Abstract
Onion seeds are prone to rapid germination and viability losses under unfavourable storage conditions. The final germination percentage is considered the most important parameter for determining the performance of seed lots after storage, although other quantitative traits, such as the time and speed of germination, help in more realistic predictions of seed germination. A study was conducted on seventeen seed lots of onion seeds to delineate the most comprehensive parameter indicating seed performance after storage using the four-parameter Hill function (4-PHF) mathematical model. Seeds of seventeen onion cultivars were subjected to accelerated ageing at 42 °C and 100% RH for 48, 96 and 144 h, followed by seed germination evaluation. The germination performance was evaluated by 4-PHF based on time-related parameters, such as the time to maximum germination rate (TMGR), time to 50% germination (T50), and uniformity (U), along with the germination percentage (a), shape and steepness of the Four-Parameter Hill Function (FPHF) curve (b), which were important determinants of the area under curve (AUC), and RoG (rate of germination) curves. Among the parameters, the AUC was found to provide the most comprehensive evaluation of the storage performance of the onion varieties and was decisive in the classification of the varieties as ‘good’ or ‘poor’ storers. A positive correlation between seed vigour index-I (SVI-I) and the AUC reiterated the suitability of using 4-PHF parameters for the assessment of the storage potential of onion varieties.
1. Introduction
Seeds of vegetable crops are expensive, and loss of viability during storage can cause huge economic losses for seed producers and farmers. Among vegetable crops, seeds of Allium species, leek, lettuce, pepper, parsnip, etc. are predisposed to decreases in viability under unfavourable storage conditions. Onion accounts for the world’s second-largest vegetable crop after potato, with India ranking as the second-largest producer, producing 28.853 million tonnes in 2021–2022 [1].
The quality (vigour and viability) and performance of stored seeds deteriorate gradually over time [2], with the rate of deterioration depending on the temperature, relative humidity, moisture content, initial seed quality, plant preharvest quality, and oxygen pressure [3]. Onion seeds exhibit orthodox storage behaviour [4] and lose viability rapidly in 6–12 months under subtropical conditions, as they have fragile seed coats with high oil contents (22–26%) as factors conducive to rapid deterioration [5,6]. The storage potential of a seed lot can be assessed by physiological or biochemical tests on the seeds and storage studies under laboratory conditions by using artificial ageing treatments (controlled deterioration and accelerated ageing) that mimic the natural ageing process [7]. Amongst these treatments, the accelerated ageing test (AAT) developed by Delouche and Baskin [7] predicts seed vigour and the storability of seed lots. In the AAT, seeds are conditioned under high temperature and humidity for a given time, simulating conditions that the seed faces during storage under ambient conditions.
Considerable variability exists among the orthodox seed species with respect to germination performance (seed germinability and vigour), which is a complex trait. Seed germination is a dynamic process, but many researchers consider the final germination percentage as the most suitable parameter for the analysis of seed lots. Other quantitative parameters, such as the time, speed and homogeneity of germination, which help in the more realistic prediction of seed germination and its association with storability, are overlooked [8]. To evaluate the results of germination performance (germination percentage and vigour), different mathematical expressions have been used [9] that consider the final germination percentage, time taken for germination to start and speed of germination as input parameters. For example, the characterization of germination performance, pre-treatments and varietal differences have been tested by using the curve-fitting methods of Gompertz and Weibull [10,11], but the parameters extracted were not able to provide a biological interpretation. Hence, to ease the characterization of germination performance, efforts have been made to establish a single measure by considering different germination parameters collectively [12]. For this, we used the mathematical model of the four-parameter hill function (4-PHF) that can link multiple germination parameters to biologically interpret differences in the germination performance among varieties [13].
Thus, this study was undertaken to assess the variability in seed storability among the onion varieties for their classification into good and poor storers based on the parameters extracted from the 4-PHF mathematical model.
