Journal Description
Atmosphere
Atmosphere
is an international, peer-reviewed, open access journal of scientific studies related to the atmosphere, published monthly online by MDPI. The Italian Aerosol Society (IAS) and Working Group of Air Quality in European Citizen Science Association (ECSA) are affiliated with Atmosphere and their members receive a discount on the article processing charges.
- Open Access— free for readers, with article processing charges (APC) paid by authors or their institutions.
- High Visibility: indexed within Scopus, SCIE (Web of Science), Ei Compendex, GEOBASE, GeoRef, Inspec, CAPlus / SciFinder, Astrophysics Data System, and other databases.
- Journal Rank: CiteScore - Q2 (Environmental Science (miscellaneous))
- Rapid Publication: manuscripts are peer-reviewed and a first decision is provided to authors approximately 19.7 days after submission; acceptance to publication is undertaken in 2.7 days (median values for papers published in this journal in the second half of 2025).
- Recognition of Reviewers: reviewers who provide timely, thorough peer-review reports receive vouchers entitling them to a discount on the APC of their next publication in any MDPI journal, in appreciation of the work done.
- Testimonials: See what our editors and authors say about Atmosphere.
- Companion journals for Atmosphere include: Meteorology and Aerobiology.
Impact Factor:
2.3 (2024);
5-Year Impact Factor:
2.5 (2024)
Latest Articles
Emission Characterizations of Volatile Organic Compounds (VOCs) from Light-Duty Gasoline Vehicles in China
Atmosphere 2026, 17(1), 74; https://doi.org/10.3390/atmos17010074 (registering DOI) - 11 Jan 2026
Abstract
Vehicle emissions are key precursors to near-ground ozone and secondary aerosol formation. While China’s clean air actions have significantly reduced particulate pollution, ozone levels continue to rise in some city clusters, calling for a deeper understanding of volatile organic compound (VOC) emissions from
[...] Read more.
Vehicle emissions are key precursors to near-ground ozone and secondary aerosol formation. While China’s clean air actions have significantly reduced particulate pollution, ozone levels continue to rise in some city clusters, calling for a deeper understanding of volatile organic compound (VOC) emissions from gasoline vehicles. This study systematically evaluated the impacts of fuel composition (China 6b vs. Methyl tert-butyl ether -free (MTBE-free) gasoline), engine type (Port fuel injection (PFI) vs. Gasoline direct injection (GDI)), and ambient temperature (25 °C vs. −7 °C) on VOC emissions and ozone formation potential (OFP) under the World Harmonized Light-Duty Test Cycle (WLTC). Results of dynamometer experiments showed that MTBE-free gasoline reduced total VOC emissions by 47% compared to China 6b fuel, with aromatics accounting for 69% of this reduction. PFI vehicles exhibited higher VOC emissions than GDI vehicles at 25 °C, though this difference diminished at −7 °C. Low temperatures significantly increased VOC emissions and OFP, increasing by a factor of 10–13 compared to 25 °C. Aromatics were the dominant OFP contributors under all conditions. Our findings highlight the importance of fuel reformulation and temperature-specific emission controls in mitigating ozone pollution, particularly under cold-start conditions.
Full article
(This article belongs to the Special Issue Measurement, Characterization and Source Identification of Atmospheric Pollutants)
Open AccessArticle
Atmospheric Drivers and Spatiotemporal Variability of Pan Evaporation Across China (2002–2018)
by
Shuai Li and Xiang Li
Atmosphere 2026, 17(1), 73; https://doi.org/10.3390/atmos17010073 (registering DOI) - 10 Jan 2026
Abstract
Pan evaporation (PE) is widely used as an indicator of atmospheric evaporative demand and is relevant to irrigation demand and climate-related hydrological changes. Using daily records from 759 meteorological stations across China during 2002–2018, this study investigated the temporal trends, spatial patterns, and
[...] Read more.
Pan evaporation (PE) is widely used as an indicator of atmospheric evaporative demand and is relevant to irrigation demand and climate-related hydrological changes. Using daily records from 759 meteorological stations across China during 2002–2018, this study investigated the temporal trends, spatial patterns, and climatic controls of PE across seven major climate zones. Multiple decomposition techniques revealed a dominant annual cycle and a pronounced peak in 2018, while a decreasing interannual trend was observed nationwide. Spatial analyses showed a clear north–south contrast, with the strongest declines occurring in northern China. A random forest (RF) model was employed to quantify the contributions of climatic variables, achieving high predictive performance. RF results indicated that the dominant drivers of PE varied substantially across climate zones: sunshine duration (as a proxy for solar radiation) and air temperature mainly controlled PE in humid regions, while wind speed and relative humidity (RH) exerted stronger influences in arid and semi-arid regions. The widespread decline in northern China is consistent with concurrent changes in wind speed and sunshine duration, together with humidity conditions, which modulate evaporative demand at monthly scales. These findings highlight substantial spatial heterogeneity in PE responses to climate forcing and provide insights for drought assessment and water resource management in a warming climate.
Full article
(This article belongs to the Section Climatology)
►▼
Show Figures

