Abstract
Sporadic cone (or seed) production challenges longleaf pine forest restoration. Characterizing annual cone production change from long-term monitored data provides functional information on the foundational species of this imperiled ecosystem. In this study, permutation entropy (PE) and phase change were used to analyze longleaf pine annual cone production based on cone counts from four sites (Escambia Experimental Forest, Blackwater River State Forest, The Jones Center at Ichauway, and Sandhills State Forest). PE is an analytical tool to measure the complexity of a dynamic system while phase change characterizes the stage of self-organization. Results indicate that PE at each site was close to 1.0 (largely random changes in annual cone production) and generally increased with time. The positive association between the permutation entropy of cone production and average air temperature at different times was significant at two sites (Blackwater River State Forest and The Jones Center at Ichauway). The frequency distribution of phases (e.g., Poor (P), Fair (F), Good (G), Bumper (B)) in cone production followed negative power laws. Phase P could transition to any stage, but more than 50% remained in P across sites. For phase G, it would revert to P more than 50% of the time. Phase B would shift to P, except at Sandhills State Forest. The average lasting time of phase P was approximately 3.7 years. The overall relationship between the interval time of phase B and cone production was not statistically significant. Similarly, the overall relationship between cone production in phase B and the phase change times between consecutive B phases was not statistically significant. These results provide information on the ecological complexity of cone (or seed) production. Our methods can be helpful for estimating the occurrence of bumper cone (or seed) production, the lasting period between phase changes, and providing a tool for predicting natural regeneration potential over time for longleaf pine and other tree species (e.g., masting species).
1. Introduction
Longleaf pine (Pinus palustris Mill.) forests were once the dominant ecosystem type in the southeastern United States. Much of the species’ dominance was attributed to its tolerance to frequent fire and drought conditions [1]. Longleaf pine forests historically provided economical, ecological, and social benefits to local communities, such as quality timber [2] and related forest products (such as tar, pitch, and rosin) while also providing vital habitats for several endemic flora and fauna including red-cockaded woodpecker (Picoides borealis), gopher tortoise (Gopherus polyphemus), and black pine snake (Pituophis melanoleucus), and a variety of carnivorous plants (Sarracenia spp.) [3,4,5,6]. The longleaf pine ecosystems once covered an area estimated at 33–37 million hectares ranging from southeast Virginia to east Texas, occupying various habitats from xeric sandhills to poorly drained Flatwoods to montane areas [7]. After European settlement, the extent of the longleaf pine ecosystem dramatically declined due to timber harvesting, fire suppression, and land use change [8,9]. About 1.02 million hectares of longleaf pine forest remained from the 1995 forest inventory and analysis data [1]. Currently, the longleaf pine ecosystem is considered a critically endangered ecosystem [10]. In addition to their biological value, longleaf pine forests are currently valued for their ability to produce pole-quality timber, premium pine straw, and carbon sequestration potential [11]. Government agencies and private landowners have renewed interest in restoring and increasing longleaf pine forests due to these benefits [12]. As such, longleaf pine restoration has become a regional priority [13]. Various governmental incentives have provided support (e.g., small financial aid, service of prescribed burning for small landowners, etc.) for longleaf pine restoration. Currently, the total area of longleaf pine forests has slightly increased.
