Abstract
The use of traditional Dye-sensitized solar cells (DSSCs) is limited due to the use of toxic and non-environmentally safe solvents. In this review, water is proposed as a viable alternative to developing green chemistry and sustainable materials for DSSCs. However, water-based DSSCs (WBDSSCs) require improvement in their photovoltaic parameters. The detachment of dye molecules from the semiconductor and the poor solubility of iodine in water are the primary reasons for their low efficiency. This review analyzes the best results achieved by 100% aqueous electrolytes containing synthetic, organic, and natural dyes to identify the best conditions to overcome these limitations. Developing a suitable photoanode/electrolyte interface and finding a compromise in the choice of dye are the main research goals in the coming years. WBDSSCs can contribute significantly to producing clean energy using sustainable and environmentally friendly materials. Furthermore, here we report the state of the art of the emerging technology of underwater dye-sensitized solar cells, which are a promising technology for generating renewable energy in aquatic environments. Recent advancements in material science and device engineering have shown promising results in enhancing their efficiency and durability. Further research and development can make these devices a viable alternative for sustainable energy generation in a wide range of underwater applications.
1. Introduction
Dye-sensitized solar cells (DSSCs) are third-generation photovoltaic devices that are known for their characteristics such as simple and low-cost manufacturing procedures, semitransparency, light tunability, and low dependence on the incident angle of light, which allows DSSCs to efficiently work under cloudy conditions, unlike other PV technologies. Recent work has focused on scaling up the active area to develop modules and panels for building-integrated photovoltaics (BIPV) applications [1].
DSSCs are widely proposed for different sectors due to the ability to select the absorbed light and their potential for use in Internet of Things (IoT) applications. DSSCs are composed of three main components: a photoanode (WE), an electrolyte (EL), and a counter electrode (CE). The photoanode is composed of a transparent conductive oxide (TCO) glass substrate, a layer of mesoporous metal nanoparticles such as a high bandgap semiconductor (TiO2, ZnO, SnO2), and a dye sensitizer, which is responsible for the processes of light absorption and charge transfer to the semiconductor. The semitransparent CE is made by depositing a conductive material on the TCO glass, such as platinum, graphene, or metal nanostructures. Polymers such as polyethylene terephthalate (PET), poly(3,4-ethylenedioxythiophene) (PEDOT), and poly(ethylene 2,6-naphthalate) (PEN) can also be used as an alternative to glass substrates due to their flexibility, transparency, and low cost. However, studies have shown that the maximum process temperatures for these materials are in the range between 120 °C and 150 °C [2,3]. Finally, the electrolyte solution is typically a combination of solvents with high electrical conductivity and low viscosity, capable of creating a good interface between the mesoporous structure of the film and the CE and preventing the occurrence of desorption phenomena caused by the dye [4].
While traditional DSSCs, with an efficiency in the range of 10%, use ruthenium-based compounds [5] and organic solvents, which can be harmful to the environment, some researchers have been exploring more environmentally friendly alternatives such as aqueous electrolytes [5] and natural dyes [6,7]. Regrettably, the presence of water in photovoltaic systems has been shown to worsen performance due to several critical issues related to the device’s operating mechanisms. [8,9,10,11,12,13,14,15,16]. To address the energy crisis and mitigate the environmental impact of fossil fuels, eco-sustainable materials with low environmental impact are being explored. As an alternative, water, the solvent of life, is proposed as a promising option to develop sustainable, low-energy demanding, and clean solvents for DSSC devices.
Additionally, the application of PV is diverse, spanning from space exploration to underwater exploration and even IoT applications. To move towards a greener future, it is imperative to develop procedures, compounds, and systems that perform optimally in both indoor and outdoor settings, utilizing sustainable materials and clean energy sources. Recently, there have been advancements in technologies that utilize water in submerged solar cells, further promoting eco-sustainability [17].
The utilization of offshore systems or underwater photovoltaic devices has enabled the surmounting of limitations linked with constructing photovoltaic panels on land, thereby reducing the space requirement and installation costs [18,19]. Additionally, floating photovoltaic technologies (FPV) have the potential to address issues of water evaporation and module cooling [20,21,22,23]. However, due to exposure to varying temperatures, irradiation, and light spectra, it is crucial to identify the optimal cells for use in underwater systems.
The issue of underwater systems was first addressed in studies dating back approximately ten years, with a focus on silicon solar cells [24]. Submerged technologies pose challenges related to engineering limitations, such as electrical connectors packaging, biofouling, and reduced light intensity. However, this also opens the door to a developing sector, particularly in the area of self-powered Internet of Things (IoT) systems. Underwater dye-sensitized solar cells (UDSSCs) can serve as a long-term power source for marine sensor devices.
Water-based dye-sensitized solar cells (WBDSSCs) have garnered significant scientific interest due to their potential as a sustainable and environmentally friendly alternative. However, despite achieving power conversion efficiencies (PCE) of around 7% [25] in the literature, several challenges must be addressed for WBDSSC to compete with standard solvent-based DSSCs [26]. In this review, we aim to present the current research on DSSCs with 100% aqueous solutions, including the use of both artificial and natural dyes, and provide a roadmap for future development in this field. Additionally, we discuss the state-of-the-art of DSSCs as a promising class of underwater cells.
2. Concepts and Working Principles of DSSCs
As previously mentioned, a typical DSSC is composed of three components: the working electrode, which includes the anode and the sensitizer (dye), the redox mediator (electrolyte), and the counter electrode (as shown in Figure 1). The performance of the device is reliant on each of these components, including the geometry of the structures, the type of solvent used, the interaction between the phases, and most importantly, the electronic dynamics established within the device itself. Four processes are involved in the operation of the device (Equations (1)–(4)): light absorption, electron injection, dye regeneration, and electrolyte reduction. The quality of a device and its photovoltaic characteristics depend on the competitive electrochemical photo reactions that take place at the interface between these components:
Dye + hν
Dye* Light absorption
Dye* Light absorption
Dye* + TiO2
Dye+ + eCB (TiO2) Electron injection
Dye+ + eCB (TiO2) Electron injection
2Dye+ + 3I−
2 Dye + I3− Dye regeneration
2 Dye + I3− Dye regeneration
I3− + 2e− (Pt)
3I− Electrolyte reduction
3I− Electrolyte reduction
Figure 1.
Scheme of water-based DSSC structure.
The process begins with the absorption of light by the dye (Equation (1)), followed by the injection of an electron from the ground state to the excited state of the semiconductor’s valence band (Equation (2)). Meanwhile, the electrolyte regenerates the dye (Equation (3)) by reducing it, and I3− diffuses to the counter electrode, where it is reduced to I− (Equation (4)). The quality and photovoltaic characteristics of the device depend on the competitive electrochemical photo reactions that occur at the interface between these elements. Factors such as the geometry of the structures, type of solvent, and interaction between phases also play significant roles in determining device performance.
Furthermore, different processes occur inside the device, such as recombination [5,16] and back electron transfer. These negatively influence the photovoltaic parameters and, consequently, the efficiency of the DSSCs [27,28]. These values are correlated by the following ratio (Equation (5)):
where Pmax is the maximum power output of the cell per unit area (Pmax = JmaxVmax), and FF is the ratio of maximum obtainable power to the product of the open-circuit voltage and short-circuit current. This value, graphically, is the area of the largest rectangle, which will fit in the JV curve (Figure 2). The shape of this figure is an indication of the DSSC performance.
FF = Pmax/JSC VOC
Figure 2.
An example of J-V curve (blue), as well as the area of the power generated (Pmax) as a function of maximum voltage (Vmax) and maximum current density (Jmax). The relevant points (Jsc, Voc, Jmax, Vmax) are indicated by arrows.
The parameter used to evaluate the efficiency (ƞ) of a PV device is defined as follows (Equation (6)):
where Pin is the power incident light. The values of the parameters described in relation (Equation (7)) are influenced by various factors such as the dynamics occurring in the cell, the oxidation-reduction processes of the dye, electronic exchanges with the electrolyte, and the characteristics of the materials used, including their resistances, transmittance, and absorption capacity [28,29].
ƞ = Pmax/Pin
ƞ = (FF Jsc Voc)/Pin
The high electrical conductivity of substrates used as electrodes is essential to maximize charge transfer processes and minimize energy loss. Polymers have been used as substrates for electrodes due to their flexibility and low cost. However, their usability temperature is limited. The selection of the semiconductor for the mesostructured film of the photoanode is crucial since the movement of electrons depends on the structure of the material.
The most used are zinc oxide (ZnO) [30], stannic oxide (SnO2) [31], and titanium oxide (TiO2). This phase is very stable; it has a high bandgap, and using hierarchical spheres of TiO2 anatase, for example, an efficiency of 9.35% is obtained [32]. In addition to modifying the morphology of the semiconductor, an insulating layer can be used, which reduces the phenomena of charge recombination [31] or similarly subjects the TiO2 surface to treatment with TiCl4, with the aim of increasing the resistance to the interfaces.
