Abstract
Multicomponent gas mixture diffusion in a microscale confined flow in the transition gas regime at Knudsen numbers (Kn) above 0.1 has potential engineering applications in gas-phase microfluidics. Although the calculation of the diffusion coefficient accounts for the influence of the concentration of other species in a multicomponent gas mixture, the higher rate of gas-wall collision at 0.1 < Kn ≤ 10 introduces additional complications not predicted by conventional calculation methods. Thus, simultaneous measurement of diffusion coefficients for multiple gas species ensures accurate estimation of the diffusion coefficient of a particular species that includes the effect of interactions with other species and wall surface conditions in a multicomponent gas mixture at Kn > 0.1. However, most experimental methods for measuring the diffusion coefficient are not species-specific and therefore cannot directly differentiate between the species diffusing in a gas mixture. Thus, this paper demonstrates a new experiment methodology consisting of a two-bulb diffusion configuration accompanied by a tunable diode laser absorption spectroscopy detection technique for species-specific, in-situ, simultaneous measurement of the effective diffusion coefficient for a CO2-N2O gas mixture in the transition gas regime. The experimental results are compared against direct simulation Monte Carlo calculations and the Bosanquet approximation showing a deviation that has not been reported in the literature before.
1. Introduction
Gas-phase microfluidic engineering applications often involve a gas mixture containing multiple gas species. Potential microfluidic applications involving diffusion processes in the transition gas regime at Knudsen numbers (Kn) above 0.1 include fuel cells [1,2], micro-mixers [3,4], capillary micro-reactors [5,6], and gas separation [7,8]. However, the experimental data for the mass diffusion coefficient mainly consist of results for binary gas mixtures and are primarily obtained in the continuum gas regime [9,10,11,12], and only few measurements exist in the rarefied gas regimes at Kn > 0.01 [13,14] due to the precision limitations of the available measurement techniques [15]. While the diffusion coefficient can be considered to be a function only of gas species and temperature in the continuum gas regime, as the Knudsen number increases the effect of wall collision becomes important. In the transition gas regime at 0.1 < Kn ≤ 10, a multicomponent gas mixture exhibits interdependent diffusion characteristics due to the coupled influence of concentration between multiple species and the influence of wall surface conditions on the diffusion process. Hence, accurate diffusion coefficient measurement of a multicomponent gas mixture of known characteristic dimensions is essential to inform theoretical predictions and to design efficient diffusion processes in micro capillaries. In this paper, the term ‘diffusion’ refers to the mass diffusion in a system of gases caused by a concentration gradient.
Often, the diffusion coefficient of a multicomponent gas mixture is calculated from the measured effective diffusion coefficient of its binary gas mixture components [16,17] involving the theoretical Stefan-Maxwell equation for multicomponent diffusion to account for the influence of the concentration of other species on the diffusion process [18,19,20,21]. The diffusion coefficient for a multicomponent gas mixture calculated in this manner may be valid only in the continuum gas regime, where the gas mixture diffusion is determined solely by concentration and temperature as it relies primarily on particle-to-particle (P-t-P) collisions, and diffusive mass flux of each component in the multicomponent gas mixture is assumed to be proportional to its concentration gradient [22]. However, this may not be true in the transition gas regime at 0.1 < Kn ≤ 10 due to the increased frequency of particle-to-wall (P-t-W) collisions [23], wall-friction [24], and surface diffusion along the wall [25,26,27] which alter diffusive mass flux in a microscale confined flow and introduce additional complications in theoretical equations to account for the above effects. The complexity in obtaining a multicomponent gas mixture diffusion coefficient is described in references [28,29,30]. Hence, it is necessary to consider the combined effects i.e., each species in the gas mixture influences the diffusion of the others, and all species are influenced by wall conditions such as wall roughness. Thus, simultaneous measurement of diffusion coefficients for multiple gas species in a single experimental run ensures the reliable and accurate determination of the diffusion coefficient of a particular species in a multicomponent gas mixture due to interactions with other species and the wall surface.
Simultaneous measurement of multiple species diffusion coefficients ensures that all data is collected under the same experimental conditions and eliminates potential variations that might arise from conducting separate experiments for different gases, leading to more accurate diffusion coefficient measurement for validating and developing theoretical models [31,32]. However, simultaneous measurement of diffusion coefficients of multiple species in a multicomponent gas mixture is challenging at Kn > 0.1 due to the limitations of the available measurement techniques [15,33,34]. For example, the interferometer is not a species-specific technique, because it relies on changes in optical path caused by the gases and cannot distinguish gas species diffusing in a gas mixture. Because of this, interferometric measurements are limited to binary gas mixture diffusion [35,36] or their equivalent gas mixture of constant composition (for example, air can be considered a single component) but are unsuitable for multicomponent gas mixture diffusion studies. A mass spectrometer can measure diffusion coefficients of multiple species in a gas mixture by monitoring their concentration, but it is limited to the continuum gas regime [37,38,39]. Also, since the mass spectrometer is not an in-situ measurement technique, it needs a gas sampling apparatus that is separated from the diffusion system and cannot measure the diffusion process where and while it occurs [15]. Hence, in previous studies the mass spectrometer could not obtain an effective diffusion coefficient at Kn > 0.1. Other diffusion coefficient measurements in the rarefied gas regimes are mass flux measurements [14,17] and radioactive isotope species measurements [13,40] but these techniques are not suitable to obtain accurate diffusion coefficient measurements in the transition gas regime at Kn > 0.1, for reasons that are mentioned in references [15,41].
Thus, we introduce a new experiment methodology [41] consisting of a two-bulb (TB) diffusion configuration and a tunable diode laser absorption spectroscopy (TDLAS) measurement system. TDLAS is a sensitive detection technique for the simultaneous, species-specific measurement of the diffusion coefficient of multiple gas species in a multicomponent gas mixture. Unlike mass spectrometry, the TB-TDLAS methodology eliminates the need for separate gas sampling, suitable for in-situ monitoring of gas concentrations of multiple species in real-time, which ensures accurate measurement of effective diffusion coefficients (Deff) of a multicomponent gas mixture, in particular in the transition regime at Kn > 0.1. This paper demonstrates these measurement capability advantages of the TB-TDLAS methodology in Section 3, by presenting the simultaneous measurement of the effective diffusion coefficients for a CO2-N2O binary gas mixture in the transition gas regime. The Knudsen numbers relative to the tube radius are Kn = 0.2, 0.3 and 0.6. Additionally, a three-dimensional direct simulation Monte Carlo (DSMC) calculation has been carried out to obtain the diffusion coefficient of a CO2-N2O gas mixture in the transition gas regime for comparison against the measurement. The DSMC calculation approach is presented in Section 4, and the results are presented in Section 5. Finally in Section 6, the measured and DSMC calculated Deff of a CO2-N2O gas mixture in the transition gas regime is compared against the Bosanquet empirical relation for rarefied diffusion. The Bosanquet relation [42] approximates the effective diffusion coefficient Deff value with comparable collision frequencies of P-t-P and P-t-W in the transition gas regime as
where Dcon and Dfree are the diffusion coefficients for a gas mixture in the continuum gas regime [20] and free-molecular gas regime [13,43] respectively.
