nutrient cycling, and biodiversity. The review highlighted a global imbalance between mussel production and research on its ecological benefits, with most studies emphasizing environmental impacts rather than positive ecosystem effects. Mussel farms enhance habitat complexity and provide trophic subsidies through mussel fall-off, supporting higher abundances of crustaceans and echinoderms, including commercial species such as lobsters. Ecological effects vary with spatial scale, production type (inshore vs. offshore), substrate characteristics, and farm structure. This review highlights both the ecological benefits and potential risks, including ecological traps. Research gaps include the need for quantitative assessments and long-term monitoring. Mussel farms act as both trophic and structural facilitators, demonstrating how low-trophic aquaculture can synergistically support marine biodiversity and ecosystem resilience. Properly managed, mussel farming could transition from a food production activity to a regenerative ecological tool.
Full article

Figure 1
Open AccessArticle
Regional Validation of Satellite-Derived Beach Width and Slope in Microtidal Environments: The Role of Water Level Forcing and Classifier Training
by
Carolina Billet, Guadalupe Alonso, Matías Dinápoli and Walter Dragani
Coasts 2026, 6(1), 11; https://doi.org/10.3390/coasts6010011 - 13 Mar 2026
Abstract
►▼
Show Figures
Satellite-derived shorelines (SDSs) are increasingly used to monitor beach morphology worldwide, yet their application remains poorly validated in microtidal environments strongly influenced by atmospheric forcing. In this study, the performance of CoastSat and CoastSat.slope using nine years of in situ beach profiles from
[...] Read more.
Satellite-derived shorelines (SDSs) are increasingly used to monitor beach morphology worldwide, yet their application remains poorly validated in microtidal environments strongly influenced by atmospheric forcing. In this study, the performance of CoastSat and CoastSat.slope using nine years of in situ beach profiles from six sandy beaches in Buenos Aires (Argentina) was evaluated. The analysis compares alternative sea level forcings—including global tidal predictions (FES2022), a regional barotropic model with meteorological forcing (MSAS), and wave setup from reanalysis products—and evaluates the effect of using locally trained classifiers on shoreline detection. The results show that locally trained classifiers markedly reduced RMSE values, from 9–21 m with the default classifier to 7–12 m with the locally trained one, while the MSAS model consistently outperforms FES2022 for sea level corrections across all sites. CoastSat.slope provided effective slope estimates for tidal corrections but tended to overestimate values relative to field data. Sensitivity tests confirmed that overestimation has a smaller impact on water level correction than underestimation, explaining why validation metrics improved when using CS.slope-derived slopes. These findings translate into actionable guidelines: (i) prioritize regional sea level models when nontidal variability is large; (ii) apply wave setup corrections cautiously in microtidal coasts; and (iii) use locally trained classifiers in heterogeneous or urbanized beaches. Overall, this study demonstrates that with appropriate parameterization, CoastSat is a reliable tool for shoreline monitoring in atmospherically forced, microtidal coasts, and its methodological insights are transferable to other low-energy, data-scarce regions worldwide.
Full article

Figure 1
Open AccessArticle
Bridging Local and Regional Scales: Ecological and Governance Assessment of Urban Dune Lake Wetlands in a Coastal Metropolis
by
Patricia Moreno-Casasola, Andrés De la Rosa, Luis Alberto Peralta Peláez, Ceferino Vázquez Báez and Hugo López Rosas
Coasts 2026, 6(1), 10; https://doi.org/10.3390/coasts6010010 - 4 Mar 2026
Abstract
►▼
Show Figures
Urban wetlands in coastal cities are under growing strain from urban growth, climate change, and governance that is often fragmented. This study evaluates the condition of the freshwater dune lakes located in the Veracruz–Boca del Río–Medellín conurbation in Mexico, a protected corridor made
[...] Read more.
Urban wetlands in coastal cities are under growing strain from urban growth, climate change, and governance that is often fragmented. This study evaluates the condition of the freshwater dune lakes located in the Veracruz–Boca del Río–Medellín conurbation in Mexico, a protected corridor made up of 33 dune lakes that is increasingly pressured by urban expansion. We used an interdisciplinary approach that combined ecological monitoring, legal analysis, and participatory management tools. Fieldwork included 24 h monitoring of dissolved oxygen, measurements of Biochemical Oxygen Demand (BOD5) in representative systems, a diachronic review of the legal evolution of five Natural Protected Areas (NPAs), and community workshops to jointly design interventions. The results showed strong day–night swings in oxygen (4.0–14.8 mg/L) linked to vegetation dynamics, with nighttime hypoxia posing risks for aquatic fauna. BOD5 ranged from 4.8 to 150.3 mg/L, pointing to severe organic pollution in the most degraded system. The legal review identified repeated patterns of environmental regression, expressed through reductions in protected polygons, the legalization of irregular settlements, and the fragmentation of protected areas through judicial processes. In response, we propose a hybrid management model that brings together riparian restoration, Sustainable Urban Drainage Systems (SUDS), green infrastructure, and participatory monitoring, emphasizing a key 100 m buffer zone. This integrated strategy aims to improve flood regulation, reduce urban heat island effects, and enhance water quality, while also reinforcing community stewardship and legal protection. We conclude that conserving these urban wetlands effectively requires adaptive approaches that connect landscape-scale and local-scale actions, which are essential for climate adaptation in rapidly urbanizing coastal regions.
Full article

