Biochar and Deactivated Yeast as Seed Coatings for Restoration: Performance on Alternative Substrates
Abstract
1. Introduction
2. Materials and Methods
2.1. Species Selection
2.2. Growth Media
2.3. Biochar and Deactivated Yeast Properties
2.4. Experimental Design and Implementation
2.5. Statistical Analysis
3. Results
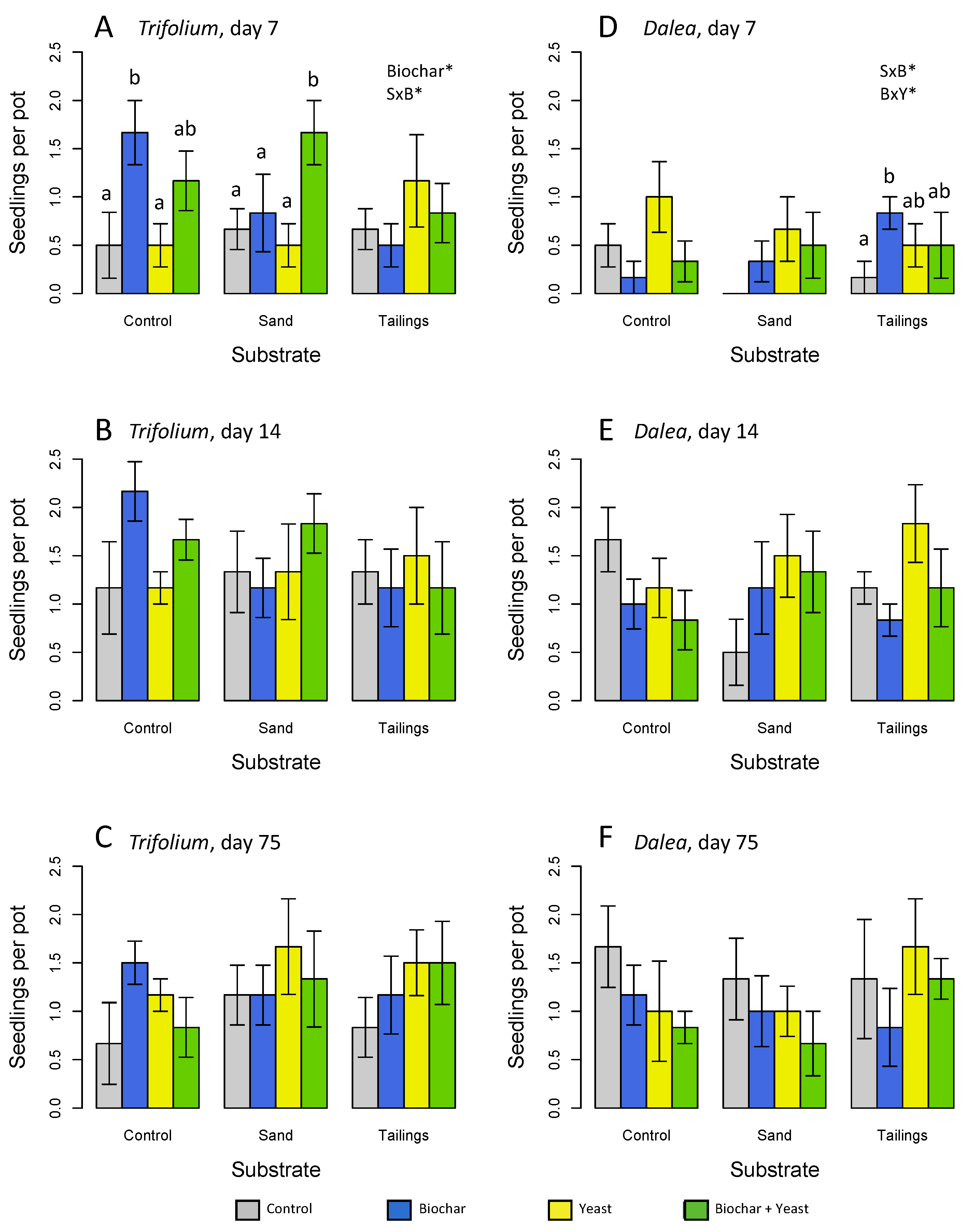
3.1. Germination and Early Seedling Establishment
3.2. Seedling Biomass
3.3. Seedling Leaf Development and Morphometrics
4. Discussion
5. Conclusions
Supplementary Materials
Author Contributions
Funding
Institutional Review Board Statement
Informed Consent Statement
Data Availability Statement
Acknowledgments
Conflicts of Interest
References
- Werner, T.T.; Mudd, G.M.; Schipper, A.M.; Huijbregts, M.A.; Taneja, L.; Northey, S.A. Global-scale remote sensing of mine areas and analysis of factors explaining their extent. Glob. Environ. Chang. 2020, 60, 102007. [Google Scholar] [CrossRef]
- Liang, T.; Werner, T.T.; Heping, X.; Jingsong, Y.; Zeming, S. A global-scale spatial assessment and geodatabase of mine areas. Global Planet. Chang. 2021, 204, 103578. [Google Scholar] [CrossRef]
- Mendez, M.O.; Maier, R.M. Phytostabilization of Mine Tailings in Arid and Semiarid Environments—An Emerging Remediation Technology. Environ. Health Perspect. 2007, 116, 278–383. [Google Scholar] [CrossRef]
- Karaca, O.; Cameselle, C.; Reddy, K.R. Mine tailing disposal sites: Contamination problems, remedial options and phytocaps for sustainable remediation. Rev. Environ. Sci. Biotechnol. 2018, 17, 205–228. [Google Scholar] [CrossRef]
- Lehmann, J.; Joseph, S. Biochar for Environmental Management: An Introduction. In Biochar for Environmental Management, 2nd ed.; Lehmann, J., Joseph, S., Eds.; Routledge: Abingdon, UK, 2015; pp. 1–14. [Google Scholar]
- Biederman, L.A.; Harpole, W.S. Biochar and its effects on plant productivity and nutrient cycling: A meta-analysis. GCB Bioenergy 2013, 5, 202–214. [Google Scholar] [CrossRef]
- Liu, X.; Zhang, A.; Ji, C.; Joseph, S.; Bian, R.; Li, L.; Pan, G.; Paz-Ferreiro, J. Biochar’s effect on crop productivity and the dependence on experimental conditions—A meta-analysis of literature data. Plant Soil 2013, 373, 583–594. [Google Scholar] [CrossRef]
- Beesley, L.; Moreno-Jimenez, E.; Gomez-Eyles, J.L.; Harris, E.; Robinson, B.; Sizmur, T. A review of biochars’ potential role in the remediation, revegetation and restoration of contaminated soils. Environ. Pollut. 2011, 159, 3269–3282. [Google Scholar] [CrossRef] [PubMed]
- Thomas, S.C.; Gale, N. Biochar and forest restoration: A review and meta-analysis of tree growth responses. New For. 2015, 46, 931–946. [Google Scholar] [CrossRef]
- Rodriguez-Franco, C.; Page-Dumroese, D.S. Woody biochar potential for abandoned mine land restoration in the US: A review. Biochar 2021, 3, 7–22. [Google Scholar] [CrossRef]
