Analysis of Adiabatic Strain Localization Coupled to Ductile Fracture and Melting, with Application and Verification for Simple Shear
Abstract
1. Introduction
2. 3D Formulation
2.1. Constitutive Model
2.2. Balance Laws and Dissipation
3. Dynamic Shear with Pressure
3.1. Geometry, Loading Conditions, and Governing Equations
3.2. Approximations and Reduced Governing Equations
3.3. Viscoplasticity
3.4. Shear Fracture
3.5. Melting
3.6. Temperature
4. Localization and Numerical Methods
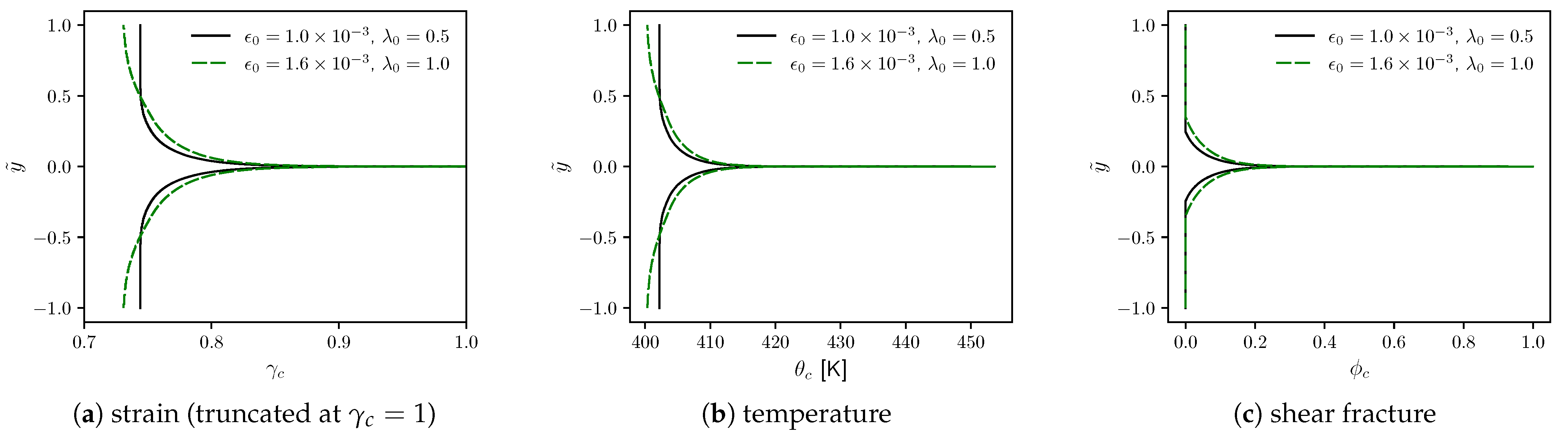
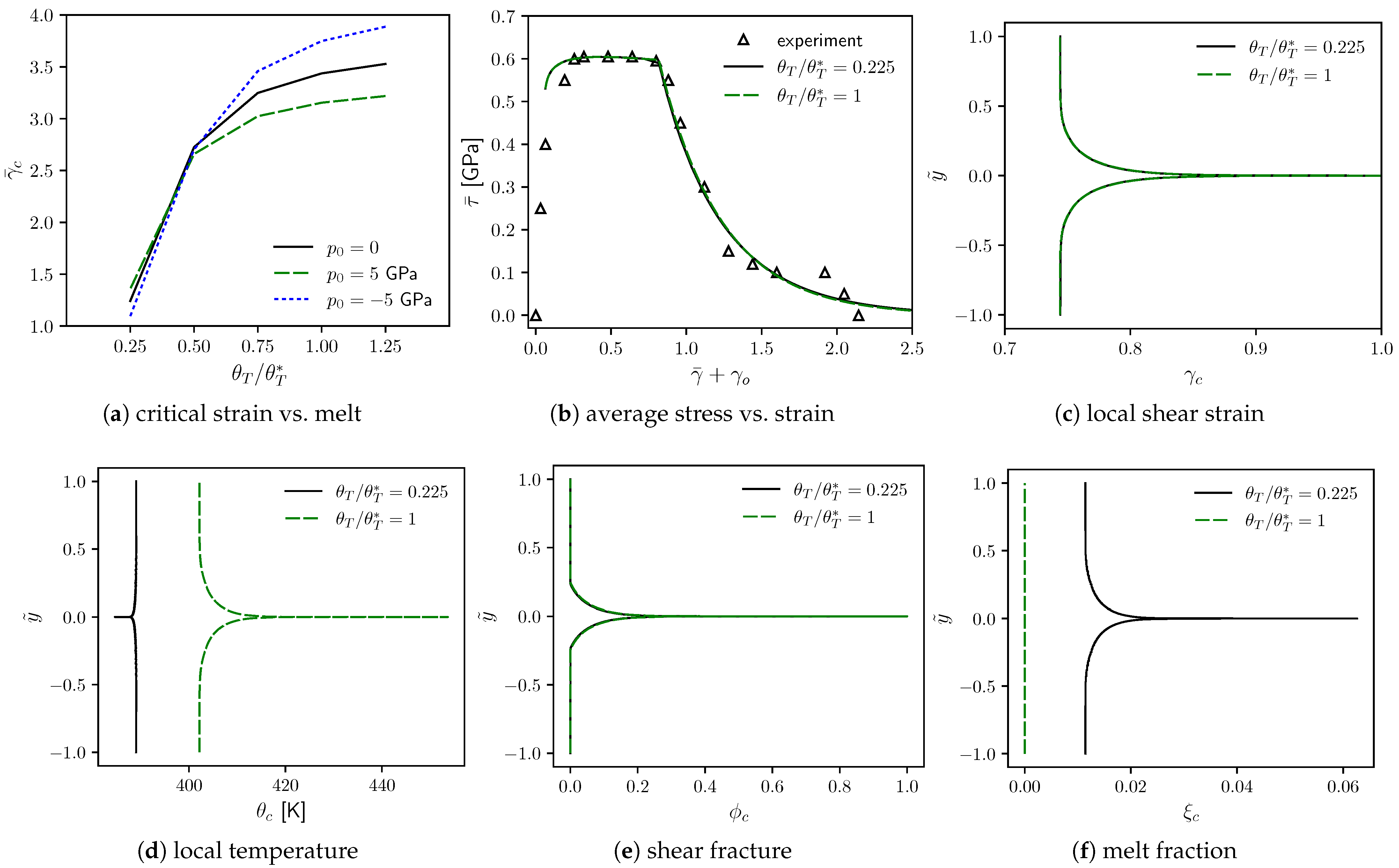
4.1. Failure Modes
- Shear banding. This is the localization definition of Molinari and Clifton [11,12,14] also used in Ref. [8]. With reference to the last of (44), failure by localization of shear strain occurs at material point B with and time when with increasing time for every point A with . If remains bounded, as , meaning shear stress vanishes at some time .
- Shear fracture. As in phase-field and continuum damage mechanics, shear fracture occurs when order parameter . In the present analysis, shear fracture will generally occur earliest at a point due to an initial defect. If in (53), then upon shear fracture. If , some (small) fraction of strength can be maintained, depending on whether shear banding or melting take place concurrently.
- Melting. Failure by melting occurs when order parameter . In the present analysis, melting will tend to occur first where temperature rise is largest, which correlates with high-strain regions triggered by initial defects (e.g., at point ). In (63), as if . But if , then some fraction of strength can be maintained depending on whether shear banding or shear fracture occur simultaneously.
- Order parameters or evolve with as . No definite criteria for the possibility of localization are derived since , , and depend on in forms not known analytically.
- Either (or both of) or occurs at finite with or . In this case, fracture or melt failure precedes shear band failure; the latter never occurs since is finite.
- Both and attain fixed terminal values less than unity, or attain unit values with and , at finite . In this case, since and cease to evolve, they do not influence behavior of in (67) as , and and become nonzero constants. Thus, the original criterion for the possibility of failure applies (see derivations in Refs. [8,11,12]):most valid for . A Newtonian fluid is recovered for and , whereby (70) is violated. A slightly different analysis of non-hardening () materials [12] gives the localization criterion , also violated for any Newtonian fluid with . Hence, Newtonian viscosity of molten material must be omitted for failure, as done herein.
4.2. Homogeneous Solutions
4.3. Localization Calculations
5. Application to Steel
5.1. Properties and Parameters
5.2. Numerical Results
6. Parameter Variations
7. Discussion
8. Conclusions
Funding
Data Availability Statement
Conflicts of Interest
Notation
| t | total time | spatial, referential position vectors | |
| spatial, referential mass densities | spatial, referential body volumes | ||
| total, elastic, inelastic, plastic deformations | spatial Cartesian coordinates | ||
| total, elastic, inelastic, plastic volume ratios | referential Cartesian coordinates | ||
| total, elastic, inelastic, plastic simple shears | velocity, body force vectors | ||
| elastic, isochoric elastic deformation tensors | melt order parameter | ||
| inelastic, plastic velocity gradients | damage order parameter | ||
| free energy, internal energy | plastic state variable | ||
| current, reference, initial temperatures | latent heat of fusion | ||
| instability, equilibrium melt temperatures | entropy, specific heat | ||
| heat flux, thermal conductivity | internal dissipation | ||
| total and deviatoric Cauchy stress tensors | Cauchy pressure, constant pressure | ||
| PKI, PKII, Mandel stress tensors | shear stress, average shear stress | ||
