Abstract
Lettuce is the most widely consumed leafy vegetable in the world. Its quality and yield depend highly on the growing conditions, including the growing substrate. Peat is commonly used as a growing substrate, but there is an increasing interest in finding alternatives to reduce peat usage. One potential alternative is vermicompost, and this study aims to investigate the impact of vermicompost as an additive to a peat substrate on the quality of lettuce seedlings and yield. This research was carried out in a greenhouse covered with a polymer film at the Institute of Horticulture of the Lithuanian Agricultural and Forestry Research Center. Lettuce seedlings were grown in peat with varying amounts of vermicompost (0%, 10%, 20%, 30%, 40%, or 50% vermicompost). Various parameters such as lettuce growth, biometric data, the content of pigments in the leaves, and the accumulation of elements (N, P, K, Ca, Mg) were evaluated. The addition of vermicompost, regardless of its amount, significantly increased plant height (from 7.5 cm in control up to 10.9–11.3 cm with vermicompost), the number of leaves (up to 4.2–4.6), the leaf area (up to 107–131 cm2), and the percentage of dry matter accumulation (up to 6.4–7.5%). Vermicompost also had a positive effect on photosynthesis, resulting in higher yields and a better quality of lettuce. The summarized research results demonstrate the potential of using vermicompost in the production of high-quality lettuce.
1. Introduction
Lettuce (Lactuca sativa L.) is recognized as the most widely consumed leafy vegetable globally. Its popularity can be attributed to its capacity to thrive in diverse climate zones and its adaptability to various growing systems, both indoors and outdoors. Lettuce can be cultivated in greenhouses, open fields, hydroponic systems, aeroponic setups, and various substrates [1,2,3,4]. Additionally, lettuce is valued for its beneficial chemical composition. This leafy green is an exceptional source of vitamins A, C, and K, as well as provitamin A, beta-carotene, folic acid, and iron. Furthermore, it serves as a significant source of dietary fiber [5,6,7]. The integration of lettuce’s numerous valuable properties with its swift growth rate renders it a particularly advantageous plant in both agricultural and nutritional contexts.
However, the quality and yield of lettuce are significantly influenced by the choice of growing substrate. There is currently a wide variety of growing media available, making it challenging to choose the most suitable option. Peat is a commonly used substrate; however, due to the degradation of peatlands and the importance of their restoration, there is increasing interest in finding alternatives to limit peat usage [8,9]. To reduce peat consumption, researchers are looking for sustainable and organic materials that can serve as effective replacements [10,11,12]. Studies of lettuce cultivation in different substrates (peat, coconut, zeolite, sand mixtures, etc.) by other scientists have yielded various results on the variation in lettuce growth parameters. The selection of an appropriate substrate composition is essential for improving the quality of lettuce [13].
One potential alternative is vermicompost. Vermicompost is a nutrient-rich organic amendment that provides essential nutrients in a form that is readily accessible to plants [12,14,15]. Vermicompost is characterized by its slow-release capabilities, which significantly minimize nutrient loss compared to conventional fertilizers [16]. Research findings demonstrate that vermicompost typically contains an average of 1.5 to 2.2% nitrogen (N), 1.8 to 2.2% phosphorus (P), and 1.0 to 1.5% potassium (K). Furthermore, the organic carbon content ranges from 9.15% to 17.98%, accompanied by varying concentrations of numerous micronutrients [17,18]. Research indicates that the supplementation of vermicompost can enhance the quality of lettuce seedlings; however, findings demonstrate variability in the levels of vermicompost required to achieve statistically significant results [19,20].
To maximize the potential benefits of vermicompost, it is crucial to determine the most effective vermicompost additive to a peat substrate. This understanding will enable us to achieve high-quality, efficient yields while minimizing investment costs. Thus, this study aims to investigate the impact of vermicompost as an additive to a peat substrate on the quality of lettuce seedlings and yield.