- Fellet, G.; Marchiol, L.; Delle Vedove, G.; Peressotti, A. Application of biochar on mine tailings: Effects and perspectives for land reclamation. Chemosphere 2011, 83, 1262–1267. [Google Scholar] [CrossRef]
- Ippolito, J.A.; Cui, L.; Kammann, C.; Wrage-Monnig, N.; Estavillo, J.M.; Fuertes-Mendizabal, T.; Cayuela, M.L.; Sigua, G.; Novak, J.; Spokas, K.; et al. Feedstock choice, pyrolysis temperature and type influence biochar characteristics: A comprehensive meta-data analysis review. Biochar 2020, 2, 421–438. [Google Scholar] [CrossRef]
- Tomczyk, A.; Sokolowska, Z.; Boguta, P. Biochar physicochemical properties: Pyrolysis temperature and feedstock kind effects. Rev. Environ. Sci. Biotechnol. 2020, 19, 191–215. [Google Scholar] [CrossRef]
- Clough, T.J.; Condron, L.M.; Kamman, C.; Muller, C. A Review of Biochar and Soil Nitrogen Dynamics. Agronomy 2013, 3, 275–293. [Google Scholar] [CrossRef]
- Gale, N.V.; Halim, M.A.; Horsburgh, M.; Thomas, S.C. Comparative responses of early-successional plants to charcoal soil amendments. Ecosphere 2017, 8, e01933. [Google Scholar] [CrossRef]
- Shi, W.; Ju, Y.; Bian, R.; Li, L.; Joseph, S.; Mitchell, D.R.; Munroe, P.; Taherymoosavi, S.; Pan, G. Biochar bound urea boosts plant growth and reduces nitrogen leaching. Sci. Total Environ. 2020, 701, 134424. [Google Scholar] [CrossRef]
- Agegnehu, G.; Srivastava, A.K.; Bird, M.I. The role of biochar and biochar-compost in improving soil quality and crop performance: A review. Appl. Soil Ecol. 2017, 119, 156–170. [Google Scholar] [CrossRef]
- Inal, A.; Gunes, A.Y.D.I.N.; Sahin, O.Z.G.E.; Taskin, M.B.; Kaya, E.C. Impacts of biochar and processed poultry manure, applied to a calcareous soil, on the growth of bean and maize. Soil Use Manag. 2015, 31, 106–113. [Google Scholar] [CrossRef]
- Vargas, M.F.; Mestre, M.V.; Vergara, C.; Maturano, P.; Petrignani, D.; Pesce, V.; Vasquez, F. Residual brewer’s Saccharomyces cerevisiae yeasts as biofertilizers in horticultural seedlings: Towards a sustainable industry and agriculture. Front. Ind. Microbiol. 2024, 2, 1360263. [Google Scholar] [CrossRef]
- Puligundla, P.; Mok, C.; Park, S. Advances in the valorization of spent brewer’s yeast. Innov. Food Sci. Emerg. Technol. 2020, 62, 102350. [Google Scholar] [CrossRef]
- Sifton, M.A.; Smith, S.M.; Thomas, S.C. Biochar-biofertilizer combinations enhance growth and nutrient uptake in silver maple grown in an urban soil. PLoS ONE 2023, 18, e0288291. [Google Scholar] [CrossRef]
- Williams, M.I.; Dumroese, R.K.; Page-Dumroese, D.S.; Hardegree, S.P. Can biochar be used as a seed coating to improve native plant germination and growth in arid conditions? J. Arid Environ. 2016, 125, 8–15. [Google Scholar] [CrossRef]