| strain energy, thermal energy | microstructure, surface energies | ||
| current, initial elastic bulk modulus | current, initial elastic shear modulus | ||
| initial pressure derivatives of | defect energy release ratio in melt | ||
| cohesive energy for damage | free energy function for damage | ||
| surface energies for melting, fracture | length scale for melting, fracture | ||
| thermal expansion coefficient | Taylor-Quinney factor and constant | ||
| conjugate forces to | cumulative plastic work | ||
| interpolation functions for melting, damage | degradation functions for damage | ||
| maximum shears from melting, damage | fraction of affecting damage kinetics | ||
| maximum dilatation from melting, voids | threshold energies for damage initiation | ||
| kinetic barriers, relaxation time for melting | net driving force for melt kinetics | ||
| total, athermal, and initial yield stresses | strain and rate normalization parameters | ||
| strain hardening function, exponent | thermal softening function, exponent | ||
| initial plastic strength decrement () | m | strain rate sensitivity exponent | |
| initial defect profile strength, width | applied strain rate, boundary velocity | ||
| critical localization shear strain, time | slip displacement from shear fracture | ||
| peak instability strain and energy | I | localization integrand for criterion | |
| quasi-elastic strain offset vs. rigid plasticity | Von Mises effective stress, strain rate |
References
- Wright, T. The Physics and Mathematics of Adiabatic Shear Bands; Cambridge University Press: Cambridge, UK, 2002. [Google Scholar]
- Yan, N.; Li, Z.; Xu, Y.; Meyers, M. Shear localization in metallic materials at high strain rates. Prog. Mater. Sci. 2021, 119, 100755. [Google Scholar] [CrossRef]
- Cho, K.; Chi, Y.; Duffy, J. Microscopic observations of adiabatic shear bands in three different steels. Metall. Trans. A 1990, 21, 1161–1175. [Google Scholar] [CrossRef]
- Minnaar, K.; Zhou, M. An analysis of the dynamic shear failure resistance of structural metals. J. Mech. Phys. Solids 1998, 46, 2155–2170. [Google Scholar] [CrossRef]
- Fellows, N.; Harding, J. Use of high-speed photography to study localisation during high-strain-rate torsion testing of soft iron. Mater. Sci. Eng. A 2001, 298, 90–99. [Google Scholar] [CrossRef]
- Fellows, N.; Harding, J. Localization of plastic deformation during high strain rate torsion testing of rolled homogeneous armour. J. Strain Anal. Eng. Des. 2001, 36, 197–210. [Google Scholar] [CrossRef]
- Singh, B.; Sukumar, G.; Paman, A.; Balaji, G.; Kumar, K.; Madhu, V.; Kumar, R. A comparative study on the ballistic performance and failure mechanisms of high-nitrogen steel and RHA steel against tungsten heavy alloy penetrators. J. Dyn. Behav. Mater. 2021, 7, 60–80. [Google Scholar] [CrossRef]
- Clayton, J. Analysis of shear localization in viscoplastic solids with pressure-sensitive structural transformations. J. Mech. Phys. Solids 2024, 193, 105880. [Google Scholar] [CrossRef]
- Staker, M. The relation between adiabatic shear and material properties. Acta Metall. 1981, 29, 683–689. [Google Scholar] [CrossRef]
- Bai, Y. Thermo-plastic instability in simple shear. J. Mech. Phys. Solids 1982, 30, 195–207. [Google Scholar] [CrossRef]
- Molinari, A.; Clifton, R. Analytical Characterization of Shear Localization in Thermoviscoplastic Materials; Technical Report DAAG29-85-K-0003/4; Brown University: Providence, RI, USA, 1986. [Google Scholar]
- Molinari, A.; Clifton, R. Analytical characterization of shear localization in thermoviscoplastic materials. ASME J. Appl. Mech. 1987, 54, 806–812. [Google Scholar] [CrossRef]
- Fressengeas, C.; Molinari, A. Instability and localization of plastic flow in shear at high strain rates. J. Mech. Phys. Solids 1987, 35, 185–211. [Google Scholar] [CrossRef]
- Molinari, A. Shear band analysis. Solid State Phenom. 1988, 3–4, 447–467. [Google Scholar] [CrossRef]