Figure 1
Open AccessArticle
Fusing Multi-Source Data with Machine Learning for Ship Emission Calculation in Inland Waterways
by
Chao Wang, Hao Wu and Zhirui Ye
Atmosphere 2026, 17(1), 72; https://doi.org/10.3390/atmos17010072 (registering DOI) - 9 Jan 2026
Abstract
Accurate estimation of ship emissions is essential for the effective enforcement of emission control policies in inland waterways. However, existing “bottom-up” models face significant challenges owing to severe data scarcity for inland ships, particularly regarding ship static parameters. This study proposes a novel
[...] Read more.
Accurate estimation of ship emissions is essential for the effective enforcement of emission control policies in inland waterways. However, existing “bottom-up” models face significant challenges owing to severe data scarcity for inland ships, particularly regarding ship static parameters. This study proposes a novel data fusion and machine learning framework to address this issue. The methodology integrates real-time SO2 and CO2 pollutant concentrations on the Nanjing Dashengguan Yangtze River Bridge, Automatic Identification System (AIS) data, and meteorological information. To address the scarcity of design data for inland ships, web scraping was used to extract basic parameters, which were then used to train five machine learning models. Among them, the XGBoost model demonstrated superior performance in predicting the main engine rated power. A refined activity-based emission model combines these predicted parameters, ship operational profiles, and specific emission factors to calculate real-time emission source strengths. Furthermore, the model was validated against field measurements by comparing the calculated and measured emission source strengths from ships, demonstrating high predictive accuracy with R2 values of 0.980 for SO2 and 0.977 for CO2, and MAPE below 13%. This framework provides a reliable and scalable approach for real-time emission monitoring and supports regulatory enforcement in inland waterways.
Full article
(This article belongs to the Special Issue The Application of Deep Learning Technology for Spatiotemporal Prediction of Air Pollution from Urban Mobile Sources (2nd Edition))
Open AccessArticle
Comparative Evaluation of Multi-Source Geospatial Data and Machine Learning Models for Hourly Near-Surface Air Temperature Mapping
by
Zexiang Yan, Yixu Chen, Ruoxue Li and Meiling Gao
Atmosphere 2026, 17(1), 71; https://doi.org/10.3390/atmos17010071 - 9 Jan 2026
Abstract
Accurate estimation of hourly near-surface air temperature (NSAT) is critical for climate analysis, environmental monitoring, and urban thermal studies. However, existing temperature datasets remain constrained by coarse spatial resolution and limited hourly accuracy. This study systematically evaluates four widely used land surface temperature
[...] Read more.
Accurate estimation of hourly near-surface air temperature (NSAT) is critical for climate analysis, environmental monitoring, and urban thermal studies. However, existing temperature datasets remain constrained by coarse spatial resolution and limited hourly accuracy. This study systematically evaluates four widely used land surface temperature (LST) datasets—MODIS, ERA5-Land, FY-2F, and CGLS—and five machine learning models (RF, MDN, DNN, XGBoost, and GTNNWR) for NSAT estimation across two contrasting regions in Shaanxi, China: a complex-terrain region in southwestern Shaanxi and the urban area of Xi’an. Results demonstrate that single-source LST inputs outperform multi-source LST stacking, largely due to compounded systematic biases across heterogeneous datasets. MODIS provides the best performance in the mountainous region, while CGLS excels in the urban environment. Among all models, GTNNWR—which explicitly captures spatiotemporal non-stationarity—consistently achieves the highest accuracy, reducing RMSE by 44.8% and 44.2% relative to the second-best model in the two study areas, respectively, whereas the remaining four models exhibit broadly comparable performance. This work identifies effective data–model configurations for generating high-resolution hourly NSAT products and provides methodological insights for climate and environmental applications in regions with complex terrain or strong urban heterogeneity.
Full article
(This article belongs to the Section Atmospheric Techniques, Instruments, and Modeling)
►▼
Show Figures

Figure 1
Open AccessArticle
Deep Learning-Based Multi-Source Precipitation Fusion and Its Utility for Hydrological Simulation
by
Zihao Huang, Changbo Jiang, Yuannan Long, Shixiong Yan, Yue Qi, Munan Xu and Tao Xiang
Atmosphere 2026, 17(1), 70; https://doi.org/10.3390/atmos17010070 - 8 Jan 2026
Abstract
High-resolution satellite precipitation products are key inputs for basin-scale rainfall estimation, but they still exhibit substantial biases in complex terrain and during heavy rainfall. Recent multi-source fusion studies have shown that simply stacking multiple same-type microwave satellite products yields only limited additional gains
[...] Read more.
High-resolution satellite precipitation products are key inputs for basin-scale rainfall estimation, but they still exhibit substantial biases in complex terrain and during heavy rainfall. Recent multi-source fusion studies have shown that simply stacking multiple same-type microwave satellite products yields only limited additional gains for high-quality precipitation estimates and may even introduce local degradation, suggesting that targeted correction of a single, widely validated high-quality microwave product (such as IMERG) is a more rational strategy. Focusing on the mountainous, gauge-sparse Lüshui River basin with pronounced relief and frequent heavy rainfall, we use GPM IMERG V07 as the primary microwave product and incorporate CHIRPS, ERA5 evaporation, and a digital elevation model as auxiliary inputs to build a daily attention-enhanced CNN–LSTM (A-CNN–LSTM) bias-correction framework. Under a unified IMERG-based setting, we compare three network architectures—LSTM, CNN–LSTM, and A-CNN–LSTM—and test three input configurations (single-source IMERG, single-source CHIRPS, and combined IMERG + CHIRPS) to jointly evaluate impacts on corrected precipitation and SWAT runoff simulations. The IMERG-driven A-CNN–LSTM markedly reduces daily root-mean-square error and improves the intensity and timing of 10–50 mm·d−1 rainfall events; the single-source IMERG configuration also outperforms CHIRPS-including multi-source setups in terms of correlation, RMSE, and performance across rainfall-intensity classes. When the corrected IMERG product is used to force SWAT, daily Nash-Sutcliffe Efficiency increases from about 0.71/0.70 to 0.85/0.79 in the calibration/validation periods, and RMSE decreases from 87.92 to 60.98 m3 s−1, while flood peaks and timing closely match simulations driven by gauge-interpolated precipitation. Overall, the results demonstrate that, in gauge-sparse mountainous basins, correcting a single high-quality, widely validated microwave product with a small set of heterogeneous covariates is more effective for improving precipitation inputs and their hydrological utility than simply aggregating multiple same-type satellite products.
Full article
(This article belongs to the Section Atmospheric Techniques, Instruments, and Modeling)
►▼
Show Figures