Figure 1
Open AccessArticle
Storm Events Along the Coasts of Senegal
by
Cheikh Omar Tidjani Cisse, Rafael Almar and Mamadou Sadio
Coasts 2026, 6(1), 9; https://doi.org/10.3390/coasts6010009 - 3 Mar 2026
Abstract
Coastal storms represent a major environmental issue and constitute an important challenge for coastal flood management. This study analyzes the frequency and characteristics of storms on the Senegalese coast between 1993 and 2023, focusing on four coastal cities: Dakar, Saint-Louis, Mbour, and Cap-Skring.
[...] Read more.
Coastal storms represent a major environmental issue and constitute an important challenge for coastal flood management. This study analyzes the frequency and characteristics of storms on the Senegalese coast between 1993 and 2023, focusing on four coastal cities: Dakar, Saint-Louis, Mbour, and Cap-Skring. The analysis is based on wave data from the ERA5 model and on meteorological and oceanographic data from different models. Storms were detected using the Peak Over Threshold (POT) method, based on the 95th percentile and fitted to a generalized Pareto distribution (GPD). The results reveal a contrasted spatial distribution of coastal storms, with a higher occurrence in Dakar and Saint-Louis. An apparent increase in the frequency of storms is observed in Saint-Louis, Mbour, and Cap-Skring, while an apparent decrease is noted in Dakar; however, these trends are not statistically significant. Extreme coastal water levels (ECWL) associated with storms show an opposite evolution, with an apparent decrease in the first three regions and an apparent increase in Dakar. The most intense and longest storms, in terms of energy content (Es), are mainly observed in Dakar and Saint-Louis. A linear relationship is highlighted between the duration and intensity of storms. Storm occurrence shows a strong seasonal modulation, with a predominance during the dry season (November to May). The most energetic storms are mostly generated by waves from the west to west-northwest direction in Dakar and Saint-Louis, while Mbour and Cap-Skring present a wider directional window. This first analysis at the scale of the Senegalese coast provides essential elements for understanding the risk of coastal storms and constitutes support for coastal flood management in a context of climate change.
Full article
(This article belongs to the Special Issue Coastal Hydrology and Climate Change: Challenges and Solutions)
►▼
Show Figures