The natural regeneration of longleaf pine is threatened by several factors including substrate limitation, seed depredation, and competition from herbaceous and woody species [14,15,16]. Silvicultural treatments can be applied to control these limiting factors; however, sporadic seed production remains a challenging issue [17]. The reproductive biology of longleaf pine includes lengthy flowering, pollination, fertilization, and cone production, which can last approximately three years. Catkins initiate in July, while conelets first form in August. Female buds appear in mid-November and early December and male catkins develop between late December and early February. Conelets appear in January or February. Catkin production is favored by rainfall during the growing season, while conelet production is favored by a wet spring and early summer, followed by a dry period in late summer. Pollination occurs in late winter or early spring, but fertilization does not occur until the spring of the following year. Conelets grow quickly after fertilization, becoming green cones, and reach maturity, as brown cones, between mid-September and mid-October of the third year [5,7,17]. The variation in cone production is considered to be complex and is mainly related to climatic conditions [18] although the exact mechanisms are not clear. A complex system has a degree of interaction among its constituents that makes its emergent properties impossible to deduce from the study of its elements [19]. Some previous results indicated that high or low cone production frequency did not match the frequency of high or low annual precipitation [20]. On the decadal scale, the coefficient of variation in cone production positively correlates with annual air temperature but negatively correlates with annual precipitation on some sites [21]. Thus, temperature and moisture availability at each cone development stage could drive the spatial and temporal complexity of longleaf pine cone production.
The entropy concept, i.e., disorder, has been broadly used to characterize ecological complexity. Previous studies indicated the general trend of cone production in longleaf pine forests across different sites across the region [22,23], such as the entropy of cone production. However, there is limited research on the annual change in cone production that definitively demonstrates a general pattern in annual cone production across various sites at different temporal scales. Multi-scale studies would help detect underlying cone production patterns that are inconspicuous in short-term, single-site studies. Complexity is an important topic because it is of great practical significance for detecting the dynamic characteristics and representing the differences between cone production in different years [22,23,24]. One useful and easy tool in entropy analysis is permutation entropy, which was developed as a complexity measure for time series [22]. Specifically, permutation entropy is effective at detecting critical changes in immediate neighbors in a time series. Compared with other methods, the merits of permutation entropy are its simplicity, low computational complexity, and robustness in the presence of observational noise [25,26,27]. Permutation entropy can map a raw time series into a corresponding sequence of symbols called ordinal patterns, by appropriately ranking the neighboring series’ values, without any model assumptions. In this way, permutation entropy keeps the causal information derived from the temporal structure of the system dynamics. Permutation entropy has been widely applied in different areas of science, such as medicine, ecology, optical chaos, atmospheric turbulence, econophysics, electro-physiology, and hydrology [28,29]. However, this method has not been applied to characterize the complexity of longleaf pine cone production. Nevertheless, stand-level cone production may differ across varied environmental conditions. However, it is unknown whether these forest stands shared a similar character in the dynamics of the annual change of cone production at different sites across the range.
The concept of phase change or phase separation in physics has been used to characterize the aggregated self-organization process in ecosystems [30] and may be useful in predicting cone production over time. Based on field experience, longleaf pine cone production could be classified into four phases [31]. Cone production exceeding 100 cones per tree is considered a bumper year which provides ample opportunity for seedling establishment. Production between 50 and 100 cones per tree is considered a good year with favorable opportunities for seedling establishment. Cone production between 25 and 50 cones per tree represents a fair year where the seedling establishment is possible but less likely than in good or bumper years. Finally, production failing to exceed 25 cones per tree is considered a poor year for seedling establishment since an average of 25 cones per tree is required for successful nature regeneration [32]. Phase change can be used to predict the probability of subsequent bumper crops. The goal of this study is to apply permutation entropy and phase change to the cone production of longleaf pine forests in the southeastern USA since it is directly related to seed production and biology. The specific objectives were to determine whether: (i) the complexity of the annual change in cone production at different sites shared a similar character; (ii) the dynamics of complexity at multiple temporal scales varied among sites; and (iii) there were high probabilities of state change in annual cone production. Having the ability to predict subsequent favorable seed years would help land management agencies modify prescribed burning plans to capture rare nature regeneration opportunities.