Figure 1
Open AccessArticle
Spatiotemporal Characteristics and Possible Causes of the Collapse of the Northern Hemisphere Polar Vortex
by
Jinqi Li, Yu Zhang and Yaohui Li
Atmosphere 2026, 17(1), 69; https://doi.org/10.3390/atmos17010069 - 7 Jan 2026
Abstract
Changes in atmospheric circulation can be influenced by the collapse characteristics of the polar vortex, a significant system in the Northern Hemisphere. This study reveals the spatiotemporal evolution and causative mechanisms of the collapse of the Northern Hemisphere polar vortex, as well as
[...] Read more.
Changes in atmospheric circulation can be influenced by the collapse characteristics of the polar vortex, a significant system in the Northern Hemisphere. This study reveals the spatiotemporal evolution and causative mechanisms of the collapse of the Northern Hemisphere polar vortex, as well as the polar vortex collapse criteria, Mann–Kendall test, mutation year extraction, and physical mechanism analyses, based on the fifth-generation European Centre for Medium-Range Weather Forecasts (ECMWF) atmospheric reanalysis of the global climate (ERA5) data for 1980–2024. The main conclusions are as follows: (1) The collapse events, which primarily occurred in spring, and the collapse time exhibited a U-shaped trend. (2) The collapse period exhibited significant spatiotemporal nonuniformity, with shorter periods in 10–100 hPa, larger variations in 100–300 hPa, and longer periods in 300–500 hPa. (3) The collapse mutation propagated downward to lower layers, beginning in 10–30 hPa and concentrating between 1995 and 2005. (4) The momentum flux and heat flux exhibit meridionally concentrated structures in the middle–lower stratosphere. The transition layer forms a region of momentum and energy accumulation. In the lower levels, the heat flux weakens. (5) The polar vortex collapse results from enhanced lower-stratospheric instability, weakened transition-layer disturbances, and upward energy transfer from low-level convergence, together forming a characteristic U-shaped collapse structure.
Full article
(This article belongs to the Section Climatology)
►▼
Show Figures

Figure 1
Open AccessArticle
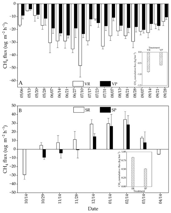
The Influence of Vegetation and Snow Cover on Soil Greenhouse Gas Fluxes in the Permafrost Region of Northeast China
by
Xiangwen Wu, Dalong Ma, Hongwei Ni and Shuying Zang
Atmosphere 2026, 17(1), 68; https://doi.org/10.3390/atmos17010068 - 7 Jan 2026
Abstract
Permafrost is an important carbon pool for terrestrial ecosystems and a significant source of atmospheric greenhouse gases, but the effects of ground vegetation and snow cover on permafrost greenhouse gas fluxes are still unclear. The soil–atmosphere exchange fluxes of greenhouse gases (mainly carbon
[...] Read more.
Permafrost is an important carbon pool for terrestrial ecosystems and a significant source of atmospheric greenhouse gases, but the effects of ground vegetation and snow cover on permafrost greenhouse gas fluxes are still unclear. The soil–atmosphere exchange fluxes of greenhouse gases (mainly carbon dioxide (CO2), methane (CH4), and nitrous oxide (N2O)) occupy key roles during the winter snow and the vegetation growing seasons. Here, a typical Larix gmelinii forest, located in the permafrost region of the Daxing’an Mountains, northeast China, was studied. Using the static chamber-gas chromatograph method, the relationship between soil greenhouse gas emissions, ground vegetation, and snow cover was investigated. We found that the CO2, CH4, and N2O cumulative fluxes from vegetative soils had increased by 19.5%, 37.5%, and 10.7%, compared with fluxes from areas where the ground vegetation had been removed. Snow cover increased soil CO2 cumulative flux by 53.1% and soil N2O cumulative flux by 28.6%, and soil CH4 cumulative flux decreased by 39.3%. Our results show that snow cover and ground vegetation removal reduce CO2 and N2O emissions from permafrost soils. Ground vegetation removal also increases the absorption of CH4 in permafrost soils, while snow cover removal promotes CH4 emissions. These findings confirm the effects of ground vegetation and snow cover on the transformation processes of greenhouse gases from forest ecosystems in permafrost regions. Therefore, this research provides scientific data support for the improvement of land surface climate models and the mitigation of climate change in cold regions.
Full article
(This article belongs to the Section Biosphere/Hydrosphere/Land–Atmosphere Interactions)
►▼
Show Figures

Figure 1
Open AccessArticle
Characterization of the Response of Negative Air Ions Released by Green Tree Species to Humidity Using an Open Top Chamber
by
Shaoning Li, Xiaotian Xu, Yueyao Hou, Mingxia Chen, Xueqiang Liu, Na Zhao, Bin Li and Shaowei Lu
Atmosphere 2026, 17(1), 67; https://doi.org/10.3390/atmos17010067 - 6 Jan 2026
Abstract
In order to analyze the effect of environmental factors on the release of negative air ions (NAI) by green tree species, this study conducted an open top chamber (OTC) control test in Beijing. The tree species selected were Acer truncatum, Sophora japonica
[...] Read more.
In order to analyze the effect of environmental factors on the release of negative air ions (NAI) by green tree species, this study conducted an open top chamber (OTC) control test in Beijing. The tree species selected were Acer truncatum, Sophora japonica, Pinus bungeana, and Pinus tabuliformis. The experiment investigated the effects of environmental factors on NAI release under different relative humidity conditions. The results of the study showed that (1) the NAI release contribution (L), NAI release coefficient (n), NAI release rate (s), NAI instantaneous present amount (v), and total NAI release amount (Z) all showed positive responses to humidity. (2) Under constant temperature and light intensity, all five capability indicators increased with the humidity gradient (40–80%) and reached their maximum values at 80% humidity. (3) NAI release was positively correlated with humidity, and the correlation coefficients were: Pinus tabuliformis (R2 = 0.33) > Sophora japonica (R2 = 0.17) > Acer truncatum (R2 = 0.15) = Pinus bungeana (R2 = 0.15, p < 0.05). (4) Under constant temperature and light intensity, the NAI release contribution (L) and NAI release coefficient (n) responded most strongly to humidity in the 40–60% range, while the total NAI release amount (Z), NAI release rate (s), and NAI instantaneous present amount (v) responded more significantly in the 60–80% range. Acer truncatum showed the strongest response in terms of NAI release contribution (L) and NAI release coefficient (n), while Sophora japonica exhibited the most significant response in terms of NAI release rate (s), NAI instantaneous present amount (v), and total NAI release amount (Z). This study, conducted using an OTC, clarifies the independent role of humidity on NAI released by green tree species, providing a scientific basis for forest recreation and urban green space planning.
Full article
(This article belongs to the Section Air Quality)
►▼
Show Figures