Figure 1
Open AccessArticle
Assessment of Wave Data in West Africa for the Estimation of Wave Climate
by
Yusif Owusu, Komlan Agbéko Kpogo-Nuwoklo, Anthony Twum and Bapentire Donatus Angnuureng
Coasts 2026, 6(1), 8; https://doi.org/10.3390/coasts6010008 - 3 Mar 2026
Abstract
►▼
Show Figures
Reanalysis wave datasets are essential for understanding wave conditions along the West African coast, a region with over 350 million people and diverse economic activities. This study evaluates the effectiveness of various datasets, including ERA5, WAVERYS, satellite (HY-2B/HY-2C), and buoy measurements, focusing on
[...] Read more.
Reanalysis wave datasets are essential for understanding wave conditions along the West African coast, a region with over 350 million people and diverse economic activities. This study evaluates the effectiveness of various datasets, including ERA5, WAVERYS, satellite (HY-2B/HY-2C), and buoy measurements, focusing on significant wave height (Hs). WAVERYS was found to better match in situ conditions compared to ERA5, making it the preferred dataset for climate estimation. This study found that wave heights (Hs) of WAVERYS in the region range from 0.5 m to 3.2 m, with waves primarily coming from the south and southwest, having periods between 3.8 s and 25 s. Swell, originating from the South Atlantic Ocean, dominates the wave climate, while local wind waves contribute only about 5% to the overall sea state energy. Seasonal analysis showed that the highest waves occur between June and September, coinciding with the South Atlantic winter and stronger winds. The validation performed in this study confirms that the WAVERYS reanalysis can reliably be used as a source of wave data in the Gulf of Guinea. This recommendation is based on its consistently better agreement with the available in situ observations and its improved representation of wave dynamics in the region. At locations where buoy measurements exist, in situ data should remain the primary reference for site-specific applications; however, such measurements are spatially sparse and temporally limited across West Africa. Consequently, WAVERYS provides a practical and robust alternative for regional-scale analyses, long-term assessments, and operational applications in areas lacking direct observations, making it particularly valuable for coastal risk assessment, engineering design, and marine operations in the region.
Full article

Figure 1
Open AccessArticle
Perceptions and Awareness on the Perceived Effectiveness of Nature-Based Solutions in Selected Coastal Communities of Rivers State, Nigeria
by
Chinomnso C. Onwubiko and Denis W. Aheto
Coasts 2026, 6(1), 7; https://doi.org/10.3390/coasts6010007 - 23 Feb 2026
Abstract
►▼
Show Figures
Nature-based Solutions (NbS) have emerged as transformative approaches to address societal challenges, support biodiversity, and enhance human well-being. Globally, NbS are recognized for their potential to mitigate climate change impacts such as coastal flooding. Despite growing policy interest, limited empirical evidence exists on
[...] Read more.
Nature-based Solutions (NbS) have emerged as transformative approaches to address societal challenges, support biodiversity, and enhance human well-being. Globally, NbS are recognized for their potential to mitigate climate change impacts such as coastal flooding. Despite growing policy interest, limited empirical evidence exists on their real-world effectiveness, particularly in Africa. The core objective of this study was to evaluate how community perceptions, awareness, and demographic factors influence the acceptance and effectiveness of NbS for flood risk reduction in selected coastal communities of Rivers State, Nigeria. Specifically, it aimed to assess community perceptions and awareness of NbS, identify demographic, geographic, and psychosocial factors influencing these perceptions, and analyze how risk perception and local knowledge affect acceptance. The study addressed three key questions: (1) How do community perceptions affect NbS acceptance and implementation? (2) What factors shape awareness and understanding of NbS in Kula, Oyorokoto, and Bonny? (3) How do perceptions vary across demographic groups? To answer these, a structured survey of 1224 respondents was conducted: 61% were male and 39% female, with most aged 31–50 years (80%). Education emerged as a key factor—about 49% of respondents had at least secondary or post-secondary education, which showed a significant link with positive perceptions of NbS (χ2 = 460.98, p < 0.001, Cramer’s V = 0.434). Occupation also shaped views: traders (36.8%) and fishers (24.5%) formed the majority, with occupational patterns showing moderate influence (χ2 = 112.68, p < 0.001, Cramer’s V = 0.215). Overall, awareness was the strongest predictor, with communities reporting higher NbS awareness demonstrating significantly greater acceptance (OR = 0.06, p < 0.001). These findings highlight that targeted awareness-raising, education, and community engagement are critical to promoting mangrove conservation, afforestation, and ecosystem restoration, ultimately strengthening resilience to climate-induced risks in coastal communities.
Full article