2. Experiment Methodology
Figure 1 shows the schematic of the TB-TDLAS experimental arrangement for the simultaneous diffusion coefficient measurement of CO2-N2O in the transition gas regime. A hollow-core photonic crystal fiber (HCPCF) was used as the gas-diffusing medium in the two-bulb (TB) diffusion configuration. This provided a strong light-gas interaction and enhanced the sensitivity of the TDLAS technique by increasing the signal-to-noise ratio of the transmitted laser intensity [44,45,46,47]. More details about the TB-TDLAS experimental arrangement, instrumentation, and methodology to establish diffusion of gas mixtures at Kn > 0.1 are described in reference [41]. Multiplexing different laser wavelengths into the HCPCF makes it possible to simultaneously monitor the absorption of multiple species. However, in this study, only a single diode laser from Eblana photonics was used to probe selected rotational-vibrational transitions of the CO2 and N2O molecules near 2005 nm. In the absence of absorption features, the chosen laser wavelength propagates through the HCPCF with negligible attenuation. The theoretical absorbance spectrum of CO2 and N2O for an assumed rate of diffusion can be calculated in this wavelength range using the online (https://HITRAN.org/) HITRAN (High-resolution transmission) line strength data [48] and the GENSPECT line-by-line simulation code [49]. The available laser, the HCPCF and the limited choice of isolated spectral lines in the laser accessible wavelength range restrict the investigation to use the weak transitions of CO2 and N2O [50,51,52,53] listed in Table 1. Indeed, the overlap of transitions for the two species within the laser scanning range is the reason why the CO2-N2O gas mixture was selected for demonstrating the simultaneous diffusion coefficient measurement and also the reason why the diffusion coefficient measurement in this paper is limited to within gas pressure (P) 1.87 ≤ P ≤ 6.67 kPa or, in terms of Knudsen number, 0.2 ≤ Kn ≤ 0.6. The diffusion Knudsen number is calculated using the average kinetic diameter of both CO2 and N2O which is approximately 330 pm, and the nominal radius of the hollow core (7.5 × 10 m) of the HCPCF is considered as the characteristic dimension of a confined flow [54].
Figure 1.
Schematic arrangement of the two-bulb (TB) diffusion configuration with a hollow-core photonic crystal fiber (HCPCF). The schematic shows a typical direct absorption measurement using the tunable diode laser absorption spectroscopy (TDLAS) technique, shown for a single sawtooth modulation of the laser diode current [41]. Figure is not drawn to scale, and the size of gas particles is exaggerated.
Table 1.
Absorption transitions of CO2 and N2O in the laser accessible wavelength range chosen for this study [50,51,52,53]. More information can be found in the (https://HITRAN.org/) HITRAN database.
The CO2 and N2O absorption lines are separate, and CO2 has two merged absorption lines R30f and R31e for the selected pressure ranges in this study. Hence, the laser can scan all three absorption lines to monitor the change in concentration of CO2 and N2O during diffusion. If gas pressure P > 6.67 kPa, i.e., Kn < 0.2, the absorption lines undergo pressure broadening, and if P < 1.87 kPa, i.e., Kn > 0.6, the absorption lines have a low signal-to-noise ratio for the direct absorption measurements used here, increasing the baseline fit uncertainty and hence increasing the uncertainty in the obtained Deff measurement. Measurements are obtained with the HCPCF length of 0.805 m, aiming to get the absorption signal with a high signal-to-noise ratio amid a selection of weaker transitions of CO2 and N2O molecules. The gas-filling procedure in the two-bulb diffusion configuration is the same as presented in reference [41] and repeated here for CO2-N2O gas-filling. Here, gas 1 and gas 2 represents N2O and CO2 respectively. N2O is initially filled and maintained at pressure P1 in gas cell 1, the HCPCF, and gas cell 2. Afterwards, gas cell 2 is rapidly evacuated and following that, CO2 is filled at the same pressure P1 as that used in gas cell 1, to initiate binary gas diffusion between CO2 and N2O. Then, the absorption of both CO2 and N2O is monitored throughout the diffusion process. As both species diffuse into each other in the fiber, the integrated absorbance (∫A) for each spectrum of N2O decreases while the one for CO2 increases as a function of time. Since the N2O transition is significantly weaker than the CO2 transitions, the preferred arrangement is to initially fill the fiber with N2O, and then to observe the decrease in the absorption signal as CO2 diffuses into the fiber. This can be measured with less uncertainty than the ∫A signal for N2O diffusing into the fiber. Also, the effective diffusion coefficient Deff remains the same in a binary gas mixture when the initial gases are exchanged between N2O and CO2 and this has been verified for He-CO2 results presented in reference [41]. An exponential time constant () is fit to the changing ∫A over time for both N2O and CO2. The finite time required to remove N2O as gas 1 from gas cell 2 and replace it with CO2 as gas 2 creates a vacuum and re-fill process that is excluded from the measurement of the time constant . Since the diffusion process is self-similar, the time constant does not depend on the measurement starting time, provided constant-pressure diffusion has been established in the TB experimental arrangement.
Reference [41] discusses data analysis for measuring the effective diffusion coefficient Deff in the transition gas regime by minimizing the least-squares error between the experimental time constant () and simulated time constant (). The is obtained from the exponential rate of increase in the simulated path-integrated absorbance ∫Asim for the experimental condition using the one-dimensional Fick’s law of diffusion. Here the assumption is that the diffusion process occurs in the same way as it does in continuum conditions but at a different rate indicated by a different effective diffusion coefficient Deff due to gas-wall collisions in the transition gas regime and the shape of the temporal development does not change at higher Knudsen numbers Kn > 0.1. The mole fraction distribution is calculated using the analytical solution of Fick’s second law of one-dimensional diffusion for the initial and boundary conditions corresponding to the TB experimental arrangement [41] is
where is the initial mole fraction of the specie, is the mole fraction of gas specie 1 or 2, t is the time after the diffusion process has been initiated, x is the spatial coordinate along the diffusing direction and L is the length of the fiber. The GENSPECT line-by-line absorption simulation code will simulate the CO2 absorption spectra for the mole fraction distribution in the fiber for each segment length of dx = 1 × 10 m, which is considered sufficiently small to allow us to assume a uniform concentration or homogeneous in each segment and applying the Beer-Lambert law to determine the absorbance of CO2. Then, the CO2 absorbance within each segment of length dx can be summed to obtain the total absorbance at each wavenumber over the total path length L at each time step.
3. Experimental Results and Discussion
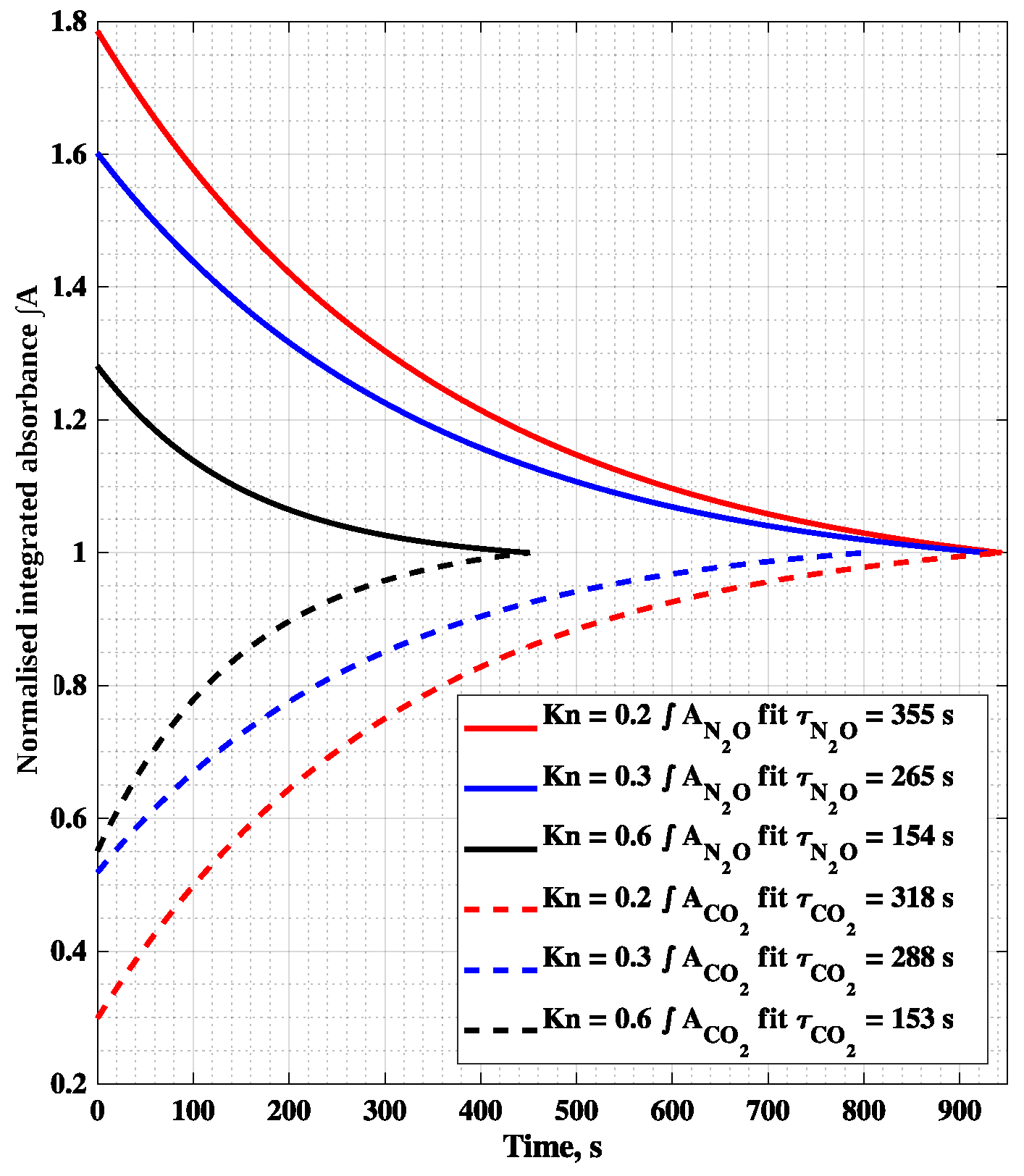
