Establishment of Intestinal Organoids from Common Marmosets
Abstract
1. Introduction
2. Materials and Methods
2.1. Animals
2.2. Organoid Culture Media
2.3. Crypt Isolation and Organoid Culture
2.4. Quantitative Reverse Transcription Polymerase Chain Reaction (RT-qPCR)
2.5. Immunostaining of Organoids and Tissues
3. Results
3.1. Common Marmoset Cecal and Colonic Organoids Were Successfully Cultured Using a Budding Structure
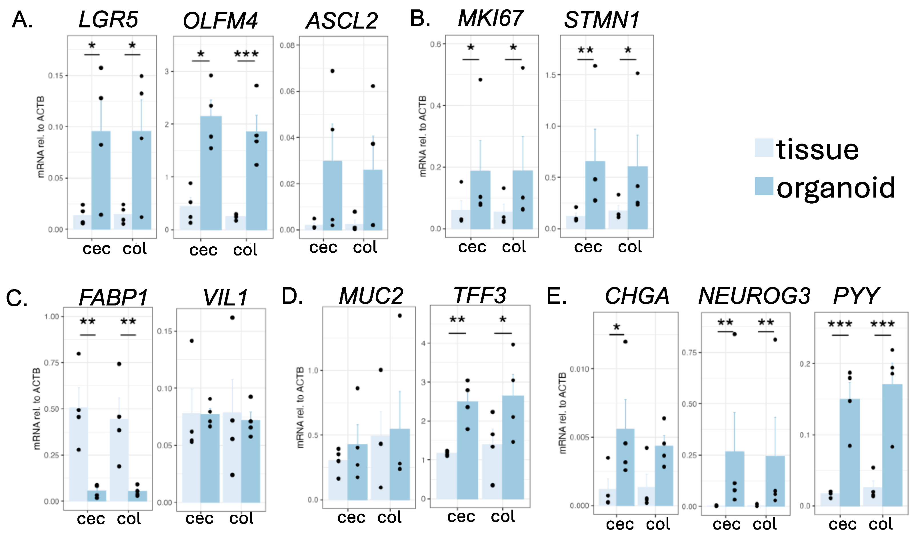
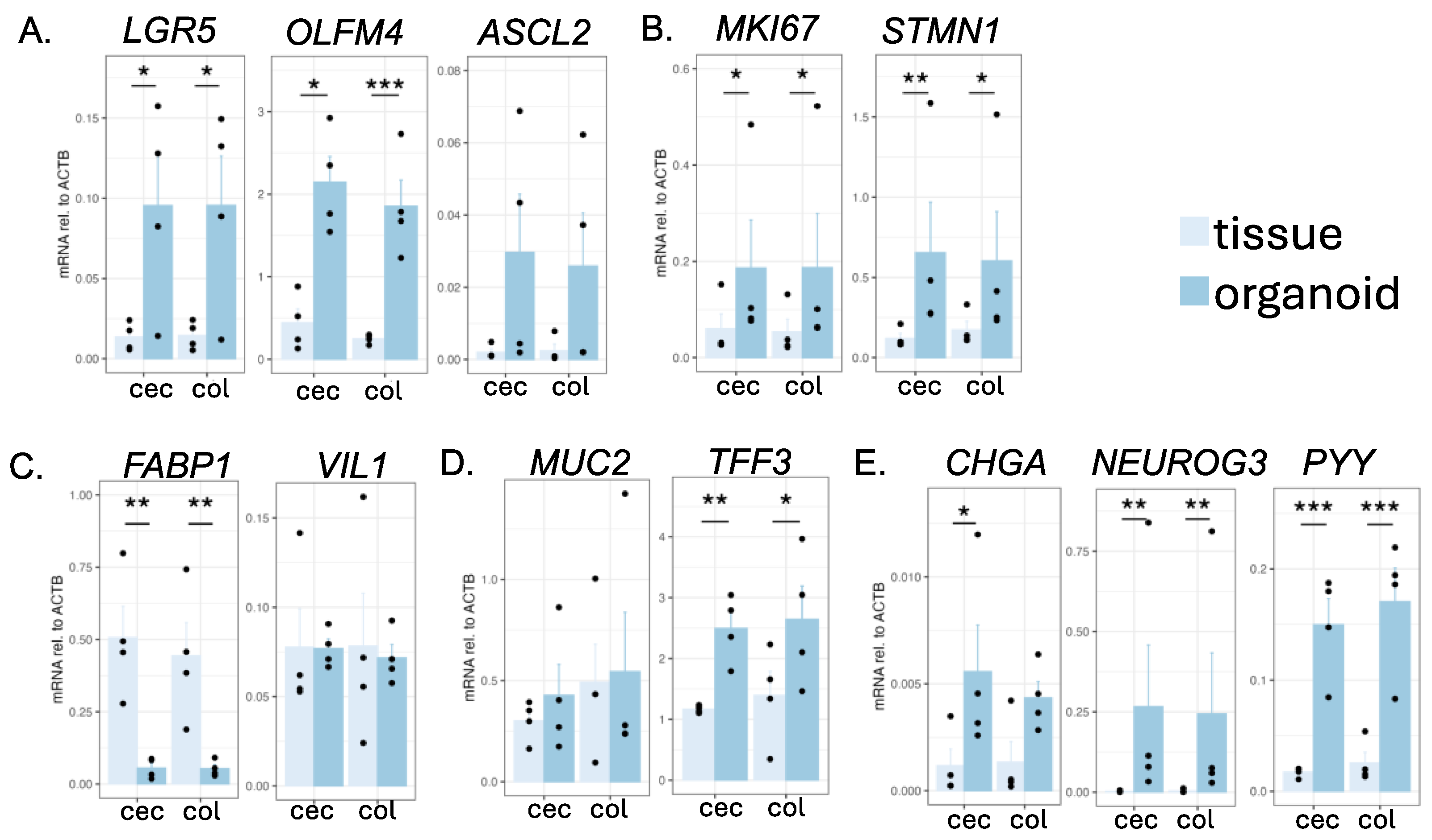
3.2. Basic Characterization of Cecal Organoids by RT-qPCR
3.3. Immunofluorescence of Cecal Organoids
4. Discussion
5. Conclusions
Supplementary Materials
Author Contributions
Funding
Institutional Review Board Statement
Informed Consent Statement
Data Availability Statement
Acknowledgments
Conflicts of Interest
References
- Flier, L.G.v.d.; Clevers, H. Stem cells, self-renewal, and differentiation in the intestinal epithelium. Annu. Rev. Physiol. 2009, 71, 241–260. [Google Scholar] [CrossRef] [PubMed]
- Sato, T.; Stange, D.E.; Ferrante, M.; Vries, R.G.J.; Es, J.H.V.; Brink, S.V.d.; Houdt, W.J.V.; Pronk, A.; Gorp, J.V.; Siersema, P.D.; et al. Long-term expansion of epithelial organoids from human colon, adenoma, adenocarcinoma, and Barrett’s epithelium. Gastroenterology 2011, 141, 1762–1772. [Google Scholar] [CrossRef] [PubMed]
- Fujii, M.; Matano, M.; Toshimitsu, K.; Takano, A.; Mikami, Y.; Nishikori, S.; Sugimoto, S.; Sato, T. Human Intestinal Organoids Maintain Self-Renewal Capacity and Cellular Diversity in Niche-Inspired Culture Condition. Cell Stem Cell 2018, 23, 787–793.e6. [Google Scholar] [CrossRef] [PubMed]
- Takahashi, Y.; Noguchi, M.; Inoue, Y.; Sato, S.; Shimizu, M.; Kojima, H.; Okabe, T.; Kiyono, H.; Yamauchi, Y.; Sato, R. Organoid-derived intestinal epithelial cells are a suitable model for preclinical toxicology and pharmacokinetic studies. iScience 2022, 25, 104542. [Google Scholar] [CrossRef]
- Yamashita, T.; Inui, T.; Yokota, J.; Kawakami, K.; Morinaga, G.; Takatani, M.; Hirayama, D.; Nomoto, R.; Ito, K.; Cui, Y.; et al. Monolayer platform using human biopsy-derived duodenal organoids for pharmaceutical research. Mol. Therapy. Methods Clin. Dev. 2021, 22, 263–278. [Google Scholar] [CrossRef]
- Fujii, M.; Matano, M.; Nanki, K.; Sato, T. Efficient genetic engineering of human intestinal organoids using electroporation. Nat. Protoc. 2015, 10, 1474–1485. [Google Scholar] [CrossRef]
