Next Article in Journal
The Effects of Soil Microbiomes on Preventing Nematode Damage to Rice Plants
Previous Article in Journal
Clustered Regularly Interspaced Short Palindromic Repeats-Cas: A Potential Genome Editing Tool in Crop Improvement
 
 
Font Type:
Arial Georgia Verdana
Font Size:
Aa Aa Aa
Line Spacing:
Column Width:
Background:
Proceeding Paper

Pest and Disease Impact on Tomato Genotypes in a Hedgerow System †

1
Department of Agroecology and Organic Farming, Institute of Rural Development and Sustainable Production, Hungarian University of Agriculture and Life Sciences, Villányi út 29-43, H-1118 Budapest, Hungary
2
Horticultural Research Center, Agriculture Research Corporation (ARC), Wad Madani 126, 11111 Khartoum, Sudan
3
Institute of Technology, Georgikon Campus, Hungarian University of Agriculture and Life Sciences, Deák F. u. 16, H-8360 Keszthely, Hungary
*
Author to whom correspondence should be addressed.
Presented at the 3rd International Electronic Conference on Agronomy, 15–30 October 2023; Available online: https://iecag2023.sciforum.net/.
Biol. Life Sci. Forum 2023, 27(1), 47; https://doi.org/10.3390/IECAG2023-15819
Published: 3 November 2023
(This article belongs to the Proceedings of The 3rd International Electronic Conference on Agronomy)

Abstract

:
Hedgerow systems are capable of modulating the environmental impacts of cultivated species, thus supporting them by providing beneficial ecosystem services. This study focuses on assessing the impact of insect damage caused by potato beetle (Leptinotarsa decemlineata), cotton bollworm (Helicoverpa armigera), fungal infections by (Phytophthora infestans), and wildlife damage from rabbits (Oryctolagus cuniculus) and roe deer (Capreolus capreolus) on three tomato genotypes, ‘Szentlőrinckáta’, ‘ACE55′, and ‘Roma’ produced in a hedgerow system. Plants were grown in random block design on both sides of a hedgerow at the Soroksár experimental field of the Hungarian University of Agriculture and Life Sciences in 2022. The plots were situated at five distances (3 m, 6 m, 9 m, 12 m, and 15 m) from the hedgerow on both windy and protected sides. The results indicate that variety selection has a significant effect on fruit production; ‘ACE55′ yielded less amounts of healthy unripe and ripened fruits compared to ‘Roma’ and ‘Szentlőrinckáta’. Tomato variety, side, and distance significantly influenced insect damage and overall yield in tomato plants. Fungal damage was not significantly affected by variety, side, and distance. Potato beetle damage was more prevalent on the protected side; ‘ACE55‘ had significantly fewer damaged fruits compared to other genotypes. Wild animal damage was significantly affected by distance from the hedgerow. Insect damage was higher on the protected side and lower on the windy side of the hedgerow, depending on insects and survey date. Despite higher insect damage, the protected side generally promoted healthy red and green fruit production, particularly for ‘Roma’ and ‘Szentlőrinckáta’.