Figure 1
Open AccessArticle
Fluid Flow and Pollutant Dispersion in Naturally Ventilated Traffic Tunnels
by
Cunjin Cai, Xinyi Yang, Xitong Yuan, Tianhao Shi, Wenyu Li, Wenting Lin and Tingzhen Ming
Atmosphere 2026, 17(1), 66; https://doi.org/10.3390/atmos17010066 - 4 Jan 2026
Abstract
With the rapid expansion of urban areas, short naturally ventilated traffic tunnels (NVTTs) have become prevalent in modern cities. However, their enclosed design and inadequate ventilation often lead to the accumulation of vehicle emissions, especially during peak traffic periods, which poses significant threats
[...] Read more.
With the rapid expansion of urban areas, short naturally ventilated traffic tunnels (NVTTs) have become prevalent in modern cities. However, their enclosed design and inadequate ventilation often lead to the accumulation of vehicle emissions, especially during peak traffic periods, which poses significant threats to public health. Previous studies have shown that airflow in such tunnels is caused by ambient crosswinds (ACWs), which contribute to the dilution of pollutants. Based on this, a geometrical model including traffic tunnels belonging to a complex traffic system of the Second Ring Road in Wuhan City was established, followed by a mathematical model describing the fluid flow and pollutant transformation. The current flow characters and pollutant dispersion mechanism of CO and NOX were analyzed. Among them, the number and speeds of vehicles are measured to calculate the strength of the pollutant source. Then, the data was set as the initial contaminant source strength in Ansys Fluent 14.0 to compute the pollutant dispersion of the whole domain. The results indicate the following: (1) The airflow direction inside the tunnel varies with changes in ambient wind direction and wind speed. Specifically, variations in ambient wind direction result in changes in airflow direction in both tunnels. In contrast, changes in wind speed do not affect the airflow direction in both tunnels; only in the downstream tunnel does the airflow direction change with increasing westward wind speed. By comparison, in the upstream tunnel, the airflow direction remains unchanged regardless of the westward wind speed; (2) Pollutant accumulates along the downstream airflow in both the tunnels; (3) The mass fraction level of contaminate stratification differs along the tunnels. The pollutant tends to form y-component layering near the upwind opening and x-component stratification at the downwind opening of the two tunnels.
Full article
(This article belongs to the Section Air Quality)
►▼
Show Figures

Figure 1
Open AccessArticle
Overview of the Municipal Emission Reduction Plan Landscape in Greece in Terms of Policy Framework and Procurement Patterns
by
Dimitris Bakirtzis, Dimitrios Tziritas, George M. Stavrakakis, Panagiotis L. Zervas, Nikolaos Ch. Papadakis, Dimitris Al. Katsaprakakis and Sofia Yfanti
Atmosphere 2026, 17(1), 65; https://doi.org/10.3390/atmos17010065 - 4 Jan 2026
Abstract
Greece’s National Climate Law, enacted under L. 4936, mandates the development of Municipal Emission Reduction Plans (MERPs) by local authorities. Publicly available MERP procurement data contains valuable information that can be utilized to provide an overview and insights into MERP procurement and development.
[...] Read more.
Greece’s National Climate Law, enacted under L. 4936, mandates the development of Municipal Emission Reduction Plans (MERPs) by local authorities. Publicly available MERP procurement data contains valuable information that can be utilized to provide an overview and insights into MERP procurement and development. The main objective of this study is to perform a comparative analysis of Greek MERP procurement data and identify patterns in the contract cost estimation of mitigation action plans in Greek municipalities. For this purpose, MERP procurement data was collected from the official procurement register, KIMDIS, and subsequently analyzed through a bivariate approach comparing the collected data with selected independent variables. The results are stratified by population range and official municipal classification to enable comparison between different sizes and types of municipalities. The results indicate that a total of 44% of municipalities in Greece procured their MERP, with significant delays in adherence to official deadlines and only after the MERP became a prerequisite for funding-related matters. Additionally, the procurement process was highly characterized by single bidding. Average contract duration ranged from 110 to 220 days, with an average contract value between EUR 18,000 and EUR 33,000. The difference between tender budget and contract value averaged between 0 and 5%.
Full article
(This article belongs to the Special Issue Urban Emissions and Climate Action: Strategies for a Low-Carbon Future)
►▼
Show Figures

Figure 1
Open AccessArticle
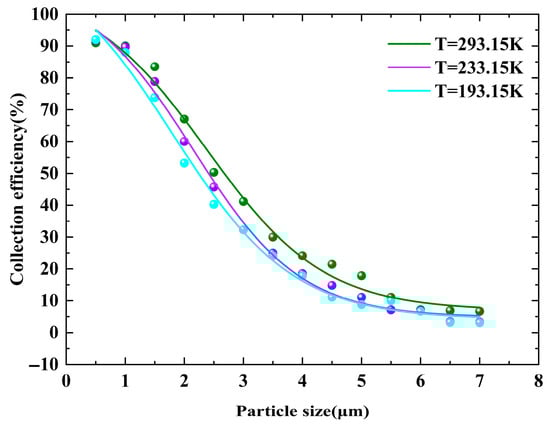
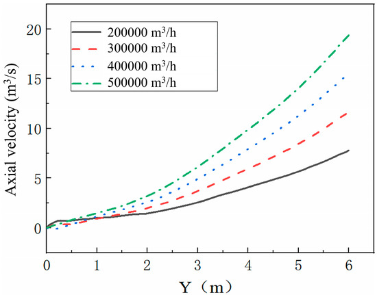
Optimized Design and Numerical Analysis of Dust Removal in Blast Furnace Nozzle Based on Air Volume-Structure Coordinated Control
by
Hui Wang, Yuan Dong, Wen Li, Haitao Wang and Xiaohua Zhu
Atmosphere 2026, 17(1), 64; https://doi.org/10.3390/atmos17010064 - 4 Jan 2026
Abstract
Blast furnace tuyeres are the primary dust emission source in ironmaking facilities (accounting for over 30% of total pollutants). High-temperature dust plumes with intense thermal energy are prone to dispersion, while China’s steel industry ultra-low emission standards (particulate matter ≤ 10 mg/m3
[...] Read more.
Blast furnace tuyeres are the primary dust emission source in ironmaking facilities (accounting for over 30% of total pollutants). High-temperature dust plumes with intense thermal energy are prone to dispersion, while China’s steel industry ultra-low emission standards (particulate matter ≤ 10 mg/m3) impose strict requirements on capture efficiency. Existing technologies often neglect crosswind interference and lack coordinated design between air volume regulation and hood structure, leading to excessive fugitive emissions and non-compliance. This study established a localized numerical model for high-temperature dust capture at blast furnace tuyeres, investigating air volume’s impact on velocity fields and capture efficiency, revealing crosswind interference mechanisms, and proposing optimization strategies (adding hood baffles, adjusting dimensions, installing ejector fans). Results show crosswind significantly reduces efficiency—only 78% at 1.5 m/s crosswind and 400,000 m3/h flow rate. The optimal configuration (2.5 m side flaps plus1.4 m baffles) achieves 99% efficiency, maintaining high performance at lower flow rates: 350,000 m3/h (1.5 m/s crosswind) and 250,000 m3/h (0.9 m/s crosswind). This study provides technical support for blast furnace tuyere dust control and facilitates ultra-low emission compliance in the steel industry. This study supports blast furnace tuyere dust control and aids the steel industry in meeting ultra-low emission standards. Notably, the proposed optimization scheme boasts simple structural adjustments, low retrofitting costs, and good compatibility with existing production lines, enabling direct industrial promotion and notable environmental and economic gains.
Full article
(This article belongs to the Section Air Pollution Control)
►▼
Show Figures