- Wright, T. Approximate analysis for the formation of adiabatic shear bands. J. Mech. Phys. Solids 1990, 38, 515–530. [Google Scholar] [CrossRef]
- Grady, D. Dynamics of adiabatic shear. J. Phys. IV 1991, 1, 653–660. [Google Scholar] [CrossRef]
- Gurrutxaga-Lerma, B. Adiabatic shear banding and the micromechanics of plastic flow in metals. Int. J. Solids Struct. 2018, 132, 153–170. [Google Scholar] [CrossRef]
- Shawki, T.; Clifton, R.; Majda, G. Analysis of Shear Band Formation at High Strain Rates and the Visco-Plastic Response of Polycrystals; Technical Report DAAG-29-81-K-0121/3; Brown University: Providence, RI, USA, 1983. [Google Scholar]
- Wright, T.; Batra, R. The initiation and growth of adiabatic shear bands. Int. J. Plast. 1985, 1, 205–212. [Google Scholar] [CrossRef]
- Wright, T.; Walter, J. On stress collapse in adiabatic shear bands. J. Mech. Phys. Solids 1987, 35, 701–720. [Google Scholar] [CrossRef]
- Cherukuri, H.; Shawki, T. An energy-based localization theory: I. Basic framework. Int. J. Plast. 1995, 11, 15–40. [Google Scholar] [CrossRef]
- Schoenfeld, S.; Wright, T. A failure criterion based on material instability. Int. J. Solids Struct. 2003, 40, 3021–3037. [Google Scholar] [CrossRef]
- Batra, R.; Love, B. Adiabatic shear bands in functionally graded materials. J. Therm. Stress. 2004, 27, 1101–1123. [Google Scholar] [CrossRef]
- Fermen-Coker, M. Implementation of Schoenfeld-Wright Failure Criterion into a Three-Dimensional Adiabatic Shear Band Model in CTH; Technical Report ARL-TR-3284; Army Research Laboratory: Aberdeen Proving Ground, MD, USA, 2004. [Google Scholar]
- Zhou, M.; Rosakis, A.; Ravichandran, G. On the growth of shear bands and failure-mode transition in prenotched plates: A comparison of singly and doubly notched specimens. Int. J. Plast. 1998, 14, 435–451. [Google Scholar] [CrossRef]
- Longere, P.; Dragon, A.; Trumel, H.; De Resseguier, T.; Deprince, X.; Petitpas, E. Modelling adiabatic shear banding via damage mechanics approach. Arch. Mech. 2003, 55, 3–38. [Google Scholar]
- Dolinski, M.; Rittel, D. Experiments and modeling of ballistic penetration using an energy failure criterion. J. Mech. Phys. Solids 2015, 83, 1–18. [Google Scholar] [CrossRef]
- Dolinski, M.; Merzer, M.; Rittel, D. Analytical formulation of a criterion for adiabatic shear failure. Int. J. Impact Eng. 2015, 85, 20–26. [Google Scholar] [CrossRef]
- Coleman, B.; Hodgdon, M. On shear bands in ductile materials. Arch. Ration. Mech. Anal. 1985, 90, 219–247. [Google Scholar] [CrossRef]
- Acharya, A.; Cherukuri, H.; Govindarajan, R. A new proposal in gradient plasticity: Theory and application in 1-D quasi-statics and dynamics. Mech.-Cohesive-Frict. Mater. 1999, 4, 153–170. [Google Scholar] [CrossRef]
- McAuliffe, C.; Waisman, H. A unified model for metal failure capturing shear banding and fracture. Int. J. Plast. 2015, 65, 131–151. [Google Scholar] [CrossRef]
- McAuliffe, C.; Waisman, H. A coupled phase field shear band model for ductile-brittle transition in notched plate impacts. Comput. Methods Appl. Mech. Eng. 2016, 305, 173–195. [Google Scholar] [CrossRef]
- Arriaga, M.; Waisman, H. Combined stability analysis of phase-field dynamic fracture and shear band localization. Int. J. Plast. 2017, 96, 81–119. [Google Scholar] [CrossRef]
- Xu, Y.; Ming, P.; Chen, J. A phase field framework for dynamic adiabatic shear banding. J. Mech. Phys. Solids 2020, 135, 103810. [Google Scholar] [CrossRef]
- Wang, T.; Liu, Z.; Cui, Y.; Ye, X.; Liu, X.; Tian, R.; Zhuang, Z. A thermo-elastic-plastic phase-field model for simulating the evolution and transition of adiabatic shear band. Part I. Theory and model calibration. Eng. Fract. Mech. 2020, 232, 107028. [Google Scholar] [CrossRef]
- Samaniego, C.; Ulloa, J.; Rodriguez, P.; Houzeaux, G.; Vazquez, M.; Samaniego, E. A phase-field model for ductile fracture with shear bands: A parallel implementation. Int. J. Mech. Sci. 2021, 200, 106424. [Google Scholar] [CrossRef]