- Law, Y.K.; Lee, C.K.; Pang, C.C.; Hau, B.C.H.; Wu, J. Vegetation regeneration on natural terrain landslides in Hong Kong: Direct seeding of native species as a restoration tool. Land Degrad. Dev. 2023, 34, 751–762. [Google Scholar] [CrossRef]
- Zhang, K.; Khan, Z.; Yu, Q.; Qu, Z.; Liu, J.; Luo, T.; Zhu, K.; Bi, J.; Hu, L.; Luo, L. Biochar Coating Is a Sustainable and Economical Approach to Promote Seed Coating Technology, Seed Germination, Plant Performance, and Soil Health. Plants 2022, 11, 2864. [Google Scholar] [CrossRef]
- Zhang, K.; Han, X.; Fu, Y.; Zhou, Y.; Khan, Z.; Bi, J.; Hu, L.; Luo, L. Biochar Coating as a Cost-Effective Delivery Approach to Promoting Seed Quality, Rice Germination, and Seedling Establishment. Plants 2023, 12, 3896. [Google Scholar] [CrossRef]
- Kelly, C.N.; Peltz, C.D.; Stanton, M.; Rutherford, D.W.; Rostad, C.E. Biochar application to hardrock mine tailings: Soil quality, microbial activity, and toxic element sorption. Appl. Geochem. 2014, 43, 35–48. [Google Scholar] [CrossRef]
- Pedrini, S.; Merritt, D.J.; Stevens, J.; Dixon, K. Seed coating: Science or marketing spin? Trends Plant Sci. 2017, 22, 106–116. [Google Scholar] [CrossRef]
- Pedrini, S.; Balestrazzi, A.; Madsen, M.D.; Bhalsing, K.; Hardegree, S.P.; Dixon, K.W.; Kildisheva, O.A. Seed enhancement: Getting seeds restoration-ready. Restor. Ecol. 2020, 28, 266–275. [Google Scholar] [CrossRef]
- Thomas, S.C.; Liu, Y.; Tang, E. Polyvinyl acetate binders undermine the effectiveness of biochar-based seed coatings. Land 2024, 13, 941. [Google Scholar] [CrossRef]
- Abdel-Razik, S.A.; Sallam, N.M.; Eraky, A.M.; Hassan, M.H.A. Integrated control of root rot and wilt disease of faba bean by soil amendment with suppressive compost in combination with seed coating with an antagonistic yeast. Arch. Phytopathol. Pflanzenchutz 2012, 45, 1692–1704. [Google Scholar] [CrossRef]
- Muhammed, A.A.; Thomas, K.; Bin-Hamed, U. Feasibility of using brewers spent grain as a fertilizer in agriculture. Int. J. Technol. 2015, 10, 23–31. [Google Scholar] [CrossRef]
- Lonhienne, T.; Mason, M.G.; Ragan, M.A.; Hugenholtz, P.; Schmidt, S.; Paungfoo-Lonhienne, C. Yeast as a Biofertilizer Alters Plant Growth and Morphology. Crop Sci. 2014, 54, 785–790. [Google Scholar] [CrossRef]
- Wang, J.; Chen, C. Biosorption of heavy metals by Saccharomyces cerevisiae: A review. Biotechnol. Adv. 2006, 24, 427–451. [Google Scholar] [CrossRef] [PubMed]
- Brady, D.; Duncan, J.R. Bioaccumulation of metal cations by Saccharomyces cerevisiae. Appl. Microbiol. Biotechnol. 1994, 41, 149–154. [Google Scholar] [CrossRef]
- Fashola, M.O.; Ngole-Jeme, V.M.; Babalola, O.O. Heavy Metal Pollution from Gold Mines: Environmental Effects and Bacterial Strategies for Resistance. Int. J. Environ. Res. Public Health 2016, 13, 1047. [Google Scholar] [CrossRef]