The absorption of light occurs through the dye, which is adsorbed on the semiconductor surface to form the photoanode. For charge transfer to take place, the dye must have appropriate levels of HOMO and LUMO with respect to the semiconductor used. Compounds based on transition metals have shown the best results, and the efficiency of DSSCs depends on the molecular structure, absorption capacity on the dye surface, extinction coefficient, and absorption in the visible region. Among the various complexes used, ruthenium-based sensitizers have shown the best efficiency, but they are expensive. Metal-free organic complexes have recently demonstrated significant performance, but they require an electrolyte with redox properties specifically tailored to them. Natural dyes [7,33] have been extensively investigated to use low-cost materials with zero environmental impact, but their efficiency is very low, except for a few examples, such as red turnip, due to aggregation phenomena and poor interaction with the substrate and electrolyte. The substrates used as electrodes should have high electrical conductivity to maximize charge transfer processes and reduce energy loss. The choice of the semiconductor to make the mesostructured film of the photoanode is fundamental because the electrons move in relation to the material’s structure. The electrolytes used in DSSCs must have low viscosity to facilitate the movement of negative charges, prevent the degradation of dye, and avoid the desorption of sensitive molecules from the semiconductor layer. Different types of electrolytes are available, but most used for DSSCs are liquid organic or ionic systems. To obtain the best results, it is necessary to analyze the interaction between the different components, the redox couple, and the solvents used. In many cases, additives are used to improve characteristics such as solubility, and chemical and thermal stability. The iodine–iodide couple is the standard used due to its solubility, fast dye regeneration, adequate redox potential, and reduced recombination processes. [34].
Critical Aspects in Water-Based DSSCs
Water-based DSSCs face critical challenges that must be addressed to enhance their efficiency and viability. One of the main challenges is the limited stability of the water-based electrolyte, which can cause dye degradation and reduced device lifetime. To overcome this issue, researchers are working on developing more stable electrolytes that can withstand the harsh DSSC environment and maintain their performance over time. Another critical aspect is the relatively lower efficiency of water-based DSSCs compared to traditional DSSCs that use organic solvents. This is partly due to the lower conductivity of water-based electrolytes, leading to increased resistance and reduced charge transfer efficiency. Strategies such as the use of additives and co-solvents to enhance conductivity and mobility of charges are being explored to improve the efficiency of water-based DSSCs. The development of water-resistant substrates and electrodes is also crucial for the success of water-based DSSCs. While polymers are low-cost and flexible substrates for electrodes, their usability temperature range is limited. Thus, finding alternative water-resistant substrates with high electrical conductivity and stability remains an active area of research. Finally, the selection of suitable dyes and semiconductors for water-based DSSCs is also critical. Compounds based on transition metals have shown better results, but they can be expensive. The efficiency of water-based DSSCs also depends on factors such as the molecular structure and absorption capacity of the dye, as well as the interaction between the different components of the device. To overcome these critical aspects, it is necessary to identify the suitable elements to design a water-based DSSC and optimize their performance. This includes modifying the surface of the photoanode, choosing a suitable redox-dye couple for water [35,36], and reviewing the literature to understand the best conditions of temperature and pH, suitable cathodes, and the best method for electrolyte stabilization. Addressing these critical aspects and developing new strategies to enhance efficiency, stability, and viability is crucial for the success of water-based DSSCs as a sustainable energy source.
3. Water-Based DSSCs
Water-based DSSCs are usually assembled using solvent mixtures with varying percentages of water. It is known from the literature that the negative effects of water are related to the content of water in the cell, as reported in Table 1 [4,37]. In fact, a study on interatomic distances has shown that in the case of 5%vol. H2O, there is no difference with respect to zero water content, while for the photoanode exposed to the 40%vol. H2O, its surface is dye-free due to desorption. What occurs is an accumulation of a positive charge on the surface of the semiconductor film due to the filling of the voids by the oxygen of the water. This translates into more positive potential and a diffusion coefficient increase. This problem is partially overcome by using hydrophobic dyes such as TG6, SK3, or Z907; however, it is necessary to use additives or solvents mixed with water to obtain efficiency values higher than 4% [38,39,40].
Table 1.
PV parameters of DSSC based on Z907/electrolyte with different content of water.
Rabani was one of the first who turned their attention to the use of natural dyes in aqueous systems, studying their stability related to pH conditions, the influence of cations used in electrolytes, their size and concentrations, and the percentage of water in electrolyte solutions [41,42].
Devices with water-based electrolytes exhibit significantly worse stability and efficiency parameters due to phenomena occurring at the photoanode/electrolyte interface. Therefore, it is crucial to select dyes that can chemically bond with the surface of the semiconductor film and avoid detachment of the sensitizer from the mesostructures caused by hydrolysis in the solution [43,44]. Lindquist et al. stated that this simultaneous process leads to the attenuation of the TiO2–dye connection, resulting in a subsequent decrease in the magnitude of the produced current [45,46].To address this issue, researchers tested hydrophobic dyes at different concentrations of water [37,38,43]. Specifically, O’Regan et al. demonstrated that incorporating a hydrophobic dye, such as TG6, in an electrolytic solution with a maximum water concentration of 40% by volume did not result in significant alterations in photovoltaic parameters, including efficiency and stability [37].
To improve the PV parameters, researchers have introduced the use of surfactants in aqueous systems with the aim of reducing the surface tension between two interfaces. For example, Jung et al. [47] has seen that by using Triton X as a surfactant agent and water in a concentration of 2.2 M, open current voltage 0.81 (Voc) and fill factor 0.62(FF) values are obtained, which lead the device to have an efficiency of 5.9%. This result depends on the greater solubility of the I3− ions in water with respect to the surface of the anode, and this reduces electronic transfer processes [48]. For this reason, other surfactants have been tested for water-based solar cells, such as CTAB (hexadecyltrimethylammonium bromide) and AOT8 (bis(2-ethylhexyl) sulfosuccinate sodium salt) in N719 (di-tetrabutylammoniumcis-bis (isothiocyanato) bis (2,2′-bipyridyl-4,4′-dicarboxylato) ruthenium(II)-sensitized DSSCs [49], or CDCA chenodeoxycholic acid in Z907 (cis-bis(isothiocyanate) (2,2′-bipyridyl-4,4′-dicarboxylato) (4,4′-di-nonyl-2′-bipyridyl)ruthenium(II))[50]. In all cases, the PV performances have been improved. In general, it has been observed that the short circuit current density (JSC) value depends on the concentration of the redox couple used, while the Voc value can be suitably tuned using nitrogen-based heterocyclic compounds [48].
To mitigate the negative impact of water and improve the stability of water-based DSSCs, polymeric compounds have been introduced in aqueous electrolytes. Specifically, the addition of polyethylene glycol to TiO2 paste has resulted in an 18% improvement in Jsc while reducing recombination. To further improve stability, Fagiolari and colleagues have investigated the use of various surfactants, including cellulose-based gums [39,51]. To enhance the performance of DSSCs, the chemical and physical properties of the photoanode material can be altered. Octadecyltriclosilane (OTDS), for instance, can be used to activate the surface by promoting a condensation reaction between the Ti-OH sites and the solvent, resulting in the formation of Si-O-Si and Si-O-Ti crosslinks. This structural modification leads to a reduction in electronic recombination and an increase in electron retention, as the alkyl siloxane almost entirely occupies the binding sites [52]. An alternative way to modify the WE surface could be to realize a thin layer of Au nanoparticles with the aim of creating a Schottky barrier and increasing Jsc [53]. Another limitation in the performance of aqueous cells is the low solubility of iodine in water. For this reason, many researchers have oriented their studies on the use of different redox mediators. Teoh, for example, used cerium-based electrolytes using both natural and synthetic dyes, obtaining the highest efficiency (1.49%) only for Rhoeo spathacea [54]. Spiccia has introduced ferrocyanide compounds used as redox couples [55], but the best results (ƞ = 4.2%) have been obtained using cobalt complexes with various amounts of PEG (polyethyleneglycol) [56].
In this context, the results obtained on DSSCs with 100% content of water as an electrolyte, using both artificial and natural dyes, have been analyzed and reported below to identify the right methods, processes, and components for creating totally green and sustainable devices.
3.1. Water DSSCs Based on Synthetic Dyes
In recent years, various dyes have been investigated and tested in the Grätzel cell system with the aim of using water as a solvent and increasing the number of types of electrodes, redox couples, and electrolytes [36,48,57].
Below are the best results of devices that have shown efficiencies higher than 0.5% using only water or water with surfactants. They will be discussed to identify how to design high-efficiency DSSCs to improve the results obtained to date (Table 2).