- Zeng, Q.; Wang, T.; Zhu, S.; Chen, H.; Fang, D. A rate-dependent phase-field model for dynamic shear band formation in strength-like and toughness-like modes. J. Mech. Phys. Solids 2022, 164, 104914. [Google Scholar] [CrossRef]
- Levitas, V.; Stein, E.; Lengnick, M. On a unified approach to the description of phase transitions and strain localization. Arch. Appl. Mech. 1996, 66, 242–254. [Google Scholar] [CrossRef]
- Karma, A.; Kessler, D.; Levine, H. Phase-field model of mode III dynamic fracture. Phys. Rev. Lett. 2001, 87, 045501. [Google Scholar] [CrossRef]
- Levitas, V.; Levin, V.; Zingerman, K.; Freiman, E. Displacive phase transitions at large strains: Phase-field theory and simulations. Phys. Rev. Lett. 2009, 103, 025702. [Google Scholar] [CrossRef]
- Clayton, J.; Knap, J. A phase field model of deformation twinning: Nonlinear theory and numerical simulations. Phys. D 2011, 240, 841–858. [Google Scholar] [CrossRef]
- Levitas, V.; Idesman, A.; Palakala, A. Phase-field modeling of fracture in liquid. J. Appl. Phys. 2011, 110, 033531. [Google Scholar] [CrossRef]
- Clayton, J. Nonlinear thermodynamic phase field theory with application to fracture and dynamic inelastic phenomena in ceramic polycrystals. J. Mech. Phys. Solids 2021, 157, 104633. [Google Scholar] [CrossRef]
- Choo, J.; Sun, W. Coupled phase-field and plasticity modeling of geological materials: From brittle fracture to ductile flow. Comput. Methods Appl. Mech. Eng. 2018, 330, 1–32. [Google Scholar] [CrossRef]
- Rittel, D.; Wang, Z.; Merzer, M. Adiabatic shear failure and dynamic stored energy of cold work. Phys. Rev. Lett. 2006, 96, 075502. [Google Scholar] [CrossRef]
- Rittel, D.; Landau, P.; Venkert, A. Dynamic recrystallization as a potential cause for adiabatic shear failure. Phys. Rev. Lett. 2008, 101, 165501. [Google Scholar] [CrossRef]
- Dolinski, M.; Rittel, D.; Dorogoy, A. Modeling adiabatic shear failure from energy considerations. J. Mech. Phys. Solids 2010, 58, 1759–1775. [Google Scholar] [CrossRef]
- Clayton, J.; Knap, J. A geometrically nonlinear phase field theory of brittle fracture. Int. J. Fract. 2014, 189, 139–148. [Google Scholar] [CrossRef]
- Me-Bar, Y.; Shechtman, D. On the adiabatic shear of Ti-6Al-4V ballistic targets. Mater. Sci. Eng. 1983, 58, 181–188. [Google Scholar] [CrossRef]
- Xu, Y.; Zhang, J.; Bai, Y.; Meyers, M. Shear localization in dynamic deformation: Microstructural evolution. Metall. Mater. Trans. A 2008, 39, 811–843. [Google Scholar] [CrossRef]
- Wang, P.; Kumar, K. Dynamic deformation response of a high-strength, high-toughness Fe-10Ni-0.1C steel. Mater. Sci. Eng. A 2009, 519, 184–197. [Google Scholar] [CrossRef]
- Li, N.; Wang, Y.; Peng, R.; Sun, X.; Liaw, P.; Wu, G.; Wang, L.; Cai, H. Localized amorphism after high-strain-rate deformation in TWIP steel. Acta Mater. 2011, 59, 6369–6377. [Google Scholar] [CrossRef]
- Healy, C.; Koch, S.; Siemers, C.; Mukherji, D.; Ackland, G. Shear melting and high temperature embrittlement: Theory and application to machining titanium. Phys. Rev. Lett. 2015, 114, 165501. [Google Scholar] [CrossRef]
- Bronkhorst, C.; Cerreta, E.; Xue, Q.; Maudlin, P.; Mason, T.; Gray, G. An experimental and numerical study of the localization behavior of tantalum and stainless steel. Int. J. Plast. 2006, 22, 1304–1335. [Google Scholar] [CrossRef]
- Levitas, V.; Samani, K. Coherent solid/liquid interface with stress relaxation in a phase-field approach to the melting/solidification transition. Phys. Rev. B 2011, 84, 140103. [Google Scholar] [CrossRef]
- Hwang, Y.; Levitas, V. Internal stress-induced melting below melting temperature at high-rate laser heating. Appl. Phys. Lett. 2016, 104, 263106. [Google Scholar] [CrossRef]
- Hwang, Y.; Levitas, V. Superheating and melting within aluminum core-oxide shell nanoparticles for a broad range of heating rates: Multiphysics phase field modeling. Phys. Chem. Chem. Phys. 2016, 18, 28835–28853. [Google Scholar] [CrossRef]