2. Materials and Methods
2.1. Cone Data and Study Sites
Cone production data for individual longleaf pine trees have been collected as part of a long-term monitoring effort conducted by research scientists at the Southern Research Station of the USDA Forest Service since 1958 [32]. Each spring, scientists used binoculars at eleven sites across the southeastern region to count the number of green cones in the crowns of at least ten mature longleaf pine trees growing in low-density stands. The average of cones on these fixed sample trees was used to represent the cone production of forest stand at each site. In this study, four research sites without missing cone data have been used to conduct this effort. These sites include (1) Escambia Experimental Forest in southern Alabama (short name as Escambia); (2) Blackwater River State Forest in the western panhandle of Florida (Blackwater); (3) The Jones Center at Ichauway in southwestern Georgia (Jones Center); (4) Sandhills State Forest in northeastern South Carolina (Sandhills). The climate data were collected from the nearby weather stations. Soils at these sites are generally sandy and loamy and excessively drained.
Detailed information on each site is listed in Table 1 and references.
Table 1.
Information of four longleaf pine research sites.
2.2. Permutation Entropy
Permutation entropy is a tool that measures the complexity of a dynamic system based on the order relations between values in a time series and extracting a probability distribution of the ordinal patterns [33]. For the calculation of permutation entropy in one-dimensional time series (x(i), i = 1, 2,…, N), there are two important parameters to partition the time series into a matrix of overlapping column vectors [25]. m is the embedding dimension that controls the length of each of the new column vectors (usually m ≥ 3). L is the embedding time delay that controls the number of periods between elements of each new column vector (e.g., 1). After the reconstruction, the m-dimensional matrix is uniquely mapped into the permutations according to the ordinal rankings. The given X(i) = [x(i), x(i + L),…, x(i + (m − 1)L] are rearranged in the order as X(i) = [x(i + (j1 − 1)L) ≤ x(i + (j2 − 1)L) ≤ … ≤ x(i + (jm − 1)L)]. In the rearranged sequence, j1, j2,…, jm denote the location of the elements in X(i). If ji1 < ji2, then x is sorted as x(i + (ji1 − 1)L) ≤ x(i + (ji2 − 1)L). Thus, any time series x(i) can be uniquely mapped into a group of subscript sequences as (j1, j2,…, jm). If each symbol indexed by i is different, the m-dimensional embedding matrix has at most m! permutations. Then, the probability of each permutation (P1, P2,…, Pk, where k = m!) can be calculated by counting the times of the permutation in the entire sequence. Finally, the permutation entropy is defined in the form:
Normalized permutation entropy = Hp (m, L, N)/LOG(m!, 2)
For the normalized permutation entropy (value from 0 to 1), the lower value indicates a more steady time series or with a specific pattern; while the higher value (e.g., 1.0) means a more random and noisy time series. Detailed information can be found in [20,28]. In this study, m is selected as 3 and L is 1 since there are about three-year cycles in cone production, and also the time from pollen to a cone is about three years. [20]. The permutation entropy at different accumulated periods (e.g., 20 years, 40 years, etc.) was calculated and compared.
2.3. Phase Change
Since the permutation entropy of a time series is based on number order, such as for the cone production of 10, 10.5, and 10.6, the permutation entropy approach classified these as a vector (0, 1, 2) based on the increased value. However, based on field experience, each value fell below the threshold of 25 cones per tree and would be considered poor. Our phase change classifications were as follows: bumper crop > 100 cones (B), good crop 50–99 cones (G), fair crop 25–49 cones (F), and poor crop < 25 cones (P) [31]. Then, the cone production time series were transformed into a series of phase changes (such as PFGB). Based on the annual phase change, the probability of each phase change was estimated. Some phases’ (e.g., P and B) lasting and interval times were also calculated. Lasting time refers to the duration (year) of the same phase (such as P), and interval time means the time (years) between two same phases (such as B, B). Since phase B is so important, the times of phase change (such as F was changed into P, then into B) before subsequent phase B at each site were recorded. This information could be used to discover the patterns of phase B, and whether frequent phase changes will lead to phase B.
2.4. Statistics
Linear regression analysis was conducted between the permutation entropy of cone production and time and the permutation entropy of average air temperature at different times. Statistical significance was considered at p < 0.05. SAS software (version 9.4) (SAS Institute, Cary, NC, USA) was used to perform the test.