The discussed DSSCs were fabricated using standard procedures. The photoanode was prepared by depositing a TiO2 paste onto TCO-coated glass substrates through screen printing or the doctor blade method to obtain a layer of mesoporous TiO2 film of variable thickness but not exceeding 14 µm, with the particle size not exceeding 200 nm in any case. The electrolyte was introduced through a previously made hole on the CE, realized with different materials such as Pt, Nafion, and PEDOT [58,59,60,61,62,63,64,65].
TG6 (cis-bis(thiocyanate (2,20-bipyridyl-4,40-dicarboxylato){4,40-bis [2-(4-hexylsulfanylphenyl) vinyl]-2,20-bipyridine}ruthenium(II) mono(tetrabutylammonium) salt) has been used in 2 M 1-propyl-3-methylimidazolium iodide (PMMI), 0.05 M iodine I2, 0.1 M guanidium thiocyanate (GuSCN), and 0.5 tert-butylpyridine (TBP). The non-aqueous solvent has been 3-methoxypropionitrile (MPN) in relation to water content in order to have 0, 20, 40, 60, 80, and 100% water. In this condition, 1% Triton X was used, and the best efficiency value (5.7%) was obtained with 20% water, while using only water, the efficiency was 2.4% [37]. The loss of photocurrent is due to a reduced ability to infiltrate the electrolyte in the pores, but it is not related to electron transfer mechanisms at the TiO2/dye/electrolyte interface. In this direction, it would be indicated to use a film without nanostructures to reduce losses in water electrolytes.
In DSSCs, to overcome the problem of energy loss from dye regeneration processes, it was decided to further explore redox couples with a more positive redox potential, such as TEMPOL/TEMPOL+ (4-Hydroxy-2,2,6,6-tetramethylpiperidinoxyl). For this reason, experiments have been carried out on devices based on this redox couple in order to increase cell performance. A Nafion-Pt coated electrode (NCE) has been matched with the TEMPOL aqueous electrolyte and D205 5-{1,2,3,3a,4,8b-hexahydro-4-[4-(2,2-diphenylvinyl)phenyl] cyclopenta[b]indole-7-ylmethylene}-3-n-octyl-4,4-dioxo-2-thioxo-[47¤]bithiazolidin-3-yl)acetic acid) to obtain a 2.1% conversion efficiency [58].
LEG4 3-{6-{4-[bis(2’,4’-dibutyloxybiphenyl-4-yl) amino-]phenyl}-4,4-dihexyl-cyclopenta-[2,1-b:3,4-b’]dithiophene-2-yl}-2-cyanoacrylic acid is another example of hydrophobic dye used with TEMPO/TEMPO+ couple. This study is very interesting because, contrary to what is stated in the literature, it showed that the use of surfactant does not improve the current values and, consequently, the efficiency of DSSCs. In fact, the micelles subtract the concentration of redox species by encapsulating a part of it. The efficiency value of 4.14% has been obtained using 0 wt% of SDS sodium dodecyl sulfate with an electrolyte composition of 0.15 M TEMPO, 0.05 M TEMPOBF4, 0.1 M LiClO4, 0.2 M 1-methylbenzimidazole (NMBI) [61].
Good results have been obtained in designing water-based DSSCs using the organic sensitizers containing 4-(2-(2-methoxyethoxy)-ethoxy) phenylamine such as JK-259 and JK-262. Under the same operating conditions in 100% water, the JK-262 sensitized cell gave a ƞ value of 2.10%, which is higher than the one made using JK-259 as a dye. This result is related to the higher photocurrent value in JK-262 compared to JK-259, which depends on a broad and redshifted absorption band and a surface thickening on the semiconductor film due to the smaller steric hindrance of the JK-262 structure [59].
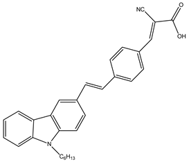
Leandri et al. compared two dyes, one hydrophobic and one hydrophilic, D35 ((E)-3-(5-(4-(bis(2’,4’-dibutoxy-[1,1’-biphenyl]-4-yl)amino)phenyl)thiophen-2-yl)-2-cyanoacrylic-acid) and V35 ((E)-3-(5-(4-(bis(2’,4’-bis(2-(2-methoxyethoxy)ethoxy) biphenyl-4-yl)amino)phenyl)thiophen-2-yl)-2 cyanoacrylic acid) using electrolytes based on 2 M KI, 0.01 M I2, in an aqueous solution satured CDCA, chenodeoxycholic acid. The photovoltaic parameters have been registered using both platinum and PEDOT as counter electrodes on FTO glass, and the best efficiency value of 3.01% was obtained for V35. The best results obtained using PEDOT instead of platinum are related to the leaf structure, which gives the material a high surface area, increasing the catalytic activity. Moreover, the study highlights how the presence of PEDOT limits the phenomenon of desorption of the dye because the polymer acts as a trapping matrix for the ions [60].
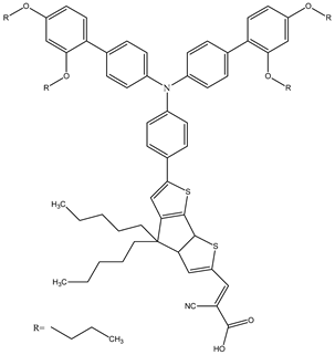
Promising results are reported by Sonigara [39], who investigated the properties of a device made with a mixture of a polymer gel electrolyte (PGE) with an iodide/triiodide couple in pure aqueous media using a hydrophobic sensitizer, SK3 (2-cyano-3-(4-((E)-2-(9-hexyl-9H-carbazol-3-yl)vinyl)phenyl) acrylic acid). Under 0.5 sun illumination, an efficiency value of 2.8% and stability up to 1000 h at 50 °C were achieved. However, when using only water as the solvent in the electrolyte, with 2 M LiI, 0.02 M I2, and 1 M GuSCN, a ƞ of 1.17% was obtained, which is still an excellent result.
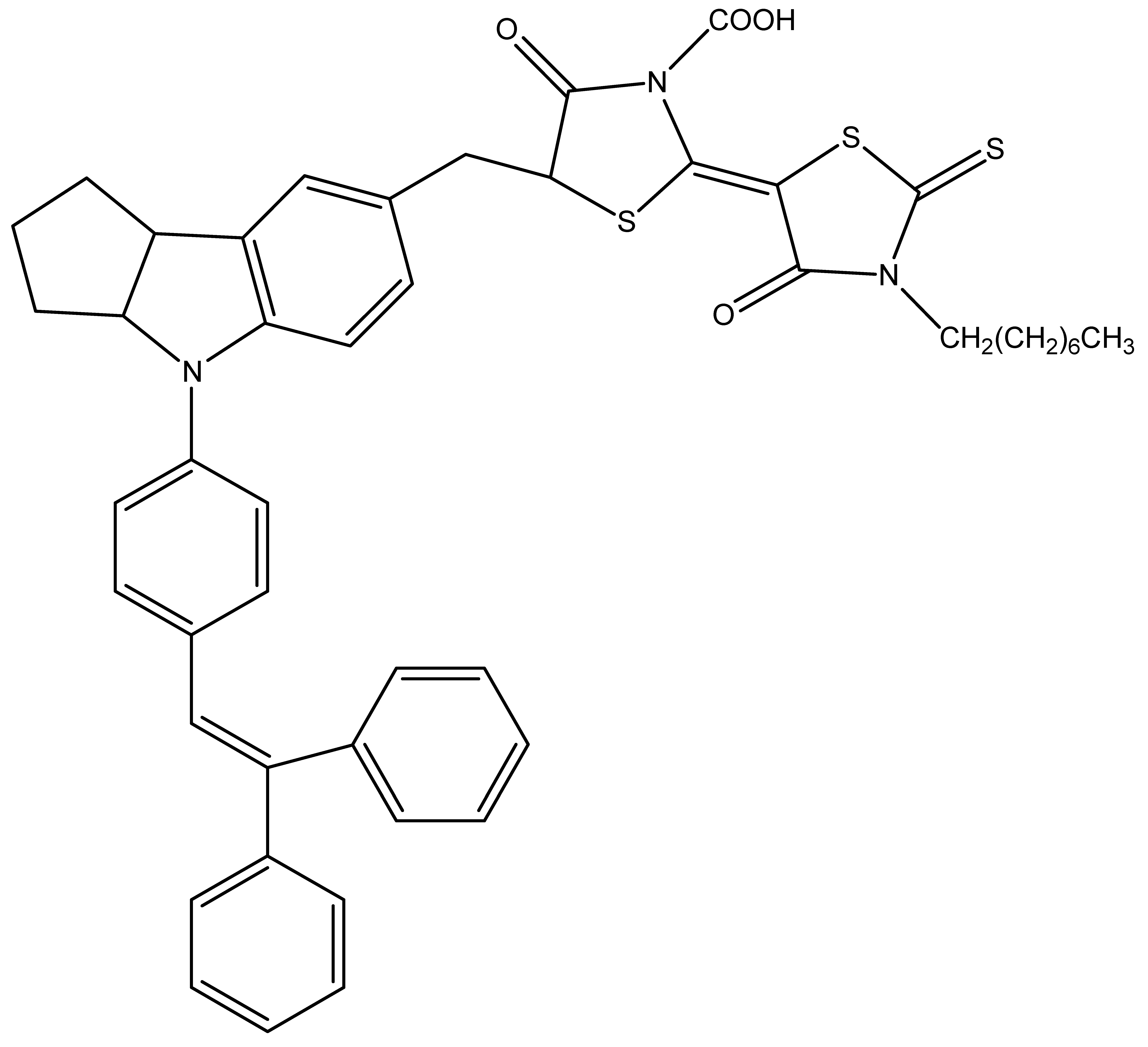
The water-soluble thiolate, 1-(2-hydroxyethyl)-5-mercaptotetrazole potassium salt (T−), and the oxidized disulfide dimer form (DS) have been used to test different hydrophobic dyes and to evaluate the performance of the T−/DS redox couple as the electrolyte [62]. The best PV values using PEDOT as a counter electrode were obtained for C106, Jsc 10 mA cm−2, and it had an efficiency of 3.17% with an active area of 0.126 cm2.
