Abstract
Berberine (BBR), a potential bioactive agent, has remarkable health benefits. A substantial amount of research has been conducted to date to establish the anticancer potential of BBR. The present review consolidates salient information concerning the promising anticancer activity of this compound. The therapeutic efficacy of BBR has been reported in several studies regarding colon, breast, pancreatic, liver, oral, bone, cutaneous, prostate, intestine, and thyroid cancers. BBR prevents cancer cell proliferation by inducing apoptosis and controlling the cell cycle as well as autophagy. BBR also hinders tumor cell invasion and metastasis by down-regulating metastasis-related proteins. Moreover, BBR is also beneficial in the early stages of cancer development by lowering epithelial–mesenchymal transition protein expression. Despite its significance as a potentially promising drug candidate, there are currently no pure berberine preparations approved to treat specific ailments. Hence, this review highlights our current comprehensive knowledge of sources, extraction methods, pharmacokinetic, and pharmacodynamic profiles of berberine, as well as the proposed mechanisms of action associated with its anticancer potential. The information presented here will help provide a baseline for researchers, scientists, and drug developers regarding the use of berberine as a promising candidate in treating different types of cancers.
1. Introduction
Cancer is a disease that has become a significant public health and socio-economic concern worldwide. Hence, it seems urgent to develop strategies for the prevention and treatment of cancer [1]. Various types of cancers display resistance to chemo, radio, and hormonal therapies. Owing to these limitations, there is a dire need to develop effective, readily available, and safe anticancer therapies. Consequently, researchers are now more focused on exploring natural plant components as potential anticancer agents [2]. Plants produce numerous distinct natural products—secondary metabolites—such as terpenoids, phenolics, and alkaloids. In matrices of higher plants, phenolics and terpenoids are more abundantly present than alkaloids [3]. Among alkaloids, isoquinoline alkaloids are known as natural plant products that have demonstrated a considerable impact in drug discovery. Isoquinoline alkaloids are predominantly present in diverse plant families such as Berberidaceace, Cactaceae, Rutaceae, Fumariaceae, Papaveraceace, Magnoliaeace, Menispermaceae, Amaryllidaceae, and Ranunculaceae. These alkaloids have remarkable biological and pharmacological properties such as antifungal, anti-inflammatory, antioxidant, anticancer, antihypercholesterolemic, antidiabetic, and antimicrobial [4,5,6].
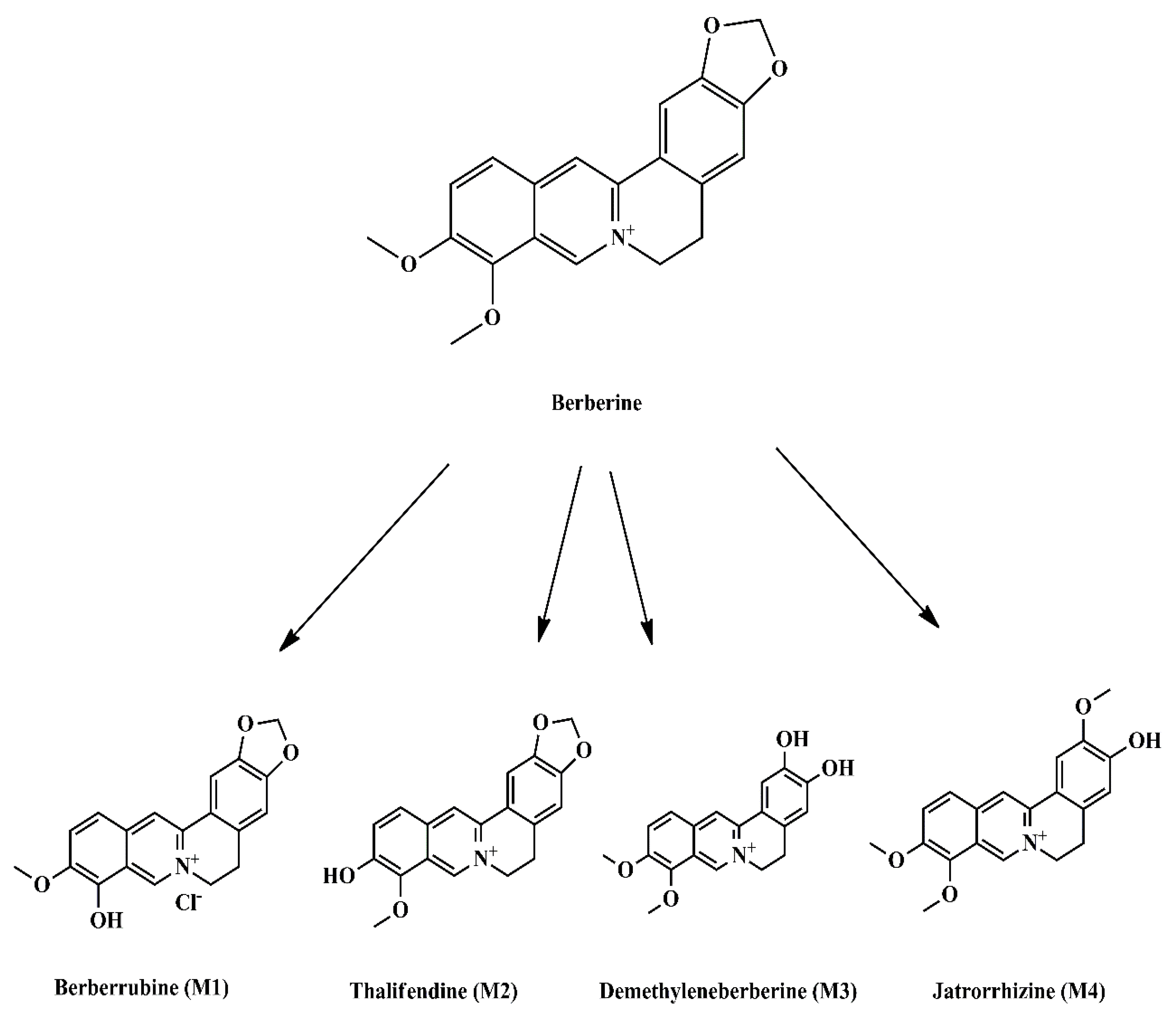
Berberine (BBR) is a benzyl tetra isoquinoline alkaloid (2,3-methylenedioxy-9,10-dimethoxyprotoberberine chloride, C20H18NO4+) (Figure 1) with a molar mass of 336.36122 g/mol. It is a well-known phytochemical compound extracted from the roots of various plants such as Berberis vulgaris, B. aristotle, B. aquifolium, Hydrastus canadensis, Pellodendron chenins, and Coptis rhizomes [7,8]. It is a crystal yellow-colored isoquinoline alkaloid traditionally used in Chinese and Ayurvedic medicine. Recently, scientists have reported that Berberine possesses broad-spectrum therapeutic potential due to its action against various ailments such as diabetes, hypertension, depression, obesity, inflammation, and cancer [9,10,11,12,13]. Berberine sulfate and hydrochloride have also been considered efficient herbal treatments. Scientists have reported berberine as a promising drug candidate in treating cancer [14] and various diseases such as diabetes, Alzheimer’s. It is a hydrophilic compound having low bioavailability when administrated orally; therefore, various nanotechnology-based strategies are in practice to elevate berberine bioavailability. Furthermore, coadministration with certain drugs results in increased absorption of berberine. Additionally, for decades it has served as a chemical marker in assessing the quality of various prescriptions in clinical use [15]. Therefore, this review summarizes the pharmacokinetic profile of berberine and presents an in-depth overview of its anticancer perspectives.
Figure 1.
Chemical structures of berberine and its primary metabolites.
2. Sources and Extraction Techniques
Various parts (bark, stem, root, and rhizome) of plants such as goldenseal (Hydrastis canadesis), goldenthread (Coptis chinesis), barberry (Berberis vulgaris), Oregon grape (Berberis aquifolium), and tree turmeric (Berberis aristata) are known to contain active biomolecules such as berberine. Further, berberine has also been extracted and isolated from diverse plant genera and families, including Tinospora (Menispermaceae), Annickia (Annonaceae), Xanthorhiza (Ranunculaceae), Sinopodophyllum (Berberidaceae), Evodia (Rutaceae), Coelocline (Annonaceae), Argemone (Papaveraceae), Rollinia (Annonaceae), Caulophyllum (Berberidaceae), Zanthoxyllum (Rutaceae), Xylopia (Annonaceae), Bocconia (Papaveraceae), and others. Among these plants, berberine is abundantly present in several species of barberry and goldenseal that are native to America and Asia [16,17,18].
As discussed above, berberine is an alkaloid predominantly present in the matrices of various plant species, and a variety of solvents are used for its isolation. Principally, extraction methods used to isolate berberine depend on interconversion reactions among the protoberberine salt and the base itself. Apart from extraction methodologies, conversion of protoberberine salts to their specific bases is performed, and the resulting bases are further extracted using different organic solvents [19,20]. As berberine is a photo- and thermo-sensitive compound, both light and heat are considered as main challenging factors during its extraction. However, various conventional extraction methods are widely used, such as soxhlet, percolation, maceration, and continuous hot extraction, using different solvents (chloroform, ethanol, and methanol). In these conventional methods, exposure to light and heat results in the degradation of berberine, thereby reducing berberine recovery from plant matrices [21]. Currently, research is focused on employing novel and innovative extraction techniques (supercritical fluid or pressurized liquid extractions, ultrasonication, microwave-assisted extraction, and ultrahigh pressure extraction) due to their enhanced extraction efficiency, reduced extraction time, and minimal detrimental effects [22]. Choices of the solvent and the type of extraction technique are considered critical steps in both the extraction and the isolation of berberine. Table 1 gives a brief overview regarding berberine extraction using different techniques.
Table 1.
Overview of various techniques for berberine extraction.
3. Pharmacokinetic Profile of BBR
In humans and mice, the primary metabolites of BBR are berberrubin (M1), thalifendine (M2), demethyleneberberine (M3), and jatrorrhizine (M4), as other alkaloids contained in the extracts of H. candidiasis (such as hydrastine) (Figure 1) [35,36]. The bacterial microflora of the intestine plays an important role in the enterohepatic circulation of BBR and its regulated metabolites. Recent reports have shown that the microbiota of a healthy intestinal tract helps convert berberine to its easily absorbable form, dihydroberberine, which displays a 5-fold higher intestinal absorption rate compared with its parent molecule [36]. Following administration of BBR in rats and humans, the presence of the BBR metabolites M1, M2, M3, and M4 was detected in bile, urine, and feces, as well as BBR sulfate and glucuronide conjugates [37]. The pharmacokinetic profile of BBR and its metabolites, which was extensively studied both in animal models [38] and in humans [39], demonstrated analogies between the two models, mainly regarding the low oral bioavailability of BBR, thus requiring relatively high dosages for clinical practice (0.5–1 g/month). Chen et al. studied the BBR pharmacokinetic profile in rabbits after intravenous administration of 2 mg/kg BBR sulfate, obtaining the following kinetic parameters; t1/2(α): 2.32 ± 1.18 min, t1/2(β): 5.28 ± 1.00 h, total plasma clearance (CL): 5.46 ± 1.62 L/h, elimination rate constant (K10): 1.75 ± 1.17 h−1, and an area under the concentration-time curve (AUC): 0.84 ± 0.27 μg h/mL [40].