2. Material and Method
2.1. Seed Material
Freshly harvested seeds of seventeen onion varieties produced at ICAR–Indian Agricultural Research Institute, New Delhi, India (Pusa Riddhi, Pusa Red, Pusa Madhavi and Pusa Early Grano), ICAR–Indian Institute of Horticultural Research, Bengaluru, India (Arka Pragati, Arka Kalyan, Arka Bheem, Arka Ujjwal and Arka Niketan), ICAR–Directorate of Onion and Garlic Research, Pune, India (Bhima Kiran, Bhima Shakti, Bhima Shweta, Bhima Shubhra and Bhima Super), and the National Horticultural Research and Development Foundation, New Delhi, India (NHRDF Red, Agrifound Dark Red and Agrifound Light Red) were used in this study.
2.2. Seed Conditioning and Accelerated Ageing
The initial moisture content of onion seeds ranged from 4–7%, and they were brought to 13–15% by conditioning the seeds for three days with a saturated solution of sodium chloride (40 mg/100 mL) in desiccators (76% R.H.). The varieties were artificially aged by maintaining the temperature (42 °C) and relative humidity (100%) throughout the ageing period in desiccators for 48, 96 and 144 h, and an unaged control (0 h) was used for comparative studies. After ageing treatment, the seeds were dried back to their initial moisture content.
2.3. Standard Germination Test
Eight replicates of fifty seeds were placed on moist blotter paper in a Petri dish placed in a germinator maintained at 20 °C and 90% relative humidity. The germination count was recorded for 12 days.
2.4. Components of 4-PHF
The cumulative germination count data of onion varieties from 0 (first count) to 12 days (final count) was fitted to the 4-PHF using the “germination metrics package” in the R programme [14]. The following equation was used for calculating the 4-PHF:
where y and x are the cumulative germination percentage and standard germination test duration, respectively, and y0 is the intercept on the y-axis. After fitting the germination count data to Equation (1) above, FourPHFfit was used to extract the major germination parameters. Different functions were collectively used in FourPHFfit to compute and extract the following parameters (1 to 6) [13]:
ⅰ. a
Maximum germination achieved by a seed lot, which is represented as the cumulative germination percentage in the FPHF curve.
ⅱ. b
The b value represents the shape or steepness of the FPHF germination curve. In the case of a higher b value, the steepness of the curve increases, representing a shorter time between the initiation of germination and maximum germination, and vice versa, and explains the vigour of varieties.
ⅲ. T50
This was calculated as the time required to achieve 50% seed germination in the total seeds.
ⅳ. TMGR
The daily rate of germination was considered instead of the mean germination rate. The maximum germination rate at a specific point in time is called the instantaneous rate of germination. Here, it was computed by partial derivation of Equation (1)
where s represents the daily rate of germination. After plotting a graph between s and time, the time point at which the maximum germination rate is reached is defined as TMGR, as shown in Equation (3). This is another early germination parameter that means the smaller the TMGR value, the shorter the time to reach T50 and the more vigorous the seed lot.
s = ∂y⁄∂x = abcbxb−1/√ [(cb + xb)2]
TMGR = b √ [cb (b − 1)/(b + 1)]
ⅴ. U
This is the time required to achieve the germination percentage given as a command i.e., 10 to 90%.
ⅵ. AUC
The measurement of AUC considers the germination capacity (a), uniformity, early germination parameters, such as TMGR, T50 and b (shape and steepness of germination curve) collectively. It was estimated by integrating the curve fitting from time zero (0) to the time of the final count (argument tmax).
2.5. Seed Vigor Indices
Ten normal seedlings were picked randomly after a standard germination test. The seedling length (cm) and dry weight (mg) were recorded. Seed vigour indices I and II were assessed as products of germination (%), seedling length (cm) and dry weight (mg), and were calculated by using the formula provided by Abdul-Baki and Anderson [15].
2.6. Statistical Analysis
The 4-PHF fit function of the germination metrics package available in R was used to visualize the data and extract the parameters. All germination parameters were represented as boxplots to show the distribution of varieties and the potential outliers. Significant differences among the treatments were calculated by the ANOVA test, complemented by a pairwise Tukey’s HSD test. MVApp [16] was used to conduct hierarchical cluster analysis to classify the seventeen onion varieties into different categories, based on the germination performance/vigour. The hierarchical cluster analysis via Ward’s method was used for 4-PHF parameter analysis and grouped different varieties into clusters that showed similar responses to seed ageing treatment (144 h).