- Goki, A.; Javanbakht, M. Size-dependent melting of gold nanotube: Phase field model and simulations and thermodynamic analytical solution. Mater. Today Commun. 2024, 40, 109641. [Google Scholar] [CrossRef]
- Sagapuram, D.; Viswanathan, K.; Trumble, K.; Chandrasekar, S. A common mechanism for evolution of single shear bands in large-strain deformation of metals. Philos. Mag. 2018, 98, 3267–3299. [Google Scholar] [CrossRef]
- Marchand, A.; Duffy, J. An experimental study of the formation process of adiabatic shear bands in a structural steel. J. Mech. Phys. Solids 1988, 36, 251–283. [Google Scholar] [CrossRef]
- Wright, T. Toward a defect invariant basis for susceptibility to adiabatic shear bands. Mech. Mater. 1994, 17, 215–222. [Google Scholar] [CrossRef]
- Clayton, J. Universal phase-field mixture representation of thermodynamics and shock wave mechanics in porous soft biologic continua. Phys. Rev. E 2024, 110, 035001. [Google Scholar] [CrossRef] [PubMed]
- Morro, A. Wave propagation in thermo-viscous materials with hidden variables. Arch. Mech. 1980, 32, 145–161. [Google Scholar]
- Needleman, A. Material rate dependence and mesh sensitivity in localization problems. Comput. Methods Appl. Mech. Eng. 1988, 67, 69–85. [Google Scholar] [CrossRef]
- Eringen, A. On differential equations of nonlocal elasticity and solutions of screw dislocation and surface waves. J. Appl. Phys. 1983, 54, 4703–4710. [Google Scholar] [CrossRef]
- Lee, J.; Chen, Y. Constitutive relations of micromorphic thermoplasticity. Int. J. Eng. Sci. 2003, 41, 387–399. [Google Scholar] [CrossRef]
- Providas, E. On the exact solution of nonlocal Euler–Bernoulli beam equations via a direct approach for Volterra-Fredholm integro-differential equations. AppliedMath 2022, 2, 269–283. [Google Scholar] [CrossRef]
- Arora, A.; Arora, R.; Acharya, A. Interface-dominated plasticity and kink bands in metallic nanolaminates. Crystals 2023, 13, 828. [Google Scholar] [CrossRef]
- Eremeyev, V. Strong ellipticity and infinitesimal stability within Nth-order gradient elasticity. Mathematics 2023, 11, 1024. [Google Scholar] [CrossRef]
- Clayton, J. Nonlinear Mechanics of Crystals; Springer: Dordrecht, The Netherlands, 2011. [Google Scholar]
- Clayton, J.; Murdoch, H.; Lloyd, J.; Magagnosc, D.; Field, D. Modeling magnetic field and strain driven phase transitions and plasticity in ferrous metals. Z. Fur Angew. Math. Und Mech. (ZAMM) 2024, 104, e202200612. [Google Scholar] [CrossRef]
- Levitas, V. Thermomechanical theory of martensitic phase transformations in inelastic materials. Int. J. Solids Struct. 1998, 35, 889–940. [Google Scholar] [CrossRef]
- Clayton, J.; McDowell, D. A multiscale multiplicative decomposition for elastoplasticity of polycrystals. Int. J. Plast. 2003, 19, 1401–1444. [Google Scholar] [CrossRef]
- Clayton, J. Nonlinear Elastic and Inelastic Models for Shock Compression of Crystalline Solids; Springer: Cham, Switzerland, 2019. [Google Scholar]
- Gurtin, M. Generalized Ginzburg-Landau and Cahn-Hilliard equations based on a microforce balance. Phys. D 1996, 92, 178–192. [Google Scholar] [CrossRef]
- Le, K.; Tran, T.; Langer, J. Thermodynamic dislocation theory of adiabatic shear banding in steel. Scr. Mater. 2018, 149, 62–65. [Google Scholar] [CrossRef]
- Clayton, J. Dynamic plasticity and fracture in high density polycrystals: Constitutive modeling and numerical simulation. J. Mech. Phys. Solids 2005, 53, 261–301. [Google Scholar] [CrossRef]
- Lieou, C.; Bronkhorst, C. Thermomechanical conversion in metals: Dislocation plasticity model evaluation of the Taylor-Quinney coefficient. Acta Mater. 2021, 202, 170–180. [Google Scholar] [CrossRef]
- Bammann, D.; Johnson, G. On the kinematics of finite-deformation plasticity. Acta Mech. 1987, 70, 1–13. [Google Scholar] [CrossRef]
- Kocks, U.; Argon, A.; Ashby, M. Thermodynamics and kinetics of slip. Prog. Mater. Sci. 1975, 19, 1–291. [Google Scholar]