Spinozzi et al. have reported that after a single oral intake of BBR chloride in healthy subjects (500 mg), plasmatic BBR, M3, and M4 levels (Figure 1) were very low (0.07 ± 0.01, 0.14 ± 0.01, and 0.13 ± 0.02 nM, respectively) displaying a similar pharmacokinetic profile; a plateau was reached after one hour for BBR and M3 and after 2 h for M4, persisting for up to 24 h [41]. In contrast, the plasma concentration of M1 reached 10-fold higher levels after 4 h, that is, 1.4 ± 0.3 nM, slowly decreasing to a concentration of 0.15 ± 0.02 nM after 24 h. The same authors reported that after a chronic administration of 15 mg/kg body weight/day of BBR for three months, patients with hypercholesterolemia showed plasmatic bioaccumulation of BBR and its primary metabolites. Maximum steady-state concentrations were 4.0 ± 2.0, 6.7 ± 3.0, 1.7 ± 0.3, and 5.6 ± 2.0 nM for BBR, M1, M3, and M4, respectively. Even so, M1 was the most abundant compound present in the plasma [41].
Despite the low plasmatic concentration of BBR and low bioavailability, its metabolites retained a higher concentration in the plasma, behaving as pharmacologically active forms of BBR [42,43]. Moreover, after oral administration, BBR is rapidly distributed in the body with maximum concentrations in the liver, followed by kidney, muscles, lung, brain, heart, pancreas, and fat [44].
4. Anticancer Perspectives
4.1. Breast Cancer
Triple-negative breast cancer (TNBC) is an aggressive breast cancer subtype. Berberine was cytotoxic against all treated TNBC cell lines such as MDA-MB-231, MDA-MB-468, HCC1937, HCC70, HCC38, BT-20, HCC1143, and BT-549. Among all these experimented cell lines, the most sensitive ones were HCC70 (IC50 = 0.19 µM), BT-20 (IC50 = 0.23 µM), and MDA-MB-468 (IC50 = 0.48 µM) [45]. Using flow cytometry techniques, BBR at 0.5 and 1 µM for 120 and 144 h not only induced cell cycle arrest at first growth (G1) and second-growth (G2)/medium phases, but it also triggered significant apoptosis [45]. Interestingly, although BBR was cytotoxic to TNBC cells, it did not affect the viability of normal human breast cells (MCF10) cultured in a 3D Matrigel model 15. These results suggest that berberine may be a suitable potential candidate for the development of a TNBC drug. Berberine addition at a dose of 1 μM to MDA-MB-468 cells induced a significant increase in the G1 phase population with a decrease in the S and G2/M phases [46].
BBR reduced the expression of the proliferating cell nuclear antigen (PCNA) protein and cyclin D1 in MDA-MB-468 cell cultures to block their progression into the G1 phase of the cell cycle. Likewise, application of BBR to MDA-MB-468 cells at a dose of 6 and 12 μM for 48 h caused a cell cycle arrest in the first growth (G1) phase with a decrease in the expression of cyclin D1 depending on the dose [46]. Zhao and Zhang recently investigated the role of berberine regarding the behavior of the MDA-MB-231 malignant breast tumor cell line. Namely, BBR reduced cell migration ability, provoked inhibition of phosphorylation, decreased overexpression of the tumor necrosis factor α (TNF-α) and Interleukin 6 (IL-6), and induced suppression of the nuclear factor kappa light chain enhancer of activated β cells (NF-Κβ) [47].
On the other hand, autophagy is a conservative mechanism for maintaining cellular homeostasis by clearing misfolded proteins and damaged organelles [48]. In cancer therapy, autophagy is seen as a double-edged sword because it can prevent early tumorigenesis and protect cancer cells later in life [49]. Thus, the combination of autophagy inhibitors and chemotherapy is expected as a promising cancer treatment strategy, and multiple autophagy inhibitors are already in the preclinical stage [50].
In MCF-7 breast cancer cells and the doxorubicin-resistant (ADR) cells MCF-7 (MCF-7/ADR), BBR was recently identified as an autophagy suppressor, inhibiting the formation of autophagosomes in MCF-7/ADR cells [51]. Berberine treatment blocked the accumulation of the LC3II protein, which is associated with autophagy, leading to accumulation of the signaling adaptor p62 protein, decreasing cell proliferation, and reversing doxorubicin resistance [52]. Mechanically, BBR inhibits autophagy by modulating the PTEN/Akt/mTOR signaling pathway. It also regulates the mitogen-activated protein kinase and the Wingless/Integrated (Wnt)/β-catenin signaling pathways in breast cancer cells [53] while suppressing chemotherapy resistance through autophagy regulation [46,54]. BBR as a potent anticancer agent significantly reduces cell viability, inhibits colony formation, cell migration, and decreases the secretion of proinflammatory cytokines (IL-1α, IL-6, TNF-α, IL-1β) [55]. BBR also increases the release of Lactic Acid Dehydrogenase (LDH) in the MDA epithelial human breast cancer cell line (MDA-cells) and downregulates the purinoceptor 7 (P2 × 7) associated with speck apoptosis, procaspase-1, and caspase-1 p20, domain recruitment (ASC), IL-1β proteins, interleukin-18 (IL-18), the mRNA expression of caspase-1 and ASC in the NOD-, and LRR- and the pyrin domain-containing protein 3 (NLRP3) inflammasome cascade [55]. Proposed mechanisms regarding the breast anticancer properties of berberine are presented in Table 2.
Table 2.
Summarized data of berberine effects against various cancers and their proposed mechanisms.
4.2. Colon Cancer
BBR treatment suppresses the viability of colorectal cancer cells by increasing their apoptosis level. The long noncoding RNA cancer susceptibility candidate 2 (CASC2) is activated in cells treated with BBR, and knockdown of the RNA CASC2 reverses BBR-induced apoptosis [56]. In addition, the antiapoptotic β-cell lymphoma-2 (Bcl-2) gene and CASC2 were inhibited by treatment with berberine causing proapoptotic effects. Moreover, CASC2 lncRNA binds to the Au-rich element-binding factor 1 (AUF1), which blocks the binding of AUF1 to Bcl-2 mRNA, thereby inactivating Bcl-2 translation [56]. There are many antitumor mechanisms induced by BBR in human colorectal cancer cells, such as suppression of cell viability, induction of cell apoptosis, and upregulation of CASC2 lncRNA [56,57]. Berberine also modulates the expression of the micro-RNA-429 (MIR-429) in colorectal cancer [58]. The role of BBR in the colorectal cancer stem cells (CRC) was further explored by Liu et al. [58], who showed that this compound inhibits the invasion and metastasis of CRC cells via the prostaglandin–endoperoxide synthase 2/prostaglandin E2, mediated by the Janus kinase 2 pathway [58]. BBR inhibits the viability of CRC cell lines and promotes cell apoptosis in a dose-dependent manner. Moreover, RNA sequencing has shown that several lncRNAs may be important regulators of the BBR-dependent pathway. MiR-21 is involved in cell proliferation, invasion, invasion of blood vessels, and metastasis of many types of cancers [59]. Berberine suppresses the viability of colon cancer cells and regulates the three-gene network microRNA (miR)-21-integrin β4 (ITGβ4)—programmed cell death 4 (PDCD4) [60]. It was demonstrated that BBR treatment suppresses the viability of colon cancer cells, induces apoptosis, and activates caspase-3 activity in the human colon cancer cell line HCT116 [60]. BBR inhibits the miR-21 expression and stimulates the expression of PDCD4 proteins in the HCT116 cell line. Overexpression of miR-21 reduces the anticancer effects of BBR on cell viability, apoptosis rate, and caspase-3 activity of the HCT116 cell line [60,61]. Table 2 provides an overview of berberine action against various colon cancer cell lines and the proposed anticancer mechanisms.
4.3. Pancreatic Cancer
Berberine (0.3–6 μM) inhibits DNA synthesis and proliferation of pancreatic ductal adenocarcinoma (PDAC) cells and retards the development of their cell cycle in G1. BBR treatment also reduces by 70% the growth of MiaPaCa-2 cells when implanted into the flanks of nu/nu mice [62]. BBR lowers mitochondrial membrane potential and intracellular ATP levels and induces potent AMPK activation, as evidenced by phosphorylation of the AMPK α subunit at Thr172 and acetyl CoA carboxylase (ACC) at Ser79. In addition, BBR inhibits, in a dose-dependent manner, mTORC1 (phosphorylation of S6K at Thr389 and S6 at Ser240/244) and ERK activation in PDAC cells stimulated with insulin and neurotensin or fetal bovine serum [62]. Knockdown of the expression of the catalytic subunits α1 and α2 of AMPK reverses the inhibitory effect caused by the treatment with low concentrations of BBR on mTORC1, ERK, and DNA synthesis in PDAC cells. However, at higher concentrations (3 μM), BBR inhibits mitogenic signaling (mTORC1 and ERK) and DNA synthesis through an AMPK-independent mechanism [62]. Similar results were obtained with metformin used at doses that produced either a moderate or significant decrease in intracellular ATP levels, almost identical to the decrease in ATP levels observed in response to BBR [62]. One can hypothesize that BBR and metformin inhibit mitogenic signaling in PDAC cells via dose-dependent AMPK-dependent and independent pathways [63].
G-protein coupled receptors (GPCRs), and their related agonists are used as autocrine/paracrine growth factors for multiple solid tumors [64,65]. It has been shown that pancreatic cancer cell lines express multiple GPCRs [66] and various GPCR agonists, including neurotensin, angiotensin II, and bradykinin, which stimulate DNA synthesis in pancreatic cancer cell lines including PANC-1 and MiaPaca-2 [67]. In the pancreatic cancer cell lines PANC-1 and MIA-PaCa2, Park et al. [68] identified the anticancer role of berberine via a variety of pathways such as induction of phase G1. In contrast, induction of apoptosis was triggered by a mechanism involving the production of reactive oxygen species (ROS) rather than activation of caspase 3/7. Similarly, in another study, the effects of berberine and some of the modified berberines (NAX-compounds), metformin, and chemo-preventive drugs were assessed on four pancreatic adenocarcinoma cell lines (AsPC-1, BxPC-3, MIA-PaCa-2, and PANC-28). Berberine and modified berberine compounds enhanced the effects of metformin. In MIA-PaCa-2 cells, restoration of WT-TP53 activity changed the sensitivity towards metformin and modified BBRs combination compared with parent cells lacking in WT-TP53. Some modified BBRs helped alter the expression of key molecules involved in cellular growth. Therefore, the outcomes of that study concluded that combined treatment with berberines and NAX compounds may help suppress the proliferation of pancreatic cancer cells [69]. Table 2 highlights the effect of berberine against various pancreatic cancer cell lines along with its proposed mechanisms of action.
