Abstract
Selection into a County Age Group (CAG; under 10–18) programme is the first step for young aspiring cricketers on their journey to achieving professional status. Recognising that the British South Asian (BSA) community represents 30% of those who play recreational cricket compared to less than 5% of those who are selected to play at the professional level in England and Wales, it is important to better understand the characteristics of selected and non-selected players based on ethnicity to identify potential sociocultural differences during selection. Thus, the purpose of this study was to investigate the multidimensional factors that differentiated between selected and non-selected adolescent male cricketers as well as between White British (WB) and BSA selected players into a CAG programme. A total of 82 male participants aged between 14 and 17 years were included (mean = 15.3 ± 1.1 years: selected n = 33 and non-selected n = 49: WB n = 34, BSA n = 44, Other n = 4). In total, 104 characteristics were measured over nine tests, which were subsequently placed into five overarching factors: (a) physiological and anthropometrical, (b) perceptual–cognitive expertise, (c) psychological, (d) participation history, and (e) socio-cultural influences. A Bayesian binomial regression was performed in rSTAN using a weak normal prior to highlight differentiators in selection as well as differences between WB and BSA selected players. The results highlighted that athleticism, wellbeing and cohesion, the number of older brothers, and being born in birth quarters two and three were positively correlated with player selection into a CAG. Conversely, increases in psychological scores, a greater number of younger brothers and older sisters, as well as antisocial behaviour resulted in a reduced chance of player selection. Finally, several developmental factors (i.e., athleticism, wellbeing and cohesion, psychological distress, and levels of anti-social behaviour) differed based on ethnicity. These exploratory findings serve as a useful opening to highlight there are important differences to consider based on selection and ethnicity in CAG cricket.
1. Introduction
Talent identification (TID i.e., the process of identifying individuals with the potential to achieve expertise in sport) and talent development (TD; i.e., the process of providing the most appropriate developmental environment to realise their potential) programmes are utilised by sporting organisations to foster the development of the next generation of professional athletes [1]. These programmes are highly competitive, not only between athletes who are trialling for a limited number of spaces but also across organisations who are seeking to recruit the best young talent. As such, investments into TID and TD pathways in England and Wales have grown exponentially, with sporting organisations reportedly investing millions of pounds on their youth staffing structures and facilities [2]. In order to maximise potential returns, TID and TD programmes are required to provide both fair and equal opportunities to all who wish to partake [3]. However, several biases have been identified to impact such programmes (see [4] for a review), which inevitably leads to the over-/under-representation of particular communities and groups [5].
In the context of cricket, recent media attention has underscored the under-representation of British South Asian (BSA) and state-educated players within the professional game in England and Wales (e.g., [6]). Indeed, this perception is reinforced by the statistics published in the England and Wales Cricket Board’s (ECB) South Asian Engagement Plan, whereby they identify that the BSA community represents 30% of those who play recreational cricket compared to less than 5% of those who are selected to play at the professional level. Additionally, Brown and colleagues [5] highlighted that, within English male first-class counties cricket, White British (WB) privately educated players were 34 times more likely to progress through a talent development programme (TDP) to professional status (PS) when compared to their BSA state-educated peers. Moreover, previous research has identified that a proportion of the BSA community feel that a White hegemonic dominance in English cricket squanderers opportunities for members of ethnic minority groups to progress as players, coaches, and officials [7,8]. Collectively, these findings suggest a potential racial bias exists during the transition from recreational and youth levels into senior professional levels. As such, realising the mechanisms behind these discrepancies and identifying differences between ethnicities will be key to advancing this field of research and supporting more diversity within organisational structures.
TID and TD research often focuses on isolated domains of sports performance, which fails to appreciate the holistic requirements of TID and TD [9,10]. However, these one-dimensional domains can be combined to create a multi-dimensional theoretical framework for developing expertise. For example, the ecological dynamics framework acknowledges that the development of talent does not solely depend upon any single developmental factor but instead is the combination of multiple factors [11]. When comparing studies that have utilised the ecological dynamics framework to review the TID and TD literature, it is evident that the development of talent is both non-linear and sport-specific (e.g., football: [12]; rugby union: [13]). As such, applying the ecological dynamic framework to the analysis of specific sports highlights the extent to which individual factors can influence the development of an athlete. For instance, participation history, perceptual–cognitive expertise, biomechanical and technical skill, psychological characteristics, physical and anthropometrical measurements, relative age, socio-economic status, and socio-cultural influences have been previously identified to have varying effects on athlete development in cricket (see [14] for a review). Therefore, it is important that TID and TD programmes provide an environment that can objectively measure, monitor, and develop the aforementioned factors for its athletes to provide a more holistic and accurate assessment (e.g., [15]). To help achieve these aims, it is important that researchers capture the holistic nature of the TID and TD processes through multidimensional research designs.
Acknowledging that numerous factors can influence TID and TD, the current study aimed to apply an ecological dynamic approach to investigate the multidimensional factors that differentiated selected and non-selected adolescent male cricketers into a county age group (CAG) programme. Additionally, recognising the large decline in BSA representation through the transition from TDP to PS [5], this study aimed to identify the differences in developmental factors that contributed to WB and BSA players’ selection. The findings from this study could be used to provide practical recommendations for TID and TD key stakeholders in order to help redress the issues outlined in the previous literature (e.g., [5,8]). Based on prior work in this area, we hypothesised that there would be differences in the developmental factors that contribute to WB and BSA players’ selection.
2. Methods
2.1. Sample
A total of 82 male cricketers aged between 14 and 17 years (mean age = 15.3 ± 1.1 years) participated in this study. All participants had reached the final trial stage for a first-class CAG programme, which is the highest level of representation achievable for players of this age range in England and Wales, with the exception of youth regional and international selection [16]. The sample included selected (n = 33) and non-selected (n = 49) trialists. Moreover, from an ethnicity perspective, the sample included WB (n = 34), BSA (n = 44), and Other (i.e., Black British and White Caribbean; n = 4) ethnicities. Further, seven coaches were enrolled as part of the selection process for the trialists (WB: n = 5; BSA: n = 2) and aided in the data collection but were not part of the data analysis process. Ethical approval for this study was granted by the Health, Education, and Life Sciences Faculty Academic Ethics Committee at Birmingham City University (Approval Code: 3402). Written and informed consent was collected from all of the participants and their parents/guardians prior to the study commencing.