Considering that the use of hydrophobic dyes leads to a low wettability of the TiO2 layer, this thiolate-based electrolyte has also been investigated with an amphiphilic and thiocyanate-free dye, T169, which is a zwitterionic form in a 100% aqueous solution at pH = 5.0. This device has shown good performance, as shown in Table 2, with an efficiency value of 4.50% and long-term stability [62].
The study performed by Bella is very interesting, proposing the first 100% hydrogel electrolyte, consisting of carboxymethylcellulose (CMC) as a green matrix, water and iodide/triiodide redox mediator, and (D131) 2-[{4-[4-(2,2-diphenylethenyl)phenyl]-1,2,3,3a,4,8b-hexahydrocyclopento[b]indole-7-yl}methylidene]-cyanoacetic acid as a dye, but actually, its efficiency values are below 1% [63,64].
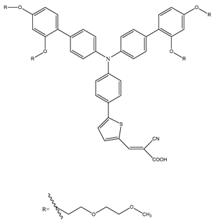
Numerous studies have shown that alternative redox couples mainly based on copper or cobalt complexes can be used in water-based DSSCs. These are non-volatile, corrosive [48,56,66,67], and possess redox potentials generally more positive than that of the I−/I3− couple. For example, a system constituting a xanthan gum (XG) containing [Co(bpy)3]2+/3+ was proposed by Galliano, with MK2 (2-Cyano-3-[5‴-(9-ethyl-9H-carbazol-3-yl)-3′,3″,3‴,4-tetra-n-hexyl-[2,2′,5′,2″,5″,2‴]-quater thiophen-5-yl] acrylic acid)-sensitized TiO2 electrodes reaching an efficiency value of 5%.
Table 2.
PV parameters of DSSC based on organic dye with 100% water content.
Table 2.
PV parameters of DSSC based on organic dye with 100% water content.
| Dye | Electrolyte | Jsc (mA/cm2) | Voc (V) | FF | ƞ (%) | Ref |
|---|---|---|---|---|---|---|
![]() TG6 | 2 M PMMI, 0.05 M I2, 0.1 M GuSCN, 0.5 TBP, 1%TRITON X-100 | 4.7 | 0.74 | 0.69 | 2.4 | [37] |
![]() D205 | 1 M TEMPO in NaBF4 solution on Nafion | 4.5 | 0.69 | 0.64 | 2.1 | [58] |
![]() JK-259 | 2 M PMMI, 0.05 M I2, 0.1 M GuSCN, 0.5 M TBP, 1%TRITON X-100 | 2.28 | 0.66 | 0.79 | 1.16 | [59] |
![]() JK-262 | 3.78 | 0.64 | 0.82 | 2.1 | ||
![]() V35 | 2 M KI, 0.01 M I2 in an aqueous solution saturated CDCA on PEDOT | 6.85 | 0.65 | 0.67 | 3.01 | [60] |
![]() LEG4 | 0.15 M TEMPO, 0.05 M TEMPOBF4, LiClO4, 0.2 M NMBI | 5.78 | 0.95 | 0.75 | 4.14 | [61] |
![]() T169 | T−/DS | 13.3 | 0.54 | 0.62 | 4.50 | [63] |
![]() SK3 | 2 M LiI, 0.02 M I2, 1 M GuSCN | 6.2 | 0.43 | 0.44 | 1.27 | [39] |
![]() D131 | 5 M NaI, 0.01 M I2 in an aqueous solution saturated CDCA | 5.46 | 0.62 | 0.70 | 2.37 | [63,64] |
![]() MK2 | 0.21 M [Co(bpy)3]Cl2, 0.07 M [Co(bpy)3]Cl3, 1.5 wt% of XG | 7.52 | 0.79 | 0.75 | 4.47 | [65] |
![]() N3 | 0.5 M LiI, 0.025 M I2 on SnO2/TiO2 | 4 | 0.39 | 0.42 | 0.66 | [66] |
![]() C106 | PMII (2.5 M), I2 (0.05 M), LiClO4 (0.1 M), and 0.5% Triton X-100 in water | 5.2 | 0.65 | 0.72 | 2.44 | [68] |
![]() N719 | [Cu (bnbip) (X)]1+/2+ redox mediator, Co-MOF additive, and aqueous geltrite polymer host | 6.51 | 0.72 | 0.73 | 3.42 | [69] |
In general, the addition of XG involves a worsening of PV parameters due to the high viscosity of the polymer matrix, but these devices have great stability over time. This behavior indicates that this type of material could be used for indoor and portable applications [65].
Usually, TiO2 is used as a substrate for the realization of the anode in an aqueous cell due to its suitable band gap, but recently some researchers have studied hybrid systems based on combined nanostructured materials. Pham et al. [66] have introduced the use of SnO2-based WE in aqueous devices and a new deposition process to form a surface coating of TiO2 on the mesoporous SnO2 layer, starting from a SnO2 paste based on PEG/PEO coated SnO2 nanoparticles. The efficiency obtained for DSSCs based on N3 (cis-diisothiocyanato-bis(2,2′-bipyridyl-4,4′-dicarboxylic acid) ruthenium(II)) as a dye and 0.5 M LiI and 0.025 M I2 in water as an electrolyte is 0.66%, which is double the value with respect to the same device designed using TiO2.
Ghaddar et al. have measured a PCE value of 0.63% under 100 mW·cm−2 using an electrolyte system based on a polypyridyl copper complex matched with a ruthenium-based dye, C106, in KCl (0.1 M), LiClO4 (0.1 M), and 0.5% Triton X-100 in water with a weakly acidic pH. For this system (simulated AM 1.5 G spectrum with an active area of 0.5 × 0.5 cm2), the same cell made using an electrolyte based only on PMII (2.5 M), I2 (0.05 M), LiClO4 (0.1 M), and 0.5% Triton X-100 in water attained a ƞ of 2.44%. The relevant aspect in this example is related to the efficiency of the copper-based device at low power and its resistance over time. For this reason, these devices are very interesting for indoor applications [68].
In addition, there is another study on a series of copper-based aqueous gel electrolytes employed on DSSC sensitized by N719. Selvaraj used copper mediators with a redox potential of 0.72 V to obtain a high-efficiency value of 3.42%, and demonstrated the role of Co-MOF as an additive to minimize the recombination process [69].
3.2. Water DSSCs Based on Natural Dyes
Photocurrents have been observed in devices based on natural pigments, indicating their potential as photosensitizers. Researchers have studied various pigments such as cyanidin from flowers, santalin from red sandalwood, tannins, and other phenolic pigments [13,14,16], as well as blackberry [70] and apocarotenoids pigments [71].
Rabani and colleagues have investigated the influence of iodine–iodide couple concentration, pH, and size of titanium oxide nanoparticles on devices where dyes were extracted from seed coats of pomegranate fruit belonging to the anthocyanin family, and water was used as a solvent. They found that in DSSCs, efficiency is strongly linked to the size of the TiO2 nanoparticles due to their filtering effect toward other elements of the device [41,42,72]. For natural dyes, higher efficiency values are obtained for smaller particles due to this filtering effect. The pH also affects the photocurrent due to the protonated form of the adsorbed cyanin dye. Therefore, it is advisable to work at a pH below 3 for natural dyes in an aqueous environment [6].
These studies provide information on the photocurrent and voltage generated by devices made with cyanidin-3-glucoside and delphinidin chloride, but do not report efficiency values, as shown in Table 3. The choice of cations present in the electrolyte has a significant impact on the performance of the dye. For instance, in the case of pomegranate, it has been shown that sodium cation produces the best results in terms of both efficiency and photocurrent. This has been referred to as the “goldilocks conditions,” as reported by Cassone and colleagues, and has been demonstrated through experiments and simulations [35].