Figure 1
Open AccessArticle
Limited Benefits of Oyster Aquaculture on Water Clarity in Two Rhode Island Salt Ponds
by
Suzanne G. Ayvazian, Donald Cobb, Cathleen Wigand, Kenneth Miller, Natalie Schafer, Alexandra Beardwood, Sara Miller and Nia Bartolucci
Coasts 2026, 6(1), 6; https://doi.org/10.3390/coasts6010006 - 16 Feb 2026
Abstract
►▼
Show Figures
Shellfish restoration and aquaculture are considered as innovative methods to mitigate in-water nutrients in coastal waters. Water quality was examined at two oyster aquaculture farms in Potter (2021–2023) and Pt Judith (2023) Ponds in southern Rhode Island, USA. Twice monthly, on a flooding
[...] Read more.
Shellfish restoration and aquaculture are considered as innovative methods to mitigate in-water nutrients in coastal waters. Water quality was examined at two oyster aquaculture farms in Potter (2021–2023) and Pt Judith (2023) Ponds in southern Rhode Island, USA. Twice monthly, on a flooding tide, upstream and downstream positions were established and water quality measures were made using fluorometry sondes and laboratory analysis. Significant differences in chlorophyll a, turbidity, and nutrient concentrations between upstream and downstream positions were identified; however, the differences were not consistently greater upstream or downstream. Percent Chl a removed varied from −74% to 64% at Potter Pond among years and −51% to 29% at Point Judith Pond, indicating a deficit or increase in Chl a concentration downstream as compared to upstream over each sampling period. Chlorophyll a measured inside oyster bags was higher compared to the upstream position at Potter Pond, and results from the upstream, downstream, and within farm productivity experiment in both ponds suggest oyster byproducts may facilitate localized and seasonal phytoplankton production. Natural resource managers should consider that while oyster farms in coastal ponds can provide local water clarity through removal of phytoplankton, benefits may be site specific and seasonal.
Full article

Figure 1
Open AccessArticle
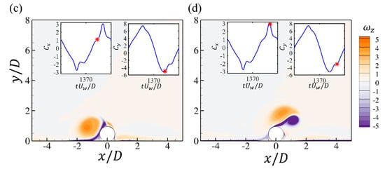
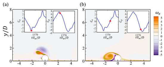
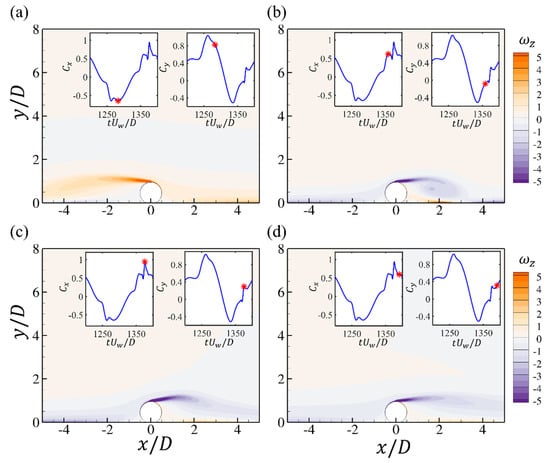
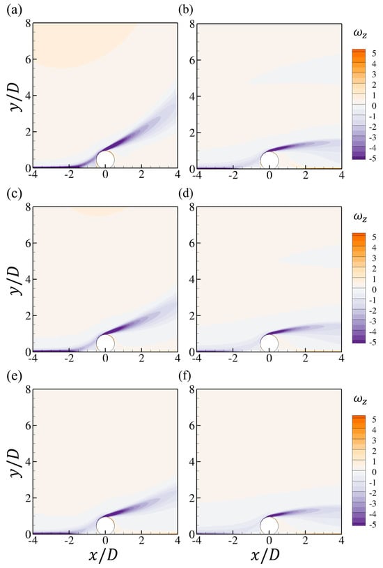
Interaction Between the Longshore Current and the Undertow Induced by the Turbulent Flow in the Surf Zone of Oblique Spilling Breakers
by
Gerasimos A. Kolokythas and Athanassios A. Dimas
Coasts 2026, 6(1), 5; https://doi.org/10.3390/coasts6010005 - 6 Feb 2026
Abstract
►▼
Show Figures
The three-dimensional, turbulent, free-surface flow developing in the surf zone over a constant-slope beach as a result of the interaction between the longshore current and the undertow, induced by spilling wave breaking oblique to the shoreline, is numerically simulated. The simulations are performed
[...] Read more.
The three-dimensional, turbulent, free-surface flow developing in the surf zone over a constant-slope beach as a result of the interaction between the longshore current and the undertow, induced by spilling wave breaking oblique to the shoreline, is numerically simulated. The simulations are performed by implementing the large-wave simulation (LWS) method in a numerical solver of the three-dimensional Navier–Stokes equations. According to the LWS method, large velocity and free-surface elevation scales are fully resolved, while the effect of the corresponding subgrid scales is modeled by eddy-viscosity stresses. The model validation is based on the comparison between the present numerical results and existing experimental measurements for a case of incident regular waves propagating normal to the shoreline over a bed of constant slope 1/35. It is found that the LWS model adequately predicts the wave-breaking parameters—breaking height and depth—and the undertow vertical profiles in the surf zone. Then, two cases of oblique waves, with wave incidence angles of 20° and 30°, and all other parameters identical to those of the validation case, are considered. The numerical results include the gradual breaking process of the refracted waves, as well as the three-dimensional structure of the longshore current and the undertow in the surf zone. In the outer surf zone, the undertow has a larger velocity magnitude than the longshore current, while in the inner surf zone, the opposite occurs.
Full article