Figure 1
Open AccessArticle
Climate-Driven Cryospheric Changes and Their Impacts on Glacier Runoff Dynamics in the Northern Tien Shan
by
Aigul N. Akzharkynova, Berik Iskakov, Gulnara Iskaliyeva, Nurmakhambet Sydyk, Rustam Abdrakhimov, Alima A. Amangeldi, Aibek Merekeyev and Aleksandr Chigrinets
Atmosphere 2026, 17(1), 63; https://doi.org/10.3390/atmos17010063 - 3 Jan 2026
Abstract
Glaciers in the Northern Tien Shan are a major source of Ile River runoff, supplying water to Kazakhstan’s largest city, Almaty. Under ongoing climate warming, their degradation alters the magnitude and seasonality of river discharge, increasing water-resource vulnerability. This study quantifies long-term changes
[...] Read more.
Glaciers in the Northern Tien Shan are a major source of Ile River runoff, supplying water to Kazakhstan’s largest city, Almaty. Under ongoing climate warming, their degradation alters the magnitude and seasonality of river discharge, increasing water-resource vulnerability. This study quantifies long-term changes in glacier area, firn-line elevation, and glacier runoff in the northern Tien Shan from 1955 to 2021. The analysis uses multi-decadal meteorological observations, hydrological records, multi-temporal Landsat-7/8 and Sentinel-2 imagery, and DEMs combined with empirical and semi-empirical runoff estimation methods. The glacier area has declined by more than 45–60% since 1955, accompanied by a rise in firn-line altitude from ~3400 to 3700 m. At the Mynzhylky station, mean summer air temperature increased by 0.88 °C, reflecting persistent warming in glacierized elevations. The contribution of glacier meltwater to annual discharge decreased from ~32% in 1955–1990 to ~25% in 1991–2021, while total and vegetation-period runoff increased due to modified seasonal hydrological conditions. These results demonstrate the impact of climate warming on glacier-fed runoff in the Northern Tien Shan and highlight the need to integrate glacier degradation into water-resource management and long-term water-security assessments.
Full article
(This article belongs to the Special Issue Climate Change in the Cryosphere and Its Impacts)
►▼
Show Figures

Figure 1
Open AccessArticle
A New Framework for Comprehensive Flood Risk Assessment Under Non-Stationary Conditions Using GIS-Based MCDM Modeling
by
Reşat Gün and Muhammet Yılmaz
Atmosphere 2026, 17(1), 62; https://doi.org/10.3390/atmos17010062 - 3 Jan 2026
Abstract
Flood risk has been increasing due to the effects of climate change, frequent rainfall, and urbanization. Therefore, flood risk assessments in urban areas are important issues for the mitigation of flood disaster and sustainable development. Although there has been an increase in studies
[...] Read more.
Flood risk has been increasing due to the effects of climate change, frequent rainfall, and urbanization. Therefore, flood risk assessments in urban areas are important issues for the mitigation of flood disaster and sustainable development. Although there has been an increase in studies on flood risk, there remains a scarcity of research examining the effects of rainfall at different return periods on flood risk under non-stationary conditions in Geographic Information System (GIS) - and multi-criteria decision-making model (MCDM)-based flood risk assessments. To address this gap, this study integrated MCDM-based flood hazard mapping techniques with rainfall quantiles calculated for different return periods under non-stationary conditions to identify and prioritize flood risk areas in Izmir, Türkiye. Firstly, to analyze the current flood risk, the Analytical Hierarchy Process (AHP) was integrated into the GIS and the VIseKriterijumsa Optimizacija I Kompromisno Resenje (VIKOR) approach was used to determine the flood risk priority of 165 points. The results showed that Buca, Menderes, Bornova, Kemalpaşa, Çeşme, Torbalı, Menemen, Seferihisar, and Çiğli were identified as high-flood-risk areas. The VIKOR results indicate that the highest-flood-risk points are R91 (Çeşme), R153 (Buca), and R93 (Çeşme). For a thorough flood risk assessment, the rainfall estimates obtained with the Generalized Additive Models for Location, Scale, and Shape (GAMLSS) at 10-, 20-, 50-, and 100-year return levels under non-stationary conditions were re-weighted with AHP and were incorporated into the hazard criteria, and flood risk analyses were performed for four scenarios. The results showed that as return periods increase, high-risk areas expand, while low-risk areas shrink. Specifically, the proportion of very-low-risk areas declined from 15.12% for the 10-year return period to 13.92% for the 100-year return period, whereas the proportion of very-high-risk areas increased from 6.73% to 7.53% over the same return period levels. VIKOR results, unlike the VIKOR findings for the current case, revealed that points R55, R56, and R54 in Kemalpaşa had the highest flood risk in four scenarios.
Full article
(This article belongs to the Special Issue Hydrological Extremes and Drought Management—Challenges, Innovations, and Solutions)
►▼
Show Figures