2.2. Measures
In total, 104 characteristics were measured over nine tests, which were subsequently categorised into five overarching factors: (a) physiological and anthropometrical, (b) perceptual–cognitive expertise, (c) psychological, (d) participation history, and (e) socio-cultural influences.
2.2.1. Physiological and Anthropometrical
A battery of fitness tests were used to measure the physiological and anthropometrical status of the participants. As cardiovascular fitness has been identified to differentiate between higher- and lower-performing batsmen [17], the Yo-Yo intermittent recovery test was utilised [18]. Further, the standing jump and core strength tests (i.e., side and front planks) were used as they had been previously identified to correlate with superior peak bowling velocity [19]. Additionally, the 20 m sprint test and a “running a two” (i.e., running two 20 m sprints, incorporating a 180 degree turn whilst holding a bat) were included in the battery of physical tests [17].
Participants’ arm span, chest depth, total height, and seated height were measured as they have been previously correlated with superior bowling performances (e.g., [19,20]), as well as participants’ body mass being measured in kilograms (kg) to help calculate maturation levels [21] utilising the Khamis–Roche method. All fitness tests were conducted in an indoor facility where power and speed-based tests were conducted first, proceeded by a suitable recovery break (i.e., >15 min; [22]), followed by the aerobic fitness test. Anthropometrical data were recorded by a trained member of staff prior to fitness testing.
2.2.2. Perceptual–Cognitive Expertise
As per Barney [23], no skill-replicating tests have been identified to differentiate between higher- and lower-performing cricketers. However, several studies have identified that perceptual–cognitive expertise (PCE) has been able to differentiate higher- and lower-performing batters (e.g., [24,25]). As such, this study tested for batting PCE via the methods outlined by Miller and colleagues [25]. Participants were shown a series of videos showcasing bowlers running in to bowl, viewed from the batter’s perspective, and at the moment of release the video was occluded (turned to black). Participants were then tasked with predicting the direction (line and length) of the delivery and more accurate predictions equated to higher scores. Participants completed PCE tests in a classroom-based session prior to physiological testing and were provided with a familiarisation trial tutorial outlining the procedure beforehand.
2.2.3. Psychological
This study applied the Psychological Characteristics of Developing Excellence Questionnaire (PCDEQ) [26], which has been previously validated to evaluate young athletes’ psychological development skills (e.g., [27]). This study applied such measures because previous research has identified psychological characteristics to be key determinants of those who achieve PS (e.g., [28]). Further, cricket has been described as a game which requires the amalgamation of “mental strength” and technical proficiency [29].
Further, this study included a range of previously verified psychosocial questionnaires, including the following: (a) Social Identity Questionnaire for Sport [30], (b) team member exchange [31], (c) Kessler Psychological Distress Scale (K-6 short-form; [32]), (d) leader–member exchange [33], (e) Adolescent MHC-SF [34], (f) Youth Sport Environment Questionnaire [35], (g) Prosocial and Antisocial Behaviour in Sport Scale [36], and (h) Moral Disengagement Scale—Short [37]. These questionnaires were to provide context to wider psychological factors that may impact selection. Players completed these questionnaires in one single document in a classroom session. They were seated at large tables with a space between them. Participants were supervised by a member of the research team and were free to ask questions to clarify sections of the questionnaire if required.
2.2.4. Participation History
As previous research has identified that batters and bowlers likely follow different developmental trajectories towards PS [38], this study implemented a questionnaire seeking to identify the participants’ participation history. Firstly, the questionnaire asked players to highlight the amount of time they had dedicated to cricket-specific activities each year for the past five years. The questionnaire included options where they could specify whether this time had been athlete-led or coach-led. Secondly, participants were asked to identify other sports they had previously undertaken, as well as what age they started/stopped participating in said sport. Lastly, they were asked to elaborate by highlighting roughly how many hours a week they dedicated to each sport.
2.2.5. Socio-Cultural Influences
To analyse socio-cultural differences, all players were asked to complete a questionnaire outlining their background information. The inclusion of this questionnaire serves the purpose of gaining a deeper understanding of the players’ social and cultural backgrounds. This information may potentially reveal valuable insights into its influence on talent selection processes and shed light on any distinctions between White British and British South Asian players. This questionnaire included (a) ethnicity, (b) date of birth, (c) schooling type, (d) city of birth, (e) current home postcode, and (f) number of siblings. Socio-cultural questionnaires were distributed via email prior to the first session and were completed at home by the participants. These questionnaires were then collected at the beginning of the first trial session.
2.3. Procedures
Each player participated in three sessions of testing between October and December 2019. Each session represented one of three categories for testing: (a) physical and anthropological, (b) perceptual–cognitive expertise, and (c) psychological, participation history, and socio-cultural influences. Overall, 104 measures were taken across the nine tests outlined above. All testing was conducted by ECB level three and level four qualified CAG coaches, who were briefed on correct measuring procedures and overseen by the lead researcher. It is important to highlight that the players were selected or non-selected based on the subjective views of the CAG coaches (as a collective), which were informed by previous performances and observations from three trials (1.5 h indoor net and fielding practice) and not the results of tests conducted within this study.
2.4. Data Analysis
Upon analysis, the data had high collinearity, and therefore, a clustering approach was taken to extract the minimum number of key features [39]. The variables were scaled via a standard scaling approach so that, within years, each variable had a mean value of “0”, and across years, the variables had a standard deviation of “1”. Clustering was achieved via an inspection of the dendrogram of the absolute correlation matrix. In essence, features with a large absolute correlation coefficient appear on connected leaves, with a larger absolute correlation leading to the leaves appearing deeper in the plot (see Figure 1) [40].
Figure 1.
A correlation cluster dendrogram demonstrating 73 features associated with selection.
From the dendrogram presented as Figure 1, 21 features were created by averaging the related variables (following the rescaling), flipping the sign of variables where there was a strong inverse correlation with the rest of a cluster (e.g., rescaled town population was inversely correlated with IMD scores and school status, hence town population being reverse coded) [40]. The 21 features are summarised in Table 1 and the correlation dendrogram for the new variables shown in Figure 2. The clustered average features show considerably less collinearity than the raw data, allowing for superior model performance.
Table 1.
Summary of the 21 features and their contributing components.
Figure 2.
Correlation cluster dendrogram for the 21 highlighted features.