3. Results
3.1. Parameters Extracted Using 4-PHF
3.1.1. a
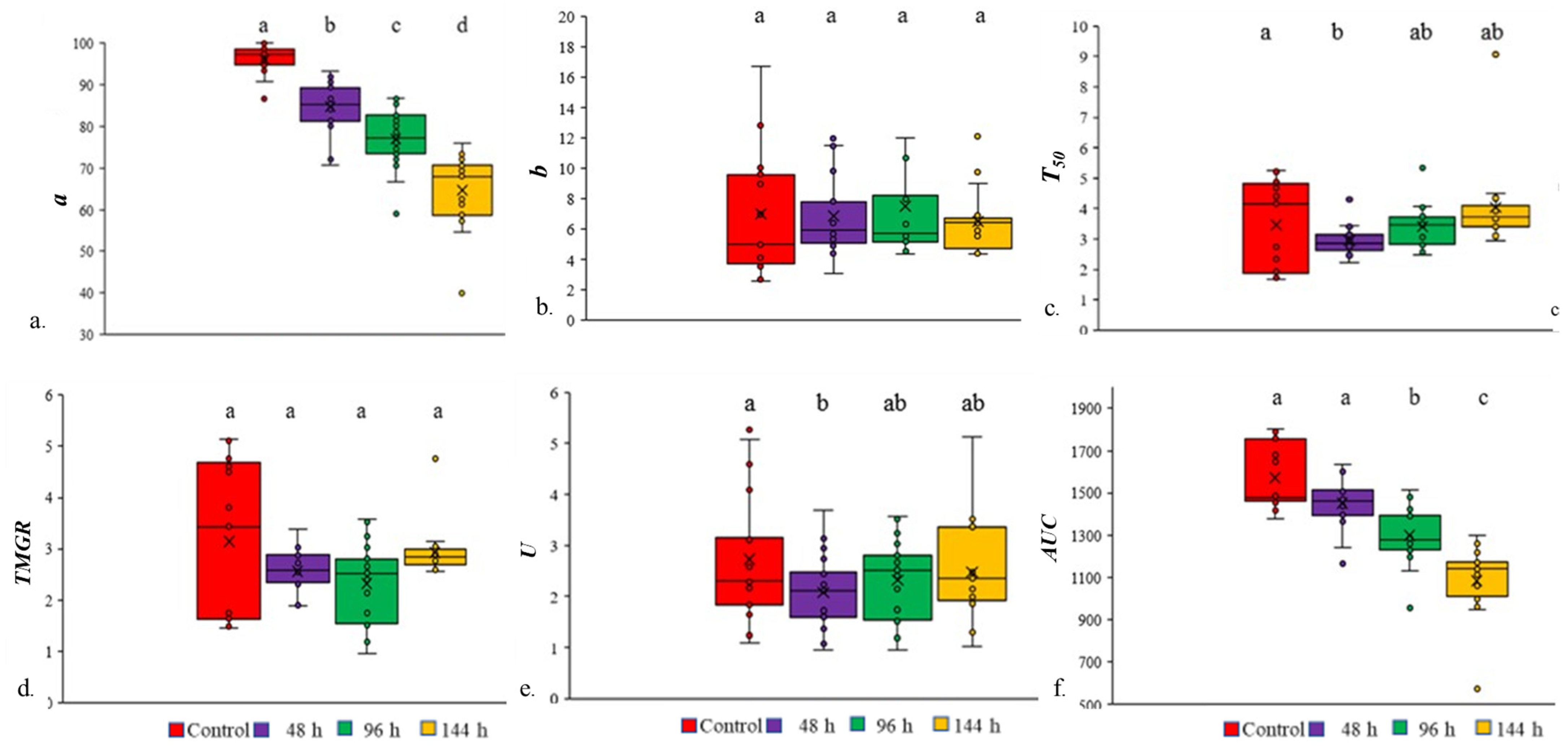
The onion varieties subjected to the accelerated ageing test showed significantly different germination performances at distinct periods of ageing (48, 96 and 144 h). The germination percentage ranged from 91–100% in unaged varieties, except in Agrifound Dark Red (87%). After 48 h of ageing, the germination percentage of all varieties decreased, which further declined significantly after 96 and 144 h of ageing by 67–87% and 55–76%, respectively. Although genotypic differences persisted between varieties, Arka Niketan was an outlier after the 96 and 144 h ageing treatments, exhibiting poor performance (germination percentages of 59 and 40%, respectively) (Figure 1a).