Figure 1
Open AccessArticle
Assessing Flight Initiation Distance and Behavioural Tolerance of an Alien Invasive Species, the Sacred Ibis (Threskiornis aethiopicus), in Northern Adriatic Coasts (Italy): Implications for Management of Invasive Waterbirds
by
Francesco Scarton and Roberto G. Valle
Coasts 2026, 6(1), 4; https://doi.org/10.3390/coasts6010004 - 5 Feb 2026
Abstract
►▼
Show Figures
The Sacred Ibis Threskiornis aethiopicus is an invasive alien species (IAS) that has become established in many European countries. Because of its invasive status and its frequent interactions with native species, understanding the behavioural tolerance of this species to human disturbance is relevant
[...] Read more.
The Sacred Ibis Threskiornis aethiopicus is an invasive alien species (IAS) that has become established in many European countries. Because of its invasive status and its frequent interactions with native species, understanding the behavioural tolerance of this species to human disturbance is relevant for both conservation and management. Here, we analysed Flight Initiation Distances (FID) of T. aethiopicus recorded between 2012 and 2025 across the northern Adriatic coast. The dataset (n = 72) included approaches on foot and by boat in six habitat types (artificial saltmarshes, farmlands, brackish ponds, freshwater wetlands, saltmarshes, tidal flats). Mean FID was 41 m (SD = ± 24); it was affected mainly by group size, whereas habitat, season and approach mode had no clear effect. A cross-species analysis of mean FID versus body mass indicated that, for its size, T. aethiopicus has a much shorter FID than expected from the allometric relationship observed in 20 other waterbirds species for which FID was also collected (n = 1505) at the same sites. The results suggest partial habituation to anthropized environments and a limited flight response compared to native species. These findings may support management actions aimed at monitoring and controlling the expansion of the species while mitigating disturbance to native assemblages.
Full article

Figure 1
Open AccessReview
Degradation and Decomposition of Holopelagic Sargassum: A Review on Process Dynamics
by
Román Manuel Vásquez-Elizondo, Adrian Fagundo-Mollineda, Shrinivas Nandi and Daniel Robledo
Coasts 2026, 6(1), 3; https://doi.org/10.3390/coasts6010003 - 14 Jan 2026
Cited by 1
Abstract
This review synthesizes the literature on the degradation and decomposition of holopelagic Sargassum, with a focus on process dynamics, including microbial contribution, process descriptions, and ecological impacts. Our objective is to consolidate a robust knowledge framework to inform and optimize management strategies
[...] Read more.
This review synthesizes the literature on the degradation and decomposition of holopelagic Sargassum, with a focus on process dynamics, including microbial contribution, process descriptions, and ecological impacts. Our objective is to consolidate a robust knowledge framework to inform and optimize management strategies in affected areas. Overall, we observed that the current literature relies primarily on isolated field ecological descriptions rather than a coherent, unified research line; mechanistic studies, including bacterial pathways and factors controlling degradation, remain scarce. At the fine scale, microbial community shifts during decomposition are strongly linked to the sequential utilization of distinct organic substrates, thereby favoring the proliferation of microorganisms capable of degrading complex organic molecules and of bacterial groups involved in sulfur respiration, methanogenesis, and nutrient recycling. In the case of sulfur respiration, groups such as Desulfobacterales and Desulfovibrionales may be responsible for the reported H2S emissions, which pose significant public health concerns. At a broad scale, degradation occurs both on beaches during emersion and in the water column during immersion, particularly during massive accumulations. The initial stages are characterized by the release of organic exudates and leachates. Experimental and observational studies confirm a strong early-stage release of H2S until the substrate is largely depleted. Depending on environmental conditions, a significant amount of biomass can be lost; however, this loss is highly variable, with notable consequences for contamination studies. Leachates may also contain low but ecologically significant amounts of arsenic, posing a potential contamination risk. Decomposition contributes to water-quality deterioration and oxygen depletion, with impacts at the individual, population, and ecosystem levels, yet many remain imprecisely attributed. Although evidence of nutrient enrichment in the water column is limited, studies indicate biological nutrient uptake. Achieving a comprehensive understanding of degradation and decomposition, including temporal and spatial dynamics, microbiome interactions, by means of directed research, is critical for effective coastal management, improved mitigation strategies, industrial valorization, and accurate modeling of biogeochemical cycles.
Full article
(This article belongs to the Topic Anthropogenic Impacts in Marine Coastal Waters: Assessment, Case Studies and Solutions)
►▼
Show Figures