2. Materials and Methods
The investigations were carried out at the Institute of Horticulture, Lithuanian Research Centre for Agriculture and Forestry (55°60′ N, 23°48′ E), Babtai, Lithuania. Lettuce (Lactuca sativa) was grown in a greenhouse in soil. The day/night temperatures of 23 ± 2/16 ± 2 °C and relative air humidity of 70 ± 10% were maintained. The investigation object was the variety ‘Grand Rapids’. The lettuces were sown at the end of March. Lettuce seeds were sown directly into trays (64 cells) filled with a substrate. Different substrates were investigated: peat (Profi 1, Durpeta, Lithuania), peat + 10% vermicompost (P + 10%), peat + 20% vermicompost (P + 20%), peat + 30% vermicompost (P + 30%), peat + 40% vermicompost (P + 40%), and peat + 50% vermicompost (P + 50%). Peat was characterized as follows: pHKCl 5.3–5.5, electrical conductivity (EC) 1.2 mS/cm, nitrogen (N) 0.018%, total phosphorus (P2O5) 0.005%, total potassium (K2O) 0.012%. Vermicompost was characterized as follows: pHKCl 5.5–6.5, electrical conductivity (EC) 1.0 mS/cm, organic matter 88%, total nitrogen (N) 0.2%, total phosphorus (P2O5) 0.02%, total potassium (K2O) 0.06%. Lettuce was watered as needed to maintain soil moisture at about 70–75% FWC. At the beginning of May, the seedlings were transplanted in the greenhouse, all into the same soil, according to a planting scheme of 20 × 15 cm. Three replications were performed in a randomized block design.
The biometrical observations were carried out at the end of the seedling growth—30 days after sowing. The seedling height was measured to the tip of the youngest leaf. The leaf area of the seedlings was measured by a “WinDias” leaf area meter (Delta-T Devices Ltd. Co-operative company, Cambridge, UK). These measurements were performed in ten replicates (n = 10). To determine the dry matter content in lettuce leaves, they were dried in a drying oven (Venticell, MBT, 2, Brno, Czech Republik) at 105 °C for 24 h. The measurements were performed in four replicates (n = 4).
Chlorophyll a and b and total carotenoid content were determined by the modified spectrophotometric method of Hu et al. [21]. Lettuce extract was prepared in 80% ethanol in a fridge at 4 °C. Centrifugated samples were measured at 470 nm, 645 nm, and 662 nm. The results were calculated according to the following formulas [22]:
Chl a = 11.75 × (662 nm) − 2.35 × (645 nm)
Chl b = 18.61 × (645 nm) − 3.96 × (662 nm)
Car (xanthopyll + carotenes) = (1000 × (470 nm) −2.27 × (Chl a) − 81.4 × (Chl b)/227
The net assimilation rate (NAR) of a plant is defined as its growth rate per unit leaf area for any given period (day). It was calculated as follows:
where LA is leaf area (cm2) and dW/dt is the change in plant dry mass per unit time.
NAR (g cm–2 d–1) = (1/LA) (dW/dt),
The mineral element content was determined in plant leaves. The total nitrogen in plant leaves was determined by the Kjeldahl method; phosphorus, calorimetrically; potassium, by the flame photometric method; and calcium and magnesium, by atomic absorption spectrometric methods.
MS Excel Version 2010 and XLStat 2022 Data Analysis and Statistical Solution for Microsoft Excel (Addinsoft, Paris, France) statistical software were used for data processing. Analysis of variance (ANOVA) was carried out along with the Tukey multiple comparisons test for statistical analyses, p ≤ 0.05. In the absence of significant differences between years, the average of the two years is given.
3. Results
Vermicompost significantly increased lettuce growth (Table 1). Plant height and leaf number increased by 41–55% and 6.8–16.6%, respectively, regardless of the amount of vermicompost. At the same time, lettuce grown with vermicompost accumulated up to 21.5–45.1% higher content of dry matter compared to lettuce grown in a peat substrate. At the same time, vermicompost increased the leaf area; the highest leaf area was determined in treatments with 20% vermicompost, and it was 42% higher compared to the leaf area in the treatments with peat without vermicompost.