Reportedly, in human pancreatic cancer cells (BxPC-3 cells), BBR has been found to have an inhibitory action on the cellular growth of cancer cells and mediated caspase-independent cell death [70]. BBR showed inhibitory effects in pancreatic cancer cells (PANC-1, AsPC-1, and MIA-PaCa-2) on the expression of Rad51 and the upregulation of PARP expression compared with control pancreatic cancer cells. The combined influence of olaparib (PARP inhibitor) and berberine displayed synergistic inhibitory effects on cellular activity and induced apoptotic conditions in experimented pancreatic cancer cells [71]. Based on a phenotypic assay, berberine showed a notable inhibitory role in pancreatic cancer cell metastasis and viability. Additionally, berberine treatment significantly damaged the mitochondria of pancreatic cancer cells and therefore dysregulated their energy metabolism processes [72]. In pancreatic cancer cells, BBR treatment also influenced citrate metabolism resulting in blocking of the fatty acid biosynthesis. Finally, Liu et al. [72] have proposed that BBR inhibits the proliferation of pancreatic cancer cells via the regulation of citrate metabolism and, therefore, citrate metabolism may be considered a promising target in drug development for the treatment of pancreatic cancers. Similarly, according to another study carried out in the pancreatic cancer cells PANC-1, treatment of gemcitabine (a standard drug) and BBR resulted in the reduction of side-population cells to 6.8 and 5.7%, respectively. Further, in BBR and gemcitabine-treated PANC-1 and MIA-PaCa-2 cells, all the examined stem cell-associated genes (NOTCH1, NANOG, POU5F1, and SOX2) were suppressed, except NOTCH1. Hence, the authors believed that the stem cell-associated genes (NANOG, POU5F1, and SOX2) may serve as promising markers and that BBR can be considered a potent anticancer agent for the treatment of pancreatic cancers [73].
4.4. Gastric Cancer
Matrix metalloproteinases (MMP) can cleave all extracellular matrix components and contribute to malignant cell invasion and metastasis. Gastric cancer has been linked to four matrix metalloproteinases (MMPs) (MMP-1, -2, -7 and -9) [74]. BBR was shown to suppress human gastric cancer cell growth and migration in a dose-dependent manner. In the gastric cancer cells SNU-5, BBR induced the production of Reactive Oxygen Species (ROS) while decreasing the nuclear factor kappa-light-chain-enhancer of activated B cells (NF-κB). BBR exerted anticancer properties in gastric cancer cells by preventing cell migration by inhibiting MMP -1, -2, and -9 gene expression [75].
Pandey et al. [76] discovered that BBR impairs gastric cancer cell viability in a dose-dependent manner by inhibiting the signal transducer and activator of transcription 3 (STAT3) levels and survivin expression. These authors showed that 5-fluorouracil in combination with BBR increases gastric adenocarcinoma cell death by suppressing survivin and STAT3 expression [76]. BBR was found to suppress the activation of the epidermal growth factor receptor (EGFR) in gastric cancer tumors. Research conducted by Wang et al. [77] evaluated whether BBR could help EGFR tyrosine kinase inhibitors (TKI) function better in gastric cancer cell lines and xenograft models. They reported that BBR could effectively improve the activity of targeted standard cancer drugs such as erlotinib and cetuximab in vitro and in vivo. BBR has been shown to suppress growth and cause apoptosis in gastric cancer cell lines owing to the inhibition of EGFR signaling, which includes STAT3 phosphorylation [77]. Likewise, in gastric cancer cells (SGC7901 and AGS lines), BBR treatment suppressed cell proliferation, induced cell cycle arrest, and attenuated invasion via the down-regulation of C-myc, cyclin-D1, and MMP-3 expressions, respectively [78]. In reaction to BBR therapy, expression of Bcl-xL and cyclin D1 protein decreased, whereas cleavage levels of poly-ADP ribose polymerase (PARP) increased significantly [77].
In another study, the effect of BBR has also been examined in gastric cancer cells (SGC-7901 and BGC-823 lines) that were resistant to cisplatin. Purposely, coadministration of BBR and cisplatin increased the apoptotic conditions in the experimented cisplatin-resistant gastric cancer cell lines. Conclusively, it was noticed that BBR sensitized resistant cancer cells to cisplatin and increased its antigastric cancer properties owing to the inhibition of PI3K/AKT/mTOR signaling [79]. Berberine-treated gastric cancer cells (BGC-823 and SGC-7901), which were already resistant towards cisplatin, showed a reduction in cisplatin resistance due to modulatory effects on the miR-203/Bcl-w apoptotic axis and hence might increase the chemotherapeutic responses among patients having cisplatin-resistant gastric cancers [80]. In vitro and in vivo experimentations revealed the inhibitory potential of BBR in the gastric cancer cell line BGC-823 due to the induction of cytostatic autophagy through suppression of MAPK/mTOR/p70S6K and Akt signaling pathways [81]. Similarly, Li et al. [82] proposed the use of berberine hydrochloride as a potential drug candidate for the treatment of gastric cancer as this compound modulates MAPK-signaling pathways [82] (Table 2).
4.5. Liver Cancer
BBR inhibits cyclin D1 expression in human hepatoma cells both in vitro and in vivo in a dose- and time-dependent manner [83]. BBR allows the nuclear cyclin D1 to be released into the cytoplasm for proteasome degradation by increasing cyclin D1 phosphorylation at the Thr286 location. To foster cyclin D1 ubiquitin-proteasome-dependent proteolysis, BBR recruits skp, cullin, and the F-box containing transducing–repeat-containing protein (SCFβ-TrCP) complex. Further, BBR blocks the turnover of cyclin D1 when β-TrCP is knocked out [83]. In hepatocellular carcinoma cells (HCC), over-expression of the Solute Carrier Family 1 Member 5 (SLC1A5) results in a poor prognosis. On the other hand, BBR has been reported to inhibit the proliferation of Hep3B and BEL-7404 cells in vitro by suppressing glutamine uptake and inhibiting SLC1A5; however, the increased activity of SLC1A5 results in an increase in glutamine uptake and an increase in BBR tolerance. In addition, BBR inhibits the growth of tumor xenografts and the expression of SLC1A5 and c-Myc in vivo [84].
BBR can cause cell cycle arrest and display anticancer properties in hepatocellular carcinoma cells (HCC). G1 step cell cycle arrest was observed in Huh-7 and HepG2 cells treated with BBR [85]. Moreover, it was found that BBR could inactivate the AKT pathway resulting in suppression of S-phase kinase-related protein 2 (Skp2) expression while it increased the expression and the nucleocytoplasmic translocation of the Forkhead box O3a (FoxO3a). On one side, translocated FoxO3a can directly promote transcription of the CDKIs p21Cip1 and p27Kip1, thus inhibiting Skp2 expression, both of which contribute to the upregulation of p21Cip1 and p27Kip1. The cell cycle is thus arrested in the HCC/G1 process [85]. BBR application was found to inhibit cell viability in the hepatocarcinoma cell lines SNU-182, Hep3B, and HepG2, due to a modulating effect on the expression of multiple tumorigenesis-related gene proteins [86]. Liver anticancer potential for BBR is mainly due to the regulation of hepatoma cells via interactions among ESR1, TB52, PTGS2, CCDN1, and MAPK1 pathways, which act on Hub-nodes in those interlinked pathways. This is related to immune–inflammatory activities such as induction of apoptotic conditions and proliferation of hepatic cancer cells [87]. According to a study conducted by Huang et al. [88], the coadministration of BBR and sorafenib synergistically inhibited the proliferation of human liver cancer cells (HepG2 and SMM-7721) in a concentration-dependent manner. Similarly, BBR minimized the cell viability of Bel-7404, HepG2, and H22 cell lines in a time-and concentration-dependent manner. Additionally, BBR significantly inhibited the expression of COX-2 (cyclooxygenase-2) and cPLA2 (cytosolic phospholipase) but increased the arachidonic acid to PGE2 (prostaglandin E2) ratio [89]. Interestingly, BBR was reported to have a selective inhibitory effect on the proliferation of hepatocellular cancer cells through induction of apoptotic conditions in AMPK-mediated caspase-dependent mitochondrial pathways through its action rarely resulted in a cytotoxic impact in normal cells [90] (Table 2).
4.6. Oral Cancer
BBR caused genomic DNA fragmentation, cell morphology alterations, and nuclear condensation in a dose-dependent manner in KB oral cancer cells [91]. Apoptosis and enhanced caspase-3 and -7 activities were also observed. BBR has also been shown to increase the expression of the FasL death receptor ligand [91]. As a result, the proapoptotic factors, including caspases-3, 8, and 9, as well as the poly (ADP-ribose) polymerase, were expressed. BBR also greatly improved the expression of proapoptotic factors such as Bax, Poor, and Apaf-1, Bcl-2, and Bcl-xL, while antiapoptotic factors were downregulated [91]. The activation of caspase-3 and PARP was blocked by Z-VAD-FMK, a cell-permeable pan-caspase inhibitor [91].
In athymic nude mice, BBR effectively inhibited tumorigenicity and the development of the EBV-positive NPC cell line C666-1. Successful inhibition of STAT3 activation in NPC cells within tumor xenografts grown in nude mice well correlates with the inhibition of tumorigenic development of NPC cells in vivo. BBR blocked constitutive and IL-6-induced STAT3 activation [92], which resulted in growth inhibition and apoptosis in NPC cells. IL-6 was found to be secreted by tumor-associated fibroblasts, and conditioned media from fibroblasts activated STAT3 in NPC cells [92]. BBR or antibodies to IL-6 and IL-6R may also inhibit STAT3 activation by regulatory media of tumor-associated fibroblasts [93]. Treatment with BBR impaired the development of the human esophageal squamous cell carcinoma cell line KYSE-70 and the esophageal adenocarcinoma line SKGT4 in a dose- and time-dependent manner. The inhibitory function of BBR was more sensitive in KYSE-70 cells than in SKGT4 cells. The number of cells in the G2/M process (25.94%/5.01%) was higher in KYSE-70 cells treated with 50 μmol/L BBR for 48 h than in the control (9.77%/1.28%). At 12 and 24 h after treatment, flow cytometric analysis indicated that BBR significantly increases the KYSE-70 apoptosis population relative to control cells (0.83% vs. 43.78%, 12 h) [94]. The apoptosis effect of BBR was higher at 24 h compared to 12 h (81.86% vs. 43.78% p%, p < 0.01). BBR blocked the phosphorylation of rapamycin and Akt, the mammalian targets of P70-S6-Kinase, and increased AMP-activated protein kinase phosphorylation in a prolonged fashion, according to Western blotting [94] (Table 2).