Figure 1.
Boxplot showing the response of 4-PHF parameters in unaged and aged onion varieties. Mean values of each treatment were separated by performing Tukey’s HSD pair-wise test with p ≤ 0.05. Letters above each box plot indicate significantly different groups (a) germination capacity (a), (b) shape and steepness of germination curve (b), (c) time to 50% germination (T50), (d) time to maximum germination rate (TMGR), (e) Uniformity (U) and (f) area under curve (AUC).
3.1.2. b
There was no significant difference between unaged and ageing treatments in the shape and steepness of the germination curve (b). The b values in unaged (fresh varieties) and 48 h-aged varieties ranged from 2.58–12.96 and 3.11–11.98, respectively. After 96 h of ageing, it was in the range of 5.17 to 12.02. After 144 h of ageing, the range was 4.33–8.99, with two outliers: Pusa Madhavi (9.76) and Bheema Shubhra (12.12) (Figure 1b).
3.1.3. T50
A significant difference between the unaged (1.73 to 5.26 days) and 48 h (2.23 to 3.44 days) aged seeds was observed. The difference was not significant after 96 (2.49 to 4.05 days) and 144 h (2.93 to 4.49 days) of ageing, except in Arka Niketan (5.34 to 9.05 days respectively) (Figure 1c).
3.1.4. TMGR
The TMGR did not significantly differ between the unaged and aged varieties. It ranged from 1.46–5.12, 1.88–3.37 and 0.95–3.56 days in the unaged, 48 and 96 h-aged varieties, respectively. Upon extending ageing to 144 h, the TMGR shifted from 2.55 to 3.14 days (Figure 1d).
3.1.5. U
There was a significant difference between the unaged (1.08 to 5.26 days) and 48 h (0.9 to 3.6 days) ageing treatments, but the difference was non-significant between the 96 h (0.95 to 3.56 days) and 144 h (1.01 to 5.13 days) seed ageing treatments (Figure 1e).
3.1.6. AUC
The AUC is the area estimated by integrating the curve fitting from time zero (0) to argument tmax (final count). It is the area bounded between two curves, namely the FPHF curve and RoG curve. The seed ageing treatments significantly affected the area under curve in the seventeen onion varieties. The unaged and 48 h ageing treatments had no significant effect on the AUC of onion varieties. Advancing the duration of ageing to 96 and 144 h led to a significant difference in the performance of the different varieties. The AUC of the varieties ranged from 1196.860–1515.663 and 995.855–1298.017. Arka Niketan did not fall in the range noted for the other varieties (Figure 1f).
3.2. Seed Vigor Indices
3.2.1. SVI-I
The seventeen onion varieties exposed to various durations of ageing exhibited significantly different seedling vigour index values. The SVI-I of unaged varieties ranged from 743.06–1204.17, but the progression of ageing to 46 and 96 h led to substantial decreases ranging from 442.82–902.06 and 342.12–821.05, respectively. Genotypic differences for SVI-I were clearly evident for all varieties at 144 h of ageing. Bhima Shweta (1298.02) and Arka Niketan (190.62) exhibited the maximum and minimum SVI-I values (Figure 2a).
Figure 2.
Boxplot showing the responses of SVI-I (a) and SVI-II (b) in unaged and aged varieties. Mean values of each treatment were separated by performing Tukey’s HSD pair-wise test with p-value ≤ 0.05. Letters above each boxplot indicate significantly different groups.
3.2.2. SVI-II
Unaged and 48 h-aged seeds did not show any changes in seed vigour based on dry weight (SVI-II). Prolonged ageing up to 96 and 144 h caused significant declines in seed vigour by 0.98–2.02 and 0.92–1.98, respectively. NHRDF Red (0.88) and Arka Niketan (0.63) were the poor storers at 48 and 144 h (Figure 2b).