Using the 2119 cluster average features, a Bayesian binomial regression was performed in rSTAN using a weak normal prior (location = 0, variance = 6.25). The rSTAN routines used four independent chains drew 3000 realisations per chain following a warmup and thinned the resulting samples to every fourth realisation to avoid auto-correlation. The resulting model showed good convergence with values that were close to “1”, n_eff values well in excess of “0.5”, and values of BFMI well in excess of “0.5”. From the binomial regression, 90% posterior intervals for each feature effect were constructed from the posterior samples and are displayed in Figure 3.
Figure 3.
Model of main effect terms for the effect of each feature on selection, allowing for different baseline rates between White and BSA players.
Features were considered of interest if there was substantial evidence that the coefficient was not zero as measured by the Bayes factor. The Bayes factor, K, is defined as
where and are the hypothesis that the coefficient is greater than and less than one, respectively, and D is the posterior realisations. Using the Bayes factor, values of K > 4 are substantial evidence for , K < 1\4 are substantial evidence for , and other values are insubstantial.
3. Results
The main effects analysis summarised in Figure 3 highlights eight key features that affect player selection, with WB being negatively associated with selection. Further, increases in the following features correlated with a reduction in players’ likelihood to be selected: (a) feature 8 (psychological factors), (b) features 16 and 17 (number of older sisters), and (c) feature 19 (levels of antisocial behaviour). Conversely, the features that increased a player’s likelihood of selection were as follows: (a) feature 1 (athleticism), (b) feature 3 (wellbeing and cohesion), (c) feature 15 (number of younger brothers), and (d) features 20 and 21 (born in quarters two and three, respectively).
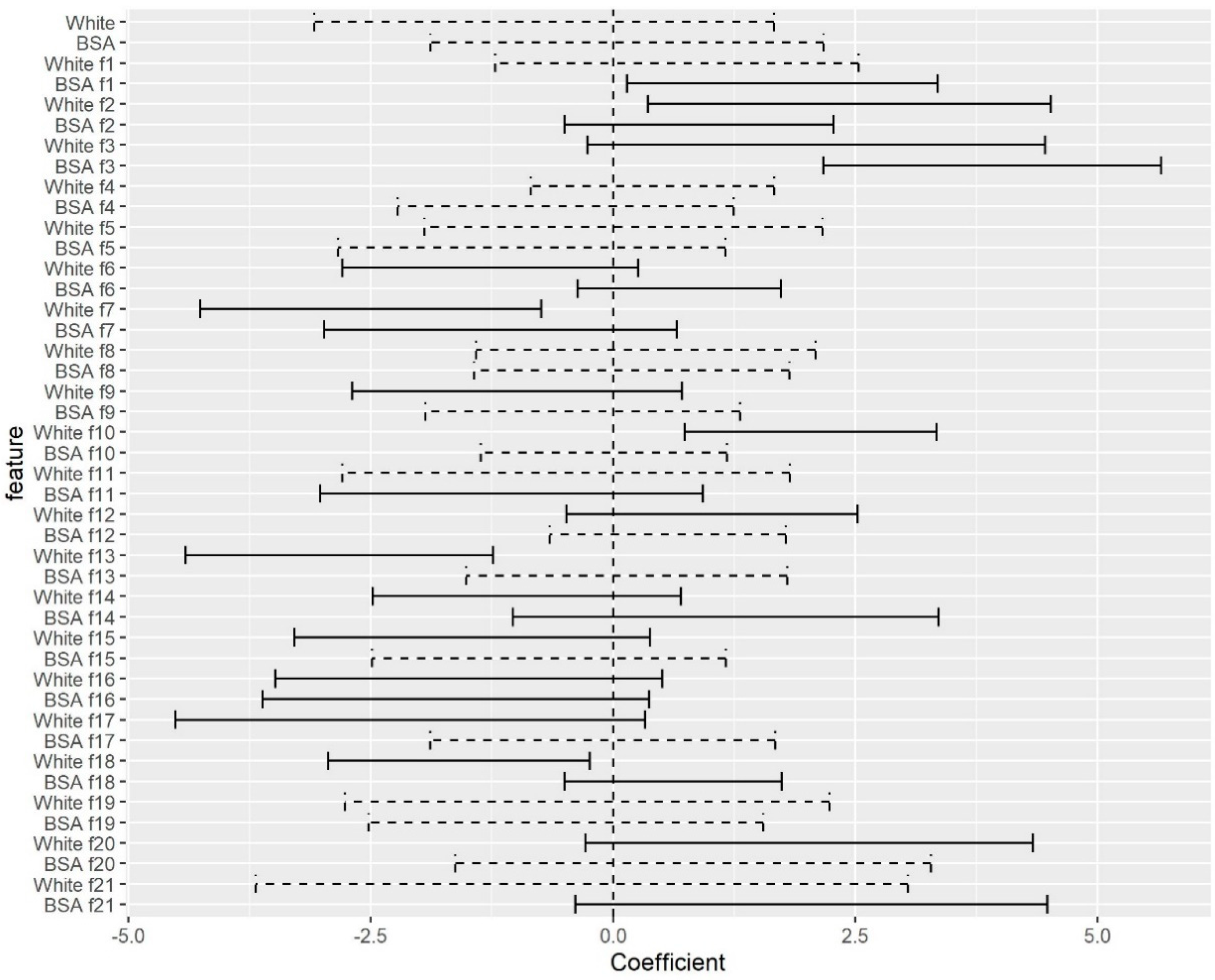
Having analysed the main effects model, a second model was fit to the data allowing for each feature to interact with the ethnicity status (a different coefficient for WB or BSA player). The posterior intervals are summarised in Figure 4. To aid understanding, the features were compared in pairs based on BSA status to identify if there was substantial evidence (Bayes factor > 4) for a difference in a features effect based on BSA status, with the resulting posterior intervals presented in Figure 4. Upon completion, eleven of the features had a different effect on selection depending on ethnicity.
Figure 4.
Effect of each feature as a function of BSA status. Solid intervals are those with suitably large Bayes factor values to conclude substantial evidence of an effect.