1. Introduction

Pests and diseases in tomato production can impact yield and profitability by reducing the economic value of the fruits [1], affecting plant development and yield [2]. Pest and disease control is a critical element of agricultural operations. Disease-resistant traits are advantageous for producers [3]. Infections in the field or during the post-harvest processing significantly impact tomato quantity and quality [4]. Four major fungi damage tomatoes; these are Fusarium wilt (Fusarium oxysporum f. sp. lycopersici), Fusarium crown (Fusarium oxysporum f. sp. radicis-lycopersici), late blight (Phtophthora infestans), and Sclerotinia rot (Sclerotinia sclerotiorum). Late blight, a dangerous disease caused by Phytophthora infestans, causes the most significant losses among them. Helicoverpa armigera, a polyphagous bollworm, is a major economic threat to various crops, including cotton, soybeans, tobacco, chickpea, and pigeon pea [5].
The hedgerow system and other agroforestry methods can benefit sustainable agriculture systems in a variety of ways [6]. These systems support ecosystem services providing habitat for beneficial organisms participating in biological and natural pest control in crop protection. These diverse production systems support environmental cycles and may boost the beneficial microorganisms in the soil, which can act as predators, parasites, and pathogens to the crop phytopathogens and pests. [7,8].
Farmers, producers, are encouraged to switch to agroecological agriculture, in which the activity of phytopathogens and insect pests are controlled by the system. This obviously requires a thorough study of all parts of the agricultural system, as well as a working knowledge of local conditions and basic ecological principles [6,9]. This research aims to evaluate pest and disease infections in three tomato genotypes in an organically managed hedgerow system, comparing performance on windy and protected sides. The results can contribute to sustainable farming practices by providing effective pest and disease management methodology in organic vegetable production.

2. Materials and Methods

2.1. Study Area, Experiment Design, and Plant Material

The experiment took place in the summer season (May–October) of 2022 at the certified organic field of Soroksár Experimental and Research farm of the Hungarian University of Agriculture and Life Sciences. Experimental blocks were positioned at different distances from the hedge (R1, R2, R3, R4, and R5); each distance was three meters farther, with R1 being the closest to and R5 being the farthest from the hedgerows.
The purpose of the genotype selection is to have international varieties (‘ACE55’ and ‘Roma’) for comparability, along with a Hungarian landrace (‘Szentlőrinckáta’). All of them have determinate growth and are suitable for field cultivation. Another important viewpoint was the resistance or tolerance to most common infections of tomato. ‘Szentlőrinckáta’ is a Hungarian landrace with favorable yield having resistance against blight [10]. ‘Roma’ and ‘ACE55’ are commercial varieties with resistance to disease and pests [11,12].
The experimental design employed a random block design (RBD), consisting of five replicates of tree genotypes on both sides, resulting in 2 × 15 plots. Each plot had 8 plants in two rows, 120 plants on each side, and 240 plants in the overall experiment on both sides of the hedgerow strip, accounting for both windy and protected sides. The spacing between plants and rows was set at 60 × 60 cm, resulting in a plant density of 3.5 plants per m2.
Organic plant protection was applied in the experiment. Against insect pests, Dipel (Bacillus thuringiensis, var Kurstaki, BT) was used to control Helicoverpa armigera, applied two times in August, while Laser (Saccharopolyspora spinosa) was sprayed against Leptinotarsa decemlineata in June. We observed the active contribution of beneficial organisms (Coccinella septempunctata and Syrphidae species) to the natural control of aphids [13].

2.2. Measured and Observed Parameters

2.2.1. Insect Damage by Colorado Potato Beetle (Leptinotarsa decemlineata) and Cotton Bollworm (Helicoverpa armigera)

The potato beetle caused damage in the adult and larval stages during June. The damage was visually assessed on the foliage of the tomato plants on 18 June 2022.
On the 10 August, cotton bollworm on the tomato fruits was observed. Data on this damage were collected on 23 August and 30 August.

2.2.2. Fungal Infection by Phytophthora infestans

On 10 August 2022, data was collected regarding the fungal attack caused by Phytophthora infestans. This involved observing and calculating the number of infected fruits that had fallen from the plants. Specifically, fruits affected by fungal diseases such as early blight, late blight, and buckeye rot were carefully enumerated and documented.

2.2.3. Physical Damage by Wild Animals (Rabbit (Oryctolagus cuniculus) and Roe Deer (Capreolus capreolus))

The data on animal damage on the protected and windy sides were collected by quantifying the number of intact fruits on the plants as well as the fallen fruits that were consumed by visiting animals. This assessment was conducted on 10 August 2022.