- Puschhof, J.; Pleguezuelos-Manzano, C.; Martinez-Silgado, A.; Akkerman, N.; Saftien, A.; Boot, C.; Waal, A.d.; Beumer, J.; Dutta, D.; Heo, I.; et al. Intestinal organoid cocultures with microbes. Nat. Protoc. 2021, 16, 4633–4649. [Google Scholar] [CrossRef]
- Inaba, A.; Kumaki, S.; Arinaga, A.; Tanaka, K.; Aihara, E.; Yamane, T.; Oishi, Y.; Imai, H.; Iwatsuki, K. Generation of intestinal chemosensory cells from nonhuman primate organoids. Biochem. Biophys. Res. Commun. 2021, 536, 20–25. [Google Scholar] [CrossRef]
- Li, H.; Wang, Y.; Zhang, M.; Wang, H.; Cui, A.; Zhao, J.; Ji, W.; Chen, Y.-G. Establishment of porcine and monkey colonic organoids for drug toxicity study. Cell Regen. 2021, 10, 32. [Google Scholar] [CrossRef]
- Chandra, L.; Borcherding, D.C.; Kingsbury, D.; Atherly, T.; Ambrosini, Y.M.; Bourgois-Mochel, A.; Yuan, W.; Kimber, M.; Qi, Y.; Wang, Q.; et al. Derivation of adult canine intestinal organoids for translational research in gastroenterology. BMC Biol. 2019, 17, 33. [Google Scholar] [CrossRef]
- Powell, R.H.; Behnke, M.S. WRN conditioned media is sufficient for in vitro propagation of intestinal organoids from large farm and small companion animals. Biol. Open 2017, 6, 698–705. [Google Scholar] [CrossRef] [PubMed]
- Zhou, J.; Li, C.; Liu, X.; Chiu, M.C.; Zhao, X.; Wang, D.; Wei, Y.; Lee, A.; Zhang, A.J.; Chu, H.; et al. Infection of bat and human intestinal organoids by SARS-CoV-2. Nat. Med. 2020, 26, 1077–1083. [Google Scholar] [CrossRef] [PubMed]
- Mussard, E.; Pouzet, C.; Helies, V.; Pascal, G.; Fourre, S.; Cherbuy, C.; Rubio, A.; Vergnolle, N.; Combes, S.; Beaumont, M. Culture of rabbit caecum organoids by reconstituting the intestinal stem cell niche in vitro with pharmacological inhibitors or L-WRN conditioned medium. Stem Cell Res. 2020, 48, 101980. [Google Scholar] [CrossRef] [PubMed]
- Zühlke, U.; Weinbauer, G. The common marmoset (Callithrix jacchus) as a model in toxicology. Toxicol. Pathol. 2003, 31 (Suppl. S1), 123–127. [Google Scholar] [CrossRef]
- Inoue, T.; Yurimoto, T.; Seki, F.; Sato, K.; Sasaki, E. The common marmoset in biomedical research: Experimental disease models and veterinary management. Exp. Anim. 2023, 72, 140–150. [Google Scholar] [CrossRef]