3. Results
Over six decades, permutation entropy at Escambia, Blackwater, Jones Center, and Sandhills was 0.967, 0.993, 0.966, and 0.942, respectively. Each value was close to 1.0 despite considerable variations in cone production among sites, which indicated a generally random change in annual cone production (Figure 1). However, permutation entropy generally increased with time at each site and became saturated after about 40 years. During the recent decade, permutation entropy was stable at Blackwater and Sandhills, but with a slight increase at Escambia and a decrease at Jones Center.
Figure 1.
Permutation entropy changed with time at four study sites.
The association between the permutation entropy of cone production and the permutation entropy of average air temperature across time was significant only at Blackwater and Jones Center (Figure 2).
Figure 2.
Correlation between permutation entropy of cone production and permutation entropy of average air temperature in different periods at four study sites.
The frequency distribution of phases in cone production followed negative power laws (Figure 3), although it was not significant at Jones Center (p > 0.05).
Figure 3.
The frequency distribution of phases in cone production at four study sites (the lower thresholds of four phases in the x-axis, including P = 1, F = 25, G = 50, and B = 100, were used).
Phase P could be transitioned to any stage (e.g., P, F, G, B) (Table 2), but at least more than 50% remained in P at the four sites. Phase G cone production often (more than 50%) transitioned into P. For phase B, it generally shifted to P except for Sandhills.
Table 2.
Event number and probability of phase transition in the annual cone production at four sites.
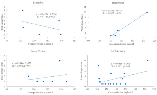
The average lasting time of phase P was approximately 3.7 years (Figure 4). The longest duration for phase P was 12, 15, 23, and 6 years at Escambia, Blackwater, Jones Center, and Sandhills, respectively. The relationship between the interval time of B and cone production was overall not significant (Figure 5), but it was significant at Blackwater. The relationship between the bumper cone production and the phase change time was not significant among the overall four sites (Figure 6) but was significant at Blackwater (p < 0.05). There was only one phase change at Sandhills, preventing phase change analysis.
Figure 4.
The average lasting time of phase P at four study sites (P refers to cone production < 25 and error bars are standard deviations).
Figure 5.
The relationship between the interval time of phase B and cone production (phase B refers to cone production ≥ 100).
Figure 6.
The relationship between the bumper cone production and the number of phase change to reach this phase B (cone production ≥ 100).
4. Discussion
After six decades, the permutation entropy of cone production at each site was nearly one, indicating an essentially random phenomenon. This result is consistent with the previous finding of the complexity in cone production of longleaf pine stands identified by Shannon entropy [22]. However, permutation entropy can discover the patterns of annual changes (change between neighbors) better than Shannon entropy. Additionally, due to the lengthy and complicated processes from pollination to cone production, multiple factors may affect cone production [20,23]. Furthermore, the cone production of a forest stand is the average of ten trees, which may be the effect of the random combination of some poor and super-producing longleaf pine trees [34,35]. Similar to the dynamics of Shannon entropy [23], the permutation entropy generally increased with time at each site. However, it seems that the permutation entropy of cone production might reach saturation after 40 years. When the permutation entropy was relatively low, such as at Escambia at age 20 (PE = 0.85), the change in annual cone production might be deterministic or not random. Additionally, the annual change in cone production is time-dependent. The exact mechanisms are unclear but may be related to the environment and the changing physiological requirements of trees as they age [18,36].