Figure 1
Open AccessArticle
A Deep Learning Approach to Detecting Atmospheric Rivers in the Arctic
by
Sinéad McGetrick, Hua Lu, Grzegorz Muszynski, Oscar Martínez-Alvarado, Matthew Osman, Kyle Mattingly and Daniel Galea
Atmosphere 2026, 17(1), 61; https://doi.org/10.3390/atmos17010061 - 1 Jan 2026
Abstract
The Arctic is warming rapidly, with atmospheric rivers (ARs) amplifying ice melt, extreme precipitation, and abrupt temperature shifts. Detecting ARs in the Arctic remains challenging, because AR detection algorithms designed for mid-latitudes perform poorly in polar regions. This study introduces a regional deep
[...] Read more.
The Arctic is warming rapidly, with atmospheric rivers (ARs) amplifying ice melt, extreme precipitation, and abrupt temperature shifts. Detecting ARs in the Arctic remains challenging, because AR detection algorithms designed for mid-latitudes perform poorly in polar regions. This study introduces a regional deep learning (DL) image segmentation model for Arctic AR detection, leveraging large-ensemble (LE) climate simulations. We analyse historical simulations from the Climate Change in the Arctic and North Atlantic Region and Impacts on the UK (CANARI) project, which provides a large, internally consistent sample of AR events at 6-hourly resolution and enables a close comparison of AR climatology across model and reanalysis data. A polar-specific, rule-based AR detection algorithm was adapted to label ARs in simulated data using multiple thresholds, providing training data for the segmentation model and supporting sensitivity analyses. U-Net-based models are trained on integrated water vapour transport, total column water vapour, and 850 hPa wind speed fields. We quantify how AR identification depends on threshold choices in the rule-based algorithm and show how these propagate to the U-Net-based models. This study represents the first use of the CANARI-LE for Arctic AR detection and introduces a unified framework combining rule-based and DL methods to evaluate model sensitivity and detection robustness. Our results demonstrate that DL segmentation achieves robust skill and eliminates the need for threshold tuning, providing a consistent and transferable framework for detecting Arctic ARs. This unified approach advances high-latitude moisture transport assessment and supports improved evaluation of Arctic extremes under climate change.
Full article
(This article belongs to the Section Atmospheric Techniques, Instruments, and Modeling)
►▼
Show Figures

Figure 1
Open AccessArticle
Mechanisms of Topographic Steering and Track Morphology of Typhoon-like Vortices over Complex Terrain: A Dynamic Model Approach
by
Hung-Cheng Chen
Atmosphere 2026, 17(1), 60; https://doi.org/10.3390/atmos17010060 - 31 Dec 2025
Abstract
This study investigates the mechanisms of topographic steering and the resultant track morphology of typhoon-like vortices over complex terrain. Leveraging a dynamic model based on potential vorticity (PV) conservation, we conducted a comprehensive sensitivity analysis over both an idealized bell-shaped mountain and the
[...] Read more.
This study investigates the mechanisms of topographic steering and the resultant track morphology of typhoon-like vortices over complex terrain. Leveraging a dynamic model based on potential vorticity (PV) conservation, we conducted a comprehensive sensitivity analysis over both an idealized bell-shaped mountain and the realistic topography of Taiwan. Results indicate that a triad of controls governs track evolution: vortex intensity (α), terrain geometry ( ), and interaction time (impinging angle ). To quantify predictability, we introduce the Track Divergence Percentage ( ), which partitions the phase space into distinct Track Diverging (TDZ) and Converging (TCZ) Zones. The results demonstrate that vortex intensity, terrain-induced forcing, and interaction time jointly organize a regime-dependent predictability landscape, characterized by distinct zones of track divergence and convergence separated by a dynamically balanced trajectory. This framework provides a physically interpretable explanation for why small perturbations in initial conditions can lead to qualitatively different track outcomes near complex terrain. Rather than aiming at direct forecast skill improvement, this study provides a physically interpretable diagnostic framework for understanding terrain-induced track sensitivity and uncertainty, with implications for interpreting ensemble spread in forecasting systems.
Full article
(This article belongs to the Special Issue Typhoon/Hurricane Dynamics and Prediction (3rd Edition))
►▼
Show Figures

Figure 1
Open AccessArticle
Brake Particle PN and PM Emissions of Battery Electric Vehicles (BEVs): On-Vehicle Chassis Dynamometer Measurements
by
Panayotis Dimopoulos Eggenschwiler, Daniel Schreiber and Nora Schüller
Atmosphere 2026, 17(1), 59; https://doi.org/10.3390/atmos17010059 - 31 Dec 2025
Abstract
Currently, brake particle emissions from traffic are considered one of the dominant sources of particulate matter in the atmosphere. A recent question concerns the contribution to brake particles of Battery Electric Vehicles (BEVs). The present work assesses brake particle emissions by measurements of
[...] Read more.
Currently, brake particle emissions from traffic are considered one of the dominant sources of particulate matter in the atmosphere. A recent question concerns the contribution to brake particles of Battery Electric Vehicles (BEVs). The present work assesses brake particle emissions by measurements of particle number (PN) and mass (PM) of three light-duty BEVs. One front disc brake of each vehicle has been enclosed in a customized casing with appropriate ventilation for forming the aerosol. All three BEVs have been measured on a two-axis chassis dynamometer. The BEV relying more on electric braking (some 68% of the braking energy was covered by electric braking) had the lowest brake PN emissions over the (emissions) WLTC at 6.4 × 109 km−1 per front brake. This was less than half with respect to the other BEV (where only 52% of the braking energy was electric). PM emissions of the two vehicles were similar at 0.93 mg/km for PM < 12 μm and 0.65 mg/km for PM < 2.5 μm, both for one front brake. However, one of the measured BEVs had extraordinarily high PN emissions, some 23 times higher than the lowest-emitting BEV. The difference in PM was not as high, but was some four times higher.
Full article
(This article belongs to the Special Issue Airborne Particles Emission and Generation Mechanisms of Brakes and Engine)
►▼
Show Figures