- Reveles, K.; Patel, S.; Forney, L.; Ross, C. Age-related changes in the marmoset gut microbiome. Am. J. Primatol. 2019, 81, e22960. [Google Scholar] [CrossRef]
- Uehara, M.; Inoue, T.; Hase, S.; Sasaki, E.; Toyoda, A.; Sakakibara, Y. Decoding host-microbiome interactions through co-expression network analysis within the non-human primate intestine. mSystems 2024, 9, e01405–e01423. [Google Scholar] [CrossRef]
- Tang-Wing, C.; Mohanty, I.; Bryant, M.; Makowski, K.; Melendez, D.; Dorrestein, P.C.; Knight, R.; Caraballo-Rodríguez, A.M.; Jenné, C.A. Impact of diet change on the gut microbiome of common marmosets (Callithrix jacchus). mSystems 2024, 9, e00108-24. [Google Scholar] [CrossRef]
- Niimi, K.; Takahashi, E. Reduced differentiation of intestinal epithelial cells in wasting marmoset syndrome. J. Vet. Med. Sci. 2021, 83, 784–792. [Google Scholar] [CrossRef]
- Mineshige, T.; Inoue, T.; Yasuda, M.; Yurimoto, T.; Kawai, K.; Sasaki, E. Novel gastrointestinal disease in common marmosets characterised by duodenal dilation: A clinical and pathological study. Sci. Rep. 2020, 10, 3793. [Google Scholar] [CrossRef]
- Sheh, A.; Artim, S.C.; Burns, M.A.; Molina-Mora, J.A.; Lee, M.A.; Dzink-Fox, J.; Muthupalani, S.; Fox, J.G. Alterations in common marmoset gut microbiome associated with duodenal strictures. Sci. Rep. 2022, 12, 5277. [Google Scholar] [CrossRef] [PubMed]
- Ferrari, S.F.; Martins, E.S. Gummivory and gut morphology in two sympatric callitrichids (Callithrix emiliae and Saguinus fuscicollis weddelli) from western Brazilian Amazonia. Am. J. Phys. Anthropol. 1992, 88, 97–103. [Google Scholar] [CrossRef] [PubMed]
- Broutier, L.; Andersson-Rolf, A.; Hindley, C.J.; Boj, S.F.; Clevers, H.; Koo, B.-K.; Huch, M. Culture and establishment of self-renewing human and mouse adult liver and pancreas 3D organoids and their genetic manipulation. Nat. Protoc. 2016, 11, 1724–1743. [Google Scholar] [CrossRef] [PubMed]
- Bell, S.M.; Schreiner, C.M.; Wert, S.E.; Mucenski, M.L.; Scott, W.J.; Whitsett, J.A. R-spondin 2 is required for normal laryngeal-tracheal, lung and limb morphogenesis. Development 2008, 135, 1049–1058. [Google Scholar] [CrossRef]
- Inaba, A.; Arinaga, A.; Tanaka, K.; Endo, T.; Hayatsu, N.; Okazaki, Y.; Yamane, T.; Oishi, Y.; Imai, H.; Iwatsuki, K. Interleukin-4 Promotes Tuft Cell Differentiation and Acetylcholine Production in Intestinal Organoids of Non-Human Primate. Int. J. Mol. Sci. 2021, 22, 7921. [Google Scholar] [CrossRef]
