Effects of Tyrphostin A9 and Structurally Related Tyrphostins on Colorectal Carcinoma Cells
Abstract
1. Introduction
2. Materials and Methods
2.1. Chemistry and Test Compounds
2.2. Biological Assays
2.2.1. Cell Lines and Culture Conditions
2.2.2. MTT Assay
2.2.3. qRT-PCR Assay
2.2.4. Caspase Activity
2.2.5. TUNEL Assay
2.2.6. Clonogenic Assay
2.2.7. EGFR and VEGFR-2 Inhibition Assay
2.2.8. Statistical Analysis
3. Results
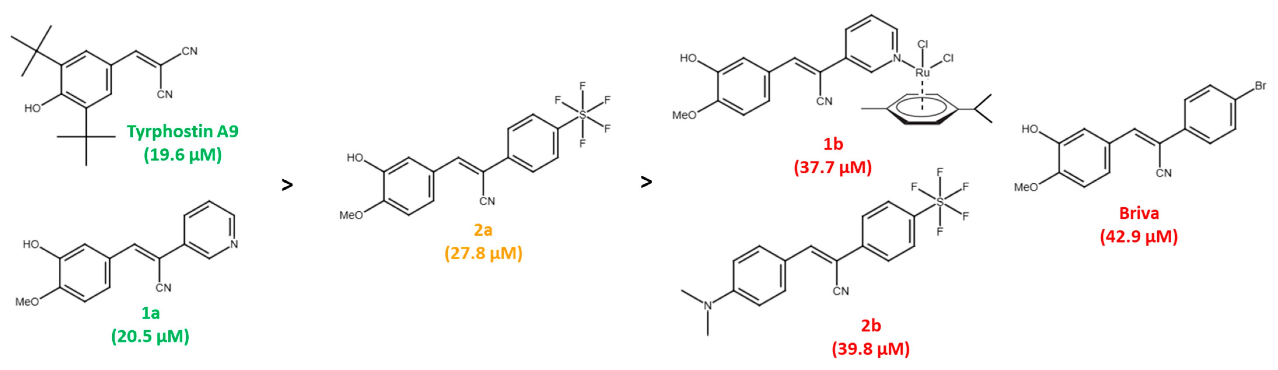
3.1. Antiproliferative Activity
3.2. Expression of Caspase and Kinase mRNAs
3.3. Apoptosis Induction—Caspase Activity and DNA Fragmentation
3.4. Colony Formation
3.5. Inhibition of EGFR and VEGFR-2
4. Discussion
5. Conclusions
Supplementary Materials
Author Contributions
Funding
Institutional Review Board Statement
Informed Consent Statement
Data Availability Statement
Conflicts of Interest
Abbreviations
| BCNU | Bis-dichloroethyl-N-nitrosourea |
| BMN | Benzylidenemalononitrile |
| BRAF | B-rapidly accelerated fibrosarcoma |
| CRC | Colorectal carcinoma |
| EGFR | Epidermal growth factor receptor |
| FBS | Fetal bovine serum |
| MAPK | Mitogen-activated protein kinase |
| MEK | MAPK/ERK kinase |
| mCRC | Metastatic colorectal cancer |
| NF-κB | Nuclear factor-κB |
| PDGFR | Platelet-derived growth factor receptor |
| PD-L1 | Programmed death-ligand 1 |
| Pgp | P-glycoprotein |
| PIK3CA | Phosphatidylinositol-4,5-bisphosphate 3-kinase catalytic subunit alpha |
| PLK1 | Polo-like kinase 1 |
| PYK2 | Proline-rich tyrosine kinase 2 |
| RAS | Rat sarcoma |
| RTK | Receptor tyrosine kinase |
| STAT3 | Signal transducer and activator of transcription 3 |
| VEGFR-2 | Vascular endothelial growth factor receptor-2 |
References
- Hossain, M.S.; Karuniawati, H.; Jairoun, A.A.; Urbi, Z.; Ooi, D.J.; John, A.; Lim, Y.C.; Kibria, K.M.K.; Mohiuddin, A.M.; Ming, L.C.; et al. Colorectal cancer: A review of carcinogenesis, global epidemiology, current challenges, risk factors, preventive and treatment strategies. Cancers 2022, 14, 1732. [Google Scholar] [CrossRef]
- Arafa, M.A.; Farhat, K. Colorectal cancer in the Arab world—Screening practices and future prospects. Asian Pac. J. Cancer Prev. 2015, 16, 7425–7430. [Google Scholar] [CrossRef] [PubMed]
- Imyanitov, E.; Kuligina, E. Molecular testing for colorectal cancer: Clinical applications. World J. Gastrointest. Oncol. 2021, 13, 1288–1301. [Google Scholar] [CrossRef] [PubMed]
- Sanz-Garcia, E.; Argiles, G.; Elez, E.; Tabernero, J. BRAF mutant colorectal cancer: Prognosis, treatment, and new perspectives. Ann. Oncol. 2017, 28, 2648–2657. [Google Scholar] [CrossRef]
- Pietrantonio, F.; Cremolini, C.; Petrelli, F.; di Bartolomeo, M.; Loupakis, F.; Maggi, C.; Antoniotti, C.; de Braud, F.; Falcone, A.; Iacovelli, R. First-line anti-EGFR monoclonal antibodies in panRAS wild-type metastatic colorectal cancer: A systematic review and meta-analysis. Crit. Rev. Oncol. Hematol. 2015, 96, 156–166. [Google Scholar] [CrossRef]
- Ardekani, G.S.; Jafarnejad, S.M.; Tan, L.; Saeedi, A.; Li, G. The prognostic value of BRAF mutation in colorectal cancer and melanoma: A systematic review and meta-analysis. PLoS ONE 2012, 7, e47054. [Google Scholar]
- Xu, Q.; Xu, A.T.; Zu, M.M.; Tong, J.L.; Xu, X.T.; Ran, Z.H. Predictive and prognostic roles of BRAF mutation in patients with metastatic colorectal cancer treated with anti-epidermal growth factor receptor monoclonal antibodies: A meta-analysis. J. Dig. Dis. 2013, 14, 409–416. [Google Scholar] [CrossRef]