Table 3.
PV parameters of DSSC based on natural dye with 100% water content.
The study conducted by Lai and colleagues reported the best results using natural dyes and electrolytes consisting of 100% water. They compared the photovoltaic parameters of various commercial and natural dyes and found that several natural pigments with a porphyrin structure showed promise for use in photovoltaics. Table 3 displays the PV parameters obtained, with the best dye being Rhoeo spathacea (Sw.) Stearn., which achieved an efficiency of 1.49%. The researchers used an Au NP layer adsorbed on the TiO2 photoelectrode and the aqueous electrolyte of the Ce4+/3+ couple to improve the photoelectric conversion efficiency [54].
The performance of devices, particularly those using natural dyes, can be influenced by various parameters such as extraction temperature, pH, and type of solvent used. High temperatures can potentially degrade substrates, while low temperatures may impact solubility. Moreover, pH affects not only the device’s performance, but also the stability of the dye. In fact, high pH levels can lead to the destruction of the pigments [6]. From the literature, it is clear that a mixture of dyes (co-sensitization) can help injection processes and increase the electron lifetime, thanks to the different energy levels involved. An example is a DSSC based on anthocyanin + chlorophyll solution in a ratio of 1:1, which has shown the following PV parameters: 0.66 Voc, 3.16 Jsc, 0.62 FF, and 1.29% ƞ [73].
In order to overcome the limits brought to the cell by the water and prevent the occurrence of all those mechanisms and negative effects, it is necessary to set certain conditions and choose suitable components. From the analyzed results obtained on aqueous systems with 100% water content, the following can be concluded:
- The dye must neither be too hydrophobic in order not to reduce the wettability of the TiO2 layer nor too hydrophilic to contain the desorption phenomena from the surface [39,61];
- The thickness of the semiconductor layer used to make the water-based cells must not exceed 10 microns [44,48], and it would be better to use films without nanostructures [4,6,13,35];
- Photo stable couple redox must be identified, which has a suitable potential and low absorbance in the visible spectrum [34,45,56,58,61];
- The use of polymer matrix or gel should be limited to indoor use and at low powers to avoid making the viscosity too high, as this affects the electronic diffusion negatively [63,65,69];
- PEDOT is an alternative cathode in aqueous-based DSSCs [3,60,62];
- Devices designed with copper-based electrolytes [68,69] and ruthenium-based dyes [5,9,12,37,49,50] show greater efficiencies at low powers and resistance over time.
- The use of anodes based on hybrid systems of different semiconductors with different band gaps improves cell performances [30,31,32];
- The choice of cations to be used in the electrolyte solution with iodide anions depends on their mobility, size, and local density accumulated [35];
- With natural dyes, it is necessary to work at acid pH, and it is suitable to use a mixture of multiple dyes [6,7,15,73].
The future research direction is, therefore, to optimize and improve performances by moving towards systems that use natural dyes in water in order to use all healthy components.
4. Underwater-Based DSSCs
As introduced earlier, current photovoltaic systems require specific conditions, high costs, and significant space. Thus, there is a need for new approaches to optimize competitive and efficient systems. For submerged photovoltaic systems, several technological challenges need to be addressed to achieve efficient utilization. Specifically, underwater environments require adequate protection of electrical connectors, appropriate light-absorbing materials, materials that can withstand hydrostatic deformation, and robust device sealing.
Furthermore, underwater environments only allow blue and yellow light to penetrate deep waters, resulting in a narrower solar spectrum than on land. Currently available land-based absorbing PV materials cannot be utilized underwater as they are designed to exploit the entire solar spectrum, which cannot penetrate deep underwater. Therefore, semiconductor materials with a bandgap in the range of 1.8–2.2 eV are potential candidates for operation at depths up to 30 m underwater [74].
It has been proven that an InGaP solar cell, tested at 9 m depth, produces a power density of 7 W/m2 providing energy for sensor systems [75]. However, these kinds of materials are considered high-cost, rare, and environmentally destructive; therefore, new solutions must be researched. In the last ten years, perovskite solar cells (PSCs) have been the most investigated PV technology due to their impressive efficiency value, easy fabrication, and adjustable band gap. Recently, it has been calculated by theory analysis that an inorganic PSC with a band gap around 2–2.2 eV can reach a power density of 3.11 mW/cm2 at the water depth of 50 m [76]. However, PSC has stability issues, it is moisture sensitive, and there is not a relevant study that demonstrates the feasibility of a PSC underwater. Thanks to the ability to select the dye, DSSC has been considered one class of promising PV for underwater application (UWDSSC). For the first time, a study faces the capability of DSSC underwater. A standard DSSC device with Z907 as a dye, iodine/triiodine redox couple as an electrolyte, and platinum as a counter electrode was assembled and tested underwater from 2 to 20 cm. It demonstrated a power loss of 40.68% for the DSSC device, comparable to an a-Si solar cell [77]. However, the power loss is drastically lower in comparison to monocrystalline (c-Si) and polycrystalline (p-Si) silicon solar cells (loss over 60%) tested in other works [78,79], and this is due to their 1.1 eV bandgaps with less available ideal wavelengths in an underwater environment. A recent work [80] proposed phycobilisomes (PBSs) as a suited pigment for underwater DSSC because these act-like antennas in cyanobacteria and red algae, which collect and transmit light and allow them to survive at reasonable depths. The precedent is a valid reason to believe phycobilisomes are an optimum candidate for underwater DSSC, but cells were tested only under a 1.5 AM sun simulator giving less than 1% of ƞ. Exploiting the properties of natural pigments evolved in a deep-water environment is a reasonable approach that must be considered to develop a proper dye for UWDSSC. However, significant technological challenges must be overcome to ensure their efficient utilization, such as adequate protection of electrical connectors, the development of suitable materials to withstand hydrostatic deformation, and the use of appropriate light-absorbing materials. Furthermore, the selection of suitable hydrophobic dyes is crucial to ensure the stable and efficient operation of the cells.
5. Outlook
Looking ahead, there are several promising directions for research on WBDSSC and UWDSSC in general.
Firstly, improving the efficiency and stability of DSSCs using water-based electrolytes will continue to be an important area of focus. There is a need to find a compromise in the choice of the dye to prevent it from being too hydrophilic or highly hydrophobic, and creating a suitable photoanode/electrolyte interface will be one of the main research goals in the coming years.
Secondly, the use of natural sensitizers in DSSCs is an area of growing interest, as they offer potential advantages in terms of cost, sustainability, and biocompatibility. However, further research is needed to optimize the performance of these materials and understand their mechanisms of action.
Thirdly, the development of underwater solar cells has the potential to enable the utilization of renewable energy in aquatic environments, with applications ranging from underwater sensors to autonomous underwater vehicles. Continued research and development will be important to enhance the efficiency and durability of these devices, and to explore new materials and device architectures.
Overall, the research discussed in this chat highlights the promising potential of dye-sensitized solar cells and underwater solar cells for sustainable energy generation. Continued innovation and collaboration across disciplines will be crucial to overcoming current limitations and achieving widespread implementation of these technologies.
6. Conclusions
This review aims to analyze the best results achieved by photovoltaic devices using 100% water-based electrolytes with synthetic, organic, and natural dyes to identify the best conditions for overcoming current limitations. Dye-sensitized solar cells (DSSCs), while still lagging behind silicon and perovskite-based photovoltaic technologies in power conversion efficiency (PCE), are promising due to their low cost, eco-friendly impact, and semitransparency for building-integrated photovoltaic (BIPV) applications. This review extensively covers state-of-the-art water-based DSSCs, with a particular focus on natural sensitizers.
Although current PCE values are low, replacing organic solvents with water, optimizing the process conditions, and selecting suitable components can improve the performance of these cells. Promising results obtained so far justify continued research in this direction. However, there is a need to find a compromise in choosing the dye to prevent it from being too hydrophilic or highly hydrophobic, creating a suitable photoanode/electrolyte interface.
Effective strategies for realistic aqueous DSSCs include using cobalt complexes (preferably in gel form) as redox mediators, hydrophobic dyes combined with surfactants or weakly hydrophilic dyes obtained by modifying existing sensitizers, and water-tolerant counter electrodes with wide surface area. However, comparative studies are needed to improve knowledge of these systems. The promising prospects of the novel materials described in this review suggest they can be effectively implemented in the emerging business of aqueous DSSC manufacturing. The use of water in solar energy conversion devices was once a big gamble, but based on the results discussed, it may soon become the key to the success of this green technology and enter the mass production stage.
Underwater solar cells hold great potential for enabling renewable energy utilization in aquatic environments, and recent advancements in material science and device engineering have shown promising results in enhancing their efficiency and durability. With further research and development, these devices can become a viable alternative for sustainable energy generation in a wide range of underwater applications.
Future research in this field is critical to advance the development and optimization of underwater solar cells, which have the potential to significantly contribute to clean energy production in aquatic environments.