- Farhangi-Abriz, S.; Ghassemi-Golezani, K.; Torabian, S.; Qin, R. A meta-analysis to estimate the potential of biochar in improving nitrogen fixation and plant biomass of legumes. Biomass Convers. Biorefinery 2024, 14, 3293–3303. [Google Scholar] [CrossRef]
- Zheng, W.; Wang, Y.; Mo, J.; Zeng, P.; Chen, J.; Sun, C. Effects of biochar application and nutrient fluctuation on the growth, and cadmium and nutrient uptake of Trifolium repens with different planting densities in Cd-contaminated soils. Front. Plant Sci. 2023, 14, 1269082. [Google Scholar] [CrossRef]
- van de Voorde, T.F.; Bezemer, T.M.; Van Groenigen, J.W.; Jeffery, S.; Mommer, L. Soil biochar amendment in a nature restoration area: Effects on plant productivity and community composition. Ecol. Appl. 2014, 24, 1167–1177. [Google Scholar] [CrossRef]
- Bieser, J.M.; Thomas, S.C. Biochar and high-carbon wood ash effects on soil and vegetation in a boreal clearcut. Can. J. For. Res. 2019, 49, 1124–1134. [Google Scholar] [CrossRef]
- Williams, J.M.; Thomas, S.C. Effects of high-carbon wood ash biochar on volunteer vegetation establishment and community composition on metal mine tailings. Restor. Ecol. 2023, 31, e13861. [Google Scholar] [CrossRef]
- Williams, J.M.; Thomas, S.C. High carbon wood ash biochar for mine tailings restoration: A field assessment of planted tree performance and metals uptake. Sci. Total Environ. 2023, 901, 165861. [Google Scholar] [CrossRef]
- Bjugstad, A.J.; Warren, C. Perennial forbs for wildlife habitat restoration on mined lands in the northern Great Plains. In Proceedings of the 62nd Annual Conference of the Western Association of Fish and Wildlife Agencies, Las Vegas, NV, USA, 19–22 July 1982. [Google Scholar]
- Large, R.R.; Bula, S.W.; Maslennikov, V.V. A Carbonaceous Sedimentary Source-Rock Model for Carlin-Type and Orogenic Gold Deposits. Econ. Geol. 2011, 106, 331–358. [Google Scholar] [CrossRef]
- Groves, D.I.; Goldfarb, R.J.; Gebre-Miriam, M.; Hagemann, S.G.; Robert, F. Orogenic gold deposits: A proposed classification in the context of their crustal distribution and relationship to other gold deposit types. Ore Geol. Rev. 1998, 13, 7–27. [Google Scholar] [CrossRef]
- Liao, W.; Drake, J.; Thomas, S.C. Biochar granulation enhances plant performance on a green roof substrate. Sci. Total Environ. 2022, 813, 152638. [Google Scholar] [CrossRef] [PubMed]
- Ripley, B.; Venables, B.; Bates, D.M.; Hornik, K.; Gebhardt, A.; Firth, D.; Ripley, M.B. Package ‘mass’. Cran R 2013, 538, 113–120. [Google Scholar]
- R Core Team. RA Language and Environment for Statistical Computing; R Foundation for Statistical Computing: Vienna, Austria, 2023. [Google Scholar]
- Thomas, S.C. Biochar effects on germination and radicle extension in temperate tree seedlings under field conditions. Can. J. For. Res. 2020, 51, 10–17. [Google Scholar] [CrossRef]