Table 1.
The effect of vermicompost on lettuce growth. The data were processed using a one-way analysis of variance (ANOVA) and the Tukey (HSD) test at the confidence level p = 0.05. The different letters in blocks indicate significant differences.
The addition of vermicompost to peat significantly affected the pigment content of lettuce leaves (Figure 1). The addition of vermicompost significantly increased the chlorophyll a and carotenoid content, independent of the amount of vermicompost (Figure 1a,c). With the addition of vermicompost to a peat substrate, the chlorophyll a content increased 17–24% and the carotenoid content increased 15–38% compared to peat. Meanwhile, 10% and 40% vermicompost addition decreased chlorophyll b (Figure 1b).
Figure 1.
The effects of vermicompost on the pigment (chlorophyll a (a), chlorophyll b (b), carotenoids (c)) changes in lettuce leaves. The data were processed using a one-way analysis of variance (ANOVA) and the Tukey (HSD) test at the confidence level p = 0.05. Different letters indicate significant differences between treatments.
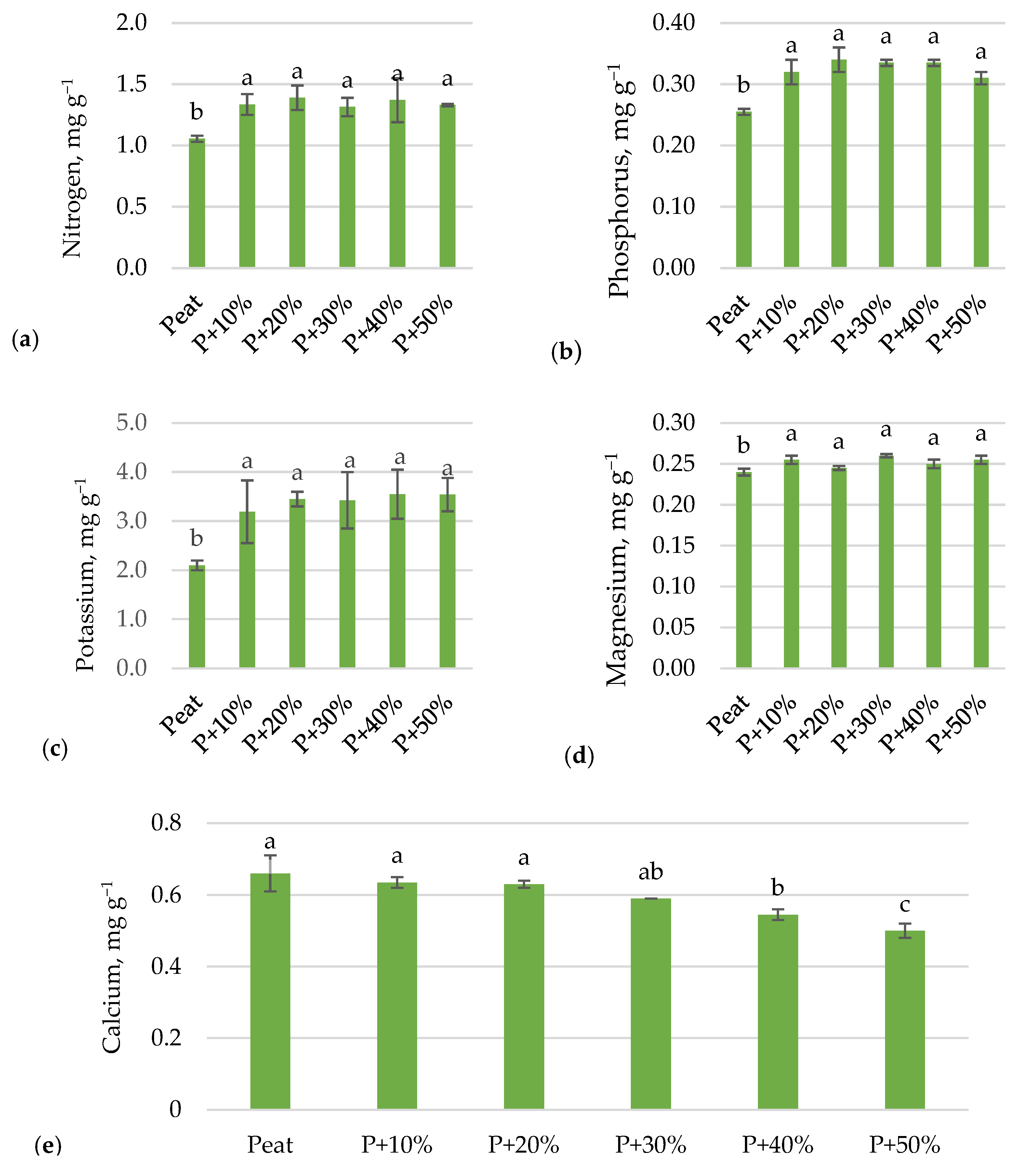
Incorporating vermicompost into a peat substrate significantly enhanced the nitrogen, potassium, phosphorus, and magnesium levels in lettuce leaves, regardless of the quantity of vermicompost used (Figure 2). Compared to lettuce grown in a peat substrate, the amount of nitrogen in lettuce increased up to 24–31% (Figure 2a); potassium, up to 31–33% (Figure 2b); phosphorus, up to 63–64% (Figure 2c); and magnesium, up to 2–8% (Figure 2d). Meanwhile, a decreasing trend was observed for calcium with increasing vermicompost content. Adding 40% and 50% vermicompost significantly decreased the calcium content to 5 and 11%, respectively, compared to lettuce grown on a peat substrate (Figure 2e).
Figure 2.
The effects of vermicompost on the accumulation of the elements in lettuce leaves. The data were processed using a one-way analysis of variance (ANOVA) and the Tukey (HSD) test at the confidence level p = 0.05. Different letters indicate significant differences between treatments.