4.7. Bone Cancer
In vitro and in vivo administration of BBR to osteosarcoma cells reduces the expression of caspase-1 and Interleukin-1 (IL-1) in tumor cells and inhibits tumor cell development. It was suggested for the first time that BBR inhibits the caspase-1/IL-1 inflammatory signaling axis, resulting in antiosteosarcoma properties [95]. BBR has a possible genotoxic effect on human osteosarcoma cells, as determined by DNA fragmentation analysis and flow cytometry, by dramatically increasing apoptosis in a concentration and time-dependent manner [96]. In the osteosarcoma U-2 OS cells, BBR and BBR nanoparticles made of heparin (HP), reduced cell viability, arrested the cell cycle in the G1 phase, and reduced expression of the mouse 2 min 2 homologs (MDM2) [97]. The PI3K/Akt pathway was activated, rising Bcl-2 (B-cell lymphoma 2) expression. BBR prevents PI3K/AKT activation resulting in an increased expression of Bax (Bcl-2-associated X protein) and PARP (Poly (ADP-ribose) polymerase) and decreased expression of Bcl-2 and caspase-3 [97]. Overall, BBR inhibits the activation of the PI3K/Akt signaling pathway, which hinders human osteosarcoma U2OS cell proliferation and induces apoptosis [97]. BBR inhibits human chondrosarcoma cell migration and invasion by downregulating v3 integrins via the protein kinase C (PKC) and the proto-oncogene tyrosine-protein kinase, c-Src [98].
BBR (40−160 μmol/L) inhibits cell proliferation and IL-6 secretion in U-266 (human, peripheral blood, multiple myeloma) cells in a time and dosage-dependent manner. BBR, on the other hand, decreases miR-21 and Bcl-2 levels and induces ROS formation, G2/M step arrest, and apoptosis in U266 cells [99]. BBR-induced inhibition of cell proliferation and IL-6 secretion was disrupted by overexpression of miR-21. The activity of NF-κB was reduced by around 50% in U266 cells treated with BBR (80 μmol/L), followed by a substantial decrease in miR-21 levels. BBR (80–160 μmol/L) increases Set9 (lysine methyltransferase) levels by more than two-fold, resulting in methylation of the RelA subunit, which in turn inhibits NF-κB nuclear translocation and miR-21 transcription. In U266 cells treated with BBR (80 μmol/L), knocking down Set9 with siRNA resulted in a substantial rise in NF-κB protein levels and a partial recovery of cell proliferation. BBR prevents multiple myeloma development by downregulating three miRNA clusters and a significant number of mRNAs via the TP53, Erb, and MAPK signaling pathways. The mir-99a to 125b cluster may be a potential therapeutic target for multiple myeloma [100].
IL-6 regulates miR-21 transcription in IL-6-dependent human myeloma cell lines (HMCL) through signal transducers and activators of transcription 3 (STAT3)-related mechanisms [101]. Importantly, in the absence of IL-6, the ectopic expression of miR-21 is necessary to maintain the development of IL-6-dependent MM cells. As expected, the tumor suppressor programmed cell death 4 (PDCD4) is a miR-21 target. MiR-21 regulates PDCD4 directly, according to luciferase reporter review assays. Signal transducers and transcription activators 3 will target the miR-21 promoter according to bioinformatics analysis (STAT3); BBR can inhibit miR-21 transcription in multiple myeloma by downregulating IL-6 through STAT3 downregulation. Apoptosis, G2 step cell cycle arrest, and colony suppression were also caused by BBR and seed-targeting anti-miR-21 oligonucleotides in multiple myeloma cell lines (Table 2). Short interfering RNA depletion of PDCD4 could preserve BBR-induced cytotoxicity in multiple myeloma cells [102]. The anticancer mechanisms of berberine are presented in Figure 2.
Figure 2.
Anticancer mechanisms of berberine.
4.8. Cancer of the Glioblastoma
BBR-mediated apoptosis blocks the AMPK/mTOR/ULK1 pathway and decreases tumor growth in glioblastoma polymorphic (GBM) cells in vivo [103]. The glioma microenvironment is characterized by inflammation. IL-1 and other neuroinflammatory cytokines secreted by glioma cells are believed to play a role in tumor initiation and progression [104]. Inflammatory responses and cancer are linked by certain intrinsic pathways, which induce cancer-causing genetic changes, with IL-1 playing a key role in these mechanisms. IL-1, for example, is a downstream effector of Ras activation and NF-κB regulatory gene activation, which is necessary to provide a favorable microenvironment for tumor formation [105]. A recent second phase of a clinical trial of a recombinant IL-1R antagonist for multiple myeloma has shown a favorable safety profile and reduced morbidity, demonstrating that anti-IL-1 therapy is a viable cancer treatment option [106]. BBR inhibits the inflammatory cytokine caspase-1 activation through ERK1/2 signaling as well as glioma cells’ subsequent development of IL-1 and IL-18. BBR therapy also decreases motility and induces apoptosis in U251 and U87 cells [107]. Furthermore, BBR has the potential to reverse the mechanism of epithelial–mesenchymal metastasis, which is a sign of tumor invasion [107].
BBR inhibits tumor development by regulating the differentiation and the role of stem cells and inducing cell death in neuroblastoma cells. Around the same time, inhibiting the adrenergic signal slows neuroblastoma development and increases cell differentiation. Calvani et al. [108] have summarized the potential benefits of BBR in inhibiting tumor growth and development in different types of cancer, especially neuroblastoma [108], BBR (6.25–200 μmol/L, 6–48 h) impaired cell viability and proliferation of U87 and U251 human glioblastoma cell lines in BALB/c nude mice (IC50 of 42 and 32 μmol/L, respectively). BBR (50 μmol/L) prevented HUVEC cell migration in the transwell assay by 67.50 ± 8.14% and the Matrigel assay by 73.00 ± 1.12% [109]. In the ectopic xenograft form, BBR (50 mg/kg) greatly decreased tumor weight (401.2 71.5 mg vs. 860.7 117.1 mg in the vehicle group) [109]. The hemoglobin content was greatly decreased by BBR (28.81 ± 3.64 μg/mg vs. 40.84 ± 5.15 μg/mg in the vehicle group, p < 0.001). BBR (50 mg/kg) greatly increased the survival rate of mice in a stereotactic xenograft model. BBR inhibited VEGFR2 and ERK phosphorylation [109] (Table 2).
4.9. Skin Cancer
Various studies have revealed the anticancer role of BBR via inhibition of cell migration and invasion in different human cancer cells. Likewise, BBR administration (0–2 μM) resulted in an induction of cellular morphological alterations and decreased the number of viable cells in human melanoma skin cancer cells (A375.S2 and A375.S2/PLX resistant cells). Furthermore, BBR suppressed the migration and invasion of the melanoma skin cancer cells A375.S2. Post 24-h treatments with BBR in A375.S2 cells led to an inhibition of SOS-1, p-AKT, MMP-1, NF-κB, Ras, p-FAK, and MMP-13 gene expression and an increase in the levels of PI3K and PKC [110]. BBR was found earlier to suppress the proliferation of skin squamous carcinoma cells (A431) in a time- and concentration-dependent manner. Moreover, BBR treatment induced different biochemical changes, such as loss of the membrane potential of mitochondria, cytochrome-c release into the cytosol, and cleavage of the poly (ADP) ribose polymerase. Results revealed that BBR induces apoptotic conditions and inhibits skin squamous carcinoma cells [111].
Similarly, Kou et al. demonstrated that BBR decreases the migration and invasion of melanoma cells B16 cells and diminishes the expression levels of RARα (retinoic acid receptor-α), p-AKT, and p-PI3K while upregulating the expression levels of RARβ (retinoic acid receptor-β) and RARγ (retinoic acid receptor-γ). The authors were of the view that in mouse melanoma B16 cells, BBR reversed the epithelial to mesenchymal transition and hence can be used as an effective anticancer agent in treating melanoma via regulation of the PI3K/Akt pathway [112]. Another group of researchers also studied the combined effect of berberine with doxorubicin on murine melanoma B16F10 cells both in vitro and in vivo. The combined treatment revealed strong inhibitory effects on cell growth and induced cell cycle (G2/M) arrest along with the reduction in Kip1/p27. Further, compared with the control, combined BBR and doxorubicin treatment caused a reduction in tumor weight (78%) and volume (85%) in B16F10 xenograft. Therefore, the authors suggested the usage of BBR and doxorubicin as a potent combination for the inhibition of melanoma cancer cell growth [113]. In melanoma A375 cells, treatment with BBR was also found to decrease the metastatic potential of cancer cells due to AMPK activation and inhibition of the ERK-signaling pathway, while the levels of COX-2 proteins were also reduced [114] (Table 2).
4.10. Uterus or Endometrium Cancer
Among various gynecological malignancies, endometrial cancer (EC) is recognized as the third most malignant after breast and cervical cancers [115]. Berberine has been reported to be an effective natural alkaloid having antiendometrial cancer properties. According to the in vitro and in vivo studies conducted by Wang and Zhang [116], BBR inhibited proliferation, migration, and invasion as well as metastasis in endometrial cancers. They further reported that BBR inhibits cancer cells via COX-2/PGE2-signaling pathways. In endometrial cancer cells, modulation of COX-2 was achieved as berberine activated the transcription of miR-101 through AP-1 (activator protein-1). Conclusively, BBR may be a promising candidate in treating EC as it inhibits cancer cells through miR-101/COX-2/PGE2-signaling pathways [116]. In EC cells, BBR affects the distribution of the cell cycle and induces apoptotic conditions via activation of the mitochondrial-caspase pathway. Furthermore, since BBR engaged the PI3K/Akt pathway, it may be recommended as a functional ingredient for the prevention and treatment of endometrial cancers [117].
4.11. Prostate Cancer
Hypoxia and ionizing radiations (IR) were used to treat the prostate cancer cell lines LNCaP and DU-145 with or without BBR therapy [118]. LNCaP cells were also xenografted into naked mice and treated with IR or BBR. BBR improved the radiation sensitivity of prostate cancer cells and xenografts in a dose-dependent manner, which was linked to inhibition of the expression of HIF-1 and VEGF [118]. BBR suppressed proliferation of the human prostate carcinoma epithelial cell line 22Rv1 and decreased cellular testosterone synthesis in a dose-dependent manner [119]. BBR inhibited the activity of the C3 enzyme from the Aldo-keto reductase family 1, rather than affecting mRNA or protein expression [107]. BBR will thus join the active core of aldo-keto reductase family 1 member C3 and form an association with the amino acid residues Phe306 and Phe311, according to molecular docking studies. Finally, the association of BBR with the aldo-keto reductase family 1 member C3 inhibits 22Rv1 prostate cancer cell development by inhibiting this enzyme and by reducing intracellular androgen synthesis [119].
In addition, BBR inhibited the androgen receptor (AR) transcriptional function in castration-resistant prostate cancers (CRPC). BBR has little effect on the expression of AR mRNA but causes AR protein degradation. Several ligand-binding domains truncated AR splice variants have been discovered, and these variants are thought to help patients develop CRPC. Surprisingly, these variants were found to be more vulnerable to BBR-induced degradation than full-length AR. BBR also impairs the development of LNCaP xenografts in nude mice and decreases AR expression in tumors, while normal prostate morphology and AR expression are unaffected [120]. BBR has been shown to suppress the capacity of prostate cancer cells to spread and infiltrate, these cells being strongly metastatic [49]. The inhibitory activity of BBR resulted in a substantial reduction in the expression of a panel of mesenchymal genes that control developmental EMT. High BMP7, NODAL, and Snail gene expression in metastatic prostate cancer tissues is associated with shorter survival in patients with prostate cancers and offers potential therapeutic targets among the EMT-related genes downregulated by BBR [49] (Table 2).