The association between the permutation entropy of cone production and the permutation entropy of average air temperature was significant only at Blackwater and Jones Center. This point was quite different from the previous result of a high correlation between Shannon entropy and cone production [22]. The possible explanation may be related to the difference between permutation entropy and Shannon entropy because permutation entropy emphasizes more on the annual change in cone production within the neighbors, such as during the three years (in this case, m = 3) so that the order (0, 1, 2) can be used to distinguish them. However, Shannon entropy emphasizes the overall disorder and is not directly related to the immediate neighbors. Our result may indicate that the annual change in cone production may not be directly associated with local climate (annual air temperature and precipitation), although, overall, the entropy (Shannon) of cone production is significantly correlated to the entropy of climate. However, tree health and local soil nutrient and water conditions might also affect the annual change in cone production. Currently, we do not have these specific data for each tree or site. We encourage future research to address this existing issue. Using permutation entropy with different delay times in cone production and soil nutrients or water content may be useful to understand this process.
After we represented the cone production in four phases of P, F, G, and B, it is helpful to avoid ranking similar cone production, which may be aggregated into the same phase. Such as 10, 10.5, and 10.7, each of them is at the P stage because they are less than 25. The frequency distribution of phases followed negative power laws, and this confirms the previous finding of power distribution in cone production [24].
The changes among the four phases were not random at each site. Although there were slight differences, 56–70% of P remained at P in the subsequent year across sites. For G, the cone production frequently transitioned into P. Similar to B, cone production would 100% shift to P at Escambia and Blackwater; B was most likely (71%) to shift to P at Jones Center; B would shift to P, G, or B equally (33.3%) at Sandhills. This result is consistent with the observations that it is usually a poor production year after a bumper year [20]. Transitions to B never occurred at Blackwater, Jones Center, and Sandhills following an F cone year. In contrast, a transition from F-to-B occurred at Escambia but was generally rare (11%). Based on the observed probability of phase change, it is possible to project the next phase of cone production with a relatively high degree of confidence. However, the phase changes following a B year at Sandhills demonstrate the existence of site-specific cone production dynamics. We suspect the xeric conditions at Sandhills contribute to the observed variance in cone production by magnifying the importance of climatic stress. Unfortunately, our study lacks sufficient replication to explore this potential mechanism. Future studies integrating environmental monitoring data with biological information are needed to discover complex underlying mechanisms.
Phase P was very frequent among these sites. Although the average duration of P was approximately 3.7 years, the maximum lasting time for P could reach a long time, such as 12, 15, 23, and 6 years at Escambia, Blackwater, Jones Center, and Sandhills, respectively. Thus, P was the dominant cone production phase at all sites, which was consistent with the observation data. Results indicate that cone production averaged fewer than 20 cones per tree in 13 of the 20 years [26]. At locations such as these with frequent P stages, natural regeneration of longleaf pine forests may not be a viable option in most years. Bumper cone production, which is important to forest restoration and wildlife, was unstable at each site. Only at Jones Center and Sandhills, the possibility of subsequent B crops reached 28–33%; but at the other two sites, the probability was 0. The possible biological mechanism may be that trees consume too much energy for the high production of cones and they need time to recover. Furthermore, the relationship between the interval time of B phases and cone production was not statistically significant across sites but was only significant at Blackwater. The relationship between the bumper cone production and the times of phase change was insignificant among the overall sites except for Blackwater. Thus, there was a clear pattern between bumper cone production, interval time, and the frequency of phase change at Blackwater. This supported the previous result of weak burstiness in cone production [36]. However, at Blackwater, there was a positive correlation between higher cone production (phase B) and the frequent phase changes.