The application of vermicompost has demonstrated a significant positive impact on the photosynthetic system of lettuce (Figure 3). Specifically, the incorporation of 10% vermicompost resulted in a higher enhancement of photosynthetic activity, with an increased assimilation rate of up to 12% compared to lettuce cultivated on a peat substrate.
Figure 3.
The effects of vermicompost on the net assimilation rate in lettuce leaves. The data were processed using a one-way analysis of variance (ANOVA) and the Tukey (HSD) test at the confidence level p = 0.05. Different letters indicate significant differences between treatments.
Vermicompost had a significant positive impact on lettuce yield (Figure 4). The addition of vermicompost to the growing substrate resulted in larger lettuce heads, with an average weight increase of 26% to 46% compared to those grown in a peat substrate (Figure 4a). When examining the yield per square meter, lettuce production increased from 1.42 kg to between 1.79 kg and 2.0 kg per square meter, regardless of the amount of vermicompost used (Figure 4b).
Figure 4.
The effects of vermicompost on the lettuce size (a) and yield (b). The data were processed using a one-way analysis of variance (ANOVA) and the Tukey (HSD) test at the confidence level p = 0.05. Different letters indicate significant differences between treatments.
Following an analysis of the indicators studied through principal component analysis, it is evident that the treatments were categorized into three distinct groups (Figure 5). The peat substrate was delineated from all treatments incorporating vermicompost, suggesting that the inclusion of vermicompost yields significant enhancements compared to peat alone. Additionally, the treatments with 20% and 30% vermicompost were classified into one group, while those with 10%, 40%, and 50% vermicompost formed another group.
Figure 5.