Figure 1
Open AccessArticle
Household and Environmental Determinants of Adult Asthma Morbidity in Texas, 2019–2022
by
Alexander Obeng, Taehyun Roh, Alejandro Moreno-Rangel and Genny Carrillo
Atmosphere 2026, 17(1), 58; https://doi.org/10.3390/atmos17010058 - 31 Dec 2025
Abstract
Asthma continues to affect millions of adults in the United States, with indoor environmental exposures playing a major role in symptom burden and control. Limited research has examined the combined influence of multiple household and environmental determinants on adult asthma morbidity, particularly in
[...] Read more.
Asthma continues to affect millions of adults in the United States, with indoor environmental exposures playing a major role in symptom burden and control. Limited research has examined the combined influence of multiple household and environmental determinants on adult asthma morbidity, particularly in diverse states such as Texas. We analyzed pooled data from 1596 Texas adults with asthma who completed the Asthma Call-Back Survey between 2019 and 2022. Multivariable logistic regression models, adjusted for survey design and demographic covariates, were used to examine associations between household and environmental determinants and four morbidity outcomes: asthma attacks, recent symptoms, sleep difficulty, and limited activity due to asthma. Current smoking, lack of bathroom or kitchen ventilation, and absence of air purifier use were consistently associated with higher odds of morbidity. Protective associations were observed for homes without mold, rodents, or furry pets. Disparities were also evident, with older adults, women, and non-Hispanic Black respondents reporting greater morbidity. These findings highlight the importance of addressing modifiable exposures such as indoor smoking, ventilation, and allergen control within comprehensive asthma management strategies. Targeted interventions that combine environmental modifications with health education may help reduce asthma disparities and improve the quality of life for adults with asthma.
Full article
(This article belongs to the Section Air Quality and Health)
►▼
Show Figures

Figure 1
Open AccessReview
Vehicle Brake Wear Particles: Formation Mechanisms, Behavior, and Health Impacts with an Emphasis on Ultrafine Particles
by
Jozef Salva, Miroslav Dado, Janka Szabová, Michal Sečkár, Marián Schwarz, Juraj Poništ, Miroslav Vanek, Anna Ďuricová and Martina Mordáčová
Atmosphere 2026, 17(1), 57; https://doi.org/10.3390/atmos17010057 - 31 Dec 2025
Abstract
Brake wear particles (BWPs) represent a major source of non-exhaust particulate matter from road traffic, contributing substantially to human exposure, particularly in urban environments. While traditionally associated with coarse and fine fractions, mounting evidence shows that brake systems emit large quantities of ultrafine
[...] Read more.
Brake wear particles (BWPs) represent a major source of non-exhaust particulate matter from road traffic, contributing substantially to human exposure, particularly in urban environments. While traditionally associated with coarse and fine fractions, mounting evidence shows that brake systems emit large quantities of ultrafine particles (UFPs; <100 nm), which dominate number concentrations despite contributing little to mass. This paper synthesizes current knowledge on BWP formation mechanisms, physicochemical characteristics, environmental behavior, and toxicological effects, with a specific emphasis on UFPs. Mechanical friction and high-temperature degradation of pad and disc materials generate nanoscale primary particles that rapidly agglomerate yet retain ultrafine structural features. Reported real-world and laboratory number concentrations commonly range from 103 to over 106 particles/cm3, with diameters between 10 and 100 nm, rising sharply during intensive braking. Toxicological studies consistently demonstrate that UFP-rich and metal-laden BWPs, particularly those containing Fe, Cu, Mn, Cd, and Sb compounds, induce oxidative stress, inflammation, mitochondrial dysfunction, genotoxicity, and epithelial barrier disruption in human lung and immune cells. Ecotoxicological studies further reveal adverse impacts across aquatic organisms, plants, soil invertebrates, and mammals, with evidence of environmental persistence and food-chain transfer. Despite these findings, current regulatory frameworks address only the mass of particulate matter from brakes and omit UFP number-based limits, leaving a major gap in emission control.
Full article
(This article belongs to the Special Issue From Traditional to Emerging Air Pollutants: Tools and Health Risk Assessment)
►▼
Show Figures

Figure 1
Open AccessArticle
Operational Short-Term Forecast of Marine Heatwaves in China’s Coastal Seas and Adjacent Offshore Waters
by
Zhijie Li, Liying Wan, Zhaoyi Wang, Yang Liu and Jingjing Zheng
Atmosphere 2026, 17(1), 56; https://doi.org/10.3390/atmos17010056 - 31 Dec 2025
Abstract
In recent years, global sea surface temperature (SST) has risen steadily, with 2023 and 2024 breaking successive historical observation records, thus rendering marine heatwaves (MHWs) an unignorable new marine disaster. To scientifically mitigate and assess the impacts of MHW disasters on China’s coastal
[...] Read more.
In recent years, global sea surface temperature (SST) has risen steadily, with 2023 and 2024 breaking successive historical observation records, thus rendering marine heatwaves (MHWs) an unignorable new marine disaster. To scientifically mitigate and assess the impacts of MHW disasters on China’s coastal waters, this study developed a monitoring and weekly forecast product for MHWs based on the OSTIA (Operational SST and Ice Analysis) SST observational fusion data and SST numerical forecast data. Evaluation shows the following: the quarterly average of the RMSE for the weekly MHWs intensity forecasts is 0.52 °C; and the quarterly average score for the weekly MHW’s category forecasts is 94.4. Characteristic analysis of 2024 MHWs reveals 93.7% of China’s coastal waters and adjacent areas experienced MHWs throughout the year, and the average monthly impact rate of MHWs is 43.8%. High-value areas of total days and cumulative intensity are concentrated in the central-eastern part of the Yellow Sea, which makes it the most severely affected area by MHW disasters in 2024. The weekly MHW’s forecast product developed in this study provides deterministic weekly forecasts of MHWs intensity and categories for China’s coastal waters. This product can serve as a guidance basis for MHW disaster prevention and mitigation, and help reduce losses caused by MHWs to the marine environment and marine economy.
Full article
(This article belongs to the Special Issue Ocean Temperatures and Heat Waves)
►▼
Show Figures