Feature 1—increases in athleticism increased the likelihood of both WB and BSA players being selected. However, this was of more importance for BSA players. Feature 2—higher levels of exchange increased both WB players’ and BSA players’ chance of selection. However, this was of more importance for WB players. Feature 3—wellbeing and cohesion scores were positively correlated with selection for both WB and BSA, though the effect was greater amongst BSA players. Feature 6—an increase in Kesler psychological distress scale scores were correlated with a reduction in the likelihood for WB players to be selected and were correlated with an increased likelihood of selection for BSA players. Feature 7—increased psychological scores correlated with a lower likelihood of selection, though the effect was stronger amongst WB players. Feature 10—increased scores on moral disengagement were correlated with an increased likelihood for selection amongst WB players but had no effect on selection for BSA players. Feature 13—increases in individual practice were correlated with a reduced likelihood to be selected amongst WB players, with no effect for BSA players. Feature 14—an increasing number of older brothers was correlated with selection for BSA players, whereas there was no correlation for WB players. Feature 17—fewer younger sisters was correlated with selection for WB players, whereas there was no correlation for BSA players. Feature 18—increased antisocial behaviour reduced the likelihood for WB players to be selected, but increased the likelihood for BSA players to be selected. Feature 21—being born in birth quarter three was correlated with selection for BSA players but had no effect amongst WB players.
4. Discussion
The present study aimed to identify the developmental factors that contributed towards adolescent male CAG cricketers’ selection, as well as identify any disparities between successful WB and BSA players. The results of the present study highlighted several developmental factors that correlate both positively and negatively with selection. Interestingly, being WB was negatively associated with selection, which aligned with Brown and colleagues [14] who identified an over-representation of BSA cricketers within CAG systems. Furthermore, several developmental factors were stronger considerations subject to a participant’s ethnicity. Most of these factors aligned with stereotypes highlighted by the previous literature and in the media (e.g., athleticism; [41]). As such, it could be suggested that these stereotypes [un]consciously affect coaches’ decision making. Therefore, the following discussion assesses the impact of these results and how they relate to previous findings, as well as offering practical implications for TID and TD practitioners.
4.1. Athleticism
For selection into a TDP, athleticism proved to be a key differentiator between selected and non-selected participants, favouring those who displayed superior levels. Indeed, several studies have identified correlations between superior non-power/strength-based physiological metrics and higher performance in youth cricket (see [42] for review). However, the results identified that higher levels of athleticism were a larger differentiator in the selection process for BSA players than WB players (i.e., BSA players had to show higher levels of athleticism than WB players to be selected). This correlates with previous qualitative research that investigated the lack of representation for the BSA community in professional sport. For example, Hylton and colleagues [41] identified a lack of fitness to be a stereotyped “myth” for BSA exclusion in elite sports. Further, Kilvington and colleagues [43] provide evidence that media outlets have historically represented the BSA community as being hyper-feminised and lacking masculinity. Therefore, it is plausible to suggest that selectors (either consciously or unconsciously) placed more of an emphasis on BSA players’ levels of fitness than that of WB players. Subsequently, the findings from the present study support Hylton and colleagues’ [41] and Kilvington and colleagues’ [43] observations by highlighting that BSA players are required to demonstrate advanced levels of athleticism in order to be selected.
If athleticism is a key feature of the TID process, practitioners should implement and adhere to the results of fitness tests that have been objectively identified to correlate with superior performances, rather than rely solely on the subjective views of talent selectors. The combination of subjective and objective physical data during youth soccer selection has been shown to be more accurate at predicting senior professional status when compared to their use in isolation, as well as negating the possible weaknesses when used in isolation [15,44]. Moreover, it is important to consider the limitations of current growth and maturation tools that are used in youth sport, which have predominantly been evaluated in Caucasian males [45]. Thus, differences in growth and maturation status, which directly impact upon athleticism, should not be considered homogeneous between ethnic groups as one race may generally develop earlier or later than another. Thus, further research is required to better understand the impact of growth and maturation on BSA players and how this may differ from their WB age equivalents.
4.2. Psychological Characteristics
The results of the present study identified a negative correlation between psychological results and a players’ likelihood of being selected. This appears to be counterintuitive, as cricket has often been described as a game that tests a player’s mental capabilities as much as their skill and technical prowess (e.g., [46]). Further, terms such as “strong character” are often anecdotally used during TID processes, as demonstrated by a former England national selector when asked about the qualities sought for international selection: “It [selection] was driven by the quality of the individual, their strength of character” [47]. Indeed, empirical studies have identified that both global mental toughness and resilience correlate with higher performance in elite cricket (e.g., [48]). As such, it would be generally assumed that superior psychological traits would correlate with an increase in player selection. However, the results of the present study suggest otherwise. As such, future research should seek to better understand the relationship between psychological characteristics and player selection in cricket. Doing so could provide coaches with a means of objectively testing players’ psychological characteristics to inform their subjective assessments within the TID process.
From an ethnicity perspective, the largest disparity in results generated from this study concerned players’ Kessler Psychological Distress Scale and antisocial behaviour scores. In both cases, an increase in scores correlated with a decrease in the likelihood of selection for WB participants as opposed to an increase for BSA players. These results indicate that ethnicity and psychological traits are correlated in the selection process by demonstrating that psychological characteristics have contrasting effects on selection dependent upon a participant’s ethnicity. Consequently, BSAs who are selected into TDPs are more likely to display higher levels of psychological distress and anti-social behaviour. Such traits are in contrast to cricket’s historical foundations, whereby the game is deep rooted in displays of morality and gentleman-ship with certain ideals, behaviours, and mannerisms being associated with the game (i.e., strong character; [49]). Further, Fletcher and colleagues [50] go as far as to suggest that keeping “Englishness” at the heart of game is a conscious effort by those who see any alternative as a threat to maintaining the status quo. Therefore, it could be argued that those from other cultures who do not display typically “English” virtues and ideals may be inhibited from transferring from TDP to PS [5] as their characters are deemed to not meet the required standards. This would be particularly relevant to those BSA players who are being selected by WB coaches.
4.3. Wellbeing and Cohesion
The majority of the literature surrounding this field in sport focuses on how TDPs can affect a participant’s psychological wellbeing and social/task cohesion (e.g., [51]). For example, ref. [52] highlighted those athletes who described their TDP as having a particular focus on long-term development and providing a supporting environment appeared to be less stressed and displayed higher levels of wellbeing compared to other players. Despite the predominant emphasis of such literature focusing on the role of TDPs, an increase in psychological wellbeing and task cohesion has been identified to have a positive effect on TD in sport (e.g., see [53] for a review). The present study contributes to such findings through being the first to identify that increases in psychological wellbeing and social/task cohesion are positively correlated with the likelihood of selection into a TDP in cricket. As such, talent pathways should pay particular attention to the wellbeing of their players and provide support through dedicated officials who are independent from the TID process to mitigate bias and promote a safe space to talk.