2.2.4. Harvested Fruit Number and Weight

Fruits were harvested on 5 October and sorted into healthy green and healthy red fruits. Data on four (4) randomly selected middle plants was recorded. The harvested fruits were then also classified into (1) infected, (2) fungal-infected, (3) insect-damaged, and (4) physically damaged fruits, as well as into (5) damaged by wild animals. Within categories, the number of harvested fruits was counted, and their weight was measured directly after harvest using a digital spring balance scale.

2.3. Statistical Analysis

Three-way multivariate analysis of variance (3-way MANOVA) was used, considering factors like variety, side, distance, and interactions. Pillai trace was used as a test statistic. Normality was checked using boxplots, and covariance matrices were checked using Box’s M-test and two-variable scatterplots. Mahalanobis distance was calculated and compared against a chi-square distribution.

3. Results

3.1. Potato Beetle (Leptinotarsa decemlineata) Damage

This study evaluated the impact of variety, side, and distance on potato beetle damage in plants during the vegetation season (Figure 1). The results showed that variety had the most significant effect on insect damage, independent of side and distance. The relationship between varieties and insect damage was consistent across sides and distances. The study also found that ‘ACE55’ had significantly fewer damaged compound leaves compared to ‘Roma’ and ‘Szentlőrinckáta’ as seen in Figure 2.

3.2. Cotton Bollworm (Helicoverpa armigera) Damage

Cotton bollworm damage (Figure 1) was measured on two different days, with significant main effects and interactions observed for both dates (Figure 3). ‘Szentlőrinckáta’ genotype was more susceptible to damage, while ‘ACE55’ and ‘Roma’ showed similar levels of resistance. Side and distance had significant effects on ‘Szentlőrinckáta’, with side and distance having a highly significant effect. The interaction between these factors was also less than 0.001.

3.3. Fungal Damage

Results found no significant main effects or interactions between tomato genotypes and fungal damage, suggesting that they were equally susceptible to damage. The interaction of side and distance did not affect fungal damage levels, and the impact of variety on fungal damage remained consistent regardless of side and distance.

3.4. Wild Animal Damage

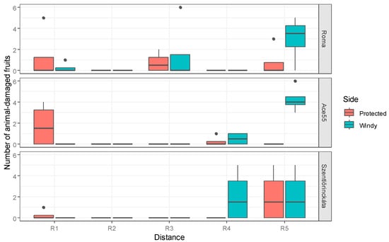
The results found a strong relationship between distance and animal damage (Figure 1) in fruit damage (Figure 4). Larger distances led to more damaged fruits, while windy and protected sides showed different patterns of damage. Distances at R1 showed more damage on the protected side, while R3 and R4 showed more damage on the windy side.

3.5. Tomato Fruit Yield Harvested in Physiological Ripening (Green and Red Stages)

3.5.1. Number of Healthy Green Fruits

The study found a significant impact of variety on the number of healthy green fruits harvested, with both side and distance interactions playing a role (Figure 5). However, the weight of healthy green fruits was only significantly influenced by the plant’s location and distance. ‘Roma’ and ‘Szentlőrinckáta’ were found to be more productive for healthy green fruits, with more fruits harvested on the protected side at R1 and the windy side at R2.

3.5.2. Number of Healthy Red Fruits

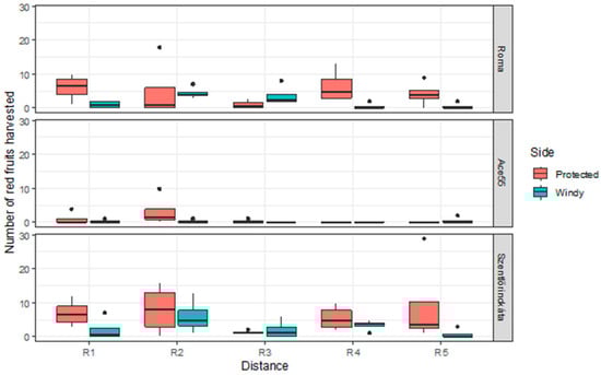
Variety and side significantly impacted the number and weight of healthy red fruits harvested (Figure 6). ‘ACE55’ produced fewer fruits than ‘Roma’ and ‘Szentlőrinckáta’. However, no significant difference was found between the two varieties. The protected side produced more fruits than the windy side, while the distance and all interactions were not significant. The results suggest that variety and side influence fruit production.