The results of a sample data analysis from a single experimental run where Kn = 0.2 are presented here. The non-absorption region of the spectra and the baseline interpolation are shown in Figure 2a, and the corresponding absorbance is shown in Figure 2b. The conversion from time scale to wavenumber scale was obtained using the absorption line peaks of known wavenumber from the (https://HITRAN.org/) HITRAN database as shown in Figure 2c. Here, linear interpolation is assumed between time and wavenumber since a sawtooth modulation of the laser diode current generates a linear variation in laser wavelength. The comparison of the absorbance spectrum profiles at different times shows the variation in the absorbance due to diffusion and is shown in Figure 2d. Note that the increase in absorbance with time for two spectral lines of CO2 will vary for the same mole fraction of CO2, according to the strength of the absorption line presented in Table 1. The increase in the integrated absorbance of CO2 (∫ACO2) and the decrease in the integrated absorbance of N2O (∫AN2O) were monitored simultaneously throughout the experiment. Here, the integrated absorbance of CO2 (∫ACO2) is the result of the integrated absorbance of two peaks at 4986.51 cm and 4986.54 cm of CO2 together. The reason for not splitting or decoupling the absorption profiles of two peaks is to avoid the increase in uncertainty of the integrated absorbance ∫A measurement of a single absorption line or peak when the two peaks are overlapping. This procedure will not affect the diffusion coefficient measurement since the measurement of time constant is independent of the absolute value of the integrated absorbance ∫A. This is one of the advantages of the technique—measure a time constant for the change in absorption rather than the absolute change of absorption. A least-squares error fit of ∫ACO2 and ∫AN2O has been obtained using the Levenberg-Marquardt nonlinear curve fitting algorithm, and from the fit, the time constants CO2 and N2O of the experimental data have been evaluated as shown in Figure 3. Although the background fitting uncertainty of the absorption lines reduces the signal-to-noise ratio, the time constants CO2 and N2O are measurable. The normalised fit of the experimental ∫A data—one experimental run from each Knudsen number—is shown in Figure 4. As expected, increasing the Knudsen number increases the diffusion rate of CO2 and N2O gases to reach the steady state condition. Table 2 shows the summary of the measured Deff-N2O and Deff-CO2 values for the CO2-N2O gas mixture in the transition gas regime at a few Knudsen numbers Kn = 0.2, 0.3 and 0.6. As expected, the measured Deff-N2O and Deff-CO2 values increase with increasing Knudsen numbers. The standard uncertainty in the measured mean value of the diffusion coefficient for the CO2-N2O gas pair is less than ±3.6 %. The Deff values that cannot be deduced from the experimental data due to poor signal are marked with a symbol ♠ in that table. In those particular experimental runs, the integrated absorbance ∫A data has more fluctuations due to baseline fit uncertainty and possible etalon effect around the spectral lines, which causes a variation of more than 20% in the time constant values between CO2 and N2O. Thus, those experimental runs having a low signal-to-noise measurements are discarded from Table 2.

Figure 2.
(a) Non-absorption regions surrounding two absorption lines selected for the baseline fit interpolation. The rotational transitions are P39e for N2O and R31e and R30f for CO2. (b) CO2 and N2O absorbance spectrum. (c) Wavenumber interpolation using absorption line peaks. (d) Change in absorbance spectrum during diffusion process shown at different times t = 10 s, 100 s and 900 s.
Figure 3.
Experimental integrated absorbance ∫ACO2 and ∫AN2O and corresponding experimental data fit using the Levenberg-Marquardt non-linear least-squares curve fitting algorithm.
Figure 4.
Normalised integrated absorbance fit ∫ACO2 and ∫AN2O of CO2-N2O gas mixture diffusion at Kn = 0.2, 0.3 and 0.6 in the transition gas regime.
Table 2.
Measured effective diffusion coefficient Deff of CO2-N2O gas mixture in the transition gas regime using TB-TDLAS experimental methodology.
Concentration Independence of CO2-N2O
The ability of simultaneous measurement of Deff of multiple species opens up the possibility to determine whether the diffusion process is concentration dependent or independent in a multicomponent gas mixture. Since a multicomponent gas mixture diffusion exhibits a coupled influence of concentration between multiple species, various mole fractions () of multiple species may affect the diffusion coefficient value of a particular species. This is relevant in the continuum gas regime where the P-t-P collisions dominate in the diffusion coefficient measurement [55,56]. Whether the same effect is applicable or not in the transition gas regime at 0.1 < Kn ≤ 10, where P-t-W and P-t-P collision frequencies are comparable, can be checked upon with simultaneous Deff measurement as demonstrated in this paper. For a two-component gas mixture, the Deff value is concentration independent if both species Deff-1 and Deff-2 values are equal even if diffusion starts from different mole fraction ratios :. Any combination of initial mole fraction mixtures, for example, : = 0.7:0.3, could have been considered, although : = 1:0 is the most straightforward starting point to demonstrate in this work. The measured Deff-N2O and Deff-CO2 values are similar for each Knudsen number case (Kn = 0.2, 0.3 and 0.6 listed in Table 2). Hence, the Deff of the CO2-N2O gas mixture has been observed as independent of gas mixture concentration to within our measurement uncertainty for an initial molar mixture of : = 1:0. The observation seems valid since both CO2 and N2O have an equal molecular mass of 44.01 g/mol and kinetic diameter of 330 pm, hence, the gas mixture may act as an equivalent self-diffusion process provided both gas species do not have different wall surface collision behaviour. However, more Deff measurements are required for various initial mole fractions to conclusively demonstrate concentration independent diffusion of CO2-N2O in the transition gas regime.
4. DSMC Calculation for Diffusion Coefficient
A three-dimensional direct simulation Monte Carlo (DSMC) calculation for a circular cross-section representing the experimental fiber has been carried out to obtain the diffusion coefficient Deff of a CO2-N2O gas mixture in the transition gas regime and was compared against the experimental results. Due to computational cost, only the case Kn = 0.6 for the lowest pressure P = 1.89 kPa was considered. The interaction of gas species with wall surfaces during internal flow, and its implications for diffusion of a gas mixture in the transition gas regime, has been incorporated into the DSMC calculations through the tangential momentum accommodation coefficient (TMAC) parameter [57]. TMAC quantifies the exchange of tangential momentum between gas species and the wall surface [58], and it is adequate for addressing the impacts of gas-wall interactions in this study, since the gas mixture diffusion process under investigation is in thermal equilibrium with the wall surfaces. Particles incident on the wall surface are re-emitted primarily depending on the nature of the surface roughness and temperature, gas mixture temperature, and particle velocity [59]. TMAC = 1.0 means that a particle collision with a wall surface is a fully diffusive reflection where particles transfer all their tangential momentum to the wall surface [60]. In this case, the particle is emitted from the surface with a new velocity assigned from a Gaussian distribution consistent with the surface temperature, and there is no dependence on the incident particle velocity. Thus, the tangential momentum accommodation coefficient (TMAC) parameter has been varied between 0.8, 0.9, and 1.0 to determine what fraction of particle-wall surface collisions are diffusive in the transition gas regime for the HCPCF used in this study. The above TMAC values are chosen for the DSMC calculation for comparison with experimental results in this article since the inner wall surface of the HCPCF used for measurement is made of SiO2 (silicon dioxide or fused silica). The literature values of TMAC for CO2 and N2O gases with a silica surface at T = 300 K are approximately between 0.8 and 1.0 [58,61,62,63,64]. In addition, DSMC calculations for TMAC = 0.0 corresponding to fully specular reflection have been carried out for comparison.