Figure 1
Open AccessArticle
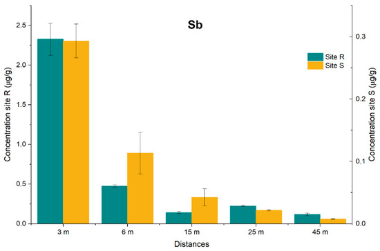
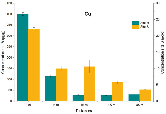
Magnetic Biomonitoring of PM in a Semi-Arid Urban Park of North-Central Mexico Using Tillandsia recurvata as a Particulate Matter Biocollector
by
Ana G. Castañeda-Miranda, Harald N. Böhnel, Marcos A. E. Chaparro, Laura A. Pinedo-Torres, A. Rodríguez-Trejo, Rodrigo Castañeda-Miranda, Remberto Sandoval-Aréchiga, Víktor I. Rodríguez-Abdalá, Jose. R. Gomez-Rodriguez, Saúl Dávila-Cisneros and Salvador Ibarra Delgado
Atmosphere 2026, 17(1), 55; https://doi.org/10.3390/atmos17010055 - 31 Dec 2025
Abstract
This study assessed the spatial distribution and composition of airborne particulate matter within a 10 km long urban green corridor in Zacatecas, Mexico, using magnetic biomonitoring with Tillandsia recurvata and SEM-EDS particle characterization. A total of 44 samples were collected from distinct urban
[...] Read more.
This study assessed the spatial distribution and composition of airborne particulate matter within a 10 km long urban green corridor in Zacatecas, Mexico, using magnetic biomonitoring with Tillandsia recurvata and SEM-EDS particle characterization. A total of 44 samples were collected from distinct urban park contexts (e.g., commercial zones, malls, bus stops), revealing mass-specific magnetic susceptibility χ values ranging from −6.71 to 61.1 × 10−8 m3 kg−1. Three compositional groups were identified based on a PCA performed using elemental concentrations from SEM-EDS and magnetic data, which are associated with traffic emissions and industrial inputs. SEM-EDS images confirmed abundant magnetite-like particles (1–8 μm) with hazardous metals including Pb (up to 5.6 wt.%), Ba (up to 67.6 wt.%), and Cr (up to 31.5 wt.%). Wind direction data indicated predominant SSW–NNE transport, correlating with hotspots in central and northeastern park areas. Overall, vegetated zones exhibited markedly lower magnetic loads (mean χ = 8.84 × 10−8 m3 kg−1) than traffic-exposed sites (mean χ = 17.27 × 10−8 m3 kg−1), representing an approximate 50% reduction in magnetic particle accumulation, which highlights the effective role of continuous vegetation cover as a functional green barrier that attenuates the lateral transport and deposition of airborne particulate matter within the park. This research highlights the applicability of combined magnetic and microscopic techniques for evaluating the dynamics of airborne pollution in urban parks and supports their use for identifying both pollution hotspots and mitigation zones, reinforcing the role of urban green spaces as biofunctional filters in cities facing vehicular air pollution.
Full article
(This article belongs to the Special Issue Indoor Air Pollution Monitoring: Multi-Pollutant Exposure and Risk Assessment)
►▼
Show Figures

Figure 1
Journal Menu
► ▼ Journal Menu-
- Atmosphere Home
- Aims & Scope
- Editorial Board
- Reviewer Board
- Topical Advisory Panel
- Instructions for Authors
- Special Issues
- Topics
- Sections & Collections
- Article Processing Charge
- Indexing & Archiving
- Editor’s Choice Articles
- Most Cited & Viewed
- Journal Statistics
- Journal History
- Journal Awards
- Society Collaborations
- Conferences
- Editorial Office
Journal Browser
► ▼ Journal BrowserHighly Accessed Articles
Latest Books
E-Mail Alert
News
Topics
Topic in
Atmosphere, JMSE, Sustainability, Water
Sustainable River and Lake Restoration: From Challenges to Solutions
Topic Editors: Yun Li, Hong Yang, Xiaogang Wang, Zhengxian Zhang, Boran ZhuDeadline: 31 January 2026
Topic in
Atmosphere, Coasts, Land, Sustainability, Water
Contemporary Waterfronts, What, Why and How?
Topic Editors: Maria José Andrade Marques, Francesca Dal Cin, João Pedro CostaDeadline: 28 February 2026
Topic in
Atmosphere, Buildings, CivilEng, Construction Materials, Energies, Sustainability
Low Carbon Building Performance and Sustainability in the Construction Industry
Topic Editors: Xiaojuan Li, Libiao Bai, Ruopeng HuangDeadline: 31 March 2026
Topic in
Atmosphere, Geomatics, Hydrology, Remote Sensing, Water, Climate
Advances in Hydrological Remote Sensing
Topic Editors: Hailong Liu, Liangliang JiangDeadline: 30 April 2026
Conferences
14–16 October 2026
[ECAS-8] Present your Work at the 8th International Electronic Conference on Atmospheric Sciences

21 January 2026
Atmosphere Webinar | Heat Stress Quantification and Applications in Micro Scale, 21 January 2026

Special Issues
Special Issue in
Atmosphere
Recent Advances in Photochemistry and Spectroscopy of Atmospheric Aerosols
Guest Editors: Aaron W. Harrison, Marcelo GuzmanDeadline: 12 January 2026
Special Issue in
Atmosphere
Atmospheric Dispersion and Chemistry Models: Advances and Applications (2nd Edition)
Guest Editor: Daniel Viúdez-MoreirasDeadline: 13 January 2026
Special Issue in
Atmosphere
Atmospheric Emissions from Unconventional Oil and Gas Development: Measurements and Modeling
Guest Editors: Qining Chen, David T. AllenDeadline: 15 January 2026
Special Issue in
Atmosphere
Advances in Methods for the Investigation of the Atmospheric Water Cycle
Guest Editor: Lifeng WuDeadline: 20 January 2026
Topical Collections
Topical Collection in
Atmosphere
Indoor Air Quality: From Sampling to Risk Assessment in the Light of New Legislations
Collection Editors: Pasquale Avino, Gaetano Settimo
Topical Collection in
Atmosphere
Livestock Odor Issues and Air Quality
Collection Editor: Jacek Koziel
Topical Collection in
Atmosphere
Measurement of Exposure to Air Pollution
Collection Editor: Luca Stabile