5. Conclusions
Cone production in longleaf pine stands is essential for forest natural regeneration and ecosystem resilience. However, the annual changes in cone (or seed) production at forest stands are complex, which makes planning for favorable seed years challenging. This study indicates that permutation entropy and phase change can be used to characterize the complexity of annual cone production dynamics. The cone production change had random processes (e.g., increase or decrease) at each study site after a certain time because its permutation entropy values were approximately 1.0. However, permutation entropy was time-dependent and not highly correlated to permutation entropy of average air temperature except for Blackwater and Jones Center, which means that local climate may not necessarily correlate to the annual change in cone production. Patterns in phase changes of annual cone production partially existed. For example, the frequency distribution of phases (P, F, G, B) in cone production is followed by negative power laws. Phase P could be transitioned to any stage (e.g., P, F, G, B), but often (50%) remained in the P phase across sites. Phase G typically transitioned into Phase P (>50%). For phase B, it was most likely to shift into phase P, except for Sandhills. A significant relationship was found at Blackwater between bumper cone production, interval duration, and frequency of phase change. Based on the phase transition probability, our results have practical implications for longleaf pine regeneration efforts, such as estimating the occurrence of bumper or good cone years and their lasting or interval time. This method could also be utilized to identify sites with poor reproductive potential. Further characterizing cone production time series with integrated environmental monitoring data (e.g., soil water and nutrients) may help understand the complete picture of the cone (or seed) production across the landscape and provide information for future modeling efforts. This approach could be applied to characterize other tree species for a better understanding of seed production processes and possible mechanisms across space and time.
Author Contributions
Conceptualization, data analysis, writing, editing, X.C.; editing, data collection, analysis, J.L.W. All authors have read and agreed to the published version of the manuscript.
Funding
The USDA National Institute of Food and Agriculture 1890 Capacity Building Program (2021-38821-34596) and the McIntire Stennis project, AAMU-RISE with Raytheon, and the USDA Forest Service.
Institutional Review Board Statement
Not applicable.
Informed Consent Statement
Not applicable.
Data Availability Statement
The data are available to the public. See reference [31].
Acknowledgments
This paper was written and prepared in part by a U.S. Government employee on official time, and therefore it is in the public domain and not subject to copyright. The findings and conclusions in this publication are those of the author(s) and should not be construed to represent an official USDA, Forest Service, or United States Government determination or policy.
Conflicts of Interest
The authors declare no conflict of interest.
References
- Outcalt, K.W.; Sheffield, R.M. The Longleaf Pine Forest: Trends and Current Conditions; Resource Bulletin SRS-9; USDA Forest Service, Southern Research Station: Asheville, NC, USA, 1996. [Google Scholar]
- McIntyre, R.K.; McCall, B.B.; Wear, D.N. The Social and Economic Drivers of the Southeastern Forest Landscape. In The Longleaf Pine Ecosystem: Ecology, Silviculture, and Restoration; Jose, S., Jokela, E.J., Miller, D.L., Eds.; Springer: Berlin/Heidelberg, Germany, 2006; pp. 39–67. [Google Scholar]