- Dijk, J.R.; Kranchev, M.; Blust, R.; Cuypers, A.; Vissenberg, K. Arabidopsis root growth and development under metal exposure presented in an adverse outcome pathway framework. Plant Cell Environ. 2022, 45, 737–750. [Google Scholar] [CrossRef]
- Crane-Droesch, A.; Abiven, S.; Jeffrey, S.; Torn, M.S. Heterogeneous global crop yield response to biochar: A meta-regression analysis. Environ. Res. Lett. 2013, 8, 044049. [Google Scholar] [CrossRef]
- Joseph, S.; Cowie, L.A.; Zwieten, L.V.; Bolan, N.; Budai, A.; Buss, W.; Cayuela, M.L.; Graber, E.R.; Ippolito, J.A.; Kuzyakov, Y.; et al. How biochar works, and when it doesn’t: A review of mechanisms controlling soil and plant responses to biochar. GCB Bioenergy 2021, 13, 1731–1764. [Google Scholar] [CrossRef]
- Beesley, L.; Marmiroli, M.; Pagano, L.; Pigoni, V.; Fellet, G.; Fresno, T.; Vamerali, T.; Bandiera, M.; Marmiroli, N. Biochar addition to an arsenic contaminated soil increases arsenic concentrations in the pore water but reduces uptake to tomato plants (Solanum lycopersicum L.). Sci. Total Environ. 2013, 454, 598–603. [Google Scholar] [CrossRef]
- Xu, Q.; Xu, Q.; Zhu, H.; Li, H.; Yin, W.; Feng, K.; Wang, S.; Wang, X. Does biochar application in heavy metal-contaminated soils affect soil micronutrient dynamics? Chemosphere 2022, 290, 133349. [Google Scholar] [CrossRef]
- Ribeiro, R.A.; Giannini, T.C.; Gastauer, M.; Awade, M.; Siquiera, J.O. Topsoil application during the rehabilitation of a manganese tailing dam increases plant taxonomic, phylogenetic and functional diversity. J. Environ. Manag. 2018, 227, 386–394. [Google Scholar] [CrossRef] [PubMed]
- Navarro-Pedreno, J.; Almendro-Candel, M.B.; Gomez, I.; Jordan, M.M.; Pardo, F. Organic Mulching to Improve Mining Soil Restoration. In Assessment, Restoration and Reclamation of Mining Influenced Soils, 1st ed.; Bech, J., Bini, C., Pashkevich, M.A., Eds.; Academic Press: London, UK, 2017; pp. 375–386. [Google Scholar]
- Gul, S.; Yanni, S.F.; Whalen, J.K. Lignin controls on soil ecosystem services: Implications for biotechnological advances in biofuel crops. In Lignin, 1st ed.; Lu, F., Ed.; Nova Science Publishers Inc.: New York, NY, USA, 2014; pp. 375–416. [Google Scholar]
- Mango, L.; Kugedera, A.T. Effects of Re-vegetating Mine Tailings on Genetic Diversity and Role of Micro-fauna on Improving Mine Tailings (A Review). Int. J. Agric. Agribus. 2019, 4, 108–123. [Google Scholar]
- Perez, D.R.; Gonzalez, F.; Ceballos, C.; Oneto, M.E.; Aronson, J. Direct seeding and outplantings in drylands of Argentinean Patagonia: Estimated costs, and prospects for large-scale restoration and rehabilitation. Restor. Ecol. 2019, 27, 1105–1116. [Google Scholar] [CrossRef]




| Trifolium | Dalea | |||||
|---|---|---|---|---|---|---|