4. Discussion

This study investigates the impact of the windy and protected sides of the hedgerow, and the distances from hedgerows on insect, fungal, and wild animal damage of tomato genotypes. Three tomato genotypes, ‘ACE55’, ‘Roma’, and ‘Szentlőrinckáta’, were involved, and plant protection measures were applied according to the organic farming regulations of the European Union. Results show variety is the most significant factor affecting potato beetle damage, while susceptibility to cotton bollworm damage varies among varieties. Side and distance also had a significant impact on potato beetle damage, with more damage observed on the protected side on the ‘Szentlőrinckáta’ genotype. No significant difference was found among genotypes in terms of susceptibility to fungal damage; distance from hedges and sides did not significantly impact fungal damage. Distance and side significantly affected wild animal damage, with larger distances leading to more damage. Farmers should consider distance and take measures to protect crops. Our results revealed that tomato variety and location significantly influence the quantity of healthy green and red fruits. ‘ACE55’ produced fewer fruits than ‘Roma’ and ‘Szentlőrinckáta’, with side and distance interactions affecting fruit weight. The protected side yielded the highest amount of healthy red fruit, while the windy side produced less damaged red fruits, which is in agreement with the results of Nordey et al. [14] on the protected cultivation of vegetable crops in sub-Saharan Africa. Despite insect damage, the protected side was more favorable for establishing healthy, marketable crops, suggesting further research for exploring strategies to reduce insect damage on organically managed tomato fields.

5. Conclusions

This investigation evaluates the impact of insect damage, fungal infection, and wild animal damage on tomato yield on both windy and protected sides of a hedgerow. The results showed that variety had the most significant effect on potato beetle damage, with ‘ACE55’ being more resistant. Side and distance also had a significant impact on potato beetle damage, with more damage observed on the protected side than on the windy side. The choice of tomato variety and location significantly impacted fruit production, with ‘ACE55’ producing fewer healthy green and red fruits compared to ‘Roma’ and ‘Szentlőrinckáta’. The protected side was found to be more favorable for producing healthy red and green fruits. On the other hand, growers should consider that the provided habitat on the wind-protected side can also be favorable for pests. The use of the wind-protected side in agroforestry-type hedgerow systems for tomato production can be recommended—according to our present results—for producing higher amounts of healthier, pest- and disease-free, and infection-free tomato fruits.

Author Contributions

Conceptualization, Z.S., M.M. and L.C.; methodology, J.A.A.; formal analysis and data curation, L.M.; investigation, M.M.; writing original draft preparation, M.M. and J.A.A.; supervision, L.C. and Z.S. All authors have read and agreed to the published version of the manuscript.

Funding

This research received no external funding.

Institutional Review Board Statement

Not applicable.

Informed Consent Statement

Not applicable.

Data Availability Statement

The corresponding author (László Csambalik) can provide supporting data for this study’s findings upon reasonable request.

Conflicts of Interest

The authors declare that this article being submitted is original; they have no known competing financial interests in this manuscript. While carrying out this investigation, we followed ethical standards and processes.