Regarding ethnicity, whilst increased wellbeing and cohesion scores were positively correlated with selection for both WB and BSA players, the effect was greater for BSA players. It is important to reinforce that the selection process for CAG cricket is based on the subjective views of delegated coaches and usually involves no form of formal psychological evaluation. As such, it could be suggested that players’ behaviours and mannerisms are characteristics that potentially influence coaches’ opinions of their character, as opposed to any objectively identified psychological traits. For example, a player who appears confident and outspoken might be considered to have a strong character, whereas a shy and less articulate player might be considered weaker. As a larger proportion of those making the selection decisions were WB (71%), it may be possible that cultural illiteracy could negatively impact minority groups and further research is required to substantiate these suggestions.
As a practical example, BSA culture typically encourages younger members to not make eye contact when being spoken to by an adult as a sign of respect [54]. This is a direct contrast to Western culture where eye contact demonstrates attentiveness and engagement [55]. Consequently, it could be argued that BSA players’ attempts to show respect could be misinterpreted by those who are unaware of their cultural norms. As such, BSA players may be required to display either Westernised traits or higher, somewhat obvious, levels of wellbeing and cohesion to be noticed by predominately WB selectors. However, further research is required to better understand how the cultural literacy of coaches and other key stakeholders may affect selection. Regardless, it is recommended that TID and TD practitioners are educated and aware of the cultural differences in players within their respective systems. By doing so, it will likely contextualise players’ behaviour and provide a more accurate assessment of a player’s levels of wellbeing and cohesion.
4.4. Socio-Cultural
The present study identified several socio-cultural developmental factors that differentiated players’ selection. Firstly, players born in birth quarter two (BQ2) and BQ3 (i.e., between the months of December to May according to English selection cut-off dates) were significantly more likely to be selected than those born in BQ1 and BQ4 (i.e., June to November). These findings contradict previous studies investigating relative age effects (RAEs) in elite sport (see [56], for review) and more specifically in adolescence cricket [57,58,59,60]. Indeed, most literature concerning RAEs highlights either BQ1 and BQ2 advantages to early development, whilst the “underdog hypothesis” has shown a greater proportion of BQ3 and BQ4 participants more likely to achieve professional status within their sport than their relatively older peers once selected into TDPs [56]. However, this study is the first to highlight a significant positive correlation between BQ2 and BQ3 and selection, suggesting that players from both extreme ends of the relative age spectrum are potentially marginalised in terms of selection.
This study also identified correlations between the number and gender of siblings and a player’s likelihood of selection. For instance, the number of younger brothers was highlighted to be negatively associated with players’ likelihood of selection. Similarly, the number of older sisters was also negatively correlated with players’ likelihood of selection. Interestingly, however, the results highlight that the number of older brothers was positively correlated with selection for BSA players but not for WB players. As such, the results of the present study support the current sibling and TD literature by further highlighting a correlation between siblings and TD, as well as the subsequent need for coaches to consider the role of siblings in player development [61].
Although this study is limited in evaluating potential causes for these results, previous research has identified themes such as interactional context, emotional interpersonal skills, rivalry, resilience, skill development, communication, and separation to correlate with siblings’ impact on TD [61]. Whilst it could be suggested that positive effects of interactional context (e.g., free play), emotional interpersonal skills (e.g., support), and communication (e.g., knowledge sharing) could be equally beneficial to both same- and opposite-sex siblings, it is possible that rivalry, resilience, and skill development predominately support older same-sex siblings in TD. For instance, rivalry can be of particular importance when one sibling is achieving where the other is failing [62], and it could be argued that opposite-sex siblings, who are rarely encouraged to directly compete for selection or be in competition, are less likely to experience rivalry. Similarly, it could be suggested that resilience is more likely to be developed in those with older siblings, as rough behaviour both physiological and psychological (e.g., “mickey taking”) has been identified to lead to younger siblings “toughening up” [62]. Finally, it could be argued that skill development is likely to be more beneficial to those who have older brothers than sisters or younger brothers as it could be suggested that to compete with older male participants during free play activity is likely to require a higher-level skill, resulting in a potential higher level of challenge Furthermore, as cricket has been described to be followed with the same fanaticism as a “second religion” within BSA culture [63], it could be argued that a BSA family with siblings is more likely to share cricket as a common interest compared to a WB family and as such be more prone to the effects described above.
The results of the present study also identified that the school type attended (i.e., state vs. private) did not impact on selection into a CAG programme. Consequently, it could be suggested that the under-representation of state-educated players in professional cricket [5] occurs at the transfer from CAG to professional status. As such, it is recommended that talent pathways seek to understand the effects private education has on talent development in order to redress the levels of representation for state school players in the professional game. Whilst further research is required to investigate the causal effects leading to these social cultural disparities, it is clear that practitioners should be proactive in aiming to understand their impact on the TID and TD processes. Consequently, interventions can be designed to aid in providing all players with an equal opportunity in maximising their potential.
4.5. Skill
Due to several authors identifying that PCE skills differentiate elite and sub-elite batsmen (e.g., [24]), this study utilised PCE as a proxy for batting skill [25]. However, it should be noted that both the selection and developmental processes employed by the county do not generally test, monitor, or deliberately train PCE skill. Interestingly, in contrast to previous findings, the results of the present study identified that PCE skills were not correlated to predicting players’ selection. However, it is important to acknowledge that this study did not differentiate between selected batters and bowlers. As such, it could be argued that selected bowlers, who likely displayed lower levels of PCE skill due to reduced levels of batting-specific practice, could have lowered the mean average of PCE scores which subsequently resulted in its insignificance. Nevertheless, this study’s results do correlate with Weissensteiner and colleagues’ [60] findings which also identified that PCE scores were unable to differentiate performances within their U15 sample. Therefore, further research is required to understand why PCE fails to differentiate batters in a youth setting when it has been identified to be a strong predictor of performance in the senior game. Specifically, it is recommended that such research analyses TID and TD practitioners’ knowledge of PCE, as well as its relevance in the youth cricket (e.g., is ball velocity low enough for batters to react without the need for greater PCE at the youth level?).
4.6. Limitations
As is the case with most research attempting to investigate the holistic nature of TID and TD, the results of this study have limitations. Firstly, this study did not differentiate between skill-sets (i.e., batters and bowlers). Consequently, an argument could be made that findings were, at times, compromised by the contrasting developmental needs of batters and bowlers potentially cancelling out significant findings (e.g., the desirable physique of bowlers to achieve peak bowling velocity has no bearing on batting performance). Further, a player’s technical and tactical ability could arguably be the biggest differentiator in selection. However, having no previously identified reliable tests to measure either skill or tactical proficiency in bowlers at the time of testing, these key developmental features were not included within the present study’s methodology. Nevertheless, it is important to highlight that due to the machine learning approach implemented by this study, results from a single test can affect the results of the overall study. Therefore, it was decided that previously unresearched measurement strategies would not be implemented during this study in fear of potential inaccurate results manipulating the predictive models generated during the analysis. As such, this study recommends that future research should look to develop and validate skill testing protocols for bowlers in performance cricket.