4.12. Thyroid Cancer
BBR inhibited RET expression in medullary thyroid carcinoma (MTC) cells by more than 90% at a concentration of 2.5 µg/mL but did not affect TPC1 cells [121]. Canadine, a structural analog of BBR, did not affect RET expression in MTC TT cells and had little interaction with the RET G-quadruplex. In TT cells, the BBR-mediated downregulation of RET inhibits cell proliferation by causing cell cycle arrest and activation of apoptosis, as evidenced by a two-fold increase in caspase-3 activity and downregulation of cell cycle regulation [122]. Two thyroid cancer cell lines, 8505C and TPC1, exhibited a dose-dependent growth decrease upon BBR treatment. Following BBR treatment, 8505C cells displayed a significant increase in apoptosis, whereas TPC1 cells showed cell cycle arrest at the G0/G1 phase [123]. After BBR therapy, immunoblots of p-27 expression revealed BBR caused a mild upregulation of p-27 in 8505c cells but a moderate upregulation of p-27 in TPC1 cells [123].
5. Conclusions
Cancer is a large category of disease that severely affects people’s health. Thus, there is a vital need for cancer prevention and treatment advancement. Surgery, radiotherapy, and chemotherapy are the most often used approaches to cancer care. People may also abandon anticancer treatments due to their ineffectiveness and adverse side effects, resulting in the illness progression and reduced overall survival rate. Resistance to anticancer drugs may be conferred by target alteration, drug-efflux pumps, increased cellular tolerance to apoptosis, increased DNA harm tolerance to therapy, reparability, and enhanced neoplastic proliferation. Resistance may be due to improvements in the stroma and tumor climate as well as cancer microenvironments. Cancer cells utilize a number of these pathways, complicating clinical strategies for each patient. Recent advancements in cancer care, such as selective and immunotherapy, also provided substantial benefits.
However, during the last decade, several clinical studies and lab analyses have been conducted to investigate the efficacy of BBR in curing cancer. Additionally, BBR was found to control pro and anticancer miRNAs and lncRNA levels and has been shown to improve the effectiveness of chemotherapy and radiation therapy. However, BBR’s direct cytotoxic impact is not considered very powerful. It acts at concentrations sometimes greater than 100 µM for certain cancer cell lines. Nevertheless, the cytotoxic action of BBR is moderate as it ranges from 10 to 100 μM. BBR’s slow absorption, efflux from intestinal cells by P-gc, and comprehensive metabolism by intestinal and hepatic cells render difficult its use in vivo. Consequently, progresses must be made on developing both the pharmacokinetic profile and the anticancer efficacy of BBR in the future. As BBR shows promising efficacy concerning anticancer potential, it may be a potential candidate in innovative anticancer drug discovery.
Author Contributions
Conceptualization, A.R. and M.I.; methodology, A.R., M.I., Z.A.S., T.A.-I. and T.B.E.; software, A.R. and M.I.; validation, A.R., M.I., Z.A.S., T.A.-I. and T.B.E.; formal analysis, S.M., Z.K., F.A.A., A.S.M.A., I.K., M.M.R., P.J. and T.A.G.; investigation, A.R. and M.I.; resources, S.M., Z.K., F.A.A., A.S.M.A., I.K., M.M.R., P.J. and T.A.G.; data curation, A.R., M.I., Z.A.S., T.A.-I. and T.B.E.; writing—original draft preparation, A.R., M.I., T.B.E., A.A.K. and S.M.; writing—review and editing, S.M., Z.K., F.A.A., A.S.M.A., I.K., M.M.R., P.J. and T.A.G.; visualization, A.R. and M.I.; supervision, A.R. and P.J.; project administration, A.R. and P.J.; funding acquisition, A.R. and P.J. All authors have read and agreed to the published version of the manuscript.
Funding
This research received no external funding.
Institutional Review Board Statement
Not applicable.
Informed Consent Statement
Not applicable.
Data Availability Statement
Available data are presented in the manuscript.
Conflicts of Interest
The authors declare no conflict of interest.
References
- Jemal, A.; Bray, F.; Center, M.M.; Ferlay, J.; Ward, E.; Forman, D. Global cancer statistics. CA Cancer. J. Clin. 2011, 61, 69–90. [Google Scholar] [CrossRef]
- Hussain, A.; Bourguet-Kondracki, M.L.; Hussain, F.; Rauf, A.; Ibrahim, M.; Khalid, M.; Hussain, H.; Hussain, J.; Ali, I.; Khalil, A.A.; et al. The potential role of dietary plant ingredients against mammary cancer: A comprehensive review. Crit. Rev. Food. Sci. Nutr. 2020, 15, 26. [Google Scholar] [CrossRef] [PubMed]
- Yamada, Y.; Kokabu, Y.; Chaki, K.; Yoshimoto, T.; Ohgaki, M.; Yoshida, S.; Kato, N.; Koyama, T.; Sato, F. Isoquinoline alkaloid biosynthesis is regulated by a unique bHLH-type transcription factor in Coptis japonica. Plant. Cell. Physiol. 2011, 52, 1131–1141. [Google Scholar] [CrossRef] [PubMed]
- Cicero, A.F.G.; Baggioni, A. Berberine and its role in chronic disease. Adv. Exp. Med. Biol. 2016, 928, 27–45. [Google Scholar]
- Kukulka-Koch, W.A.; Widelski, J. Alkaloids. Pharmacognosy. 2017, 1, 163–198. [Google Scholar]
- Cicero, A.F.G.; Ertek, S. Berberine: Metabolic and cardiovascular effects in preclinical and clinical trials. Nutr. Diet. 2009, 1, 1–10. [Google Scholar] [CrossRef]
- Meng, F.-C.; Wu, Z.-F.; Yin, Z.-Q.; Lin, L.-G.; Wang, R.; Zhang, Q.-W. Coptidis rhizoma and its main bioactive components: Recent advances in chemical investigation, quality evaluation and pharmacological activity. Chin. Med. 2018, 13, 1–18. [Google Scholar] [CrossRef]
- Wang, J.; Wang, L.; Lou, G.-H.; Zeng, H.-R.; Hu, J.; Huang, Q.-W.; Peng, W.; Yang, X.-B. Coptidis rhizoma: A comprehensive review of its traditional uses, botany, phytochemistry, pharmacology and toxicology. Pharm. Biol. 2019, 57, 193–225. [Google Scholar] [CrossRef]
- Han, B.; Wang, K.; Tu, Y.; Tan, L.; He, C. Low-dose berberine attenuates the anti-breast cancer activity of chemotherapeutic agents via induction of autophagy and antioxidation. Dose-Response 2020, 18, 1–12. [Google Scholar] [CrossRef] [PubMed]
- Zhou, G.; Yan, Y.; Guo, G.; Tong, N. Ameliorative effect of berberine on neonatally induced type 2 diabetic neuropathy via modulation of BDNF, IGF-1, PPAR-γ, and AMPK expressions. Dose-Response 2019, 17, 1–15. [Google Scholar] [CrossRef] [PubMed]
- Asbaghi, O.; Ghanbari, N.; Shekari, M.; Reiner, Z.; Amirani, E.; Hallajzadeh, J.; Mirsafaei, L.; Asemi, Z. The effect of berberine supplementation on obesity parameters, inflammation and liver function enzymes: A systematic review and meta-analysis of randomized controlled trials. Clin. Nutr. 2020, 38, 43–49. [Google Scholar] [CrossRef] [PubMed]
- Shen, Y.B.; Piao, X.S.; Kim, S.W.; Wang, L.; Liu, P. The effects of berberine on the magnitude of the acute inflammatory response induced by Escherichia coli lipopolysaccharide in broiler chickens. Poult. Sci. 2010, 89, 13–19. [Google Scholar] [CrossRef] [PubMed]
- Sun, S.; Wang, K.; Lei, H.; Li, L.; Tu, M.; Zeng, S.; Zhou, H.; Jiang, H. Inhibition of organic cation transporter 2 and 3 may be involved in the mechanism of the antidepressant-like action of berberine. Prog. Neuropsychopharmacol. Biol. Psychiatry 2014, 49, 1–6. [Google Scholar] [CrossRef]
- Singh, I.P.; Mahajan, S. Berberine and its derivatives: A patent review (2009–2012). Expert Opin. Ther. Pat. 2013, 23, 215–231. [Google Scholar] [CrossRef] [PubMed]
- Wang, K.; Feng, X.; Chai, L.; Cao, S.; Qiu, F. The metabolism of berberine and its contribution to the pharmacological effects. Drug. Metab. Rev. 2017, 49, 139–157. [Google Scholar] [CrossRef] [PubMed]
- Singh, N.; Sharma, B. Toxicological effects of berberine and sanguinarine. Front. Mol. Biosci. 2018, 5, 1–7. [Google Scholar] [CrossRef] [PubMed]
- Kumar, A.; Ekavali; Chopra, K.; Mukherjee, M.; Pottabathini, R.; Dhull, D.K. Current knowledge and pharmacological profile of berberine: An update. Eur. J. Pharmacol. 2015, 761, 288–297. [Google Scholar] [CrossRef] [PubMed]
- Arayne, M.S.; Sultana, N.; Bahadur, S.S. The berberis story: Berberis vulgaris in therapeutics. Pak. J. Pharm. Sci. 2007, 20, 83–92. [Google Scholar]
- Marek, R.; Seckárová, P.; Hulová, D.; Marek, J.; Dostál, J.; Sklenár, V. Palmatine and berberine isolation artifacts. J. Nat. Prod. 2003, 66, 481–486. [Google Scholar] [CrossRef] [PubMed]
- Grycová, L.; Dostál, J.; Marek, R. Quaternary protoberberine alkaloids. Phytochemistry 2007, 68, 150–175. [Google Scholar] [CrossRef]
- Neag, M.A.; Mocan, A.; Echeverría, J.; Pop, R.M.; Bocsan, C.I.; Crişan, G.; Buzoianu, A.D. Berberine: Botanical occurrence, traditional uses, extraction methods, and rel- evance in cardiovascular, metabolic, hepatic, and renal disorders. Front. Pharmacol. 2019, 9, 557. [Google Scholar] [CrossRef] [PubMed]