- Rieu, I.; Powers, S.J. Real-Time Quantitative RT-PCR: Design, Calculations, and Statistics. Plant Cell 2025, 21, 1031. [Google Scholar] [CrossRef]
- Rubert, J.; Schweiger, P.; Mattivi, F.; Tuohy, K.; Jensen, K.; Lunardi, A. Intestinal Organoids: A Tool for Modelling Diet-Microbiome-Host Interactions. Trends Endocrinol. Metab. TEM 2020, 31, 848–858. [Google Scholar] [CrossRef]
- Guimarães-Lopes, V.d.P.; Gomes, M.R.V.S.; Kagueyama, M.; Faria, R.d.C.V.; Ribeiro Filho, O.P.; Melo, F.R.d.; Sartori, S.S.R. Histometric parameters of the large intestine of hybrid marmosets Callithrix sp. under the influence of seasonality. Anat. Histol. Embryol. 2021, 50, 888–896. [Google Scholar] [CrossRef]
- Power, M.L. Nutritional and Digestive Challenges to Being a Gum-Feeding Primate. In The Evolution of Exudativory in Primates; Burrows, A.M., Nash, L.T., Eds.; Springer: Berlin/Heidelberg, Germany, 2010. [Google Scholar]



Disclaimer/Publisher’s Note: The statements, opinions and data contained in all publications are solely those of the individual author(s) and contributor(s) and not of MDPI and/or the editor(s). MDPI and/or the editor(s) disclaim responsibility for any injury to people or property resulting from any ideas, methods, instructions or products referred to in the content. |
© 2025 by the authors. Licensee MDPI, Basel, Switzerland. This article is an open access article distributed under the terms and conditions of the Creative Commons Attribution (CC BY) license (https://creativecommons.org/licenses/by/4.0/).
Share and Cite
Ishimura, A.; Iwatsuki, K.; Imai, H. Establishment of Intestinal Organoids from Common Marmosets. Organoids 2025, 4, 3. https://doi.org/10.3390/organoids4010003
Ishimura A, Iwatsuki K, Imai H. Establishment of Intestinal Organoids from Common Marmosets. Organoids. 2025; 4(1):3. https://doi.org/10.3390/organoids4010003
Chicago/Turabian StyleIshimura, Arisa, Ken Iwatsuki, and Hiroo Imai. 2025. "Establishment of Intestinal Organoids from Common Marmosets" Organoids 4, no. 1: 3. https://doi.org/10.3390/organoids4010003
APA StyleIshimura, A., Iwatsuki, K., & Imai, H. (2025). Establishment of Intestinal Organoids from Common Marmosets. Organoids, 4(1), 3. https://doi.org/10.3390/organoids4010003