- Bammann, D.; Chiesa, M.; Horstemeyer, M.; Weingarten, L. Failure in ductile materials using finite element methods. In Structural Crashworthiness and Failure; Jones, N., Wierzbicki, T., Eds.; Elsevier Applied Science, The Universities Press: Belfast, Northern Ireland, 1993; pp. 1–54. [Google Scholar]
- Long, T.; Wang, L.; Kan, C.D.; Lee, J. A novel approach for modeling strain hardening in plasticity and its material parameter identification by Bayesian optimization for automotive structural steels application. AppliedMath 2025, 5, 104. [Google Scholar] [CrossRef]
- Vishnu, A.; Nieto-Fuentes, J.; Rodriguez-Martinez, J. Shear band formation in porous thin-walled tubes subjected to dynamic torsion. Int. J. Solids Struct. 2022, 252, 111837. [Google Scholar] [CrossRef]
- Miehe, C.; Schaenzel, L.M.; Ulmer, H. Phase field modeling of fracture in multi-physics problems. Part I. Balance of crack surface and failure criteria for brittle crack propagation in thermo-elastic solids. Comput. Methods Appl. Mech. Eng. 2015, 294, 449–485. [Google Scholar] [CrossRef]
- Miehe, C.; Hofacker, M.; Schanzel, L.; Aldakheel, F. Phase field modeling of fracture in multi-physics problems. Part II. Coupled brittle-to-ductile failure criteria and crack propagation in thermo-elastic-plastic solids. Comput. Methods Appl. Mech. Eng. 2015, 294, 486–522. [Google Scholar] [CrossRef]
- Na, S.; Sun, W. Computational thermomechanics of crystalline rock, Part I: A combined multi-phase-field/crystal plasticity approach for single crystal simulations. Comput. Methods Appl. Mech. Eng. 2018, 338, 657–691. [Google Scholar] [CrossRef]
- Borden, M.; Hughes, T.; Landis, C.; Anvari, A.; Lee, I. A phase-field formulation for fracture in ductile materials: Finite deformation balance law derivation, plastic degradation, and stress triaxiality effects. Comput. Methods Appl. Mech. Eng. 2016, 312, 130–166. [Google Scholar] [CrossRef]
- Boettger, J.; Wallace, D. Metastability and dynamics of the shock-induced phase transition in iron. Phys. Rev. B 1997, 55, 2840–2849. [Google Scholar] [CrossRef]
- Benck, R. Quasi-Static Tensile Stress Strain Curves II. Rolled Homogeneous Armor; Technical Report BRL-MR-2703; US Army Ballistic Research Laboratory: Aberdeen Proving Ground, MD, USA, 1976. [Google Scholar]
- Hauver, G. The Alpha-Phase Hugoniot of Rolled Homogeneous Armor; Technical Report BRL-MR-2651; US Army Ballistic Research Laboratory: Aberdeen Proving Ground, MD, USA, 1976. [Google Scholar]
- Hauver, G.; Melani, A. The Epsilon-Phase Hugoniot of Rolled Homogeneous Armor; Technical Report BRL-MR-2909; US Army Ballistic Research Laboratory: Aberdeen Proving Ground, MD, USA, 1979. [Google Scholar]
- Moss, G. Shear strains, strain rates and temperature changes in adiabatic shear bands. In Shock Waves and High-Strain-Rate Phenomena in Metals: Concepts and Applications; Meyers, M., Murr, L., Eds.; Springer: Boston, MA, USA, 1981; pp. 299–312. [Google Scholar]
- Gray, G.; Chen, S.; Wright, W.; Lopez, M. Constitutive Equations for Annealed Metals Under Compression at High Strain Rates and High Temperatures; Technical Report LA-12669-MS; Los Alamos National Laboratory: Los Alamos, NM, USA, 1994. [Google Scholar]
- Meyer, H.; Kleponis, D. An Analyis of Parameters for the Johnson-Cook Strength Model for 2-in-Thick Rolled Homogeneous Armor; Technical Report ARL-TR-2528; Army Research Laboratory: Aberdeen Proving Ground, MD, USA, 2001. [Google Scholar]
- Sadjadpour, A.; Rittel, D.; Ravichandran, G.; Bhattacharya, K. A model coupling plasticity and phase transformation with application to dynamic shear deformation of iron. Mech. Mater. 2015, 80, 255–263. [Google Scholar] [CrossRef]
- Johnson, G.; Cook, W. A constitutive model and data for materials subjected to large strains, high strain rates, and high temperatures. In Proceedings of the 7th International Symposium on Ballistics, The Hague, The Netherlands, 19–21 April 1983; pp. 541–547. [Google Scholar]