- Patel, P. A bird’s eye view on a therapeutically ‘wonder molecule’: Berberine. Phytomed. Plus 2021, 1, 100070. [Google Scholar] [CrossRef]
- Manikyam, H.K.; Ramesh, C.; Poluri, K.M.; Assad, A. Microwave assisted Subcritical water extraction of Berberine hydrochloride from the roots of Berberis aristata using Harmony search algorithm. J. Herbal Med. Res. 2017, 2, 1–9. [Google Scholar] [CrossRef]
- Akowuah, G.A.; Okechukwu, P.N.; Chiam, N.C. Evaluation of HPLC and spectrophotometric methods for analysis of bioactive constituent berberine in stem extracts of Coscinium fenestratum. Acta Chromatogr. 2014, 26, 243–254. [Google Scholar] [CrossRef]
- Katare, A.K.; Singh, B.; Shukla, P.; Gupta, S.; Singh, B. Rapid determination and optimisation of berberine from Himalayan Berberis lycium by soxhlet apparatus using CCD-RSM and its quality control as a potential candidate for COVID-19. Nat. Prod. Res. 2020, 1–6. [Google Scholar] [CrossRef] [PubMed]
- Arawwawala, L.D.A.M.; Wickramaar, W.A.N. Berberine content in Coscinium fenestratum (Gaertn.) Colebr grown in Sri Lanka. Pharmacologia 2012, 3, 679–682. [Google Scholar] [CrossRef]
- Shigwan, H.; Saklani, A.; Hamrapurkar, P.D.; Mane, T.; Bhatt, P. HPLC method development and validation for quantification of berberine from Berberis aristata and Berberis tinctoria. Int. J. Appl. Sci. Eng. 2013, 11, 203–211. [Google Scholar]
- Sarraf, M.; Beigbabaei, A.; Naji-Tabasi, S. Optimizing extraction of berberine and antioxidant compounds from barberry by maceration and pulsed electric field-assisted methods. J. Berry Res. 2020, 11, 1–16. [Google Scholar] [CrossRef]
- Liu, B.; Li, W.; Chang, Y.; Dong, W.; Ni, L. Extraction of berberine from rhizome of Coptis chinensis Franch using supercritical fluid extraction. J. Pharm. Biomed. Anal. 2006, 41, 1056–1060. [Google Scholar] [CrossRef]
- Liu, S.; Chen, Y.; Gu, L.; Li, Y.; Wang, B.; Hao, J. Effects of ultrahigh pressure extraction conditions on yields of berberine and palmatine from Cortex phellodendri amurensis. Anal. Methods 2013, 5, 4506. [Google Scholar] [CrossRef]
- Li, Y.; Pan, Z.; Wang, B.; Yu, W.; Song, S.; Feng, H.; Zhao, W.; Zhang, J. Ultrasound-assisted extraction of bioactive alkaloids from Phellodendri amurensis cortex using deep eutectic solvent aqueous solutions. New J. Chem. 2020, 44, 9172–9178. [Google Scholar] [CrossRef]
- Mokgadi, J.; Turner, C.; Torto, N. Pressurized hot water extraction of alkaloids in Goldenseal. Am. J. Anal. Chem. 2013, 4, 398–403. [Google Scholar] [CrossRef]
- Satija, S.; Bansal, P.; Dureja, H.; Garg, M. Microwave assisted extraction of Tinospora cordifolia and optimization through central composite design. J. Biol. Sci. 2015, 15, 106–115. [Google Scholar] [CrossRef]
- Pfoze, N.L.; Myrboh, B.; Kumar, Y.; Rohman, R. Isolation of protoberberine alkaloids from stem bark of Mahonia manipurensis Takeda using RP-HPLC. J. Med. Plants Stud. 2014, 2, 48–57. [Google Scholar]
- Hao, Y.; He, K.; Zheng, H.; Sun, M.; Shi, T.; Zheng, X.; Shao, D.; Zhang, H.; Guan, F.; Li, J. Berberine inhibits the apoptosis-induced metastasis by suppressing the iPLA2/LOX-5/LTB4 pathway in hepatocellular carcinoma. Onco. Targets. Ther. 2020, 13, 5223. [Google Scholar]
- Feng, R.; Shou, J.-W.; Zhao, Z.-X.; He, C.-Y.; Ma, C.; Huang, M.; Fu, J.; Tan, X.-S.; Li, X.-Y.; Wen, B.-Y. Transforming berberine into its intestine-absorbable form by the gut microbiota. Sci. Rep. 2015, 5, 1–15. [Google Scholar] [CrossRef] [PubMed]
- Ma, J.Y.; Feng, R.; Tan, X.S.; Ma, C.; Shou, J.W.; Fu, J.; Huang, M.; He, C.Y.; Chen, S.N.; Zhao, Z.X. Excretion of berberine and its metabolites in oral administration in rats. J. Pharm. Sci. 2013, 102, 4181–4192. [Google Scholar] [CrossRef] [PubMed]
- Zuo, F.; Nakamura, N.; Akao, T.; Hattori, M. Pharmacokinetics of berberine and its main metabolites in conventional and pseudo germ-free rats determined by liquid chromatography/ion trap mass spectrometry. Drug Metab. Dispos. 2006, 34, 2064–2072. [Google Scholar] [CrossRef] [PubMed]
- Attoub, S.; Hassan, A.H.; Vanhoecke, B.; Iratni, R.; Takahashi, T.; Gaben, A.-M.; Bracke, M.; Awad, S.; John, A.; Kamalboor, H.A. Inhibition of cell survival, invasion, tumor growth and histone deacetylase activity by the dietary flavonoid luteolin in human epithelioid cancer cells. Eur. J. Pharmacol. 2011, 651, 18–25. [Google Scholar] [CrossRef] [PubMed]
- Chen, C.-M.; Chang, H.-C. Determination of berberine in plasma, urine and bile by high-performance liquid chromatography. J. Chromatogr. B Biomed. Sci. Appl. 1995, 665, 117–123. [Google Scholar] [CrossRef]
- Spinozzi, S.; Colliva, C.; Camborata, C.; Roberti, M.; Ianni, C.; Neri, F.; Calvarese, C.; Lisotti, A.; Mazzella, G.; Roda, A. Berberine and its metabolites: Relationship between physicochemical properties and plasma levels after administration to human subjects. J. Nat. Prod. 2014, 77, 766–772. [Google Scholar] [CrossRef] [PubMed]
- Cao, S.; Zhou, Y.; Xu, P.; Wang, Y.; Yan, J.; Bin, W.; Qiu, F.; Kang, N. Berberine metabolites exhibit triglyceride-lowering effects via activation of AMP-activated protein kinase in Hep G2 cells. J. Ethnopharmacol. 2013, 149, 576–582. [Google Scholar] [CrossRef] [PubMed]
- Zhou, S.; Tong, R. A general, concise strategy that enables collective total syntheses of over 50 protoberberine and five aporhoeadane alkaloids within four to eight steps. Chem. Eur. J. 2016, 22, 7084–7089. [Google Scholar] [CrossRef]
- Tan, X.-S.; Ma, J.-Y.; Feng, R.; Ma, C.; Chen, W.-J.; Sun, Y.-P.; Fu, J.; Huang, M.; He, C.-Y.; Shou, J.-W. Tissue distribution of berberine and its metabolites after oral administration in rats. PloS ONE 2013, 8, e77969. [Google Scholar]
- El Khalki, L.; Maire, V.; Dubois, T.; Zyad, A. Berberine impairs the survival of triple negative breast cancer cells: Cellular and molecular analyses. Molecules 2020, 25, 506. [Google Scholar] [CrossRef]
- Lin, Y.S.; Chiu, Y.C.; Tsai, Y.H.; Tsai, Y.F.; Wang, J.Y.; Tseng, L.M.; Chiu, J.H. Different mechanisms involved in the berberine-induced antiproliferation effects in triple-negative breast cancer cell lines. J. Cell. Biochem. 2019, 120, 13531–13544. [Google Scholar] [CrossRef] [PubMed]
- Zhao, L.; Zhang, C. Berberine Inhibits MDA-MB-231 Cells by attenuating their inflammatory responses. BioMed. Res. Int. 2020, 2020, 3617514. [Google Scholar] [CrossRef] [PubMed]
- Agathokleous, E.; Kitao, M.; Calabrese, E.J. Environmental hormesis and its fundamental biological basis: Rewriting the history of toxicology. Environ. Res. 2018, 165, 274–278. [Google Scholar] [CrossRef]
- Liu, C.-H.; Tang, W.-C.; Sia, P.; Huang, C.-C.; Yang, P.-M.; Wu, M.-H.; Lai, I.-L.; Lee, K.-H. Berberine inhibits the metastatic ability of prostate cancer cells by suppressing epithelial-to-mesenchymal transition (EMT)-associated genes with predictive and prognostic relevance. Int. J. Biol. Med. Sci. 2015, 12, 63. [Google Scholar] [CrossRef]
- Chude, C.I.; Amaravadi, R.K. Targeting autophagy in cancer: Update on clinical trials and novel inhibitors. Int. J. Biol. Med. Sci. 2017, 18, 1279. [Google Scholar] [CrossRef]
- Devarajan, N.; Jayaraman, S.; Mahendra, J.; Venkatratnam, P.; Rajagopal, P.; Palaniappan, H.; Ganesan, S.K. Berberine a potent chemosensitizer and chemoprotector to conventional cancer therapies. Phytother. Res. 2021, 35, 3059–3077. [Google Scholar] [CrossRef]
- Wang, Y.; Liu, Y.; Du, X.; Ma, H.; Yao, J. Berberine reverses doxorubicin resistance by inhibiting autophagy through the PTEN/Akt/mTOR signaling pathway in breast cancer. Onco. Targets Ther. 2020, 13, 1909. [Google Scholar] [CrossRef] [PubMed]
- Kaboli, P.J.; Rahmat, A.; Ismail, P.; Ling, K.-H. Targets and mechanisms of berberine, a natural drug with potential to treat cancer with special focus on breast cancer. Eur. J. Pharmacol. 2014, 740, 584–595. [Google Scholar] [CrossRef] [PubMed]
- Mohammadinejad, R.; Ahmadi, Z.; Tavakol, S.; Ashrafizadeh, M. Berberine as a potential autophagy modulator. J. Cell. Physiol. 2019, 234, 14914–14926. [Google Scholar] [CrossRef] [PubMed]
- Yao, M.; Fan, X.; Yuan, B.; Takagi, N.; Liu, S.; Han, X.; Ren, J.; Liu, J. Berberine inhibits NLRP3 Inflammasome pathway in human triple-negative breast cancer MDA-MB-231 cell. BMC Complementary Altern. Med. 2019, 19, 1–11. [Google Scholar] [CrossRef] [PubMed]
- Dai, W.; Mu, L.; Cui, Y.; Li, Y.; Chen, P.; Xie, H.; Wang, X. Berberine promotes apoptosis of colorectal cancer via regulation of the long non-coding RNA (lncRNA) cancer susceptibility candidate 2 (CASC2)/AU-binding factor 1 (AUF1)/B-cell CLL/lymphoma 2 (Bcl-2) axis. Med. Sci. Monitor. 2019, 25, 730. [Google Scholar] [CrossRef]