- Yang, Z.Y.; Wu, X.Y.; Huang, Y.F.; Di, M.Y.; Zheng, D.Y.; Chen, J.Z.; Ding, H.; Mao, C.; Tang, J.L. Promising biomarkers for predicting the outcomes of patients with KRAS wild-type metastatic colorectal cancer treated with anti-epidermal growth factor receptor monoclonal antibodies: A systematic review with meta-analysis. Int. J. Cancer 2013, 133, 1914–1925. [Google Scholar] [CrossRef] [PubMed]
- Grassilli, E.; Cerrito, M.G. Emerging actionable targets to treat therapy-resistant colorectal cancers. Cancer Drug Resist. 2022, 5, 36–63. [Google Scholar] [CrossRef]
- Biersack, B.; Tahtamouni, L.; Höpfner, M. Role and function of receptor tyrosine kinases in BRAF mutant cancers. Receptors 2024, 3, 58–106. [Google Scholar] [CrossRef]
- Ziranu, P.; Lai, E.; Schirripa, M.; Puzzoni, M.; Persano, M.; Pretta, A.; Munari, G.; Liscia, N.; Pusceddu, V.; Loupakis, F.; et al. The role of p53 expression in patients with RAS/BRAF wild-type metastatic colorectal cancer receiving irinotecan and cetuximab as later line treatment. Target. Oncol. 2021, 16, 517–527. [Google Scholar] [CrossRef]
- García-Aranda, M.; Redondo, M. Targeting receptor kinases in colorectal cancer. Cancers 2019, 11, 433. [Google Scholar] [CrossRef]
- Levitzki, A. Tyrphostins: Tyrosine kinase blockers as novel antiproliferative agents and dissectors of signal transduction. FASEB J. 1992, 6, 3275–3282. [Google Scholar] [CrossRef]
- Levitzki, A.; Mishani, E. Tyrphostins and other tyrosine kinase inhibitors. Annu. Rev. Biochem. 2006, 75, 93–109. [Google Scholar] [CrossRef]
- Gillespie, J.; Dye, J.F.; Schachter, M.; Guillou, P.J. Inhibition of pancreatic cancer cell growth in vitro by the tyrphostin group of tyrosine kinase inhibitors. Br. J. Cancer 1993, 68, 1122–1126. [Google Scholar] [CrossRef]
- Finlay, G.A.; Hunter, D.S.; Walker, C.L.; Paulson, K.E.; Fanburg, B.L. Regulation of PDGF production and ERK activation by estrogen is associated with TSC2 gene expression. Am. J. Physiol. Cell. Physiol. 2003, 285, C409–C418. [Google Scholar] [CrossRef]
- Burger, A.M.; Kaur, G.; Alley, M.C.; Supko, J.G.; Malspeis, L.; Grever, M.R.; Sausville, E.A. Tyrphostin AG17, [(3,5-Di-tert-butyl-4-hydroxybenzylidene)-malononitrile], inhibits cell growth by disrupting mitochondria. Cancer Res. 1995, 55, 2794–2799. [Google Scholar] [PubMed]
- Gong, J.; Luk, F.; Jaiswal, R.; Bebawy, M. Microparticles mediate the intercellular regulation of microRNA-503 and proline-rich tyrosine kinase 2 to alter the migration and invasion capacity of breast cancer cells. Front. Oncol. 2014, 4, 220. [Google Scholar] [CrossRef]
- Molitor, M.; Menge, A.; Mandel, S.; George, S.; Müller, S.; Knapp, S.; Hofmann, B.; Steinhilber, D.; Häfner, A.-K. Unlocking the potential: Unveiling tyrphostins with Michael-reactive cyanoacrylate motif as promising inhibitors of human 5-lipoxygenase. Pflügers Arch. Eur. J. Physiol. 2024, 476, 1913–1928. [Google Scholar] [CrossRef] [PubMed]
- Yoneda, T.; Lyall, R.M.; Alsina, M.M.; Persons, P.E.; Spada, A.P.; Levitzki, A.; Zilberstein, A.; Mundy, G.R. The antiproliferative effects of tyrosine kinase inhibitors tyrphostins on a human squamous cell carcinoma in vitro and in nude mice. Cancer Res. 1991, 51, 4430–4435. [Google Scholar] [PubMed]
- Biersack, B.; Zoldakova, M.; Effenberger, K.; Schobert, R. (Arene)Ru(II) complexes of epidermal growth factor receptor inhibiting tyrphostins with enhanced selectivity and cytotoxicity in cancer cells. Eur. J. Med. Chem. 2010, 45, 1972–1975. [Google Scholar] [CrossRef] [PubMed]