- Peet, R.K.; Allard, D.J. Longleaf pine vegetation of the southern Atlantic and eastern Gulf Coast regions: A preliminary classification. Tall Timbers Fire Ecol. Conf. Proc. 1993, 18, 45–81. [Google Scholar]
- Hodges, A.W. The Naval Stores Industry. In The Longleaf Pine Ecosystem: Ecology, Silviculture, and Restoration; Jose, S., Jokela, E.J., Miller, D.L., Eds.; Springer: Berlin/Heidelberg, Germany, 2006; pp. 43–48. [Google Scholar]
- Jose, S.; Jokela, E.J.; Miller, D.L. The Longleaf Pine Ecosystem: An overview. In The Longleaf Pine Ecosystem: Ecology, Silviculture, and Restoration; Jose, S., Jokela, E.J., Miller, D.L., Eds.; Springer: Berlin/Heidelberg, Germany, 2006; pp. 3–8. [Google Scholar]
- Natural Resource Conservation Service (NRCS); USDA. Longleaf Pine Ecosystem Restoration. FY20-24 Implementation Strategy; USDA: Washington, DC, USA, 2020. [Google Scholar]
- Frost, C.C. Four Centuries of Changing Landscape Patterns in the Longleaf Pine Ecosystems. In The Longleaf Pine Ecosystem: Ecology, Restoration and Management; Hermann, S.M., Ed.; Springer: Berlin/Heidelberg, Germany, 1993; Volume 18, pp. 17–43. [Google Scholar]
- Carter, M.C.; Kellison, R.C.; Wallinger, R.S. Forestry in the US South: A History; Louisiana State University Press: Baton Rouge, LA, USA, 2015. [Google Scholar]
- Matthews, J.M.; Hinchee, J.; Guldin, J.M. Restoration of Longleaf Pine in the Southern Region of the US Forest Service: An Overview of the Million-Acre Challenge; e–Gen. Tech. Rep. SRS–253; US Department of Agriculture, Forest Service, Southern Research Station: Asheville, NC, USA, 2020; Volume 253, pp. 112–119. [Google Scholar]
- Noss, R.F.; LaRoe, E.T.; Scott, J.M. Endangered Ecosystems of the United States: A Preliminary Assessment of Loss and Degradation; Biological Report 28; USDI National Biological Service: Washington, DC, USA, 1995. [Google Scholar]
- Diop, A.; Palola, E.; Staudt, A.; Stein, B. Standing Tall: How Restoring Longleaf Pine Can Help Prepare the Southeast for Global Warming; National Wildlife Federation: Reston, VA, USA, 2009. [Google Scholar]
- Oswalt, C.; Guldin, J.M. Status of Longleaf Pine in the South: An FIA Update; Non-Refereed General Technical Report: Early Release; Southern Research Station, Forest Inventory and Analysis: Knoxville, TN, USA, 2021; pp. 1–25. [Google Scholar]
- Guldin, J.M. Restoration of native fire-adapted southern pine-dominated forest ecosystems: Diversifying the tools in the silvicultural toolbox. For. Sci. 2019, 65, 508–518. [Google Scholar] [CrossRef]
- Willis, J.L.; Renninger, H.J.; Schnake, D.K.; Alexander, H.D. Xerophytic hardwood retention promotes competition over facilitation in longleaf pine woodlands in the absence of fire. For. Ecol. Manag. 2023, 531, 120792. [Google Scholar] [CrossRef]
- Willis, J.L.; Schnake, D.K.; Wetzstein, B.; Yow, J.; Guinto, D.; Ulrich, S.; DePerno, C.S.; Lashley, M.A. Seed depredation negates the benefits of midstory hardwood removal on longleaf pine seedling establishment. Restor. Ecol. 2019, 27, 1064–1072. [Google Scholar] [CrossRef]
- McGuire, J.P.; Mitchell, R.J.; Moser, E.B.; Pecot, S.D.; Gjerstad, D.H.; Hedman, C.W. Gaps in a gappy forest: Plant resources, longleaf pine regeneration, and understory response to tree removal in longleaf pine savannas. Can. J. For. Res. 2001, 31, 765–778. [Google Scholar] [CrossRef]
- Frost, C.C. History and Future of the Longleaf Pine Ecosystem. In The Longleaf Pine Ecosystem: Ecology, Silviculture, and Restoration; Jose, S., Jokela, E.J., Miller, D.L., Eds.; Springer: Berlin/Heidelberg, Germany, 2006; pp. 9–42. [Google Scholar]
- Chen, X.; Willis, J.L.; Bowman, K.A. Assessing the influence of climate on cone production of longleaf pine forests. Trees For. People 2022, 9, 100297. [Google Scholar] [CrossRef]
- Thurner, S.; Klimek, P.; Hanel, R. Introduction to the Theory of Complex Systems; Oxford University Press: Oxford, UK, 2018. [Google Scholar]