- Hu, S.; Zhao, R.; Liu, Y.; Chen, J.; Zheng, Z.; Wang, S. Preventive and therapeutic roles of berberine in gastrointestinal cancers. BioMed. Res. Int. 2019, 2019, 6831520. [Google Scholar] [CrossRef]
- Liu, H.; Huang, C.; Wu, L.; Wen, B. Effect of evodiamine and berberine on miR-429 as an oncogene in human colorectal cancer. Onco. Targets Ther. 2016, 9, 4121. [Google Scholar] [PubMed]
- Wang, W.; Li, J.; Zhu, W.; Gao, C.; Jiang, R.; Li, W.; Hu, Q.; Zhang, B. MicroRNA-21 and the clinical outcomes of various carcinomas: A systematic review and meta-analysis. BMC Cancer 2014, 14, 1–11. [Google Scholar] [CrossRef] [PubMed]
- Lü, Y.; Han, B.; Yu, H.; Cui, Z.; Li, Z.; Wang, J. Berberine regulates the microRNA-21-ITGΒ4-PDCD4 axis and inhibits colon cancer viability. Oncol. Lett. 2018, 15, 5971–5976. [Google Scholar]
- Guamán Ortiz, L.M.; Lombardi, P.; Tillhon, M.; Scovassi, A.I. Berberine, an epiphany against cancer. Molecules 2014, 19, 12349–12367. [Google Scholar] [CrossRef] [PubMed]
- Ming, M.; Sinnett-Smith, J.; Wang, J.; Soares, H.P.; Young, S.H.; Eibl, G.; Rozengurt, E. Dose-dependent AMPK-dependent and independent mechanisms of berberine and metformin inhibition of mTORC1, ERK, DNA synthesis and proliferation in pancreatic cancer cells. PLoS ONE 2014, 9, e114573. [Google Scholar] [CrossRef] [PubMed]
- Yang, Y.; Bai, L.; Liao, W.; Feng, M.; Zhang, M.; Wu, Q.; Zhou, K.; Wen, F.; Lei, W.; Zhang, N. The role of non-apoptotic cell death in the treatment and drug-resistance of digestive tumors. Exp. Cell Res. 2021, 112678. [Google Scholar] [CrossRef] [PubMed]
- Rozengurt, E.; Walsh, J.H. Gastrin, CCK, signaling, and cancer. Annu. Rev. Physiol. 2001, 63, 49–76. [Google Scholar] [CrossRef] [PubMed]
- Rozengurt, E. Mitogenic signaling pathways induced by G protein-coupled receptors. J. Cell. Physiol. 2007, 213, 589–602. [Google Scholar] [CrossRef] [PubMed]
- Ryder, N.M.; Guha, S.; Hines, O.J.; Reber, H.A.; Rozengurt, E. G protein–coupled receptor signaling in human ductal pancreatic cancer cells: Neurotensin responsiveness and mitogenic stimulation. J. Cell. Physiol. 2001, 186, 53–64. [Google Scholar] [CrossRef]
- Guha, S.; Lunn, J.A.; Santiskulvong, C.; Rozengurt, E. Neurotensin stimulates protein kinase C-dependent mitogenic signaling in human pancreatic carcinoma cell line PANC. Cancer Res. 2003, 63, 2379–2387. [Google Scholar]
- Park, S.H.; Sung, J.H.; Kim, E.J.; Chung, N. Berberine induces apoptosis via ROS generation in PANC-1 and MIA-PaCa2 pancreatic cell lines. Braz. J. Med. Biol. Res. 2014, 48, 111–119. [Google Scholar] [CrossRef]
- Akula, S.M.; Candido, S.; Libra, M.; Abrams, S.L.; Steelman, L.S.; Lertpiriyapong, K.; Ramazzotti, G.; Ratti, S.; Follo, M.Y.; Martelli, A.M.; et al. Abilities of berberine and chemically modified berberines to interact with metformin and inhibit proliferation of pancreatic cancer cells. Adv. Biol. Regul. 2019, 73, 100633. [Google Scholar] [CrossRef] [PubMed]
- Pinto-Garcia, L.; Efferth, T.; Torres, A.; Hoheisel, J.D.; Youns, M. Berberine inhibits cell growth and mediates caspase-independent cell death in human pancreatic cancer cells. Planta Med. 2010, 76, 1155–1161. [Google Scholar] [CrossRef] [PubMed]
- Zhang, C.; Yang, T.; Chen, X.; Xu, J.; Liang, D.; Yi, H.; Chen, S.; Huang, L.; Liu, N.; Lin, S. A preliminary study on the synthetic lethal effect of berberine and olaparib on pancreatic cancer cells and its mechanism. In IE3S Web of Conferences Sciences; EDP Sciences: Les Ulis, France, 2021; Volume 233, p. 02023. [Google Scholar]
- Liu, J.; Luo, X.; Guo, R.; Jing, W.; Lu, H. Cell metabolomics reveals berberine-inhibited pancreatic cancer cell viability and metastasis by regulating citrate metabolism. J. Proteome. Res. 2020, 19, 3825–3836. [Google Scholar] [CrossRef] [PubMed]
- Park, S.H.; Sung, J.H.; Chung, N. Berberine diminishes side population and down-regulates stem cell-associated genes in the pancreatic cancer cell lines PANC-1 and MIA PaCa-2. Mol. Cell. Biochem. 2014, 394, 209–215. [Google Scholar] [CrossRef] [PubMed]
- Shapiro, S.D. Matrix metalloproteinase degradation of extracellular matrix: Biological consequences. Curr. Opin. Cell Biol. 1998, 10, 602–608. [Google Scholar] [CrossRef]
- Lin, J.; Yang, J.; Wu, C.; Lin, S.; Hsieh, W.; Lin, M.; Yu, F.; Yu, C.; Chen, G.; Chang, Y.; et al. Berberine induced down-regulation of matrix metalloproteinase-1, -2 and -9 in human gastric cancer cells (SNU-5) in vitro. In Vivo 2008, 22, 223–230. [Google Scholar]
- Pandey, A.; Vishnoi, K.; Mahata, S.; Tripathi, S.C.; Misra, S.P.; Misra, V.; Mehrotra, R.; Dwivedi, M.; Bharti, A.C. Berberine and curcumin target survivin and STAT3 in gastric cancer cells and synergize actions of standard chemotherapeutic 5-fluorouracil. Nutr. Cancer 2015, 67, 1295–1306. [Google Scholar] [CrossRef] [PubMed]
- Wang, J.; Yang, S.; Cai, X.; Dong, J.; Chen, Z.; Wang, R.; Zhang, S.; Cao, H.; Lu, D.; Jin, T. Berberine inhibits EGFR signaling and enhances the antitumor effects of EGFR inhibitors in gastric cancer. Oncotarget 2016, 7, 76076. [Google Scholar] [CrossRef]
- Hu, Q.; Li, L.; Zou, X.; Xu, L.; Yi, P. Berberine attenuated proliferation, invasion and migration by targeting the AMPK/HNF4α/WNT5A pathway in gastric carcinoma. Front. Pharmacol. 2018, 9, 1150. [Google Scholar] [CrossRef]
- Kou, Y.; Tong, B.; Wu, W.; Liao, X.; Zhao, M. Berberine improves chemo-sensitivity to cisplatin by enhancing cell apoptosis and repressing PI3K/AKT/mTOR signaling pathway in gastric cancer. Front. Pharmacol. 2020, 11, 2052. [Google Scholar] [CrossRef] [PubMed]
- You, H.Y.; Xie, X.M.; Zhang, W.J.; Zhu, H.L.; Jiang, F.Z. Berberine modulates cisplatin sensitivity of human gastric cancer cells by upregulation of miR-In Vitro. Cell. Dev. Biol. Anim. 2016, 52, 857–863. [Google Scholar] [CrossRef] [PubMed]
- Zhang, Q.; Wang, X.; Cao, S.; Sun, Y.; He, X.; Jiang, B.; Yu, Y.; Duan, J.; Qiu, F.; Kang, N. Berberine represses human gastric cancer cell growth in vitro and in vivo by inducing cytostatic autophagy via inhibition of MAPK/mTOR/p70S6K and Akt signaling pathways. Biomed. Pharmacother. 2020, 128, 110245. [Google Scholar] [CrossRef]
- Li, H.L.; Wu, H.; Zhang, B.B.; Shi, H.L.; Wu, X.J. MAPK pathways are involved in the inhibitory effect of berberine hydrochloride on gastric cancer MGC 803 cell proliferation and IL-8 secretion in vitro and in vivo. Mol. Med. Rep. 2016, 14, 1430–1438. [Google Scholar] [CrossRef] [PubMed]
- Wang, N.; Wang, X.; Tan, H.-Y.; Li, S.; Tsang, C.M.; Tsao, S.-W.; Feng, Y. Berberine suppresses cyclin D1 expression through proteasomal degradation in human hepatoma cells. Int. J. Mol. Sci. 2016, 17, 11. [Google Scholar] [CrossRef] [PubMed]
- Zhang, P.; Wang, Q.; Lin, Z.; Yang, P.; Dou, K.; Zhang, R. Berberine inhibits growth of liver cancer cells by suppressing glutamine uptake. OncoTargets. Ther. 2019, 12, 11751. [Google Scholar] [CrossRef] [PubMed]
- Li, F.; Dong, X.; Lin, P.; Jiang, J. Regulation of Akt/FoxO3a/Skp2 axis is critically involved in berberine-induced cell cycle arrest in hepatocellular carcinoma cells. Int. J. Mol. Sci. 2018, 19, 327. [Google Scholar] [CrossRef]
- Chuang, T.-Y.; Wu, H.-L.; Min, J.; Diamond, M.; Azziz, R.; Chen, Y.-H. Berberine regulates the protein expression of multiple tumorigenesis-related genes in hepatocellular carcinoma cell lines. Cancer. Cell. Int. 2017, 17, 1–8. [Google Scholar] [CrossRef]
- Jie, M.; Hai-Xia, L.; Fei-Fei, T.; Shu-Ling, L.; Tian-Yi, F.; Xue-Qian, W.; Qing-Guo, W.; Fa-Feng, C. Systematic Investigation of Berberine for Treating Hepatocellular Carcinoma Based on Network Pharmacology. Digit. Chin. Med. 2019, 2, 127–135. [Google Scholar] [CrossRef]
- Huang, Y.; Wang, K.; Gu, C.; Yu, G.; Zhao, D.; Mai, W.; Zhong, Y.; Liu, S.; Nie, Y.; Yang, H. Berberine, a natural plant alkaloid, synergistically sensitizes human liver cancer cells to sorafenib. Oncol. Rep. 2018, 40, 1525–1532. [Google Scholar] [CrossRef] [PubMed]
- Li, J.; Li, O.; Kan, M.; Zhang, M.; Shao, D.; Pan, Y.; Zheng, H.; Zhang, X.; Chen, L.; Liu, S. Berberine induces apoptosis by suppressing the arachidonic acid metabolic pathway in hepatocellular carcinoma. Mol. Med. Rep. 2015, 12, 4572–4577. [Google Scholar] [CrossRef]
- Yang, X.; Huang, N. Berberine induces selective apoptosis through the AMPK-mediated mitochondrial/caspase pathway in hepatocellular carcinoma. Mol. Med. Rep. 2013, 8, 505–510. [Google Scholar] [CrossRef]