References

  1. Kandel, D.R.; Marconi, T.G.; Badillo-Vargas, I.E.; Enciso, J.; Zapata, S.D.; Lazcano, C.A.; Crosby, K.; Avila, C.A. Yield and fruit quality of high-tunnel tomato cultivars produced during the off-season in South Texas. Sci. Hortic. 2020, 272, 109582. [Google Scholar] [CrossRef]
  2. Mrosso, S.E.; Ndakidemi, P.A.; Mbega, E.R. Farmers’ Knowledge on Whitefly Populousness among Tomato Insect Pests and Their Management Options in Tomato in Tanzania. Horticulturae 2023, 9, 253. [Google Scholar] [CrossRef]
  3. Akino, S.; Takemoto, D.; Hosaka, K. Phytophthora infestans: A review of past and current studies on potato late blight. J. Gen. Plant Pathol. 2014, 80, 24–37. [Google Scholar] [CrossRef]
  4. Olaniyi, J.O.; Akanbi, W.B.; Adejumo, T.A.; Akande, O.G. Growth, fruit yield and nutritional quality of tomato varieties. Afr. J. Food Sci. 2010, 4, 398–402. [Google Scholar]
  5. Clark, M.S.; Ferris, H.; Klonsky, K.; Lanini, W.T.; Van Bruggen, A.H.C.; Zalom, F.G. Agronomic, economic, and environmental comparison of pest management in conventional and alternative tomato and corn systems in Northern California. Agric. Ecosyst. Environ. 1998, 68, 51–71. [Google Scholar] [CrossRef]
  6. Earnshaw, S. Hedgerows for California Agriculture. Inf. Técnico 2004, 95616, 1–18. [Google Scholar]
  7. Wang, Q.; Xu, Z.; Hu, T.; Ur Rehman, H.; Chen, H.; Li, Z.; Ding, B.; Hu, H. Allelopathic activity and chemical constituents of walnut (Juglans regia) leaf litter in walnut–winter vegetable agroforestry system. Nat. Prod. Res. 2014, 28, 2017–2020. [Google Scholar] [CrossRef]
  8. Harterreiten-Souza, É.S.; Togni, P.H.B.; Pires, C.S.S.; Sujii, E.R. The role of integrating agroforestry and vegetable planting in structuring communities of herbivorous insects and their natural enemies in the Neotropical region. Agrofor. Syst. 2014, 88, 205–219. [Google Scholar] [CrossRef]
  9. Brandle, J.R.; Hodges, L.; Zhou, X.H. Windbreaks in North American agricultural systems. In New Vistas in Agroforestry: A Compendium for 1st World Congress of Agroforestry; Springer: Dordrecht, The Netherlands, 2004; pp. 65–78. [Google Scholar] [CrossRef]
  10. Boziné-Pullai, K.; Csambalik, L.; Drexler, D.; Reiter, D.; Tóth, F.; Bogdányi, F.T.; Ladányi, M. Tomato landraces are competitive with commercial varieties in terms of tolerance to plant pathogens-a case study of hungarian gene bank accessions on organic farms. Diversity 2021, 13, 195. [Google Scholar] [CrossRef]
  11. Kathimba, F.K.; Kimani, P.M.; Narla, R.D.; Kiirika, L.M. Characterization of tomato germplasm accessions for breeding research. J. Agric. Biotechnol. Sustain. Dev. 2021, 13, 20–27. [Google Scholar] [CrossRef]
  12. Belhachemi, A.; Maatoug, M.; Amirat, M.; Dehbi, A. A Study of the growth and yield of Solanum lycopersicum under greenhouses differentiated by the LDPE cover-film. Ukr. J. Ecol. 2020, 10, 69–75. [Google Scholar] [CrossRef]
  13. Garratt, M.P.; Senapathi, D.; Coston, D.J.; Mortimer, S.R.; Potts, S.G. The benefits of hedgerows for pollinators and natural enemies depends on hedge quality and landscape context. Agric. Ecosyst. Environ. 2017, 247, 363–370. [Google Scholar] [CrossRef]
  14. Nordey, T.; Basset-Mens, C.; De Bon, H.; Martin, T.; Déletré, E.; Simon, S.; Parrot, L.; Despretz, H.; Huat, J.; Biard, Y.; et al. Protected cultivation of vegetable crops in sub-Saharan Africa: Limits and prospects for smallholders. A review. Agron. Sustain. Dev. 2017, 37, 53. [Google Scholar] [CrossRef]
Figure 1. Symptoms of damages caused by pests (1), fungi (2), and wild animals (3) on tomato fruit These figures are cited by the author (Z Szalai 1, 2 and Mohammed 3, 2022).
Figure 1. Symptoms of damages caused by pests (1), fungi (2), and wild animals (3) on tomato fruit These figures are cited by the author (Z Szalai 1, 2 and Mohammed 3, 2022).
Blsf 27 00047 g001
Figure 2. Number of leaves damaged by potato beetle, categorized by variety, side, and distance, with whiskers representing maximum and minimum damage, and dots representing outliers.
Figure 2. Number of leaves damaged by potato beetle, categorized by variety, side, and distance, with whiskers representing maximum and minimum damage, and dots representing outliers.
Blsf 27 00047 g002
Figure 3. Number of fruits damaged by cotton bollworm (Helicoverpa armigera) by variety, side, and distance, with whiskers representing maximum and minimum damage, and dots representing outliers.
Figure 3. Number of fruits damaged by cotton bollworm (Helicoverpa armigera) by variety, side, and distance, with whiskers representing maximum and minimum damage, and dots representing outliers.
Blsf 27 00047 g003
Figure 4. Number of tomato fruits damaged by wild animals (Capreolus capreolus) visualized with box-plot diagram. Whiskers represent maximum and minimum damage, and dots representing outliers.
Figure 4. Number of tomato fruits damaged by wild animals (Capreolus capreolus) visualized with box-plot diagram. Whiskers represent maximum and minimum damage, and dots representing outliers.
Blsf 27 00047 g004
Figure 5. Number of healthy green harvested fruits by variety, side, and distance, with the median representing the number of fruits, whiskers representing damage, and dots representing outliers.
Figure 5. Number of healthy green harvested fruits by variety, side, and distance, with the median representing the number of fruits, whiskers representing damage, and dots representing outliers.
Blsf 27 00047 g005
Figure 6. Number of healthy red harvested fruits by variety, side, and distance, with the median representing the number of fruits, whiskers representing damage, and dots representing outliers.
Figure 6. Number of healthy red harvested fruits by variety, side, and distance, with the median representing the number of fruits, whiskers representing damage, and dots representing outliers.
Blsf 27 00047 g006
Disclaimer/Publisher’s Note: The statements, opinions and data contained in all publications are solely those of the individual author(s) and contributor(s) and not of MDPI and/or the editor(s). MDPI and/or the editor(s) disclaim responsibility for any injury to people or property resulting from any ideas, methods, instructions or products referred to in the content.