It is also important to highlight that the sample included in the present study resided in one first-class county. As such, it could be argued that the results of the present study are not representative of the entire talent development system in cricket. However, the sample did include a roughly even split between BSA and WB participants at an age that previous research has identified to be critical in the drop off of BSA representation [5]. Nevertheless, future research should aim to apply a similar multidimensional analysis to CAG selection across a much broader range of CAG programmes to develop the understanding of talent selection in youth cricket.
5. Conclusions
The present study sought to identify developmental factors that contribute to adolescent male cricketers’ selection into a CAG programme. Additionally, the study further attempted to identify disparities between WB and BSA selected players in an attempt to explain the lack of BSA representation at the professional level [5,14]. Overall, several key developmental factors were highlighted to be positively correlated with selection (i.e., athleticism, wellbeing and cohesion, and being born in BQ2 and BQ3). Additionally, other developmental factors were negatively correlated with selection (i.e., psychological factors, the number of younger brothers, the number of older sisters, and levels of anti-social behaviour). Further, the results of the present study identified WB to be negatively associated as a predictor for selection, which was expected due to the over-representation of BSA cricketers in CAG cricket [5,14]. However, this study has demonstrated several distinct differences between selected WB and BSA cricketers that may point to a [un]conscious bias during the selection process (i.e., different levels of athleticism, wellbeing and cohesion, levels of anti-social behaviour, and levels of psychological distress), which could contribute to the talent drain of BSA cricketers transferring from CAG to professional status [14]. Ultimately, this study serves to highlight that there are important developmental factors that differ dependant on a player’s ethnicity. To that end, it is important for all selectors and coaches to be aware of the potential [un]conscious biases that are affecting their decision making. By doing so, it could lead to more equitable TID and TD systems that provide equal opportunity to those who wish to progress and develop in the game.
Author Contributions
Conceptualization, T.B. and A.L.K.; Methodology, T.B., R.C. and A.L.K.; Formal analysis, R.C.; Investigation, T.B., R.C., L.A.G., I.K., A.B.T.M. and A.L.K.; Writing—original draft, T.B.; Writing—review & editing, T.B., L.A.G., I.K., A.B.T.M. and A.L.K.; Supervision, L.A.G., I.K. and A.L.K. All authors have read and agreed to the published version of the manuscript.
Funding
This research received no external funding.
Institutional Review Board Statement
The study was conducted in accordance with the Declaration of Helsinki, and approved by the Ethics Committee of Birmingham City University (protocol code 3402) on 12th September 2019.
Informed Consent Statement
Informed consent was obtained from all subjects involved in the study.
Data Availability Statement
The data presented in this study are available on request from the corresponding author.
Conflicts of Interest
The authors declare no conflicts of interest.
References
- Cobley, S.; Schorer, J.; Baker, J. Identification and development of sport talent: A brief introduction to a growing field of research and practice. In Talent Identification and Development in Sport; Routledge: London, UK, 2013; pp. 21–30. [Google Scholar]
- Reeves, M.J.; Roberts, S.J. A bioecological perspective on talent identification in junior-elite soccer: A Pan-European perspective. J. Sports Sci. 2020, 38, 1259–1268. [Google Scholar] [CrossRef] [PubMed]
- McDonald, B.; Spaaij, R. Finding the ‘natural’: Talent identification and racialisation in sports coaching and selection practices in Australia. In ‘Race’, Ethnicity and Racism in Sports Coaching; Routledge: London, UK, 2020; pp. 97–111. [Google Scholar]
- Johnston, K.; Baker, J. Waste reduction strategies: Factors affecting talent wastage and the efficacy of talent selection in sport. Front. Psychol. 2018, 10, 2925. [Google Scholar] [CrossRef] [PubMed]
- Brown, T.; Khawaja, I.; Powell, A.; Greetham, P.; Gough, L.A.; Kelly, A.L. The sociodemographic profile of the England and Wales Cricket Board (ECB) talent pathways and first-class counties: Considering the British South Asian player. Manag. Sport Leis. 2021, 13, 655–669. [Google Scholar] [CrossRef]
- The Cricketer. It’s Now or Never for Asian Involvement in UK Cricket, Says Lord Patel. Available online: https://www.thecricketer.com/Topics/grassroots/it’s_now_or_never_for_asian_involvement_in_uk_cricket,_says_lord_patel.html (accessed on 19 September 2021).
- Burdsey, D. That joke isn’t funny anymore: Racial microaggressions, color-blind ideology and the mitigation of racism in English men’s first-class cricket. Sociol. Sport J. 2011, 28, 261–283. [Google Scholar] [CrossRef]
- Fletcher, T.; Piggott, D.; North, J. “The ‘blazer boys’ were getting all the chances”: South Asian men’s experiences of cricket coaching in England. Sport Soc. 2021, 24, 1472–1492. [Google Scholar] [CrossRef]
- McAuley, A.B.; Baker, J.; Kelly, A.L. Defining “elite” status in sport: From chaos to clarity. Ger. J. Exerc. Sport Res. 2022, 52, 193–197. [Google Scholar] [CrossRef]
- Jones, B.; Hardy, L.; Lawrence, G.; Kuncheva, L.; Brandon, R.; Bobat, M.; Thorpe, G. It Ain’t What You Do—It’s the Way That You Do It: Is Optimizing Challenge Key in the Development of Super-Elite Batsmen? J. Expert. 2020, 3, 144–168. [Google Scholar]
- Davids, K.; Güllich, A.; Shuttleworth, R.; Araújo, D. Understanding environmental and task constraints on talent development: Analysis of micro-structure of practice and macro-structure of development histories. In Routledge Handbook of Talent Identification and Development in Sport; Routledge: London, UK, 2017; pp. 192–206. [Google Scholar]
- Sarmento, H.; Anguera, M.T.; Pereira, A.; Araújo, D. Talent identification and development in male football: A systematic review. Sports Med. 2018, 48, 907–931. [Google Scholar] [CrossRef] [PubMed]
- Dimundo, F.; Cole, M.; Blagrove, R.; Till, K.; McAuley, A.; Hall, M.; Gale, C.; Kelly, A. Talent identification and development in male rugby union: A systematic review. J. Expert. 2021, 4, 33–55. [Google Scholar]
- Brown, T.; Kelly, A.L. Relative access to wealth and ethnicity in professional cricket. In Birth Advantages and Relative Age Effects in Sport; Routledge: London, UK, 2021; pp. 184–206. [Google Scholar]
- Sieghartsleitner, R.; Zuber, C.; Zibung, M.; Conzelmann, A. Science or coaches’ eye?–Both! Beneficial collaboration of multidimensional measurements and coach assessments for efficient talent selection in elite youth football. J. Sports Sci. Med. 2019, 18, 32. [Google Scholar]
- Kent. Pathway to the Top. Available online: https://www.kentcricket.co.uk/wp-content/uploads/Kent-Cricket-Player-Pathway-Boys.pdf (accessed on 19 September 2021).