3.3. 4-PHF Parameters of Unaged Varieties
Unaged varieties (control) showed comparable values for all 4-PHF parameters (Table 1). Changes were examined after a standardized duration of ageing (144 h), i.e., when the germination percentage was approximately reduced to 50% in most of the onion varieties. Classification was performed based on the similarity in physiological responses of varieties to ageing w.r.t to 4-PHF.
Table 1.
Mean values of 4-PHF parameters of 17 fresh onion varieties. Values are mean ± S.E of three replicates.
Cluster Analysis
Cluster analysis was conducted at 144 h of ageing to segregate the varieties of different varieties into two clusters (good and poor storers). Here, the heatmap was generated to show the value of a parameter based on the colour intensity:
Cluster 1 consisted of Bhima Kiran, Bhima Shakti, Bhima Shwetha, Bhima Super, Bhima Shubhra, Pusa Riddhi, Pusa Red, Agrifound Light Red, Arka Bheem and Arka Kalyan (Figure 3). The mean values of the 4-PHF parameters showed that all varieties had the highest a (71 ± 0.78%) and b (6.26 ± 0.14). On the other hand, the early germination parameters T50 (3.66 ± 0.16), TMGR (2.84 ± 0.05) and U (2.54 ± 0.27) were lowest compared with other clusters. All germination parameters together resulted in a higher AUC (1185.90 ± 18.02). Therefore, this cluster was designated as “good storers”, as all the varieties achieved a good germination percentage within a short period of time (high-vigour varieties) (Table 2).
Figure 3.
Heat map generated from 4−PHF (a, b, T50, TMGR, U and AUC) for clustering the 144 h−aged varieties. The data were subsetted per treatment, with columns representing the values of individual samples and rows representing selected parameters (a, b, T50, TMGR, U and AUC). Red and green represent high and low parameter values, respectively. The values of individual samples were normalized per parameter using z−Fisher transformation.
Table 2.
Mean values ± standard error (S.E) of parameters extracted from 4-PHF used for the classification of 17 onion varieties into different germination performance clusters following 144 h of ageing.
Cluster 2 included Arka Ujjwal, Arka Pragati, Arka Niketan, Agrifound Dark Red, Pusa Madhavi, Pusa Early Grano and NHRDF Red (Figure 3). It showed significantly lower a (56 ± 2.88%) and b (4.61 ± 0.72). Early germination parameters, such as T50 (4.55 ± 0.36), TMGR (3.07 ± 0.28) and U (2.38 ± 0.48) required more time to achieve 50% germination, leading to a lower AUC (937.33 ± 62.36); therefore this cluster was classified as “poor storers” (low-vigour varieties) (Table 2).
Among the seventeen varieties, Arka Niketan (poor storer) and Bhima Kiran (good storer) were selected and the germination count data were fitted into a 4-PHF curve. The corresponding AUC was the result of a graphical depiction of the extracted parameters, which confirmed the classification of varieties into “good and poor storers” based on germination performance, i.e., seed vigour and germinability (Figure 4).
Figure 4.
Curve fitting for the germination count data of a representative sample of the identified good and poor storers after ageing ((a) Arka Niketan—Poor storer; (b) Bhima Kiran—Good storer) using the ‘FourPHFfit’ function of the ‘germinationmetrics’ package in R. The x and y axes represent the time (days) and germination percentage (G%), respectively. The FPHF curve represents the cumulative germination percentage. The steepness of the rise in the FPHF curve represents the b value (vigour). The RoG curve represents the rate of germination per day. The area bound by these two curves is the AUC, which depends on peak height and steepness (a and b), and time (T50, TMGR and U). (a = germination capacity, b = shape and steepness of curve, T50 = time to 50% germination, TMGR = time to maximum germination percentage, U = uniformity, AUC = area under curve, FPHF curve = four-parameter Hill function curve and RoG curve = rate of germination curve).