Share and Cite

MDPI and ACS Style

Mustafa, M.; Adjei, J.A.; Menyhárt, L.; Csambalik, L.; Szalai, Z. Pest and Disease Impact on Tomato Genotypes in a Hedgerow System. Biol. Life Sci. Forum 2023, 27, 47. https://doi.org/10.3390/IECAG2023-15819

AMA Style

Mustafa M, Adjei JA, Menyhárt L, Csambalik L, Szalai Z. Pest and Disease Impact on Tomato Genotypes in a Hedgerow System. Biology and Life Sciences Forum. 2023; 27(1):47. https://doi.org/10.3390/IECAG2023-15819

Chicago/Turabian Style

Mustafa, Mohammed, Joel Ayebeng Adjei, László Menyhárt, László Csambalik, and Zita Szalai. 2023. "Pest and Disease Impact on Tomato Genotypes in a Hedgerow System" Biology and Life Sciences Forum 27, no. 1: 47. https://doi.org/10.3390/IECAG2023-15819

APA Style

Mustafa, M., Adjei, J. A., Menyhárt, L., Csambalik, L., & Szalai, Z. (2023). Pest and Disease Impact on Tomato Genotypes in a Hedgerow System. Biology and Life Sciences Forum, 27(1), 47. https://doi.org/10.3390/IECAG2023-15819

Article Metrics

Back to TopTop