| Effect | χ2 | df | p | χ2 | df | p |
| Day 7 | ||||||
| Substrate | 0.659 | 2 | 0.7192 | 1.221 | 2 | 0.5431 |
| Biochar | 5.612 | 1 | 0.0178 | 0.018 | 1 | 0.8934 |
| Yeast | 0.756 | 1 | 0.3846 | 2.478 | 1 | 0.1155 |
| Substrate × biochar | 7.193 | 2 | 0.0274 | 6.037 | 2 | 0.0489 |
| Substrate × yeast | 1.600 | 2 | 0.4493 | 1.804 | 2 | 0.4058 |
| Biochar × yeast | 0.181 | 1 | 0.6702 | 4.078 | 1 | 0.0435 |
| Substrate × biochar × yeast | 3.388 | 2 | 0.1838 | 1.864 | 2 | 0.3937 |
| Day 14 | ||||||
| Substrate | 0.838 | 2 | 0.6577 | 0.777 | 2 | 0.6781 |
| Biochar | 1.338 | 1 | 0.2475 | 1.927 | 1 | 0.1651 |
| Yeast | 0.020 | 1 | 0.8864 | 1.959 | 1 | 0.1616 |
| Substrate × biochar | 3.596 | 2 | 0.1656 | 3.055 | 2 | 0.2171 |
| Substrate × yeast | 1.364 | 2 | 0.5057 | 5.152 | 2 | 0.0761 |
| Biochar × yeast | 0.029 | 1 | 0.8642 | 0.760 | 1 | 0.3834 |
| Substrate × biochar × yeast | 1.340 | 2 | 0.5118 | 1.608 | 2 | 0.4474 |
| Day 75 | ||||||
| Substrate | 1.656 | 2 | 0.4370 | 1.154 | 2 | 0.5616 |
| Biochar | 0.317 | 1 | 0.5735 | 1.676 | 1 | 0.1955 |
| Yeast | 1.310 | 1 | 0.2524 | 0.332 | 1 | 0.5642 |
| Substrate × biochar | 1.111 | 2 | 0.5739 | 0.181 | 2 | 0.9136 |
| Substrate × yeast | 0.845 | 2 | 0.6556 | 3.709 | 2 | 0.1566 |
| Biochar × yeast | 2.715 | 1 | 0.0994 | 0.103 | 1 | 0.7481 |
| Substrate × biochar × yeast | 1.442 | 2 | 0.4862 | 0.319 | 2 | 0.8525 |
| Trifolium | Dalea | |||||
|---|---|---|---|---|---|---|
| Effect | F | df | p | F | df | p |
| Total biomass | ||||||
| Substrate | 33.15 | 2 | <0.0001 | 8.28 | 2 | 0.0007 |
| Biochar | 6.62 | 1 | 0.0126 | 1.91 | 1 | 0.1721 |
| Yeast | 0.18 | 1 | 0.6732 | 0.04 | 1 | 0.8360 |
| Substrate × biochar | 7.95 | 2 | 0.0009 | 0.41 | 2 | 0.6639 |
| Substrate × yeast | 0.68 | 2 | 0.5085 | 1.95 | 2 | 0.1511 |
| Biochar × yeast | 8.16 | 1 | 0.0059 | 0.58 | 1 | 0.4490 |
| Substrate × biochar × yeast | 11.31 | 2 | <0.0001 | 1.67 | 2 | 0.1970 |
| Aboveground biomass | ||||||
| Substrate | 28.71 | 2 | <0.0001 | 3.12 | 2 | 0.0514 |
| Biochar | 7.14 | 1 | 0.0097 | 3.58 | 1 | 0.0634 |
| Yeast | 1.15 | 1 | 0.2875 | 0.67 | 1 | 0.4178 |
| Substrate × biochar | 6.80 | 2 | 0.0022 | 0.27 | 2 | 0.7681 |
| Substrate × yeast | 2.52 | 2 | 0.0890 | 1.84 | 2 | 0.1684 |
| Biochar × yeast | 10.39 | 1 | 0.0020 | 0.03 | 1 | 0.8566 |
| Substrate × biochar × yeast | 12.07 | 2 | <0.0001 | 0.04 | 2 | 0.9579 |
| Root biomass | ||||||
| Substrate | 23.47 | 2 | <0.0001 | 9.93 | 2 | 0.0002 |
| Biochar | 3.34 | 1 | 0.0727 | 1.06 | 1 | 0.3068 |
| Yeast | 0.22 | 1 | 0.6432 | 0.29 | 1 | 0.5943 |
| Substrate × biochar | 5.98 | 2 | 0.0043 | 0.37 | 2 | 0.6946 |
| Substrate × yeast | 0.12 | 2 | 0.8900 | 1.59 | 2 | 0.2125 |
| Biochar × yeast | 3.00 | 1 | 0.0907 | 0.75 | 1 | 0.3898 |
| Substrate × biochar × yeast | 5.84 | 2 | 0.0048 | 2.26 | 2 | 0.1128 |