3.4. Correlation among Four-PHF Parameters
3.4.1. Unaged Seeds
The varietal differences in germination parameters were large in the unaged varieties. Therefore, a non-significant correlation was observed between a, b, T50, TMGR, uniformity and AUC. Parameter b showed a positive correlation with early emergence-related parameters T50 (r = 0.66) and the TMGR (r = 0.73). Among the time-related parameters, the highest correlation was observed between the TMGR and T50 (r = 0.99). A non-significant correlation was also observed between U and all other parameters (Figure 5a). Additionally, a positive correlation was observed between AUC and SV-I (r = 0.70).
Figure 5.
Pearson correlation coefficients between selected parameters for (A) unaged and (B) 144 h−aged seeds. The colour of the number reflects the strength of the correlation. The non-significant correlations, with p−values above 0.05, are indicated with X in the individual cells.
3.4.2. Seeds aged for 144 h
The effect of ageing treatment led to a harmonized response of the varieties with respect to various germination parameters. A strong correlation (r = 0.98) existed between the cumulative germination percentage (a) and area under curve (AUC). Parameter b showed a negative correlation with the other early emergence-related parameters, such as the TMGR (r = −0.36). A negative correlation was observed between the parameters T50 and both a (r = −0.73) and AUC (r = −0.83). Unlike the unaged seeds (control), significant correlations were also seen between U and TMGR (r = 0.80) and T50 (r = 0.82) (Figure 5b). A positive correlation between AUC and SVI-I (r = 0.80) and SVI-II (r = 0.77) was also observed.
4. Discussion
High seed quality is critical for deriving maximum profit from crop production. The establishment of a successful crop stand determines the first step towards enhancing production and resource use efficiency. Seed vigour encompasses all the properties of the seed that are responsible for the performance of the varieties in terms of acceptable germination under a wide range of environmental conditions [17]. Correlating viability with vigour has its limitations, as varieties with low viability can germinate faster and slow-germinating ones can have high viability. This provides a fallacious representation of the seed lot, the results of which are discernible only at harvest. Onion seeds are known to be poor storers that remain viable for eight to twelve months [18,19], depending on the storage conditions. The storage of varieties under high temperature and relative humidity, the conditions adopted in the accelerated ageing test, lead to sequential loss of vigour and viability [20]. The present study was performed to classify Indian onion varieties into different germination performance classes (good and poor storers) based on the germination-related parameters extracted from the 4-PHF.
In the present study, the germination percentage of fresh unaged onion seeds was comparable, but after ageing, based on their performance, they could be divided into good and poor storers. The varieties of the same age, germination and variety failed to perform uniformly with respect to germination and vigour after artificial ageing, which was akin to storage under similar conditions. Thus, it is evident that a high initial germination percentage prior to storage cannot assure the viability and vigour of the seed lot [8]. Seed germination is a dynamic process, so its outcome should be determined by time, rate, synchrony and homogeneity [10,11]. Additionally, the speed or time spread of germination alone can convincingly calculate the germination indices, but miss the “high- or low-germination events” [9] that influence the vigour and stress resistance of the varieties. The parameters extracted from 4-PHF were able to establish a biological interpretation of the process, taking into consideration all the factors mentioned above.
After ageing, the varieties Bhima Kiran, Bhima Shakti, Bhima Shwetha, Bhima Super, Bhima Shubhra, Pusa Riddhi, Pusa Red, Agrifound Light Red, Arka Bheem and Arka Kalyan were classified as “good storers”, as they exhibited a, b, AUC and low early germination parameters, such as TMGR and U values. The lower TMGR and T50 values suggested that the varieties were vigorous and took less time to reach maximum germination. The good storers could achieve high germination capacity, with most of the seedlings emerging in 2.84 days within a narrow time window. Minimizing the spread of seedling emergence over time, as evidenced by the low U, T50 and TMGR values together, can predict the establishment of a uniform crop stand, ensuring that most plants in the population attain similar sizes to contribute to the yield. The other parameter of particular interest was b, which controlled the shape or steepness of the FPHF curve. In the case of good storers, the b value, i.e., the steepness of the curve, was higher, indicating a shorter time between the initiation of germination and maximum germination, and vice versa, which clearly demonstrated the vigour of the seed lot [13].