Principal component analysis (PCA) of the vermicompost effect on the quality of lettuce seedlings and plant productivity.
4. Discussion
Lettuce is commonly used as a model plant for various studies because of its rapid growth and strong response to different environmental factors. Additionally, lettuce plays a significant role in the human diet, making research on it crucial not only for quickly verifying the effectiveness of tested methods but also for discovering ways to enhance its quality.
Research has demonstrated the potential of vermicompost in promoting lettuce growth, with some studies suggesting that an addition of 40% to 50% vermicompost may be necessary to achieve beneficial outcomes [13,19,20]. In contrast, the results of our study indicate that the addition of as little as 10% vermicompost can result in increased plant height and leaf production (Table 1). Moreover, lettuce cultivated in a substrate with a 20% vermicompost addition exhibited the highest accumulation of dry matter and the largest leaf size (Table 1). These findings illustrate that even a modest addition of vermicompost to a peat substrate can effectively stimulate the growth of lettuce. The amount of vermicompost needed to achieve significant results may vary depending on the composition of the vermicompost, the lettuce variety, and the growing conditions. The other two studies used oakleaf lettuce, which may have a different nutrient uptake than the “Grand Rapids” lettuce studied in our experiment [17,18]. Furthermore, in our study, vermicompost was used mixed with a peat substrate. Meanwhile, in the other study discussed, a mixture of coconut, zeolite, and sand was used instead of a peat substrate [11]. Such results highlight the importance of studies not only under different conditions but also with different varieties. Vermicompost has demonstrated significant efficacy in enhancing the growth of lettuce in outdoor cultivation. The incorporation of vermicompost as a soil amendment facilitates the development of larger and more vigorous lettuce plants [23].
Previous studies involving cucumber seedlings have shown significant success in enhancing the plant’s photosynthetic mechanisms [24]. In contrast, research on strawberry plants has not demonstrated a notable effect on leaf pigments [25]. However, our findings indicate that supplementing the substrate with vermicompost results in increased chlorophyll concentration in the leaves of treated plants (Figure 1). This enhancement promotes a more active photosynthetic process and improves light utilization efficiency (Figure 3). Additionally, there is a marked increase in carotenoid levels within lettuce, which not only encourages healthier plant growth but also boosts its nutritional value for human consumption (Figure 1). The increase in carotenoid content (as well as chlorophyll a) in lettuce between different vermicompost additives differed slightly. Thus, as with biometric indicators, the content of pigments also indicates that only 10% vermicompost is sufficient to achieve significant efficiency.
Elements significantly influence the quality of lettuce. Our research indicates that the incorporation of vermicompost enhances the accumulation of essential elements, specifically phosphorus, potassium, and magnesium, in lettuce (Figure 2). This finding is corroborated by studies conducted by other researchers [20,26]. However, other researchers did not find a significant effect on elements in lettuce [23]. Meanwhile, our investigations revealed that the inclusion of 30% or more vermicompost results in a reduction in calcium content in the leaves of lettuce (Figure 2). In contrast, the addition of 10% and 20% vermicompost to the growing substrate facilitated the enrichment of lettuce with greater quantities of certain elements, while minimizing the decline of others, notably calcium. The absorption of elements is greatly influenced by their amount in the substrate, especially when supplemented with vermicompost. High amounts of one element can block the absorption of others [27]. In our experiment, a reduced application of vermicompost may have facilitated a higher capacity for nutrient absorption while minimizing the potential for blockages.
When cultivating lettuce, it is essential to consider both its nutritional value and its yield. Growers and consumers prioritize the production of large, aesthetically pleasing lettuce. For growers, attaining the highest yield per unit area is particularly important. Our research indicates that the incorporation of vermicompost substantially enhances both the size of the lettuce and the yield per unit area (Figure 4). Scientific studies suggest that the application of 300 kg of vermicompost per decare can effectively compete with conventional fertilizers while producing commendable lettuce yields [28]. Upon evaluating the yield of lettuce, it was determined that there were no significant differences between the additions of 10% to 50% vermicompost in terms of yield per square meter. However, the treatments involving 30% and 50% vermicompost demonstrated a statistically significant increase in the size of the lettuce compared to the other treatments (Figure 4). In comparing our research data with those of other researchers, we can conclude that vermicompost holds significant potential for enhancing both the yield and size of lettuce. Nonetheless, it is crucial to identify the optimal application rate of vermicompost.