The microscale analysis of consequences of motions and collisions of particles is used to calculate the macroscopic diffusion quantity Deff from the DSMC calculation. A typical DSMC implementation employs a number of representative or simulation particles to be statistically correct on average but does not follow exactly the motion of and collisions between physical molecules [62]. The function of the DSMC code is to generate random samples for movement (velocities and position of random particles) and determine collisions of simulation particles with each other and wall boundaries in a stochastic manner. More details about the DSMC method, algorithm and sample DSMC programs can be found in references [23,65]. References [15,23,66] outline why DSMC is preferred to observe the gas mixture diffusion process in the transition gas regime. The DSMC calculation in this article is obtained using the (https://sparta.github.io/, accessed on 16 November 2024) SPARTA (stochastic parallel rarefied-gas time-accurate analyser) simulator. SPARTA is an open-source DSMC code designed for parallel computers that runs efficiently on single-processor desktops, which is the reason it has been used for the simulations presented here. More information about the SPARTA code can be found in references [67,68,69] and in the SPARTA (https://sparta.github.io/doc/Manual.html, accessed on 16 November 2024) user manual.
4.1. DSMC Calculation Procedure
The procedure and guidelines with possible limitations and error sources in using the DSMC simulation provided in references [62,70,71] are followed in this article. Dynamic similarity between the experiment and DSMC calculations was achieved by having the same Knudsen number, by keeping the same characteristic dimension of the fiber in the experimental facility, and by taking the simulation temperature (T) and pressure (P) from the mean experimental values for the Kn = 0.6 case (c) mentioned in Table 2. The DSMC calculation for the experimental length of fiber L = 0.805 m is computationally expensive given the available computational resources, but because the process is self-similar it is not necessary to simulate the entire length of the fiber. Hence, the DSMC calculations presented in this article are for a fiber that is much shorter than the one used in the experiment but sufficiently long to allow calculation of the diffusion coefficient from the change in mole fraction as a function of time that can be directly compared to the measured values. A three-dimensional DSMC calculation using a circular cross-section fiber has been carried out representing the experimental diffusion for the simulation length L1 = 0.805 × 10 m which is three orders of magnitude shorter than the experimental length of the fiber, to reduce the computation cost. Preliminary calculations to implement the DSMC simulation are discussed, outlining (i) spatial discretisation of the collision cells or grid cells, (ii) time discretisation or time step, and (iii) number of simulation particles.
4.1.1. Collision Cell Sizes (x, y, and z)
The collision cell or grid cell sizes x, y, and z are chosen to be one-third of the local mean free path () of a gas species [70]. The grid cell sizes are chosen equal i.e., x = y = z due to equal probability of particle movement in any of the x, y, and z directions. In the simulation, x represents the gas diffusion direction along the length of the fiber, and the y and z are perpendicular directions to the length of the fiber. The number of grid cells in x-direction (Nx) is calculated as the ratio of the fiber length L1 to x. The number of grid cells in y (Ny) and z (Nz) directions is calculated as the ratio of the fiber diameter (df) to y and z, respectively. A three-dimensional grid mesh Nx × Ny × Nz is used to calculate the number of simulation particles per collision cell. SPARTA uses a grid mesh in Cartesian coordinates, which is followed in this work. A circular cross-section or cylindrical surface is embedded in the simulation box to replicate the experimental diffusion process inside the fiber and is shown in Figure 5a. A sample mesh in the yz plane at x = 0 and in the xz plane at y = 0 is shown in Figure 5b. A collision model determines the criteria for which collisions occur and alters the velocity of participating particles as well as their rotational and vibrational energies. Hence, the calculations for and the grid cell sizes x, y, and z are based on the variable soft sphere (VSS) collision model parameters recommended for the Monte Carlo simulation [72]. The VSS collision model is considered an appropriate model for molecular diffusion problems in gas mixture flows [73,74] since the deflection angle containing the exponent or angular-scattering parameter, which relates the scattering angle to the impact parameter, strongly influences the momentum or diffusion coefficient as discussed in reference [23]. The VSS model parameters for CO2 and N2O species are given in reference [23], and the molecular and cross-collisions parameters of the VSS model are implemented in the SPARTA DSMC code.
Figure 5.
(a) Cylindrical surface inside the Cartesian co-ordinates simulation box representing experimental diffusion process inside the fiber, and (b) A sample mesh in the yz plane at x = 0 and in the xz plane at y = 0.
4.1.2. Time Step (t)
The time step (t) is chosen to be one-third of the mean residence time (tres) for the diffusion problem. tres is the average time a particle takes to travel through a grid cell and is calculated using the equation
where is the mean speed of gas particles in a grid cell. is obtained from the thermodynamic equation
where R is the universal gas constant, M is the molecular mass of gas species, T is gas temperature. Often, the time step t is calculated for the lower molecular mass gas species Mi in a gas mixture, as this ensures the maximum and , and hence particles travel to one or within a grid collision cell in a single time step t to ensure particle collisions. If and calculations were based on the highest molecular mass of the species in the gas mixture, then the lower molecular mass particles will have traversed more than one grid cell or jumped through multiple cells without having been tested for collisions in that cell in a single time step t, leading to erroneous diffusion coefficients. Here, both CO2 and N2O have the same molecular mass so this issue does not exist.
4.1.3. Number of Simulation Particles (NSim)
Each simulation particle represents a large number of physical particles. This brings the computational processing requirements down to an acceptable level but introduces a statistical uncertainty in the calculation, particularly where the bulk speed of the gas is much lower than the speeds of individual particles. The ratio of the number of physical particles (Nphysical) to the number of simulation particles (Nsim) is called Fnum. For example, Fnum = 1000 means 1 simulation particle per 1000 physical particles. Decreasing the Fnum value increases the total number of simulation particles Nsim, and hence each grid collision cell would have more simulation particles to represent the physical particles. This will, in turn, decrease the statistical uncertainty in the calculation but it also increases the computational cost. The value of Nphysical is calculated from the ideal gas law
where P is the absolute pressure, V is the volume of the diffusion system, T is the absolute temperature, k is the Boltzmann constant. The physical reservoir gas cell volume in the experiment is much larger than the fiber volume, and replicating the same reservoir cell volume in the simulation is unnecessary since the diffusion process is mostly occurring inside the fiber and experimentally measured as discussed in Section 2 and in reference [41]. Thus, the DSMC calculation focuses on capturing the diffusion process inside the fiber but not in the reservoir gas cells. For this reason, the simulated reservoir cell size has been reduced to smaller sizes to reduce the computational cost without sacrificing the diffusion probability of particles entering the fiber. Different choices of reservoir cell sizes are tested with a rectangular reservoir cell size of 20 × df, 10 × df, and 2 × df, producing approximately the same result in terms of diffusion coefficient, however, the bigger reservoir cell increases the computational cost [15]. For the results presented in this article, the volume of the reservoir cell (VRC) is considered as a cylinder having a length and diameter equal to the fiber diameter df = 15 × 10−6 m. Similarly, the volume of the fiber (Vfib) is calculated using the fiber diameter df for simulation fiber length L1. The total simulation volume Vsim consists of Vfib, VRC1 for gas 1 and VRC2 for gas 2 and amounts to approximately 1.47 × 10−13 m3 for the DSMC simulation.