The germination count data of two varieties, namely Bhima Kiran and Arka Niketan, belonging to the good- and poor-performing clusters, respectively, were subjected to the 4-PHF curve fitting to observe the trend of all of the extracted parameters (representative samples from each cluster are illustrated in Figure 3). The ‘good storer’ showed high germination percentage, with the maximum number of seeds germinating within a short period of time (TMGR, T50 and U), thereby achieving a higher b value, i.e., high-vigour varieties. The progress of ageing led to faster flattening of the FPHF and RoG curves. The TMGR increased in the poor storers, but the change was not remarkable in the good storers with ageing. The 4-PHF parameters extracted by the integration of curve fitting, from time zero (0) to argument tmax, led to the determination of AUC. Thus, AUC represented the area between the two curves, namely the FPHF curve and RoG curve, which was observed to decrease with ageing. Therefore, the AUC for both the classified clusters provided the most comprehensive perspective of the performance of the varieties, as it took into consideration all of the extracted 4-PHF germination-related parameters [12,13].
Correlation studies between various parameters suggested that, with the advent of the deterioration process, the germination percentage decreased, and the seeds took a longer time to reach the maximum germination count. Parameter b was positively correlated with T50 and TMGR in the unaged varieties, whereas an inverse correlation was seen in the aged varieties. This suggested that the varieties with higher vigour had a steep curve, whereas those with low vigour had a flat curve. Uniformity did not show a significant correlation with any of the parameters under unaged conditions, but was significantly correlated with all parameters, except for the germination count and AUC under ageing. Poor storers showed a non-uniform emergence i.e., spread of germination and seedling establishment, as compared with good storers. A positive correlation between SVI-I and AUC reconfirmed the suitability of using AUC for classifying seed lots in different clusters, as it is an integrated measure of all parameters.
5. Conclusions
Thus, our study showed that the parameter AUC extracted from 4-PHF was found to provide the most comprehensive evaluation of the performance of the varieties, which was decisive in the classification of the onion varieties into good or poor storer categories. The 4-PHF mathematical model could predict the susceptibility of a variety to deterioration. Hence, based on the information generated by 4-PHF, differential packaging and storage protocols for good and poor storer varieties could be developed to improve the shelf life of onions.
Author Contributions
Conceptualization, S.B. and A.A.; methodology, S.B. and A.A.; formal analysis, S.K. and J.A.; investigation, S.K.; resources, S.B.; data curation, S.K.; writing—original draft preparation, S.K.; writing—review and editing, S.B. and A.A.; visualization, S.K.; supervision, S.B. and A.A.; project administration, S.B. All authors have read and agreed to the published version of the manuscript.
Funding
This research received no external funding.
Institutional Review Board Statement
Not applicable.
Informed Consent Statement
Not applicable.
Data Availability Statement
The data sets generated for this study are available on request to the corresponding author.
Acknowledgments
The Senior Research Fellowship provided by ICAR–Indian Agricultural Research Institute, New Delhi, India to the first author during his doctoral studies is acknowledged.
Conflicts of Interest
The authors declare that there are no conflict of interest.
References
- NHB (National Horticulture Board, India). 2021. Available online: https://agriexchange.apeda.gov.in/India%20Production/India_Productions.aspx?cat=Vegetables&hscode=1080 (accessed on 7 July 2022).