- Guo, Q.; Zarnoch, S.J.; Chen, X.; Brockway, D.G. Life cycle and masting of a recovering keystone indicator species under climate change. Ecosys. Health Sust. 2016, 2, e01226. [Google Scholar] [CrossRef]
- Chen, X.; Brockway, D.G.; Guo, Q. Characterizing the dynamics of cone production for longleaf pine forests in the southeastern United States. For. Ecol. Manag. 2018, 429, 1–6. [Google Scholar] [CrossRef]
- Chen, X.; Guo, Q.; Brockway, D.G. Analyzing the complexity of cone production in longleaf pine by multiscale entropy. J. Sust. For. 2016, 35, 172–182. [Google Scholar] [CrossRef]
- Chen, X.; Brockway, G.D.; Guo, Q. Entropy dynamics in cone production of logleaf pine forests in the southeastern United States. Math. Comput. For. Nat. Res. Sci. 2016, 8, 11–15. [Google Scholar]
- Chen, X.; Guo, Q.; Brockway, D.G. Power laws in cone production of longleaf pine across its native range in the United States. Sust. Agri. Res. 2017, 4, 64–73. [Google Scholar] [CrossRef]
- Bandt, C.; Pompe, B. Permutation entropy—A natural complexity measure for time series. Phys. Rev. Lett. 2002, 88, 174102. [Google Scholar] [CrossRef]
- Bandt, C.; Keller, G.; Pompe, B. Entropy of interval maps via permutations. Nonlinearity 2002, 15, 1595–1602. [Google Scholar] [CrossRef]
- Cao, Y.; Tung, W.; Gao, J.; Protopopescu, V.; Hively, L. Detecting dynamical changes in time series using the permutation entropy. Phys. Rev. E 2004, 70, 046217. [Google Scholar] [CrossRef]
- Ricci, L.; Perinelli, A. Estimating permutation entropy variability via surrogate time series. Entropy 2022, 24, 853. [Google Scholar] [CrossRef]
- Tirabassi, G.; Masoller, C. Entropy-based early detection of critical transitions in spatial vegetation fields. Proc. Nat. Acad. Sci. USA 2023, 120, e2215667120. [Google Scholar] [CrossRef] [PubMed]
- Siteur, K.; Liu, Q.-X.; Rottschäfer, V.; van der Heide, T.; Rietkirk, M.; Doelman, A.; Boström, C.; van de Koppel, J. Phase-separation physics underlies new theory for the resilience of patchy ecosystems. Proc. Nat. Acad. Sci. USA 2023, 120, e2202683120. [Google Scholar] [CrossRef] [PubMed]
- Willis, J.L.; Brockway, D.G. Longleaf Pine Cone Prospects for 2022: Southern Research Station; USDA Forest Service: Asheville, NC, USA, 2022. [Google Scholar]
- Boyer, W.D. Annual and Geographic Variations in Cone Production by Longleaf Pine. In Proceedings of the Fourth Biennial Southern Silvicultural Research Conference, Atlanta, GA, USA, 4–6 November 1986; pp. 73–76. [Google Scholar]
- Henry, M.; Judge, G. Permutation entropy and information recovery in nonlinear dynamic economic time series. Econometrics 2019, 7, 10. [Google Scholar] [CrossRef]
- Patterson, T.W. Longleaf pine cone production and the influence of super-producing trees. Southeast. Geogr. 2020, 60, 332–344. [Google Scholar] [CrossRef]
- Chen, X.; Willis, J.L. Individuals’ behaviors of cone production in longleaf pine trees. Forests 2023, 14, 494. [Google Scholar] [CrossRef]
- Chen, X.; Brockway, G.D.; Guo, Q. Burstiness of seed production in longleaf pine and Chinese Torreya. J. Sust. For. 2021, 40, 188–196. [Google Scholar] [CrossRef]
Disclaimer/Publisher’s Note: The statements, opinions and data contained in all publications are solely those of the individual author(s) and contributor(s) and not of MDPI and/or the editor(s). MDPI and/or the editor(s) disclaim responsibility for any injury to people or property resulting from any ideas, methods, instructions or products referred to in the content. |
© 2023 by the authors. Licensee MDPI, Basel, Switzerland. This article is an open access article distributed under the terms and conditions of the Creative Commons Attribution (CC BY) license (https://creativecommons.org/licenses/by/4.0/).