Gas 1 is filled inside the VRC1 + Vfib reservoir cell 1 and the fiber, and gas 2 is filled inside the VRC2 reservoir cell 2 for initiation of diffusion. The Nsim values of gas 1 and gas 2 species are generated based on the number density. A constant mass flux of gas species corresponding to pressure and temperature conditions in reservoir cells is sufficient to feed or diffuse into the fiber constantly. The boundary condition is provided such that gas 1 entering the reservoir cell 2 (RC2) boundary vanishes, and similarly gas 2 entering the reservoir cell 1 (RC1) boundary vanishes from the simulation. This is because the reservoir cells contain a large concentration of the species that they were initially filled with, and the relatively small numbers of diffusing particles of the other species entering the reservoir will make up a negligible fraction of the cell concentration and hence can be ignored in the simulation. Table 3 lists the values of x, y, z, t calculated for the simulation length L1, number density of physical particles (n = Nphysical/Vsim) for simulation volume Vsim, and Nsim calculated for Fnum = 1 × 104 of a CO2-N2O gas mixture at Kn = 0.6. The value of Fnum is kept as high as 1 × 104, that is 1 simulation particle per 10,000 real particles, such that there are approximately 5 simulation particles per collision cell to ensure sufficient binary collisions in the DSMC simulation. A sample of initial and final states of the DSMC simulation of CO2-N2O gas mixture diffusion for length L1 at Kn = 0.6 is shown in Figure 6a and Figure 6b respectively. The red spots represent the N2O particles while the green spots represent the CO2 particles.
Table 3.
Grid cell sizes, time step, and number of grid cells for simulation length L1, and number of simulation particles for Fnum = 1 × 104 of a CO2-N2O gas mixture at Kn = 0.6.
Figure 6.
(a) Initiation and (b) Steady state of DSMC simulation of CO2-N2O gas mixture diffusion for the simulation length L1 at Kn = 0.6.
4.1.4. Calculation of Diffusion Coefficient
During the simulation, the number of CO2 particles in each cell inside the fiber is counted, and adding all the particles in each cell within the fiber results in a total number of CO2 particles (NCO2) inside the fiber. A similar counting procedure is followed to obtain a total number of all gas particles inside the fiber. Time-averaged sampling data for every ten time steps t are obtained, and the species mole fraction is calculated based upon the numbers of each particle in each cell. The mole fraction of CO2 () in the fiber has been evaluated using the ratio of the total number of CO2 particles (NCO2) to the total number of particles of all species in the fiber. In a CO2-N2O diffusion, the mole fractions of CO2 and N2O are evaluated as
The change in the mole fraction of CO2 () as a function of time is used to obtain the diffusion time constant (CO2), as discussed in reference [41]. From the time constant CO2, the effective diffusion coefficient Deff has been calculated by comparing the exponential term of Equations (3) and (4) presented in reference [41]
where L = L1 is the simulation length of fiber.
5. DSMC Results and Discussion
The results of three-dimensional DSMC calculations of a CO2-N2O gas mixture at Kn = 0.6 for TMAC values of 0.0, 0.8, 0.9, and 1.0 are shown as cases (a), (b), (c), and (d) respectively in Table 4. A sample DSMC simulation run of a CO2-N2O gas mixture for TMAC = 1.0 showing change in mole fractions and with time is shown in Figure 7. The corresponding nonlinear least-squares error fit of the change in mole fraction has been obtained using the Levenberg-Marquardt algorithm as shown in Figure 8. Subsequently, the time constant CO2 of the DSMC simulation has been evaluated from the fit, and the diffusion coefficient Deff of the CO2-N2O gas mixture diffusion has been calculated. DSMC simulation at the highest value of TMAC = 1.0 accounting for the fully diffuse reflection of a particle with a wall surface predicts that the diffusion of CO2 and N2O particles is slowed down. Hence, the DSMC calculated Deff for the case of TMAC = 1.0 is lower by 7 % compared with TMAC of 0.8 and by 27 % compared with TMAC of 0.0 for fully specular wall reflection, as shown in Table 4. DSMC calculations for each TMAC condition have been carried out three times with different random number generators for a statistically-independent simulation in SPARTA DSMC code. Thus, results presented in Table 4 are the average Deff of three DSMC simulation runs. The range of Deff values produced by the different simulations are within ±0.2 cm2s−1.
Table 4.
DSMC calculated Deff of CO2-N2O gas mixture at Kn = 0.6 for the simulation length L1 and the Fnum = 104.
Figure 7.
Change in DSMC computed mole fractions of and with time of CO2-N2O gas mixture diffusion at Kn = 0.6 for TMAC = 1.0.
Figure 8.
Levenberg-Marquardt nonlinear least-squares error fit for the change in mole fraction with time of CO2-N2O gas mixture diffusion at Kn = 0.6 for TMAC = 1.0.
6. Comparison of Experimental Results with the Bosanquet Empirical Relation and DSMC Calculations
The comparison of the experimental diffusion coefficient Deff values against the Bosanquet empirical relation in the Knudsen number range 0.2 ≤ Kn ≤ 0.6, and against DSMC calculation at Kn = 0.6 is shown in Figure 9. The Bosanquet approximation predicts a higher Deff value than the experimental results in the Knudsen number range 0.2 ≤ Kn ≤ 0.6 and the DSMC calculations at Kn = 0.6 for TMAC = 0.8, 0.9, and 1.0. This observation shows that the Bosanquet approximation does not account for differences in gas-wall collision effects for different materials and associated loss of energy of particles due to inelastic collisions. It therefore predicts a systematically higher value than the experimental and DSMC calculations for CO2-N2O gas mixture over the measured Knudsen number range. With increasing Knudsen number or rarefaction in the experiment, both CO2 and N2O gases experience more P-t-W collisions. This decreases the diffusion rate since the inelastic energy conversion decreases particle energy. Hence, the discrepancy between the measured Deff values and those predicted by the Bosanquet approximation increases as Knudsen number increases, as evident in Figure 9. There have been no prior reports of this deviation in the literature. The comparison of the data shows that the diffusion of CO2 and N2O gases has been slowed down by approximately 32% due to inelastic collisions with the SiO2 wall surface of the HCPCF used in this study for the confined flow at Kn = 0.6. The observation may be different for different wall materials and may also depend on irregularities of the wall surface. Also, without further measurement of Deff in the transition gas regime at Kn > 0.6, we cannot be sure whether the Bosanquet relation predicts the limiting value of the measured Deff value accurately for the CO2-N2O gas mixture. Conversely, the DSMC calculation is based on the direct simulation of particle collisions and movement. It can therefore account for the amount of P-t-W and P-t-P collisions and include the effects of molecular mass and gas-wall collision behaviour. The results of the DSMC calculations show that the Deff values for TMAC = 0.8, 0.9, and 1.0 are closer to the measured Deff values at Kn = 0.6 as shown in Figure 9. Notably, the DSMC results at the highest value of TMAC = 1.0 match the mean value of the Deff measurement. On the other hand, the DSMC computed Deff for TMAC = 0.0 for fully specular wall reflection is closer to the value predicted by the Bosanquet equation and differs only by 5%. This suggests that TMAC provides a mechanism for modelling diffusive gas wall collision effects in the DSMC calculations while the analytical Bosanquet empirical relation does not include this feature.
Figure 9.
The measured, DSMC calculated and Bosanquet approximation predicted Deff values of CO2-N2O gas mixture at a few Knudsen numbers in the transition gas regime.
7. Conclusions and Future Work
This paper demonstrated the in-situ simultaneous measurement of effective diffusion coefficients Deff-CO2 and Deff-N2O of a CO2-N2O gas mixture in the transition gas regime using the advantage of the species-specific nature of the TDLAS technique. The summary of the measured Deff-N2O and Deff-CO2 values is listed in Table 2, and the standard uncertainty in the measured mean diffusion coefficient value is less than ±3.6 %. A three-dimensional calculation for a circular cross-section representing the experimental fiber has been implemented using the SPARTA DSMC code. The results of the DSMC calculations for an equimolar CO2-N2O gas mixture at Kn = 0.6 for TMAC values of 0.8, 0.9, and 1.0 match closely with the measured Deff values within our measurement uncertainty. This agreement gives confidence in the accuracy of the measurement, since the DSMC calculation is based on the direct simulation of particle collisions and movement, accounting for the effects of molecular masses and the gas-wall collision behaviour. Notably, the DSMC calculated Deff for TMAC = 1.0 provides the best match for the mean value of the measured Deff, indicating that the fused silica SiO2 surface produces a predominantly diffuse reflection. The Bosanquet empirical relation predicts a higher Deff than the measured Deff values in the transition gas regime 0.2 ≤ Kn ≤ 0.6 and the DSMC calculated Deff at Kn = 0.6. Interestingly, the DSMC computed Deff for TMAC = 0.0 for fully specular wall reflection is closer to the value predicted by the Bosanquet approximation at Kn = 0.6. This observation shows that the Bosanquet approximation does not account for the energy loss of gas particles and the decrease in diffusion rate due to inelastic gas-wall collisions for different materials, which leads to a systematically overestimated Deff value. There have been no prior reports of this discrepancy in the literature. However, further measurement of Deff in the transition gas regime at Kn > 0.6 is needed to determine whether the Bosanquet relation predicts the limiting value of the measured Deff accurately. Also, it has to be noted that the determination of species-specific diffusion coefficients of a CO2-N2O gas mixture in the current study is limited to the SiO2 wall surface of the HCPCF used.