Author Contributions
Conceptualization, D.S., J.B. and G.C.; resources, G.C. and D.S.; data curation, J.B., D.S. and G.C.; writing—original draft preparation, D.S., J.B., I.C. and G.C.; writing—review and editing, D.S., J.B., I.C. and G.C.; funding acquisition, G.C. All authors have read and agreed to the published version of the manuscript.
Funding
This work was funded by Project NAUSICA (PON “R&S 2014–2020”, grant n. ARS01_00334).
Institutional Review Board Statement
Not applicable.
Informed Consent Statement
Not applicable.
Data Availability Statement
Not applicable.
Acknowledgments
We would like to express our gratitude to Roberto Caruso, Giuseppe Lupò, Guerino Sarullo, and Giuseppe Spinella, the technical staff of IPCF–CNR, for their valuable assistance in setting up the computers, printers, and hardware.
Conflicts of Interest
The authors declare no conflict of interest.
References
- Barichello, J.; Vesce, L.; Mariani, P.; Leonardi, E.; Braglia, R.; Di Carlo, A.; Canini, A.; Reale, A. Stable Semi-Transparent Dye-Sensitized Solar Modules and Panels for Greenhouse Application. Energies 2021, 14, 6393. [Google Scholar] [CrossRef]
- Iftikhar, H.; Sonai, G.G.; Hashmi, S.G.; Nogueira, A.F.; Lund, P.D. Progress on electrolytes development in dye-sensitized solar cells. Materials 2019, 12, 1998. [Google Scholar] [CrossRef] [PubMed]
- Weerasinghe, H.C.; Huang, F.; Cheng, Y.B. Fabrication of flexible dye sensitized solar cells on plastic substrates. Nano Energy 2013, 2, 174–189. [Google Scholar] [CrossRef]
- Contreras, A.R.; Pacheco, J.S.L.; Alvarado, J.; Pal, U.; Cab, J.V. Water-Induced Fine-Structure Disorder and Its Effect on the Performance of Photoelectrodes in Dye-Sensitized Solar Cells. ACS Appl. Energy Mater. 2022, 5, 4817–4828. [Google Scholar]
- Wu, C.-G. Ruthenium-based complex dyes for dye-sensitized solar cells. J. Chin. Chem. Soc. 2022, 69, 1242–1252. [Google Scholar] [CrossRef]
- Kim, J.-H.; Kim, D.-H.; So, J.-H.; Koo, H.-J. Toward Eco-Friendly Dye-Sensitized Solar Cells (DSSCs): Natural Dyes and Aqueous Electrolytes. Energies 2022, 15, 219. [Google Scholar] [CrossRef]
- Calogero, G.; Bartolotta, A.; Di Marco, G.; Di Carlo, A.; Bonaccorso, F. Vegetable-based dye-sensitized solar cells. Chem. Soc. Rev. 2015, 44, 3244–3294. [Google Scholar] [CrossRef]
- O’Regan, B.; Grätzel, M. A low-cost, high-efficiency solar cell based on dye-sensitized colloidal TiO2 films. Nature 1991, 353, 737–740. [Google Scholar] [CrossRef]
- Nazeeruddin, M.K.; Kay, A.; Rodicio, I.; Humphry-Baker, R.; Muller, E.; Liska, P.; Vlachopoulos, N.; Gratzel, M. Conversion of Light to Electricity by Cis-X2bis(2,2′-bipyridyl-4,4′-dicarboxylate)ruthenium(II) Charge-Transfer Sensitizers (X = Cl−, Br−, I−, CN−, and SCN−) on Nanocrystalline Titanium Dioxide Electrodes. J. Am. Chem. Soc. 1993, 115, 6382–6390. [Google Scholar] [CrossRef]
- Hagfeldt, A.; Graetzel, M. Light-Induced Redox Reactions in Nanocrystalline Systems. Chem. Rev. 1995, 95, 49. [Google Scholar] [CrossRef]
- Graetzel, M. Sol-Gel Processed TiO2 Films for Photovoltaic Applications. J. SolGel Sci. Technol. 2001, 22, 7. [Google Scholar] [CrossRef]
- Argazzi, R.; Bignozzi, C.A.; Heimer, T.A.; Castellano, F.N.; Meyer, G.J. Enhanced spectral sensitivity from ruthenium (II) polypyridyl based photovoltaic devices. Inorg. Chem. 1994, 33, 5741. [Google Scholar] [CrossRef]
- Tennakone, K.; Kumara, G.R.R.A.; Kumarasinghe, A.R.; Wijayantha, K.G.U.; Sirimanne, P.M. A dye-sensitized nano-porous solid-state photovoltaic cell. Semicond. Sci. Technol. 1995, 10, 1689. [Google Scholar] [CrossRef]
- Tennakone, K.; Kumara, G.R.R.A.; Kumarasinghe, A.R.; Sirimanne, P.M.; Wijayantha, K.G.U. Efficient photosensitization of nanocrystalline TiO2 films by tannins and related phenolic substances. J. Photochem. Photobiol. A Chem. 1996, 94, 217. [Google Scholar] [CrossRef]
- Fang, J.H.; Mao, H.F.; Wu, J.W.; Zhang, X.Y.; Lu, Z.H. The photovoltaic study of co-sensitized microporous TiO2 electrode with porphyrin and phthalocyanine molecules. Appl. Surf. Sci. 1997, 119, 237. [Google Scholar] [CrossRef]
- Tennakone, K.; Jayaweera, P.V.V.; Bandaranayake, P.K.M. Dye-sensitized photoelectrochemical and solid-state solar cells: Charge separation, transport and recombination mechanisms. J. Photochem. Photobiol. A Chem. 2003, 158, 125–130. [Google Scholar] [CrossRef]
- Rosa-Clot, M.; Rosa-Clot, P.; Tina, G.M.; Scandura, P.F. Submerged photovoltaic solar panel: SP2. Renew. Energy 2010, 35, 1862–1865. [Google Scholar] [CrossRef]
- Adoram-Kershner, L.; Bruce, T.; Morris, C. Modeling and testing solar power for globally migrating submarine systems. In Proceedings of the OCEANS 2017—Anchorage, Anchorage, AK, USA, 18–21 September 2017; IEEE: New York, NY, USA, 2017; pp. 1–9. [Google Scholar]
- Mayville, P.; Patil, N.V.; Pearce, J.M. Distributed manufacturing of after market flexible floating photovoltaic modules. Sustain. Energy Technol. Assess. 2020, 42, 100830. [Google Scholar] [CrossRef]
- Mittal, D.; Saxena, B.K.; Rao, K.V. Potential of floating photovoltaic system for energy generation and reduction of water evaporation at four different lakes in Rajasthan. In Proceedings of the 2017 International Conference On Smart Technologies For Smart Nation (SmartTechCon), Bengaluru, India, 17–19 August 2017; IEEE: New York, NY, USA, 2018; pp. 238–243. [Google Scholar]
- Spencer, R.S.; Macknick, J.; Aznar, A.; Warren, A.; Reese, M.O. Floating photovoltaic systems: Assessing the technical potential of photovoltaic systems on man-made water bodies in the continental United States. Env. Sci. Technol. 2019, 53, 1680–1689. [Google Scholar] [CrossRef] [PubMed]
- Calnan, S.; Bagacki, R.; Bao, F. Development of various photovoltaic-driven water electrolysis technologies for green solar hydrogen generation. Sol. RRL 2021, 6, 2100479. [Google Scholar] [CrossRef]
- Hayibo, K.S.; Mayville, P.; Kailey, R.K.; Pearce, J.M. Water conservation potential of self-funded foam-based flexible surface-mounted floatovoltaics. Energies 2020, 13, 6285. [Google Scholar] [CrossRef]
- Stachiw, J.D. Performance of photovoltaic cells in an undersea environment. J. Eng. Ind. 1980, 102, 51–59. [Google Scholar] [CrossRef]
- Bella, F.; Porcarelli, L.; Mantione, D.; Gerbaldi, C.; Barolo, C.; Grätzel, M.; Mecerreyes, D. Water-based and metal-free dye solar cell exceeding 7% efficiency using a cationic poly(3,4-ethylenedioxythiophene) derivative. Chem. Sci. 2020, 11, 1485–1493. [Google Scholar] [CrossRef] [PubMed]
- Ren, Y.; Zhang, D.; Suo, J.; Cao, Y.; Eickemeyer, F.T.; Vlachopoulos, N.; Zakeeruddin, S.M.; Hagfeldt, A.; Grätzel, M. Hydroxamic acid preadsorption raises efficiency of cosensitized solar cells. Nature 2023, 613, 60–65. [Google Scholar] [CrossRef] [PubMed]