5. Conclusions
Upon evaluating all results, it is advisable to incorporate 20% vermicompost when cultivating lettuce seedlings. This optimal quantity enhances the quality of the lettuce and contributes to a higher yield. Increasing the proportion of vermicompost beyond this recommended amount elevates cultivation costs without yielding significant improvements in quality or yield efficacy.
Author Contributions
Conceptualization, J.J.; methodology, J.J.; formal analysis, V.L.; data curation, K.L.; writing—original draft preparation, K.L. and V.L.; writing—review and editing, J.J.; visualization, V.L.; supervision, J.J. All authors have read and agreed to the published version of the manuscript.
Funding
This research received no external funding.
Institutional Review Board Statement
Not applicable.
Informed Consent Statement
Not applicable.
Data Availability Statement
The raw data supporting the conclusions of this article will be made available by the authors upon request.
Conflicts of Interest
The authors declare no conflicts of interest.
References
- Giménez, A.; Fernández, J.A.; Pascual, J.A.; Ros, M.; Saez-Tovar, J.; Martinez-Sabater, E.; Gruda, N.S.; Egea-Gilabert, C. Promising Composts as Growing Media for the Production of Baby Leaf Lettuce in a Floating System. Agronomy 2020, 10, 1540. [Google Scholar] [CrossRef]
- Fontana, L.; Rossi, C.A.; Hubinger, S.Z.; Ferreira, M.D.; Spoto, M.H.F.; Sala, F.C.; Verruma-Bernardi, M.R. Physicochemical Characterization and Sensory Evaluation of Lettuce Cultivated in Three Growing Systems. Hortic. Bras. 2018, 36, 20–26. [Google Scholar] [CrossRef]
- Frasetya, B.; Harisman, K.; Ramdaniah, N.A.H. The Effect of Hydroponics Systems on the Growth of Lettuce. IOP Conf. Ser. Mater. Sci. Eng. 2021, 1098, 042115. [Google Scholar] [CrossRef]
- Thomas, T.; Biradar, M.S.; Chimmad, V.P.; Janagoudar, B.S. Growth and Physiology of Lettuce (Lactuca Sativa L.) Cultivars under Different Growing Systems. Plant Physiol. Rep. 2021, 26, 526–534. [Google Scholar] [CrossRef]
- Das, R.; Bhattacharjee, C. Chapter 9—Lettuce. In Nutritional Composition and Antioxidant Properties of Fruits and Vegetables; Jaiswal, A.K., Ed.; Academic Press: Cambridge, MA, USA, 2020; pp. 143–157. ISBN 9780128127803. [Google Scholar]
- Sularz, O.; Smoleń, S.; Koronowicz, A.; Kowalska, I.; Leszczyńska, T. Chemical Composition of Lettuce (Lactuca Sativa L.) Biofortified with Iodine by KIO3, 5-Iodo-, and 3.5-Diiodosalicylic Acid in a Hydroponic Cultivation. Agronomy 2020, 10, 1022. [Google Scholar] [CrossRef]
- Shi, M.; Gu, J.; Wu, H.; Rauf, A.; Emran, T.B.; Khan, Z.; Mitra, S.; Aljohani, A.S.M.; Alhumaydhi, F.A.; Al-Awthan, Y.S.; et al. Phytochemicals, Nutrition, Metabolism, Bioavailability, and Health Benefits in Lettuce—A Comprehensive Review. Antioxidants 2022, 11, 1158. [Google Scholar] [CrossRef]