The TB-TDLAS has proven to be a convenient and effective methodology for simultaneously measuring the effective diffusion coefficient Deff of multiple species in the transition gas regime, provided each species has absorption features. The TDLAS technique presents the opportunity to directly investigate the diffusion of each species in a multicomponent gas mixture. This is not the case before in techniques that monitor a single species in a gas mixture or not a direct in-situ measurement like mass spectrometry. In the future, simultaneous Deff measurement will be obtained at higher Knudsen numbers in the transition gas regime 0.1 < Kn ≤ 10 to measure the limiting Deff value for the CO2-N2O gas mixture. The signal-to-noise ratio of the absorption signal can be increased by using a long length fiber arrangement and selecting strong absorption lines of line strength of 1 × 10−21 cm.mol−1 using different laser wavelength, so that the uncertainty could be reduced. Sensitive methods such as wavelength modulation [75,76] and log-ratio detection [77,78] techniques can be used to detect weaker absorbances for cases where the selected line strengths are weaker. However, the TB-TDLAS methodology presented in this article for the Deff measurement is limited to gas species having absorption features within the HCPCFs transmission wavelength range. Suitable other IR absorbing species with significantly different molecular weights include H2O, NO2, NH3, CH4, C2H2 as listed in the (https://HITRAN.org/) HITRAN online database can be studied in the HCPCF wavelength range used in the current research (around 4705 cm−1 to 5089 cm−1 corresponding to a wavelength range of 1965 nm to 2125 nm). More broadband transmitting HCPCFs might help to widen the range of gases that can be investigated.
Author Contributions
Conceptualization, K.M. and S.O.; methodology, K.M. and S.O.; implementation, K.M.; data curation, K.M.; validation, K.M. and S.O.; formal analysis, K.M.; investigation, K.M. and S.O.; Discussions, K.M., H.K. and S.O.; resources, S.O.; supervision, S.O.; project administration, S.O.; writing—original draft preparation, K.M.; writing—review and editing, K.M., H.K. and S.O. All authors have read and agreed to the published version of the manuscript.
Funding
This research received no external funding.
Institutional Review Board Statement
Not applicable.
Informed Consent Statement
Not applicable.
Data Availability Statement
The data that support the findings of this study are available from the corresponding author upon reasonable request.
Acknowledgments
We want to acknowledge the support of TSG-UNSW Canberra and UNSW Australia.
Conflicts of Interest
The authors declare no conflicts of interest.
Abbreviations and List of Symbols
The following abbreviations and list of symbols are used in this manuscript:
| DSMC | Direct simulation Monte Carlo |
| HCPCF | Hollow-core photonic crystal fiber |
| Kn | Knudsen number |
| P-t-P | Particle-to-particle |
| P-t-W | Particle-to-wall |
| TMAC | Tangential momentum accommodation coefficient |
| TB | Two-bulb |
| TDLAS | Tunable diode laser absorption spectroscopy |
| Deff | Effective diffusion coefficient in the range |
| of Knudsen numbers > 0.01, [cm2s−1] | |
| P | Pressure, [Pa] |
| Mole fraction of gas species in a gas mixture, [no unit] | |
| Diffusion time constant, [s] | |
| ∫A | Integrated absorbance of an absorption line, [cm−1] |
References
- Hashemi, S.; Neuenschwander, M.; Hadikhani, P.; Modestino, M.; Psaltis, D. Membrane-less micro fuel cell based on two-phase flow. J. Power Sources 2017, 348, 212–218. [Google Scholar] [CrossRef]
- Jayashree, R.S.; Gancs, L.; Choban, E.R.; Primak, A.; Natarajan, D.; Markoski, L.J.; Kenis, P.J.A. Air-Breathing Laminar Flow-Based Microfluidic Fuel Cell. J. Am. Chem. Soc. 2005, 127, 16758–16759. [Google Scholar] [CrossRef] [PubMed]
- Liu, J.; Wang, P.; Zhao, N.; Xu, Z.; Huang, X. Enhanced scale-up performance on residence time distribution by integrated microcapillaries with high size uniformity. Chem. Eng. J. 2023, 468, 143843. [Google Scholar] [CrossRef]
- Pfeifer, P.; Bohn, L.; Görke, O.; Haas-Santo, K.; Schygulla, U.; Schubert, K. Microstructured Mixers for Gas-Phase Processes – Manufacture, Characterization and Applications. Chem. Eng. Technol. 2005, 28, 439–445. [Google Scholar] [CrossRef]
- Morais, S.; Lobo, C.; Padilha, C.; Souza, D.; Souza, J.; Araújo, J.; Ruiz, J. Removal of Carbon Dioxide from a Multicomponent Gas Mixture by Absorption Using a Y-Type Microreactor. Ind. Eng. Chem. Res. 2021, 60, 11590–11599. [Google Scholar] [CrossRef]
- Quiram, D.J.; Jensen, K.F.; Schmidt, M.A.; Mills, P.L.; Ryley, J.F.; Wetzel, M.D.; Kraus, D.J. Integrated Microreactor System for Gas-Phase Catalytic Reactions. 1. Scale-up Microreactor Design and Fabrication. Ind. Eng. Chem. Res. 2007, 46, 8292–8305. [Google Scholar] [CrossRef]
- Bao, Z.; Chang, G.; Xing, H.; Krishna, R.; Ren, Q.; Chen, B. Potential of microporous metal–organic frameworks for separation of hydrocarbon mixtures. Energy Environ. Sci. 2016, 9, 3612–3641. [Google Scholar] [CrossRef]
- Li, K.; Olson, D.H.; Seidel, J.; Emge, T.J.; Gong, H.; Zeng, H.; Li, J. Zeolitic Imidazolate Frameworks for Kinetic Separation of Propane and Propene. J. Am. Chem. Soc. 2009, 131, 10368–10369. [Google Scholar] [CrossRef]
- Marrero, T.R.; Mason, E.A. Gaseous Diffusion Coefficients. J. Phys. Chem. Ref. Data 1972, 1, 3–118. [Google Scholar] [CrossRef]
- Winkelmann, J. Diffusion in Gases, Liquids and Electrolytes: Gases in Gases, Liquids and their Mixtures. In Landolt-Bornstein, Group IV Physical Chemistry; Springer: Berlin/Heidelberg, Germany, 2007; Volume 15A. [Google Scholar] [CrossRef]
- Massman, W.J. A review of the molecular diffusivities of water vapour, carbon dioxide, methane, carbon monoxide, ozone, sulfur dioxide, ammonia, nitrous oxide, nitric oxide, and nitrogen dioxide in air, oxygen and nitrogen near STP. Atmos. Environ. 1998, 32, 1111–1127. [Google Scholar] [CrossRef]
- Karaiskakis, G.; Gavril, D. Determination of diffusion coefficients by gas chromatography. J. Chromatogr. A 2004, 1037, 147–189. [Google Scholar] [CrossRef] [PubMed]
- Mistler, T.; Correll, G.; Mingle, J. Gaseous diffusion in the transition pressure range. AIChE J. 1970, 16, 32–37. [Google Scholar] [CrossRef]
- Remick, R.R.; Geankoplis, C.J. Binary Diffusion of Gases in Capillaries in the Transition Region between Knudsen and Molecular Diffusion. Ind. Eng. Chem. Fundam. 1973, 12, 214–220. [Google Scholar] [CrossRef]