- Kim, J.-S.; Oh, D.; Yim, M.-J.; Park, J.-J.; Kang, K.-R.; Cho, I.-A.; Moon, S.-M.; Oh, J.-S.; You, J.-S.; Kim, C.S. Berberine induces FasL-related apoptosis through p38 activation in KB human oral cancer cells. Oncol. Rep. 2015, 33, 1775–1782. [Google Scholar] [CrossRef] [PubMed]
- Tsang, C.M.; Cheung, Y.C.; Lui, V.W.-Y.; Yip, Y.L.; Zhang, G.; Lin, V.W.; Cheung, K.C.-P.; Feng, Y.; Tsao, S.W. Berberine suppresses tumorigenicity and growth of nasopharyngeal carcinoma cells by inhibiting STAT3 activation induced by tumor associated fibroblasts. BMC Cancer 2013, 13, 1–11. [Google Scholar] [CrossRef] [PubMed]
- Tsang, C.M.; Lau, E.P.W.; Di, K.; Cheung, P.Y.; Hau, P.M.; Ching, Y.P.; Wong, Y.C.; Cheung, A.L.M.; Wan, T.S.; Tong, Y. Berberine inhibits Rho GTPases and cell migration at low doses but induces G2 arrest and apoptosis at high doses in human cancer cells. Int. J. Mol. Med. 2009, 24, 131–138. [Google Scholar] [PubMed]
- Jiang, S.-X.; Qi, B.; Yao, W.-J.; Gu, C.-W.; Wei, X.-F.; Zhao, Y.; Liu, Y.-Z.; Zhao, B.-S. Berberine displays antitumor activity in esophageal cancer cells in vitro. World J. Gastroenterol. 2017, 23, 2511. [Google Scholar] [CrossRef] [PubMed]
- Jin, H.; Jin, X.; Cao, B.; Wang, W. Berberine affects osteosarcoma via downregulating the caspase-1/IL-1β signaling axis. Oncol. Rep. 2017, 37, 729–736. [Google Scholar] [CrossRef]
- Zhu, Y.; Ma, N.; Li, H.X.; Tian, L.; Ba, Y.F.; Hao, B. Berberine induces apoptosis and DNA damage in MG-63 human osteosarcoma cells. Mol. Med. Rep. 2014, 10, 1734–1738. [Google Scholar] [CrossRef] [PubMed]
- Hsu, H.-K.; Hsu, K.-H.; Cheng, Y.-M.; Suen, H.-Y.; Peng, S.-F. Development and in vitro evaluation of linear PEI-shelled heparin/berberine nanoparticles in human osteosarcoma U-2 OS cells. Molecules 2018, 23, 3121. [Google Scholar] [CrossRef] [PubMed]
- Wu, C.-M.; Li, T.-M.; Tan, T.-W.; Fong, Y.-C.; Tang, C.-H. Berberine reduces the metastasis of chondrosarcoma by modulating the αvβ3 integrin and the PKCδ, c-Src, and AP-1 signaling pathways. J. Evidence-Based Integr. Med. 2013, 2013, 423164. [Google Scholar] [CrossRef]
- Hu, H.-y.; Li, K.-p.; Wang, X.-j.; Liu, Y.; Lu, Z.-g.; Dong, R.-h.; Guo, H.-b.; Zhang, M.-x. Set9, NF-κB, and microRNA-21 mediate berberine-induced apoptosis of human multiple myeloma cells. Acta Pharmacol. Sin. 2013, 34, 157–166. [Google Scholar] [CrossRef]
- Feng, M.; Luo, X.; Gu, C.; Li, Y.; Zhu, X.; Fei, J. Systematic analysis of berberine-induced signaling pathway between miRNA clusters and mRNAs and identification of mir-99a∼125b cluster function by seed-targeting inhibitors in multiple myeloma cells. RNA Biol. 2015, 12, 82–91. [Google Scholar] [CrossRef]
- Slørdahl, T.S.; Abdollahi, P.; Vandsemb, E.N.; Rampa, C.; Misund, K.; Baranowska, K.A.; Westhrin, M.; Waage, A.; Rø, T.B.; Børset, M. The phosphatase of regenerating liver-3 (PRL-3) is important for IL-6-mediated survival of myeloma cells. Oncotarget 2016, 7, 27295. [Google Scholar] [CrossRef]
- Luo, X.; Gu, J.; Zhu, R.; Feng, M.; Zhu, X.; Li, Y.; Fei, J. Integrative analysis of differential miRNA and functional study of miR-21 by seed-targeting inhibition in multiple myeloma cells in response to berberine. BMC Syst. Biol. 2014, 8, 1–10. [Google Scholar] [CrossRef] [PubMed]
- Wang, J.; Qi, Q.; Feng, Z.; Zhang, X.; Huang, B.; Chen, A.; Prestegarden, L.; Li, X.; Wang, J. Berberine induces autophagy in glioblastoma by targeting the AMPK/mTOR/ULK1-pathway. Oncotarget. 2016, 7, 66944. [Google Scholar] [CrossRef]
- Nasrollahzadeh, E.; Razi, S.; Keshavarz-Fathi, M.; Mazzone, M.; Rezaei, N. Pro-tumorigenic functions of macrophages at the primary, invasive and metastatic tumor site. Cancer Immunol. Immunother. 2020, 69, 1673–1697. [Google Scholar] [CrossRef]
- Mantovani, A.; Barajon, I.; Garlanda, C. IL-1 and IL-1 regulatory pathways in cancer progression and therapy. Immunol. Rev. 2018, 281, 57–61. [Google Scholar] [CrossRef] [PubMed]
- Gottschlich, A.; Endres, S.; Kobold, S. Therapeutic strategies for targeting IL-1 in cancer. Cancers 2021, 13, 477. [Google Scholar] [CrossRef] [PubMed]
- Tong, L.; Xie, C.; Wei, Y.; Qu, Y.; Liang, H.; Zhang, Y.; Xu, T.; Qian, X.; Qiu, H.; Deng, H. Antitumor effects of berberine on gliomas via inactivation of caspase-1-mediated IL-1β and IL-18 release. Front. Oncol. 2019, 9, 364. [Google Scholar] [CrossRef] [PubMed]
- Calvani, M.; Subbiani, A.; Bruno, G.; Favre, C. Beta-Blockers and Berberine: A Possible Dual Approach to Contrast Neuroblastoma Growth and Progression. Oxid. Med. Cell. Longev. 2020, 2, 7534693. [Google Scholar] [CrossRef]
- Jin, F.; Xie, T.; Huang, X.; Zhao, X. Berberine inhibits angiogenesis in glioblastoma xenografts by targeting the VEGFR2/ERK pathway. Pharm. Biol. 2018, 56, 665–671. [Google Scholar] [CrossRef] [PubMed]
- Liu, J.F.; Lai, K.C.; Peng, S.F.; Maraming, P.; Huang, Y.P.; Huang, A.C.; Chueh, F.S.; Huang, W.W.; Chung, J.G. Berberine inhibits human melanoma AS2 cell migration and invasion via affecting the FAK, uPA, and NF-κB signaling pathways and inhibits PLX4032 resistant AS2 cell migration in vitro. Molecules 2018, 23, 2019. [Google Scholar] [CrossRef] [PubMed]
- Li, D.X.; Zhang, J.; Zhang, Y.; Zhao, P.W.; Yang, L.M. Inhibitory effect of berberine on human skin squamous cell carcinoma A431 cells. Genet. Mol. Res. 2015, 14, 10553–10568. [Google Scholar] [CrossRef] [PubMed]
- Kou, Y.; Li, L.; Li, H.; Tan, Y.; Li, B.; Wang, K.; Du, B. Berberine suppressed epithelial mesenchymal transition through cross-talk regulation of PI3K/AKT and RARα/RARβ in melanoma cells. Biochem. Biophys. Res. Commun. 2016, 479, 290–296. [Google Scholar] [CrossRef] [PubMed]
- Mittal, A.; Tabasum, S.; Singh, R.P. Berberine in combination with doxorubicin suppresses growth of murine melanoma B16F10 cells in culture and xenograft. Phytomedicine 2014, 21, 340–347. [Google Scholar] [CrossRef]
- Kim, H.S.; Kim, M.J.; Kim, E.J.; Yang, Y.; Lee, M.S.; Lim, J.S. Berberine-induced AMPK activation inhibits the metastatic potential of melanoma cells via reduction of ERK activity and COX-2 protein expression. Biochem. Pharmacol. 2012, 83, 385–394. [Google Scholar] [CrossRef]
- Mahecha, A.M.; Wang, H. The influence of vascular endothelial growth factor-A and matrix metalloproteinase-2 and-9 in angiogenesis, metastasis, and prognosis of endometrial cancer. OncoTargets Ther. 2017, 10, 4617. [Google Scholar] [CrossRef] [PubMed]
- Wang, Y.; Zhang, S. Berberine suppresses growth and metastasis of endometrial cancer cells via miR-101/COX-2. Biomed. Pharmacother. 2018, 103, 1287–1293. [Google Scholar] [CrossRef] [PubMed]
- Kuo, H.P.; Lee, Y.J.; Hsu, C.Y.; Lee, S.L.; Hsu, S.C.; Chuang, T.C.; Liu, J.Y.; Kuo, C.L.; Ho, C.T.; Kao, M.C. Growth-suppressive effect of berberine on endometrial carcinoma cells: Role of mitochondrial and PI3K/Akt pathway. J. Funct. Foods 2015, 17, 600–609. [Google Scholar] [CrossRef]
- Zhang, Q.; Zhang, C.; Yang, X.; Yang, B.; Wang, J.; Kang, Y.; Wang, Z.; Li, D.; Huang, G.; Ma, Z. Berberine inhibits the expression of hypoxia induction factor-1alpha and increases the radiosensitivity of prostate cancer. Diagn. Pathol. 2014, 9, 1–7. [Google Scholar] [CrossRef]
- Tian, Y.; Zhao, L.; Wang, Y.; Zhang, H.; Xu, D.; Zhao, X.; Li, Y.; Li, J. Berberine inhibits androgen synthesis by interaction with aldo-keto reductase 1C3 in 22Rv1 prostate cancer cells. Asian J. Androl. 2016, 18, 607. [Google Scholar] [PubMed]
- Li, J.; Cao, B.; Liu, X.; Fu, X.; Xiong, Z.; Chen, L.; Sartor, O.; Dong, Y.; Zhang, H. Berberine suppresses androgen receptor signaling in prostate cancer. Molec. Cancer Ther. 2011, 10, 1346–1356. [Google Scholar] [CrossRef] [PubMed]
- Kumarasamy, V.M.; Sun, D. Demonstration of a potent RET transcriptional inhibitor for the treatment of medullary thyroid carcinoma based on an ellipticine derivative. Int. J. Oncol. 2017, 51, 145–157. [Google Scholar] [CrossRef] [PubMed]
- Kumarasamy, V.M.; Shin, Y.-J.; White, J.; Sun, D. Selective repression of RET proto-oncogene in medullary thyroid carcinoma by a natural alkaloid berberine. BMC Cancer 2015, 15, 1–13. [Google Scholar] [CrossRef] [PubMed]
- Park, K.S.; Kim, J.B.; Bae, J.; Park, S.-Y.; Jee, H.-G.; Lee, K.E.; Youn, Y.-K. Berberine inhibited the growth of thyroid cancer cell lines 8505C and TPC. Yonsei Med. J. 2012, 53, 346–351. [Google Scholar] [CrossRef] [PubMed]
Publisher’s Note: MDPI stays neutral with regard to jurisdictional claims in published maps and institutional affiliations. |
© 2021 by the authors. Licensee MDPI, Basel, Switzerland. This article is an open access article distributed under the terms and conditions of the Creative Commons Attribution (CC BY) license (https://creativecommons.org/licenses/by/4.0/).