- Brown, T.; McAuley, A.B.; Khawaja, I.; Gough, L.A.; Kelly, A.L. Talent identification and development in male cricket: A systematic review. J. Expert. 2023, 6, 176–206. [Google Scholar]
- Bangsbo, J.; Iaia, F.M.; Krustrup, P. The Yo-Yo intermittent recovery test. Sports Med. 2008, 38, 37–51. [Google Scholar] [CrossRef] [PubMed]
- Pyne, D.B.; Duthie, G.M.; Saunders, P.U.; Petersen, C.A.; Portus, M.R. Anthropometric and strength correlates of fast bowling speed in junior and senior cricketers. J. Strength Cond. Res. 2006, 20, 620–626. [Google Scholar] [PubMed]
- Glazier, P.S.; Paradisis, G.P.; Cooper, S.M. Anthropometric and kinematic influences on release speed in men’s fast-medium bowling. J. Sports Sci. 2000, 18, 1013–1021. [Google Scholar] [CrossRef] [PubMed]
- Mirwald, R.L.; Baxter-Jones, A.D.; Bailey, D.A.; Beunen, G.P. An assessment of maturity from anthropometric measurements. Med. Sci. Sports Exerc. 2002, 34, 689–694. [Google Scholar]
- Baker, J.S.; McCormick, M.C.; Robergs, R.A. Interaction among skeletal muscle metabolic energy systems during intense exercise. J. Nutr. Metab. 2010, 2010, 905612. [Google Scholar] [CrossRef]
- Barney, E.G. Preliminary Stages in the Validation of a Talent Identification Model in Cricket; Bangor University: Bangor, UK, 2015. [Google Scholar]
- Brenton, J.; Müller, S.; Harbaugh, A.G. Visual-perceptual training with motor practice of the observed movement pattern improves anticipation in emerging expert cricket batsmen. J. Sports Sci. 2019, 37, 2114–2121. [Google Scholar] [CrossRef]
- Müller, S.; Abernethy, B.; Farrow, D. How do world-class cricket batsmen anticipate a bowler’s intention? Q. J. Exp. Psychol. 2006, 59, 2162–2186. [Google Scholar] [CrossRef]
- Macnamara, Á.; Collins, D. Development and initial validation of the psychological characteristics of developing excellence questionnaire. J. Sports Sci. 2011, 29, 1273–1286. [Google Scholar] [CrossRef]
- Macnamara, A.; Collins, D. Do mental skills make champions? Examining the discriminant function of the psychological characteristics of developing excellence questionnaire. J. Sports Sci. 2013, 31, 736–744. [Google Scholar] [CrossRef]
- MacNamara, Á.; Button, A.; Collins, D. The role of psychological characteristics in facilitating the pathway to elite performance part 1: Identifying mental skills and behaviors. Sport Psychol. 2010, 24, 52–73. [Google Scholar] [CrossRef]
- Bull, S.J.; Shambrook, C.J.; James, W.; Brooks, J.E. Towards an understanding of mental toughness in elite English cricketers. J. Appl. Sport Psychol. 2005, 17, 209–227. [Google Scholar] [CrossRef]
- Bruner, M.W.; Benson, A.J. Evaluating the psychometric properties of the Social Identity Questionnaire for Sport (SIQS). Psychol. Sport Exerc. 2018, 35, 181–188. [Google Scholar] [CrossRef]
- Seers, A. Team-member exchange quality: A new construct for role-making research. Organ. Behav. Hum. Decis. Process. 1989, 43, 118–135. [Google Scholar] [CrossRef]
- Mewton, L.; Kessler, R.C.; Slade, T.; Hobbs, M.J.; Brownhill, L.; Birrell, L.; Tonks, Z.; Teesson, M.; Newton, N.; Chapman, C.; et al. The psychometric properties of the Kessler Psychological Distress Scale (K6) in a general population sample of adolescents. Psychol. Assess. 2016, 28, 1232. [Google Scholar] [CrossRef] [PubMed]
- Graen, G.B.; Uhl-Bien, M. Relationship-based approach to leadership: Development of leader-member exchange (LMX) theory of leadership over 25 years: Applying a multi-level multi-domain perspective. Leadersh. Q. 1995, 6, 219–247. [Google Scholar] [CrossRef]
- Keyes, C.L. The mental health continuum: From languishing to flourishing in life. J. Health Soc. Behav. 2002, 43, 207–222. [Google Scholar] [CrossRef] [PubMed]
- Eys, M.; Loughead, T.; Bray, S.R.; Carron, A.V. Development of a cohesion questionnaire for youth: The Youth Sport Environment Questionnaire. J. Sport Exerc. Psychol. 2009, 31, 390–408. [Google Scholar] [CrossRef] [PubMed]
- Kavussanu, M.; Boardley, I.D. The prosocial and antisocial behavior in sport scale. J. Sport Exerc. Psychol. 2009, 31, 97–117. [Google Scholar] [CrossRef]
- Boardley, I.D.; Kavussanu, M. The moral disengagement in sport scale–short. J. Sports Sci. 2008, 26, 1507–1517. [Google Scholar] [CrossRef]
- Brown, T.W.; Gough, L.A.; Kelly, A.L. Performance trajectories of bowlers and batters from youth level to senior professional status in cricket. Int. J. Perform. Anal. Sport 2022, 22, 1–15. [Google Scholar] [CrossRef]
- Dormann, C.F.; Elith, J.; Bacher, S.; Buchmann, C.; Carl, G.; Carré, G.; Marquéz, J.R.; Gruber, B.; Lafourcade, B.; Leitão, P.J.; et al. Collinearity: A review of methods to deal with it and a simulation study evaluating their performance. Ecography 2013, 36, 27–46. [Google Scholar] [CrossRef]
- Wu, H.M.; Tzeng, S.; Chen, C.H. Matrix visualization. In Handbook of Data Visualization; Springer: Berlin/Heidelberg, Germany, 2008; pp. 681–708. [Google Scholar]
- Hylton, K. Too radical? Critical race theory and sport against racism in Ireland. In Sport and Challenges to Racism; Palgrave Macmillan: London, UK, 2011; pp. 229–246. [Google Scholar]