- Rittel, D.; Ravichandran, G.; Venkert, A. The mechanical response of pure iron at high strain rates under dominant shear. Mater. Sci. Eng. A 2006, 432, 191–201. [Google Scholar] [CrossRef]
- Syn, C.; Lesuer, D.; Sherby, O. Microstructure in adiabatic shear bands in a pearlitic ultrahigh carbon steel. Mater. Sci. Technol. 2005, 21, 317–324. [Google Scholar] [CrossRef]
- Zhu, Z.; Batra, R. Consideration of phase transformations in the study of shear bands in a dynamically loaded steel block. ASME J. Eng. Mater. Technol. 1992, 114, 368–377. [Google Scholar] [CrossRef]
- Wang, W.; Zhang, H.; Yang, M.; Jiang, P.; Yuan, F.; Wu, X. Shock and spall behaviors of a high specific strength steel: Effects of impact stress and microstructure. J. Appl. Phys. 2017, 121, 135901. [Google Scholar] [CrossRef]
- Belononshko, A.; Ahuja, R.; Johansson, B. Quasi-ab initio molecular dynamic study of Fe melting. Phys. Rev. Lett. 2000, 84, 3638–3641. [Google Scholar] [CrossRef]
- Nguyen, J.; Holmes, N. Melting of iron at the physical conditions of the Earth’s core. Nature 2004, 427, 339–342. [Google Scholar] [CrossRef]
- Grinfeld, M. Thermodynamic Methods in the Theory of Heterogeneous Systems; Longman Scientific and Technical: Sussex, UK, 1991. [Google Scholar]
- Tan, H.; Ahrens, T. Shock temperature measurements for metals. High Press. Res. 1990, 2, 159–182. [Google Scholar] [CrossRef]
- Gray, G. Classic Split-Hopkinson bar testing. In ASM Handbook; Kuhn, H., Medlin, D., Eds.; ASM International: Materials Park, OH, USA, 2000; Volume 8, pp. 462–476. [Google Scholar]
- Giovanola, J. Adiabatic shear banding under pure shear loading. Part I. Direct observation of strain localization and energy dissipation measurements. Mech. Mater. 1988, 7, 59–71. [Google Scholar] [CrossRef]
- Anand, L.; Kim, K.; Shawki, T. Onset of shear localization in viscoplastic solids. J. Mech. Phys. Solids 1987, 35, 407–429. [Google Scholar] [CrossRef]
- Shawki, T. Necessary and Sufficient Conditions for the Onset of Shear Strain Localization in Thermal Viscoplastic Materials; Technical Report TAM-R-489; University of Illinois: Urbana, IL, USA, 1988. [Google Scholar]
- Wright, T.; Ockendon, H. A scaling law for the effect of inertia on the formation of adiabatic shear bands. Int. J. Plast. 1996, 12, 927–934. [Google Scholar] [CrossRef]
- Lee, C.; Kim, K.; Lee, S.; Cho, K. Effect of test temperature on the dynamic torsional deformation behavior of two aluminum-lithium alloys. Metall. Mater. Trans. A 1998, 29, 469–476. [Google Scholar] [CrossRef][Green Version]
- Lee, W.S.; Lin, C.F.; Huang, S. Effect of temperature and strain rate on the shear properties of Ti-6Al-4V alloy. Proc. Inst. Mech. Eng. Part C J. Mech. Eng. Sci. 2006, 220, 127–136. [Google Scholar] [CrossRef]
- Li, L.; Wang, Z.; Ma, W. Experimental study on the high temperature impact torsional behavior of Ti-1023 alloy. Materials 2022, 15, 3847. [Google Scholar] [CrossRef] [PubMed]
- Estrin, Y. Dislocation-density-related constitutive modeling. In Unified Constitutive Laws of Plastic Deformation; Krausz, A., Krausz, K., Eds.; Academic Press: San Diego, CA, USA, 1996; pp. 69–106. [Google Scholar]
- Lieou, C.; Bronkhorst, C. Dynamic recrystallization in adiabatic shear banding: Effective-temperature model and comparison to experiments in ultrafine-grained titanium. Int. J. Plast. 2018, 111, 107–121. [Google Scholar] [CrossRef]
- Longere, P. Respective/combined roles of thermal softening and dynamic recrystallization in adiabatic shear band initiation. Mech. Mater. 2018, 117, 81–90. [Google Scholar] [CrossRef]
- Bronkhorst, C.; Hansen, B.; Cerreta, E.; Bingert, J. Modeling the microstructural evolution of metallic polycrystalline materials under localization conditions. J. Mech. Phys. Solids 2007, 55, 2351–2383. [Google Scholar] [CrossRef]
- Landau, P.; Osovski, S.; Venkert, A.; Gartnerova, V.; Rittel, D. The genesis of adiabatic shear bands. Sci. Rep. 2016, 6, 37226. [Google Scholar] [CrossRef]