- Doelman, J.C.; Verhagen, W.; Stehfest, E.; van Vuuren, D.P. The Role of Peatland Degradation, Protection and Restoration for Climate Change Mitigation in the SSP Scenarios. Environ. Res. Clim. 2023, 2, 035002. [Google Scholar] [CrossRef]
- Humpenöder, F.; Karstens, K.; Lotze-Campen, H.; Leifeld, J.; Menichetti, L.; Barthelmes, A.; Popp, A. Peatland Protection and Restoration Are Key for Climate Change Mitigation. Environ. Res. Lett. 2020, 15, 104093. [Google Scholar] [CrossRef]
- Paoli, R.; Feofilovs, M.; Kamenders, A.; Romagnoli, F. Peat Production for Horticultural Use in the Latvian Context: Sustainability Assessment through LCA Modeling. J. Clean. Prod. 2022, 378, 134559. [Google Scholar] [CrossRef]
- Erdal, İ.; Aktaş, H.; Yaylacı, C.; Türkan, Ş.A.; Aydın, G.; Hor, Y. Effects of Peat Based Substrate Combinations on Mineral Nutrition, Growth and Yield of Tomato. J. Plant Nutr. 2024, 47, 30–48. [Google Scholar] [CrossRef]
- Atzori, G.; Pane, C.; Zaccardelli, M.; Cacini, S.; Massa, D. The Role of Peat-Free Organic Substrates in the Sustainable Management of Soilless Cultivations. Agronomy 2021, 11, 1236. [Google Scholar] [CrossRef]
- Nurhidayati, N.; Machfudz, M.; Basit, A. Yield and Nutritional Quality of Green Leafy Lettuce (Lactuca Sativa L.) under Soilless Culture System Using Various Composition of Growing Media and Vermicompost Rates. Caraka Tani J. Sustain. Agric. 2021, 36, 201. [Google Scholar] [CrossRef]
- Toor, M.D.; Ay, A.; Ullah, I.; Demirkaya, S.; Kızılkaya, R.; Mihoub, A.; Zia, A.; Jamal, A.; Ghfar, A.A.; Di Serio, A.; et al. Vermicompost Rate Effects on Soil Fertility and Morpho-Physio-Biochemical Traits of Lettuce. Horticulturae 2024, 10, 418. [Google Scholar] [CrossRef]
- Mala, S.A. Effects of Vermicompost on the Growth and Antioxidant Property of Grand Rapid Lettuce (Lactuca Sativa L.). Am. J. Agric. Sci. Eng. Technol. 2022, 6, 82–86. [Google Scholar] [CrossRef]
- Yatoo, A.M.; Bhat, S.A.; Ali, M.N.; Baba, Z.A.; Zaheen, Z. Production of Nutrient-Enriched Vermicompost from Aquatic Macrophytes Supplemented with Kitchen Waste: Assessment of Nutrient Changes, Phytotoxicity, and Earthworm Biodynamics. Agronomy 2022, 12, 1303. [Google Scholar] [CrossRef]
- Aslam, Z.; Bashir, S.; Hassan, W.; Bellitürk, K.; Ahmad, N.; Niazi, N.K.; Khan, A.; Khan, M.I.; Chen, Z.; Maitah, M. Unveiling the Efficiency of Vermicompost Derived from Different Biowastes on Wheat (Triticum Aestivum L.) Plant Growth and Soil Health. Agronomy 2019, 9, 791. [Google Scholar] [CrossRef]
- Mupambwa, H.A.; Mnkeni, P.N.S. Optimizing the Vermicomposting of Organic Wastes Amended with Inorganic Materials for Production of Nutrient-Rich Organic Fertilizers: A Review. Environ. Sci. Pollut. Res. 2018, 25, 10577–10595. [Google Scholar] [CrossRef]
- Rozas, A.; Aponte, H.; Maldonado, C.; Contreras-Soto, R.; Medina, J.; Rojas, C. Evaluation of Compost and Biochar as Partial Substitutes of Peat in Growing Media and Their Influence in Microbial Counts, Enzyme Activity and Lactuca Sativa L. Seedling Growth. Horticulturae 2023, 9, 168. [Google Scholar] [CrossRef]