| Total leaf area | ||||||
| Substrate | 61.66 | 2 | <0.0001 | 1.35 | 2 | 0.2667 |
| Biochar | 14.12 | 1 | 0.0004 | 2.86 | 1 | 0.0963 |
| Yeast | 1.09 | 1 | 0.3007 | 0.25 | 1 | 0.6203 |
| Substrate × biochar | 13.83 | 2 | <0.0001 | 0.08 | 2 | 0.9241 |
| Substrate × yeast | 0.77 | 2 | 0.4661 | 2.04 | 2 | 0.1400 |
| Biochar × yeast | 13.44 | 1 | 0.0005 | 0.25 | 1 | 0.6168 |
| Substrate × biochar × yeast | 12.58 | 2 | <0.0001 | 0.01 | 2 | 0.9858 |
| Leaf area ratio | ||||||
| Substrate | 78.26 | 2 | <0.0001 | 3.50 | 2 | 0.0404 |
| Biochar | 2.20 | 1 | 0.1454 | 0.01 | 1 | 0.9127 |
| Yeast | 0.04 | 1 | 0.8333 | 0.26 | 1 | 0.6135 |
| Substrate × biochar | 2.12 | 2 | 0.1325 | 0.73 | 2 | 0.4894 |
| Substrate × yeast | 0.49 | 2 | 0.6175 | 1.86 | 2 | 0.1700 |
| Biochar × yeast | 0.06 | 1 | 0.8049 | 0.00 | 1 | 0.9793 |
| Substrate × biochar × yeast | 0.12 | 2 | 0.8830 | 1.09 | 2 | 0.3462 |
| Root mass fraction | ||||||
| Substrate | 1.20 | 2 | 0.3109 | 11.16 | 2 | 0.0001 |
| Biochar | 2.18 | 1 | 0.1470 | 0.11 | 1 | 0.7465 |
| Yeast | 0.20 | 1 | 0.6603 | 0.04 | 1 | 0.8523 |
| Substrate × biochar | 2.98 | 2 | 0.0610 | 1.17 | 2 | 0.3206 |
| Substrate × yeast | 3.10 | 2 | 0.0551 | 0.04 | 2 | 0.9569 |
| Biochar × yeast | 0.02 | 1 | 0.8816 | 0.04 | 1 | 0.8395 |
| Substrate × biochar × yeast | 0.31 | 2 | 0.7381 | 1.26 | 2 | 0.2947 |
Disclaimer/Publisher’s Note: The statements, opinions and data contained in all publications are solely those of the individual author(s) and contributor(s) and not of MDPI and/or the editor(s). MDPI and/or the editor(s) disclaim responsibility for any injury to people or property resulting from any ideas, methods, instructions or products referred to in the content. |
© 2024 by the authors. Licensee MDPI, Basel, Switzerland. This article is an open access article distributed under the terms and conditions of the Creative Commons Attribution (CC BY) license (https://creativecommons.org/licenses/by/4.0/).
Share and Cite
Cann, J.; Tang, E.; Thomas, S.C. Biochar and Deactivated Yeast as Seed Coatings for Restoration: Performance on Alternative Substrates. Seeds 2024, 3, 544-558. https://doi.org/10.3390/seeds3040037
Cann J, Tang E, Thomas SC. Biochar and Deactivated Yeast as Seed Coatings for Restoration: Performance on Alternative Substrates. Seeds. 2024; 3(4):544-558. https://doi.org/10.3390/seeds3040037
Chicago/Turabian StyleCann, Jennifer, Esther Tang, and Sean C. Thomas. 2024. "Biochar and Deactivated Yeast as Seed Coatings for Restoration: Performance on Alternative Substrates" Seeds 3, no. 4: 544-558. https://doi.org/10.3390/seeds3040037
APA StyleCann, J., Tang, E., & Thomas, S. C. (2024). Biochar and Deactivated Yeast as Seed Coatings for Restoration: Performance on Alternative Substrates. Seeds, 3(4), 544-558. https://doi.org/10.3390/seeds3040037