- Munusamy, K. Diode Laser Absorption Measurements of Gas Diffusion Coefficient in the Transition Gas Regime. Ph.D. Thesis, University of New South Wales-Canberra, Canberra, Australia, 2024. [Google Scholar]
- Duncan, J.B.; Toor, H.L. An experimental study of three component gas diffusion. AIChE J. 1962, 8, 38–41. [Google Scholar] [CrossRef]
- Remick, R.R.; Geankoplis, C.J. Ternary diffusion of gases in capillaries in the transition region between knudsen and molecular diffusion. Chem. Eng. Sci. 1974, 29, 1447–1455. [Google Scholar] [CrossRef]
- Fairbanks, D.F.; Wilke, C.R. Diffusion Coefficients in Multicomponent Gas Mixtures. Ind. Eng. Chem. 1950, 42, 471–475. [Google Scholar] [CrossRef]
- Telyakov, E.; Nizamov, I.; Tarenko, B.; Bikmurzin, A.; Osipova, L. Multicomponent diffusion in gas mixtures. Theor. Found. Chem. Eng. 2013, 47, 330–335. [Google Scholar] [CrossRef]
- Hirschfelder, J.; Curtiss, C.F.; Bird, R.B. Molecular Theory of Gases and Liquids; John Wiley & Sons., Inc.: New York, NY, USA, 1954. [Google Scholar]
- Curtiss, C.F.; Hirschfelder, J.O. Transport Properties of Multicomponent Gas Mixtures. J. Chem. Phys. 1949, 17, 550–555. [Google Scholar] [CrossRef]
- Taylor, R.; Krishna, R. Multicomponent Mass Transfer; John Wiley and Sons, Inc.: New York, NY, USA, 1993. [Google Scholar]
- Bird, G.A. Molecular Gas Dynamics and the Direct Simulation of Gas Flows; Oxford Engineering Science Series 42; Oxford University Press: Oxford, UK, 1995. [Google Scholar]
- Kerkhof, P.J.A.M.; Geboers, M.A.M. Toward a unified theory of isotropic molecular transport phenomena. AIChE J. 2005, 51, 79–121. [Google Scholar] [CrossRef]
- Butt, J.B.; Reed, E.M. Surface diffusion of single sorbates at low and intermediate surface coverage. J. Phys. Chem. 1971, 75, 133–141. [Google Scholar] [CrossRef]
- Levdansky, V.; Smolik, J.; Moravec, P. Effect of surface diffusion on transfer processes in heterogeneous systems. Int. J. Heat Mass Transf. 2008, 51, 2471–2481. [Google Scholar] [CrossRef]
- Hori, T.; Kamino, T.; Yoshimoto, Y.; Takagi, S.; Kinefuchi, I. Mutual influence of molecular diffusion in gas and surface phases. Phys. Rev. E 2018, 97, 013101. [Google Scholar] [CrossRef]
- Toor, H.L. Diffusion in three-component gas mixtures. AIChE J. 1957, 3, 198–207. [Google Scholar] [CrossRef]
- Krishna, R.; Standart, G.L. Mass and energy transfer in multicomponent systems. Chem. Eng. Commun. 1979, 3, 201–275. [Google Scholar] [CrossRef]
- Krishna, R. Diffusing uphill with James Clerk Maxwell and Josef Stefan. Chem. Eng. Sci. 2019, 195, 851–880. [Google Scholar] [CrossRef]
- Sharipov, F.; Benites, V.J. Transport coefficients of multicomponent mixtures of noble gases based on ab initio potentials: Diffusion coefficients and thermal diffusion factors. Phys. Fluids 2020, 32, 097110. [Google Scholar] [CrossRef]
- Toé, A.; Padoin, N.; Ropelato, K.; Soares, C. Study of Correlations for the Prediction of the Diffusion Coefficients in Multicomponent Mixture. In Blucher Chemical Engineering Proceedings; Blucher Proceedings: São Paulo, Brazil, 2014. [Google Scholar] [CrossRef]
- Loianno, V. On the measurement of the mutual diffusivity of binary gas mixtures with FTIR Spectroscopy. Chem. Eng. Sci. 2023, 270, 118546. [Google Scholar] [CrossRef]
- Loianno, V. A spectroscopic study of ternary gas diffusion. Chem. Eng. Sci. 2024, 298, 120427. [Google Scholar] [CrossRef]
- Khan, S.; Le Calvé, S.; Newport, D. A review of optical interferometry techniques for VOC detection. Sens. Actuators A Phys. 2020, 302, 111782. [Google Scholar] [CrossRef]
- Buttig, D.; Vogel, E.; Bich, E.; Hassel, E. A Loschmidt cell combined with holographic interferometry for binary diffusion experiments in gas mixtures including first measurements on the argon–neon system. Meas. Sci. Technol. 2011, 22, 105409. [Google Scholar] [CrossRef]
- Winn, E.B. The Temperature Dependence of the Self-Diffusion Coefficients of Argon, Neon, Nitrogen, Oxygen, Carbon Dioxide, and Methane. Phys. Rev. 1950, 80, 1024–1027. [Google Scholar] [CrossRef]
- Mueller, C.R.; Cahill, R.W. Mass Spectrometric Measurement of Diffusion Coefficients. J. Chem. Phys. 1964, 40, 651–654. [Google Scholar] [CrossRef]
- Cain, D.; Taylor, W.L. Diffusion coefficients of krypton–noble gas systems. J. Chem. Phys. 1979, 71, 3601–3607. [Google Scholar] [CrossRef]
- Taylor, W.L.; Hurly, J.J.; Meyer, B.A.; Dunlop, P.J. Binary diffusion coefficients of helium/hydrogen isotope mixtures. J. Chem. Phys. 1995, 103, 6959–6965. [Google Scholar] [CrossRef]
- Munusamy, K.; Kleine, H.; O’Byrne, S. Measurement of binary diffusion at elevated Knudsen numbers using laser absorption spectroscopy. Phys. Fluids 2024, 36, 027125. [Google Scholar] [CrossRef]
- Bosanquet, C. Wall effects in gas-temperature measurements. In British TA Report BR-507; Wiley: London, UK, 1944. [Google Scholar]
- Pollard, W.G.; Present, R.D. On Gaseous Self-Diffusion in Long Capillary Tubes. Phys. Rev. 1948, 73, 762–774. [Google Scholar] [CrossRef]
- Ding, H.; Li, X.; Cui, J.; Yang, L.; Dong, S. An all-fiber gas sensing system using hollow-core photonic bandgap fiber as gas cell. Instrum. Sci. Technol. 2011, 39, 78–87. [Google Scholar] [CrossRef]
- Hu, H.F.; Zhao, Y.; Zhang, Y.N.; Yang, Y. Characterization of infrared gas sensors employing hollow-core photonic crystal fibers. Instrum. Sci. Technol. 2016, 44, 495–503. [Google Scholar] [CrossRef]
- Koch, K.W.; Smith, C.M.; Venkataraman, N.; Gallagher, M.T.; Müller, D.; West, J.A.; Borrelli, N.F.; Allan, D.C. Low-loss hollow-core silica/air photonic bandgap fibre. Nature 2003, 424, 657–659. [Google Scholar] [CrossRef]
- Hoo, Y.; Jin, W.; Ho, H.; Ju, J.; Wang, D. Gas diffusion measurement using hollow-core photonic bandgap fiber. Sens. Actuators B Chem. 2005, 105, 183–186. [Google Scholar] [CrossRef]
- Gordon, I.; Rothman, L.; Hargreaves, R.; Hashemi, R.; Karlovets, E.; Skinner, F.; Conway, E.; Hill, C.; Kochanov, R.; Tan, Y.; et al. The HITRAN2020 molecular spectroscopic database. J. Quant. Spectrosc. Radiat. Transf. 2022, 277, 107949. [Google Scholar] [CrossRef]
- Quine, B.; Drummond, J. GENSPECT: A line-by-line code with selectable interpolation error tolerance. J. Quant. Spectrosc. Radiat. Transf. 2002, 74, 147–165. [Google Scholar] [CrossRef]