- Tvergaard, V. Material failure by void growth to coalescence. Prog. Mater. Sci. 1989, 27, 83–151. [Google Scholar]
- Nemat-Nasser, S. Plasticity: A Treatise on Finite Deformation of Heterogeneous Inelastic Materials; Cambridge University Press: Cambridge, UK, 2004. [Google Scholar]
- Giovanola, J. Adiabatic shear banding under pure shear loading. Part II. Fractographic and metallographic observations. Mech. Mater. 1988, 7, 73–87. [Google Scholar] [CrossRef]
- Grady, D. Dissipation in adiabatic shear bands. Mech. Mater. 1994, 17, 289–293. [Google Scholar] [CrossRef]









| Parameter [Units] | Definition | Value | Parameter [Units] | Definition | Value |
|---|---|---|---|---|---|
| [g/cm3] | ambient mass density | 7.84 | [MPa/K] | specific heat | 3.48 |
| [GPa] | isotherm. bulk modulus | 163 | [GPa] | latent heat of fusion | 2.09 |
| [-] | pressure derivative of B | 5.29 | [-] | melt volume change | 0.052 |
| [GPa] | elastic shear modulus | 80 | [K] | equilibrium melt | 1800 |
| [1/GPa] | pressure variation of | 0.024 | [GPa] | melt kinetic barrier | 0.18, 1.21 |
| [GPa] | initial yield strength | 0.40 | [GPa] | damage start threshold | 0.45 |
| [-] | reference plastic strain | 0.01 | [-] | fracture energy ratio | 0.125 |
| [1/s] | reference strain rate | 1.0 | [GPa] | fracture cohesive energy | 0.025 |
| n [-] | strain harden. exponent | 0.05 | [-] | porosity at failure | 0.05 |
| m [-] | strain rate sensitivity | 0.035 | [-] | residual strength factor | |
| [-] | thermal softening | −0.33 | [-] | nominal defect intensity | |
| [-] | Taylor-Quinney factor | 0.8 | [-] | initial defect width | 0.5, 1.0 |
| Physics | [MPa] | [K] | [] | [GPa] | [MPa] | |||
|---|---|---|---|---|---|---|---|---|
| Fracture | 450 | 1800 | 1.0 | 0.5 | 0.182 | 1 | 597 | 0.753 |
| (full model) | 1.6 | 1.0 | 0.182 | 1 | 596 | 0.753 | ||
| Melting | ∞ | 1800 | 1.0 | 0.5 | 0.182 | 1 | 526 | 3.432 |
| (no fracture) | 1.6 | 1.0 | 0.182 | 1 | 524 | 3.515 | ||
| 1.0 | 0.5 | 1.207 | 1 | 525 | 3.437 | |||
| 1.6 | 1.0 | 1.207 | 1 | 524 | 3.521 | |||
| 1.0 | 0.5 | 0.182 | 0 | 521 | 3.681 | |||
| 1.6 | 1.0 | 0.182 | 0 | 517 | 3.874 | |||
| 1.0 | 0.5 | 1.207 | 0 | 521 | 3.683 | |||
| 1.6 | 1.0 | 1.207 | 0 | 517 | 3.877 | |||
| No fracture | ∞ | ∞ | 1.0 | 0.5 | 0.182 | 1 | 519 | 3.751 |
| or melting | 1.6 | 1.0 | 0.182 | 1 | 515 | 3.983 |
Disclaimer/Publisher’s Note: The statements, opinions and data contained in all publications are solely those of the individual author(s) and contributor(s) and not of MDPI and/or the editor(s). MDPI and/or the editor(s) disclaim responsibility for any injury to people or property resulting from any ideas, methods, instructions or products referred to in the content. |
© 2025 by the author. Licensee MDPI, Basel, Switzerland. This article is an open access article distributed under the terms and conditions of the Creative Commons Attribution (CC BY) license (https://creativecommons.org/licenses/by/4.0/).
Share and Cite
Clayton, J.D. Analysis of Adiabatic Strain Localization Coupled to Ductile Fracture and Melting, with Application and Verification for Simple Shear. AppliedMath 2025, 5, 169. https://doi.org/10.3390/appliedmath5040169
Clayton JD. Analysis of Adiabatic Strain Localization Coupled to Ductile Fracture and Melting, with Application and Verification for Simple Shear. AppliedMath. 2025; 5(4):169. https://doi.org/10.3390/appliedmath5040169
Chicago/Turabian StyleClayton, John D. 2025. "Analysis of Adiabatic Strain Localization Coupled to Ductile Fracture and Melting, with Application and Verification for Simple Shear" AppliedMath 5, no. 4: 169. https://doi.org/10.3390/appliedmath5040169
APA StyleClayton, J. D. (2025). Analysis of Adiabatic Strain Localization Coupled to Ductile Fracture and Melting, with Application and Verification for Simple Shear. AppliedMath, 5(4), 169. https://doi.org/10.3390/appliedmath5040169