Graphical abstract
Open AccessSystematic Review
Unintended Victims: A Systematic Review of Global Marine Turtle By-Catch in Fisheries
by
Breno Carvalho da Silva, Lucas Garcia Martins, João Hemerson de Sousa, Yedda Christina Bezerra Barbosa de Oliveira and Rômulo Romeu Nóbrega Alves
Coasts 2026, 6(1), 2; https://doi.org/10.3390/coasts6010002 - 8 Jan 2026
Abstract
►▼
Show Figures
Incidental capture (bycatch) is a major threat to all seven marine turtle species worldwide. This systematic review assessed (i) research trends over the past 20 years; (ii) relationships between fishery types, gear, and species caught; (iii) post-capture outcomes; and (iv) challenges in bycatch
[...] Read more.
Incidental capture (bycatch) is a major threat to all seven marine turtle species worldwide. This systematic review assessed (i) research trends over the past 20 years; (ii) relationships between fishery types, gear, and species caught; (iii) post-capture outcomes; and (iv) challenges in bycatch mitigation. A systematic search of Web of Science and Scopus up to April 2024 identified 236 studies, comprising 336,616 global bycatch records. Publications on turtle bycatch increased significantly (p < 0.001), peaking in 2020. Reported captures also rose (ρ = 0.45; p = 0.026), with Caretta caretta most frequently documented (74.8%). Methodology influenced outcomes: aerial monitoring and direct observation underestimated captures of Chelonia mydas, Lepidochelys kempii, and Eretmochelys imbricata compared with mixed methods; interviews only affected the latter. Regarding fishery interactions, Dermochelys coriacea was more susceptible to hook-and-line fishing (p = 0.0079), while C. mydas was more associated with small-scale fisheries (p = 0.0115). Most turtles were released after capture (60.6%), with no significant temporal variation in outcomes (p > 0.05). Despite growing monitoring, knowledge gaps remain in standardized reporting, regional and species coverage, and methodological integration. Addressing these issues is essential to guide effective, collaborative conservation strategies.
Full article

Figure 1
Highly Accessed Articles
Latest Books
E-Mail Alert
News
Topics
Topic in
Coasts, Energies, JMSE, Sustainability, Future Transportation
Maritime Transportation in the Blue Economy and Green Shipping Technology
Topic Editors: Chungkuk Jin, Junghwan Choi, Won-Ju Lee, Hokeun KangDeadline: 15 September 2026
Conferences
Special Issues
Special Issue in
Coasts
Trade-Offs in Coastal Conservation: Management, Tourism, and Environment
Guest Editor: Leonardo Lopes CostaDeadline: 31 December 2026
Special Issue in
Coasts
Coastal Benthic Biodiversity: Patterns, Processes, Pressures and Restoration
Guest Editors: Chengye Hu, Jianyu DongDeadline: 31 December 2026
Special Issue in
Coasts
Wave–Seabed–Structure Interaction
Guest Editors: Titi Sui, B. Mutlu Sumer, Bin ZhuDeadline: 5 March 2027