- Khushboo, S.; Sharma, V.; Sharma, S.S. Dye-Sensitized Solar Cells: Fundamentals and Current Status. Nanoscale Res. Lett. 2018, 13, 381. [Google Scholar]
- Delices, A.; Zhang, J.; Santoni, M.P.; Dong, C.Z.; Maurel, F.; Bellynck, S.; Chevillot, A.; Vlachopoulos, N.; Hagfeldt, A.; Jouini, M. Experimental and theoretical study of organic sensitizers for solid-state dye sensitized solar cells. J. Photochem. Photobiol. A Chem. 2022, 428, 113890. [Google Scholar] [CrossRef]
- Barichello, J.; Spadaro, D.; Gullace, S.; Sinopoli, A.; Calandra, P.; Irrera, A.; Matteocci, F.; Calogero, G.; Caramori, S.; Bignozzi, C.A. Optically Transparent Gold Nanoparticles for DSSC Counter-Electrode: An Electrochemical Characterization. Molecules 2022, 27, 4178. [Google Scholar] [CrossRef] [PubMed]
- Lupan, O.; Guerin, V.M.; Tiginyanu, I.M. Well-aligned arrays of vertically oriented ZnOnanowires electrodeposited on ITO-coated glass and their integration in dye sensitized solar cells. J. Photochem. Photobiol. A Chem. 2010, 211, 65–73. [Google Scholar] [CrossRef]
- Han, D.-W.; Heo, J.-H.; Kwak, D.-J.; Han, C.-H.; Sung, Y.-M. Texture, morphology and photovoltaic characteristics of nanoporous F:SnO2 films. J. Electr. Eng. Technol. 2009, 4, 93–97. [Google Scholar] [CrossRef]
- Wang, Z.S.; Kawauchi, H.; Kashima, T.; Arakawa, H. Significant influence of TiO2 photoelectrode morphology on the energy conversion efficiency of N719 dye-sensitized solar cell. Coord. Chem. Rev. 2004, 248, 1381–1389. [Google Scholar] [CrossRef]
- Calogero, G.; Di Marco, G.; Cazzanti, S. Efficient dyesensitized solar cells using red turnip and purple wild Sicilian prickly pear fruits. Int. J. Mol. Sci. 2010, 11, 254–267. [Google Scholar] [CrossRef] [PubMed]
- Gerrit, B.; Anders, H. Characteristics of the iodide/triiodide redox mediator in dye-sensitized solar cells. Acc. Chem. Res. 2009, 42, 1819–1826. [Google Scholar]
- Cassone, G.; Calogero, G.; Sponer, J.; Saija, F. Mobilities of iodide anions in aqueous solutions for applications in natural dye-sensitized solar cell. Phys. Chem. Chem. Phys. 2018, 20, 13038. [Google Scholar] [CrossRef] [PubMed]
- Bella, F.; Galliano, S.; Falco, M.; Viscardi, G.; Barolo, C.; Graetzel, M.; Gerbaldi, C. Unveiling iodine-based electrolytes chemistry in aqueous dye-sensitized solar cells. Chem. Sci. 2016, 7, 4880. [Google Scholar] [CrossRef]
- Law, C.H.; Pathirana, S.C.; Li, X.; Anderson, A.Y.; Barnes, P.R.F.; Listorti, A.; Ghaddar, T.H.; O’Regan, B.C. Water-Based Electrolytes for Dye-Sensitized Solar Cells. Adv. Mater. 2010, 22, 4505–4509. [Google Scholar] [CrossRef]
- Zhu, K.; Jang, S.-R.; Frank, A.J. Effects of water intrusion on the charge-carrier dynamics, performance, and stability of dye sensitized solar cells. Energy Environ. Sci. 2012, 5, 9492. [Google Scholar] [CrossRef]
- Keval, K.; Sonigara, J.V.; Machhi, V.; Hiren, K.; Prasad, J.; Gibaud, A.; Soni, S.S. Anisotropic One-Dimensional Aqueous Polymer Gel Electrolyte for Photoelectrochemical Devices: Improvement in Hydrophobic TiO2−Dye/Electrolyte Interface. ACS Appl. Energy Mater. 2018, 1, 3665–3673. [Google Scholar]
- Park, S.J.; Yoo, K.; Kim, J.-Y.; Kim, J.Y.; Lee, D.-K.; Kim, B.S.; Kim, H.; Kim, J.H.; Cho, J.; Ko, M.J. Water-Based Thixotropic Polymer Gel Electrolyte for Dye-Sensitized Solar Cells. ACS Nano 2013, 7, 4050–4056. [Google Scholar] [CrossRef]
- Dai, Q.; Rabani, J. Photosensitization of nanocrystalline TiO2 films by pomegranate pigments with unusually high efficiency in aqueous medium. Chem. Commun. 2001, 20, 2142–2143. [Google Scholar] [CrossRef]
- Dai, Q.; Rabani, J. Photosensitization of nanocrystalline TiO2 films by anthocyanin dyes. J. Photochem. Photobiol. A Chem. 2002, 148, 17–24. [Google Scholar] [CrossRef]
- Hui, Z.; Xiong, Y.; Heng, L.; Yuan, L.; Yu-Xiang, W. Explanation of Effect of Added Water on Dye-Sensitized Nanocrystalline TiO2 Solar Cell: Correlation between Performance and Carrier Relaxation Kinetics. Chin. Phys. Lett. 2007, 24, 3272–3275. [Google Scholar] [CrossRef]
- Galliano, S.; Bella, F.; Gerbaldi, C.; Falco, M.; Viscardi, G.; Graetzel, M.; Barolo, C. Photoanode/Electrolyte Interface Stability in Aqueous Dye-Sensitized Solar Cells. Energy Technol. 2017, 5, 300–311. [Google Scholar] [CrossRef]
- Liu, Y.; Hagfeldt, A.; Xiao, X.-R.; Lindquist, S.E. Investigation of influence of redox species on the interfacial energetics of a Dye-Sensitized nanoporous TiO2 solar cell. Sol. Energy Mater. Sol. Cells 1998, 55, 267–281. [Google Scholar] [CrossRef]
- Glinka, A.; Gierszewski, M.; Ziółek, M. Effects of Aqueous Electrolyte, Active Layer Thickness and Bias Irradiation on Charge Transfer Rates in Solar Cells Sensitized with Top Efficient Carbazole Dyes. J. Phys. Chem. C 2018, 122, 8147–8158. [Google Scholar] [CrossRef]
- Jung, Y.S.; Yoo, B.; Lim, M.K.; Lee, S.Y.; Kim, K.J. Effect of Triton X-100 in water-added electrolytes on the performance of dye-sensitized solar cells. Electrochim. Acta 2009, 54, 6286–6291. [Google Scholar] [CrossRef]
- Bella, F.; Gerbaldi, C.; Barolo, C.; Graetzel, M. Aqueous dye-sensitized solar cells. Chem. Soc. Rev. 2015, 44, 3431. [Google Scholar] [CrossRef]
- Zhang, H.; Qiu, L.; Xu, D.; Zhang, W.; Yan, F. Performance enhancement for water-based dye-sensitized solar cells via addition of ionic surfactants. J. Mater. Chem. A 2014, 2, 2221–2226. [Google Scholar] [CrossRef]
- Law, C.H.; Moudam, O.; Villarroya-Lidon, S.; O’Regan, B. Managing wetting behavior and collection efficiency in photoelectrochemical devices based on water electrolytes; improvement in efficiency of water/iodide dye sensitised cells to 4%. J. Mater. Chem. 2012, 22, 23387. [Google Scholar] [CrossRef]
- Fagiolari, L.; Bonomo, M.; Cognetti, A.; Meligrana, G.; Gerbaldi, C.; Barolo, C.; Bella, F. Photoanodes for Aqueous Solar Cells: Exploring Additives and Formulations Starting from a Commercial TiO2 Paste. ChemSusChem 2020, 13, 6562–6573. [Google Scholar] [CrossRef]
- Dong, C.; Xiang, W.; Huang, F.; Fu, D.; Huang, W.; Bach, U.; Cheng, Y.B.; Li, X.; Spiccia, L. Controlling interfacial recombination in aqueous dye-sensitized solar cells by octadecyltrichlorosilane surface treatment, Angew. Chem. Int. Ed. 2014, 53, 6933–6937. [Google Scholar] [CrossRef]
- Su, Y.H.; Lai, W.H.; Teoh, L.G.; Hon, M.H.; Huang, J.L. Layer-by-layer Au nanoparticles as a Schottky barrier in a water-based dye-sensitized solar cell. Appl. Phys. A Mater. Sci. 2007, 88, 173–178. [Google Scholar] [CrossRef]
- Lai, W.H.; Su, L.H.; Teoh, L.G.; Hon, M.H. Commercial and natural dyes as photosensitizers for a water-based dye-sensitized solar cell loaded with gold nanoparticles. J. Photochem. Photobiol. A 2008, 195, 307–313. [Google Scholar] [CrossRef]
- Daeneke, T.; Uemura, Y.; Duffy, N.W.; Mozer, A.J.; Koumura, N.; Bach, U.; Spiccia, L. Aqueous dye-sensitized solar cell electrolytes based on the ferricyanide-ferrocyanide redox couple. Adv. Mater. 2012, 24, 1222–1225. [Google Scholar] [CrossRef] [PubMed]