- Rothman, L.; Gordon, I.; Barbe, A.; Benner, D.; Bernath, P.; Birk, M.; Boudon, V.; Brown, L.; Campargue, A.; Champion, J.P.; et al. The HITRAN 2008 molecular spectroscopic database. J. Quant. Spectrosc. Radiat. Transf. 2009, 110, 533–572. [Google Scholar] [CrossRef]
- Casa, G.; Wehr, R.; Castrillo, A.; Fasci, E.; Gianfrani, L. The line shape problem in the near-infrared spectrum of self-colliding CO2 molecules: Experimental investigation and test of semiclassical models. J. Chem. Phys. 2009, 130, 184306. [Google Scholar] [CrossRef] [PubMed]
- Benner, D.C.; Devi, V.M.; Sung, K.; Brown, L.R.; Miller, C.E.; Payne, V.H.; Drouin, B.J.; Yu, S.; Crawford, T.J.; Mantz, A.W.; et al. Line parameters including temperature dependences of air-and self-broadened line shapes of 12C16O2: 2.06-µm region. J. Mol. Spectrosc. 2016, 326, 21–47. [Google Scholar] [CrossRef]
- Tashkun, S.; Perevalov, V.; Gamache, R.; Lamouroux, J. CDSD-296, high-resolution carbon dioxide spectroscopic databank: An update. J. Quant. Spectrosc. Radiat. Transf. 2019, 228, 124–131. [Google Scholar] [CrossRef]
- Sharipov, F.; Seleznev, V. Data on Internal Rarefied Gas Flows. J. Phys. Chem. Ref. Data 1998, 27, 657–706. [Google Scholar] [CrossRef]
- Wolff, L.; Zangi, P.; Brands, T.; Rausch, M.H.; Koß, H.J.; Fröba, A.P.; Bardow, A. Concentration-Dependent Diffusion Coefficients of Binary Gas Mixtures Using a Loschmidt Cell with Holographic Interferometry. Int. J. Thermophys. 2018, 39, 133. [Google Scholar] [CrossRef]
- Wolff, L.; Zangi, P.; Brands, T.; Rausch, M.; Koss, H.J.; Fröba, A.; Bardow, A. Concentration-Dependent Diffusion Coefficients of Binary Gas Mixtures Using a Loschmidt Cell with Holographic Interferometry: Part II: Single Experiment. Int. J. Thermophys. 2018, 39, 132. [Google Scholar] [CrossRef]
- Lee, J.; Kim, J.H. Statistical assessment of tangential momentum accommodation coefficient using internal flow rate model based on rarefied gas conditions. Results Phys. 2022, 43, 106130. [Google Scholar] [CrossRef]
- Arkilic, E.B.; Breuer, K.S.; Schmidt, M.A. Mass flow and tangential momentum accommodation in silicon micromachined channels. J. Fluid Mech. 2001, 437, 29–43. [Google Scholar] [CrossRef]
- Schaaf, S.; Talbot, L.; Patterson, G.N. Mechanics of Rarefied Gases. In Handbook of Supersonic Aerodynamics; U.S. Government Printing Office: Washington, DC, USA, 1959. [Google Scholar]
- Perrier, P.; Hadj-Nacer, M.; Meolans, J.G.; Graur, I. Measurements and modeling of the gas flow in a microchannel: Influence of aspect ratios, surface nature, and roughnesses. Microfluid. Nanofluidics 2019, 23, 97. [Google Scholar] [CrossRef]
- Porodnov, B.T.; Suetin, P.E.; Borisov, S.F.; Akinshin, V.D. Experimental investigation of rarefied gas flow in different channels. J. Fluid Mech. 1974, 64, 417–438. [Google Scholar] [CrossRef]
- Karniadakis, G.; Beskok, A.; Aluru, N. Microflows and Nanoflows: Fundamentals and Simulation; Springer: New York, NY, USA, 2000. [Google Scholar] [CrossRef]
- Ewart, T.; Perrier, P.; Graur, I.; Méolans, J.G. Tangential momemtum accommodation in microtube. Microfluid. Nanofluidics 2007, 3, 689–695. [Google Scholar] [CrossRef]
- Agrawal, A.; Prabhu, S.V. Survey on measurement of tangential momentum accommodation coefficient. J. Vac. Sci. Technol. A 2008, 26, 634–645. [Google Scholar] [CrossRef]
- Wagner, W. A convergence proof for Bird’s direct simulation Monte Carlo method for the Boltzmann equation. J. Stat. Phys. 1992, 66, 1011–1044. [Google Scholar] [CrossRef]
- Lim, C.Y.; Shu, C.; Niu, X.D.; Chew, Y.T. Application of lattice Boltzmann method to simulate microchannel flows. Phys. Fluids 2002, 14, 2299–2308. [Google Scholar] [CrossRef]
- Plimpton, S.J.; Moore, S.G.; Borner, A.; Stagg, A.K.; Koehler, T.P.; Torczynski, J.R.; Gallis, M.A. Direct simulation Monte Carlo on petaflop supercomputers and beyond. Phys. Fluids 2019, 31, 086101. [Google Scholar] [CrossRef]
- Klothakis, A.; Nikolos, I.; Koehler, T.; Gallis, M.; Plimpton, S. Validation simulations of the DSMC code SPARTA. AIP Conf. Proc. 2016, 1786, 050016. [Google Scholar]
- Moore, S.G.; Plimpton, S.J.; Gallis, M.A. Recent Improvements to the SPARTA DSMC Code; Sandia National Lab. (SNL-NM): Albuquerque, NM, USA, 2021. [Google Scholar]
- Bird, G.A. The DSMC Method, 1.2 ed.; CreateSpace: Scotts Valley, CA, USA, 2013. [Google Scholar]
- Oran, E.; Oh, C.; Cybyk, B. Direct simulation Monte Carlo: Recent Advances and Applications. Annu. Rev. Fluid Mech. 1998, 30, 403–441. [Google Scholar] [CrossRef]
- Koura, K.; Matsumoto, H. Variable soft sphere molecular model for air species. Phys. Fluids A Fluid Dyn. 1992, 4, 1083–1085. [Google Scholar] [CrossRef]
- Koura, K.; Matsumoto, H. Variable soft sphere molecular model for inverse-power-law or Lennard-Jones potential. Phys. Fluids A Fluid Dyn. 1991, 3, 2459–2465. [Google Scholar] [CrossRef]
- Dreyer, J.A.; Riefler, N.; Pesch, G.R.; Karamehmedovic, M.; Fritsching, U.; Teoh, W.Y.; Mädler, L. Simulation of gas diffusion in highly porous nanostructures by direct simulation Monte Carlo. Chem. Eng. Sci. 2014, 105, 69–76. [Google Scholar] [CrossRef]
- Rieker, G.B.; Jeffries, J.B.; Hanson, R.K. Calibration-free wavelength-modulation spectroscopy for measurements of gas temperature and concentration in harsh environments. Appl. Opt. 2009, 48, 5546–5560. [Google Scholar] [CrossRef]
- Reid, J.; Shewchun, J.; Garside, B.K.; Ballik, E.A. High sensitivity pollution detection employing tunable diode lasers. Appl. Opt. 1978, 17, 300–307. [Google Scholar] [CrossRef]
- Krishna, Y.; O’Byrne, S.; Kurtz, J. Baseline correction for stray light in log-ratio diode laser absorption measurements. Appl. Opt. 2014, 53, 4128–4135. [Google Scholar] [CrossRef]
- Allen, M.G.; Kessler, W.J. Simultaneous water vapor concentration and temperature measurements using 1.31-micron diode lasers. AIAA J. 1996, 34, 483–488. [Google Scholar] [CrossRef]
Disclaimer/Publisher’s Note: The statements, opinions and data contained in all publications are solely those of the individual author(s) and contributor(s) and not of MDPI and/or the editor(s). MDPI and/or the editor(s) disclaim responsibility for any injury to people or property resulting from any ideas, methods, instructions or products referred to in the content. |
© 2024 by the authors. Licensee MDPI, Basel, Switzerland. This article is an open access article distributed under the terms and conditions of the Creative Commons Attribution (CC BY) license (https://creativecommons.org/licenses/by/4.0/).