- Rajjou, L.; Debeaujon, I. Seed longevity: Survival and maintenance of high germination ability of dry seeds. C. R. Biol. 2008, 331, 796–805. [Google Scholar] [CrossRef] [PubMed]
- Groot, S.P.C.; Surki, A.A.; De Vos, R.C.H.; Kodde, J. Seed storage at elevated partial pressure of oxygen, a fast method for analysing seed ageing under dry conditions. Ann. Bot. 2012, 110, 1149–1159. [Google Scholar] [CrossRef] [PubMed]
- Bhanuprakash, K.; Yogeesha, H.S.; Naik, L.B.; Arun, M.N. Studies on physiological and biochemical changes in relation to seed viability in aged onion seeds. J. Hort. Sci. 2006, 1, 15–18. [Google Scholar]
- Mohamed-Yasseen, Y.; Costanza, S.; Splittstoesser, W. Onion seed anatomy in relation to aging. J. Veg. Crop. Prod. 1996, 1, 51–69. [Google Scholar] [CrossRef]
- Amalfitano, C.; Golubkina, N.A.; Del Vacchio, L.; Russo, G.; Cannoniero, M.; Somma, S.; Morano, G.; Cuciniello, A.; Caruso, G. Yield, antioxidant components, oil content, and composition of onion seeds are influenced by planting time and density. Plants 2019, 8, 293. [Google Scholar] [CrossRef] [PubMed]
- Delouche, J.C.; Baskin, C.C. Accelerated aging techniques for predicting the relative storability of varieties. Seed Sci. Tech. 1973, 1, 427–452. [Google Scholar]
- Kader, M.A. A comparison of seed germination calculation formulae and the associated interpretation of resulting data. J. Proc. R. Soc. N. S. W. 2005, 138, 65–75. [Google Scholar]
- Tipton, J.L. Evaluation of three growth curve models for germination data analysis. J. Am. Hort. Soc. 1984, 109, 451–454. [Google Scholar]
- Brown, R.F.; Mayer, D.G. Representing cumulative germination. 2. The use of the Weibull function and other empirically derived curves. Ann. Bot. 1988, 61, 127–138. [Google Scholar] [CrossRef]
- Dell, T.R.; Robertson, J.L.; Haverty, M.I. Estimation of cumulative change of state with the Weibull function. Bull. Eco. Soc. Amer. 1983, 64, 38–40. [Google Scholar] [CrossRef]
- Brown, R.F.; Mayer, D.G. Representing cumulative germination. 1. A critical analysis of single-value germination indices. Ann. Bot. 1988, 61, 117–125. [Google Scholar] [CrossRef]
- El-Kassaby, Y.A.; Moss, I.; Kolotelo, D.; Stoehr, M. Seed germination: Mathematical representation and parameters extraction. Forest Sci. 2008, 54, 220–227. [Google Scholar]
- Aravind, J.; Vimala, D.; Radharani, J.; Jacob, S.R.; Srinivasa, K. The Germinationmetrics Package: A Brief Introduction; ICAR-National Bureau of Plant Genetic Resources: New Delhi, India, 2019; Available online: https://aravind-j.github.io/germinationmetrics/articles/Introduction.html (accessed on 7 July 2022).
- Abdul-Baki, A.A.; Anderson, J.D. Vigor determination in soybean seed by multiple criteria. Crop. Sci. 1973, 13, 630–633. [Google Scholar] [CrossRef]
- Julkowska, M.M.; Saade, S.; Agarwal, G.; Gao, G.; Pailles, Y.; Morton, M.; Awlia, M.; Tester, M. MVapp—Multivariate analysis application for streamlined data analysis and curation. Plant Physiol. 2019, 180, 1261–1276. [Google Scholar] [CrossRef] [PubMed]
- International Seed Testing Association. International Rules for Seed Testing; ISTA: Baaserdorf, Switzerland, 2015; Volume 215. [Google Scholar]
- Thirusendura Selvi, D.; Saraswathy, S. Seed viability, seed deterioration and seed quality improvements in stored onion seeds: A review. J. Hortic. Sci. Biotechnol. 2018, 93, 1–7. [Google Scholar] [CrossRef]
- Roberts, S. Vegetable Seed Quality, Storage and Handling: AHDB Factsheet; Agriculture and Horticulture Development Board: Kenilworth, England, 2018. [Google Scholar]
- Tian, X.; Song, S.; Lei, Y. Cell death and reactive oxygen species metabolism during accelerated ageing of soybean axes. Russ. J. Plant Physiol. 2008, 55, 33–40. [Google Scholar] [CrossRef]
Disclaimer/Publisher’s Note: The statements, opinions and data contained in all publications are solely those of the individual author(s) and contributor(s) and not of MDPI and/or the editor(s). MDPI and/or the editor(s) disclaim responsibility for any injury to people or property resulting from any ideas, methods, instructions or products referred to in the content. |
© 2023 by the authors. Licensee MDPI, Basel, Switzerland. This article is an open access article distributed under the terms and conditions of the Creative Commons Attribution (CC BY) license (https://creativecommons.org/licenses/by/4.0/).