- Xiang, W.; Huang, F.; Cheng, Y.B.; Bach, U.; Spiccia, L. Aqueous dye-sensitized solar cell electrolytes based on the cobalt(II)/(III) tris(bipyridine) redox couple. Energy Environ. Sci. 2013, 6, 121–127. [Google Scholar] [CrossRef]
- Mariotti, N.; Bonomo, M.; Fagiolari, L.; Barbero, N.; Gerbaldi, C.; Bella, F.; Barolo, C. Recent advances in eco-friendly and cost-effective materials towards sustainable dye-sensitized solar cells. Green Chem. 2020, 22, 7168–7218. [Google Scholar] [CrossRef]
- Kato, R.; Kato, F.; Oyaizu, K.; Nishide, H. Redox-active hydroxy-TEMPO radical immobilized in Nafion layer for an aqueous electrolyte-based and dye-sensitized solar cell. Chem. Lett. 2014, 43, 480–482. [Google Scholar] [CrossRef]
- Choi, H.; Jeong, B.-S.; Do, K.; Ju, M.J.; Song, K.; Ko, J. Aqueous electrolyte based dye-sensitized solar cells using organic sensitizers. New J. Chem. 2013, 37, 329–336. [Google Scholar] [CrossRef]
- Leandri, V.; Ellis, H.; Gabrielsson, E.; Sun, L.; Boschloo, G.; Hagfeldt, A. An organic hydrophilic dye for water-based dye-sensitized solar cells. Phys. Chem. Chem. Phys. 2014, 16, 19964–19971. [Google Scholar] [CrossRef]
- Yang, W.; Söderberg, M.; Eriksson, A.I.K.; Boschloo, G. Efficient aqueous dye-sensitized solar cell electrolytes based on a TEMPO/TEMPO+ redox couple. RSC Adv. 2015, 5, 26706. [Google Scholar] [CrossRef]
- Fayad, R.; Shoker, T.A.; Ghaddar, T.H. High photo-currents with a zwitterionic thiocyanate-free dye in aqueous-based dye sensitized solar cells. Dalton Trans. 2016, 45, 5622–5628. [Google Scholar] [CrossRef]
- Bella, F.; Galliano, S.; Falco, M.; Viscardi, G.; Barolo, C.; Grätzel, M.; Gerbaldi, C. Approaching truly sustainable solar cells by the use of water and cellulose derivatives. Green. Chem. 2017, 19, 1043. [Google Scholar] [CrossRef]
- Bella, F.; Galliano, S.; Piana, G.; Giacona, G.; Viscardi, G.; Grätzel, M.; Barolo, C.; Gerbaldi, C. Boosting the efficiency of aqueous solar cells: A photoelectrochemical estimation on the effectiveness of TiCl4 treatment. Electrochim. Acta 2019, 302, 31–37. [Google Scholar] [CrossRef]
- Galliano, S.; Bella, F.; Bonomo, M.; Giordano, F.; Grätzel, M.; Viscardi, G.; Hagfeldt, A.; Gerbaldi, C.; Barolo, C. Xanthan-Based Hydrogel for Stable and Efficient Quasi-Solid Truly Aqueous Dye-Sensitized Solar Cell with Cobalt Mediator. Sol. RRL 2021, 5, 2000823. [Google Scholar] [CrossRef]
- Pham, B.; Willinger, D.; McMillan, N.K.; Roye, J.; Burnett, W.; D’Achille, A.; Coffer, J.L.; Sherman, B.D. Tin (IV) oxide nanoparticulate films for aqueous dye-sensitized solar cells. Sol. Energy 2021, 224, 984–991. [Google Scholar] [CrossRef]
- Ellis, H.; Jiang, R.; Ye, S.; Hagfeldt, A.; Boschloo, G. Development of high efficiency 100% aqueous cobalt electrolyte dye-sensitised solar cells. Phys. Chem. Chem. Phys. 2016, 18, 8419. [Google Scholar] [CrossRef]
- Jilakian, M.; Ghaddar, T.H. Eco-Friendly Aqueous Dye-Sensitized Solar Cell with a Copper(I/II) Electrolyte System: Efficient Performance under Ambient Light Conditions, ACS Appl. Energy Mater. 2022, 5, 257–265. [Google Scholar] [CrossRef]
- Selvaraj, B.; Shanmugam, G.; Kamaraj, S.; Thirugnanasambandam, E.; Gunasekeran, A.; Sambandam, A. Effect of an aqueous copper gel electrolyte with cobalt metal organic framework based additive on performance of aqueous-dye-sensitized solar cells. Sol. Energy 2022, 236, 586–598. [Google Scholar] [CrossRef]
- Olea, A.; Ponce, G.; Sebastian, P.J. Electron transfer via organic dyes for solar conversion. Sol. Energy Mater. Sol. Cells 1999, 59, 137–143. [Google Scholar] [CrossRef]
- Calogero, G.; Barichello, J.; Citro, I.; Mariani, P.; Vesce, L.; Bartolotta, A.; Di Carlo, A.; Di Marco, G. Photoelectrochemical and spectrophotometric studies on dye-sensitized solar cells (DSCs) and stable modules (DSCMs) based on natural apocarotenoids pigments. Dye. Pigment. 2018, 155, 75–83. [Google Scholar] [CrossRef]
- Dai, Q.; Rabani, J. Unusually efficient photosensitization of nanocrystalline TiO2 films by pomegranate pigments in aqueous medium. New J. Chem. 2002, 26, 421–426. [Google Scholar] [CrossRef]
- Chang, H.; Kao, M.-J.; Chen, T.-L.; Chen, C.-H.; Cho, K.-C.; Lai, X.-R. Characterization of natural dye extracted from wormwood and purple cabbage for dye-sensitized solar cells. Int. J. Photoenergy 2013, 2013, 159502. [Google Scholar] [CrossRef]
- Röhr, J.A.; Lipton, J.; Kong, J.; Maclean, S.A.; Taylor, A.D. Efficiency Limits of Underwater Solar Cells. Joule 2020, 4, 840–849. [Google Scholar] [CrossRef]
- Jenkins, P.P.; Messenger, S.; Trautz, K.M.; Maximenko, S.I.; Goldstein, D.; Scheiman, D.; Hoheisel, R.; Walters, R.J. High-Bandgap Solar Cells for Underwater Photovoltaic Applications. IEEE J. Photovolt. 2014, 4, 202–207. [Google Scholar] [CrossRef]
- Liu, C.; Dong, H.; Zhang, Z.; Chai, W.; Li, L.; Chen, D.; Zhu, W.; Xi, H.; Zhang, J.; Zhang, C.; et al. Promising applications of wide bandgap inorganic perovskites in underwater photovoltaic cells. Sol. Energy 2022, 233, 489–493. [Google Scholar] [CrossRef]
- Enaganti, P.K.; Soman, S.; Devan, S.S.; Pradhan, S.C.; Srivastava, A.K.; Pearce, J.M.; Goel, S. Dye-sensitized solar cells as promising candidates for underwater photovoltaic applications. Prog. Photovolt. Res. Appl. 2022, 30, 632–639. [Google Scholar] [CrossRef]
- Enaganti, P.K.; Dwivedi, P.K.; Sudha, R.; Srivastava, A.K.; Goel, S. Underwater Characterization and Monitoring of Amorphous and Monocrystalline Solar Cells in Diverse Water Settings. IEEE Sens. J. 2020, 20, 2730–2737. [Google Scholar] [CrossRef]
- Enaganti, P.K.; Dwivedi, P.K.; Srivastava, A.K.; Goel, S. Study of solar irradiance and performance analysis of submerged monocrystalline and polycrystalline solar cells. Prog. Photovolt. Res. Appl. 2020, 28, 725–735. [Google Scholar] [CrossRef]
- Li, W.; Pu, Y.; Baosheng, G.; Wang, Y.; Yu, D.; Song, Q. Dye-sensitized solar cells based on natural and artificial phycobiliproteins to capture low light underwater. Int. J. Hydrogen Energy 2019, 44, 1182–1191. [Google Scholar] [CrossRef]
Disclaimer/Publisher’s Note: The statements, opinions and data contained in all publications are solely those of the individual author(s) and contributor(s) and not of MDPI and/or the editor(s). MDPI and/or the editor(s) disclaim responsibility for any injury to people or property resulting from any ideas, methods, instructions or products referred to in the content. |
© 2023 by the authors. Licensee MDPI, Basel, Switzerland. This article is an open access article distributed under the terms and conditions of the Creative Commons Attribution (CC BY) license (https://creativecommons.org/licenses/by/4.0/).