- Scanlan, A.T.; Berkelmans, D.M.; Vickery, W.M.; Kean, C.O. A review of the internal and external physiological demands associated with batting in cricket. Int. J. Sports Physiol. Perform. 2016, 11, 987–997. [Google Scholar] [CrossRef] [PubMed]
- Kilvington, D. The “Asian Frame”, Football and the Sport Media. Netw. Knowl. J. MeCCSA Postgrad. Netw. 2012, 5, 121. [Google Scholar]
- Dugdale, J.H.; Sanders, D.; Myers, T.; Williams, A.M.; Hunter, A.M. A case study comparison of objective and subjective evaluation methods of physical qualities in youth soccer players. J. Sports Sci. 2020, 38, 1304–1312. [Google Scholar] [CrossRef] [PubMed]
- Kelly, A.L.; Williams, C.A. Physical characteristics and the talent identification and development processes in male youth soccer: A narrative review. Strength Cond. J. 2020, 42, 15–34. [Google Scholar] [CrossRef]
- Barker, J.; Slater, M. It’s not just cricket. Psychologist 2015, 28, 552–557. [Google Scholar]
- The Cricket Monthly. Being a Selector Is about Spotting Strength of Character. Available online: https://www.thecricketmonthly.com/story/967943/-being-a-selector-is-about-spotting-strength-of-character (accessed on 19 September 2021).
- Gucciardi, D.F. The relationship between developmental experiences and mental toughness in adolescent cricketers. J. Sport Exerc. Psychol. 2011, 33, 370–393. [Google Scholar] [CrossRef]
- Williams, M.J. Cricket and England: A Cultural and Social History of Cricket in England between the Wars; Routledge: London, UK, 2012. [Google Scholar]
- Fletcher, T. The making of English cricket cultures: Empire, globalization and (post) colonialism. Sport Soc. 2011, 14, 17–36. [Google Scholar] [CrossRef]
- Thomas, C.E.; Gastin, P.B.; Abbott, G.; Main, L.C. Impact of the talent development environment on the wellbeing and burnout of Caribbean youth track and field athletes. Eur. J. Sport Sci. 2021, 21, 590–603. [Google Scholar] [CrossRef]
- Ivarsson, A.; Stenling, A.; Fallby, J.; Johnson, U.; Borg, E.; Johansson, G. The predictive ability of the talent development environment on youth elite football players’ well-being: A person-centered approach. Psychol. Sport Exerc. 2015, 16, 15–23. [Google Scholar] [CrossRef]
- Andrade, A.; dos Santos Goes, Q.; Coimbra, D.R. Factors Associated with Self-Determined Motivation in Young Basketball Athletes: A Systematic Review. Revista de Psicología del Deporte. J. Sport Psychol. 2021, 30, 1–7. [Google Scholar]
- Elhadji, D. An extensive literature of Social Meaning of Eye Contact Trough the Cultures: A Cross-Cultural Comparison. Int. J. Res. Soc. Sci. 2017, 7, 374–384. [Google Scholar]
- Akechi, H.; Senju, A.; Uibo, H.; Kikuchi, Y.; Hasegawa, T.; Hietanen, J.K. Attention to eye contact in the West and East: Autonomic responses and evaluative ratings. PLoS ONE 2013, 8, e59312. [Google Scholar] [CrossRef] [PubMed]
- Cobley, S.; Wattie, N.; Baker, J.; McKenna, J. A meta-analytical review of relative age effects in sport: The emerging picture. Sports Med. 2009, 39, 235–256. [Google Scholar] [CrossRef] [PubMed]
- Connor, J.D.; Renshaw, I.; Doma, K. Moderating factors influence the relative age effect in Australian cricket. PeerJ 2019, 7, e6867. [Google Scholar] [CrossRef] [PubMed]
- Hancock, D.J.; Adler, A.L.; Côté, J. A proposed theoretical model to explain relative age effects in sport. Eur. J. Sport Sci. 2013, 13, 630–637. [Google Scholar] [CrossRef] [PubMed]
- Tribolet, R.; Watsford, M.L.; Coutts, A.J.; Smith, C.; Fransen, J. From entry to elite: The relative age effect in the Australian football talent pathway. J. Sci. Med. Sport 2019, 22, 741–745. [Google Scholar] [CrossRef]
- Weissensteiner, J.; Abernethy, B.; Farrow, D.; Müller, S. The development of anticipation: A cross-sectional examination of the practice experiences contributing to skill in cricket batting. J. Sport Exerc. Psychol. 2008, 30, 663–684. [Google Scholar] [CrossRef]
- Kelly, A.L.; Brown, T.; Reed, R.; Côté, J.; Turnnidge, J. Relative Age Effects in Male Cricket: A Personal Assets Approach to Explain Immediate, Short-Term, and Long-Term Developmental Outcomes. Sports 2022, 10, 39. [Google Scholar] [CrossRef]
- Taylor, R.D.; Collins, D.; Carson, H.J. Sibling interaction as a facilitator for talent development in sport. Int. J. Sports Sci. Coach. 2017, 12, 219–230. [Google Scholar] [CrossRef]
- Burdsey, D. British Muslim experiences in English first-class cricket. Int. Rev. Sociol. Sport 2010, 45, 315–334. [Google Scholar] [CrossRef]
Disclaimer/Publisher’s Note: The statements, opinions and data contained in all publications are solely those of the individual author(s) and contributor(s) and not of MDPI and/or the editor(s). MDPI and/or the editor(s) disclaim responsibility for any injury to people or property resulting from any ideas, methods, instructions or products referred to in the content. |
© 2024 by the authors. Licensee MDPI, Basel, Switzerland. This article is an open access article distributed under the terms and conditions of the Creative Commons Attribution (CC BY) license (https://creativecommons.org/licenses/by/4.0/).