- Urechescu, L.L.; Peticila, A.; Drăghici, E.M. Preliminary Study on the Influence of The Use of Ver-Micompost As A Culture Substrate. Sci. Papers. Ser. B Hortic. 2022, LXVI, 418–423. [Google Scholar]
- Hu, X.; Tanaka, A.; Tanaka, R. Simple Extraction Methods That Prevent the Artifactual Conversion of Chlorophyll to Chlorophyllide during Pigment Isolation from Leaf Samples. Plant Methods 2013, 9, 19. [Google Scholar] [CrossRef]
- Li, Y.; Wang, J.; Du, Y.; Chen, Q. Optimization of an Aerated Fertilizer Irrigation Application Scheme for Tomato Photosynthesis, Yield and Quality in Xi’an, China. Sci. Hortic. 2024, 338, 113743. [Google Scholar] [CrossRef]
- Adiloğlu, S.; Açıkgöz, F.E.; Solmaz, Y.; Çaktü, E.; Adiloğlu, A. Effect of Vermicompost on the Growth and Yield of Lettuce Plant (Lactuca Sativa L. Var. Crispa). Int. J. Plant Soil Sci. 2018, 21, 1–5. [Google Scholar] [CrossRef]
- Jankauskienė, J.; Laužikė, K.; Kavaliauskaitė, D. Effects of Vermicompost on Quality and Physiological Parameters of Cucumber (Cucumis Sativus L.) Seedlings and Plant Productivity. Horticulturae 2022, 8, 1009. [Google Scholar] [CrossRef]
- Azizi Yeganeh, M.; Shahabi, A.A.; Ebadi, A.; Abdossi, V. Vermicompost as an Alternative Substrate to Peat Moss for Strawberry (Fragaria Ananassa) in Soilles Culture. BMC Plant Biol. 2024, 24, 149. [Google Scholar] [CrossRef]
- Çelik, Y. The Effect of Different Doses of Vermicompost and Reduced Chemical Fertilizer (N:P:K) Applications on Yield, Quality and Nutrient Content in Lettuce (Lactuca Sativa L.) Cultivation. Bahçe 2023, 52, 17–23. [Google Scholar] [CrossRef]
- Ozaki, T.; Ambe, S.; Abe, T.; Francis, A.J. Competitive Inhibition and Selectivity Enhancement by Ca in the Uptake of Inorganic Elements (Be, Na, Mg, K, Ca, Sc, Mn, Co, Zn, Se, Rb, Sr, Y, Zr, Ce, Pm, Gd, Hf) by Carrot (Daucus Carota Cv. U.S. Harumakigosun). Biol. Trace Elem. Res. 2005, 103, 69–82. [Google Scholar] [CrossRef]
- Durak, A.; Altuntaş, Ö.; Kutsal, İ.K.; Işık, R.; Karaat, F.E. The Effects of Vermicompost on Yield and Some Growth Parameters of Lettuce. Turk. J. Agric.-Food Sci. Technol. 2017, 5, 1566–1570. [Google Scholar] [CrossRef]
Disclaimer/Publisher’s Note: The statements, opinions and data contained in all publications are solely those of the individual author(s) and contributor(s) and not of MDPI and/or the editor(s). MDPI and/or the editor(s) disclaim responsibility for any injury to people or property resulting from any ideas, methods, instructions or products referred to in the content. |
© 2025 by the authors. Licensee MDPI, Basel, Switzerland. This article is an open access article distributed under the terms and conditions of the Creative Commons Attribution (CC BY) license (https://creativecommons.org/licenses/by/4.0/).