- Saleh, K.; Al Sakhen, M.; Kanaan, S.; Yasin, S.; Höpfner, M.; Tahtamouni, L.; Biersack, B. Antitumor activity of the new tyrphostin briva against BRAFV600E-mutant colorectal carcinoma cells. Investig. New Drugs 2023, 41, 791–801. [Google Scholar] [CrossRef]
- Altomonte, S.; Zanda, M. Synthetic chemistry and biological activity of pentafluorosulphanyl (SF5) organic molecules. J. Fluor. Chem. 2012, 143, 57–93. [Google Scholar] [CrossRef]
- Sowaileh, M.F.; Hazlitt, R.A.; Colby, D.A. Application of the pentafluorosulfanyl group as a bioisosteric replacement. ChemMedChem 2017, 12, 1481–1490. [Google Scholar] [CrossRef]
- Al Nasr, I.S.; Hanachi, R.; Said, R.B.; Rahali, S.; Tangour, B.; Abdelwahab, S.I.; Farasani, A.; Taha, M.M.E.; Bidwai, A.; Koko, W.S.; et al. p-Trifluoromethyl- and p-pentafluorothio-substituted curcuminoids of the 2,6-di[(E)-benzylidene)]cycloalkanone type: Syntheses and activities against Leishmania major and Toxoplasma gondii parasites. Bioorg. Chem. 2021, 114, 105099. [Google Scholar] [CrossRef] [PubMed]
- Mosmann, T. Rapid colorimetric assay for cellular growth and survival: Application to proliferation and cytotoxicity assays. J. Immunol. Methods 1983, 65, 55–63. [Google Scholar] [CrossRef]
- Ahmed, D.; Eide, P.W.; Eilertsen, I.A.; Danielsen, S.A.; Eknæs, M.; Hektoen, M.; Lind, G.E.; Lothe, R.A. Epigenetic and genetic features of 24 colon cancer cell lines. Oncogenesis 2013, 2, e71. [Google Scholar] [CrossRef] [PubMed]
- Zhang, Y.; Yan, W.; Chen, X. Mutant p53 disrupts MCF-10A cell polarity in three-dimensional culture via epithelial-to-mesenchymal transitions. J. Biol. Chem. 2011, 286, 16218–16228. [Google Scholar] [CrossRef]
- Granja, A.G.; Nogal, M.L.; Hurtado, C.; Salas, J.; Salas, M.L.; Carrascosa, A.L.; Revilla, Y. Modulation of p53 cellular function and cell death by African swine fever virus. J. Virol. 2004, 78, 7165–7174. [Google Scholar] [CrossRef]
- Watanabe, H.; Ishibashi, K.; Mano, H.; Kitamoto, S.; Sato, N.; Hoshiba, K.; Kato, M.; Matsuzawa, F.; Takeuchi, Y.; Shirai, T.; et al. Mutant p53-expressing cells undergo necroptosis via cell competition with the neighboring normal epithelial cells. Cell Rep. 2018, 23, 3721–3729. [Google Scholar] [CrossRef]
- Sun, Y.; Yue, L.; Xu, P.; Hu, W. An overview of agents and treatments for PDFGRA-mutated gastrointestinal stromal tumors. Front. Oncol. 2022, 12, 927587. [Google Scholar]
- Dai, X.; Wang, Y.; Li, Y.; Zhong, Y.; Pei, M.; Long, J.; Dong, X.; Chen, Y.-L.; Wang, Q.; Wang, G.; et al. Tyrphostin A9 protects axons in experimental autoimmune encephalomyelitis through activation of ERKs. Life Sci. 2022, 294, 120383. [Google Scholar] [CrossRef] [PubMed]
- Wang, H.; Tang, R.; Jiang, L.; Jia, Y. The role of PIK3CA gene mutations in colorectal cancer and the selection of treatment strategies. Front. Pharmacol. 2024, 15, 1494802. [Google Scholar] [CrossRef] [PubMed]
- Sütcüoğlu, O.; Yıldırım, H.Ç.; Almuradova, E.; Günenç, D.; Yalçın, Ş. RAS mutations in advanced colorectal cancer: Mechanisms, clinical implications, and novel therapeutic approaches. Medicina 2025, 61, 1202. [Google Scholar] [CrossRef] [PubMed]
- Brambillasca, S.; Cera, M.R.; Andronache, A.; Dey, S.K.; Fagá, G.; Fancelli, D.; Frittoli, E.; Pasi, M.; Robusto, M.; Varasi, M.; et al. Novel selective inhibitors of macropinocytosis-dependent growth in pancreatic ductal carcinoma. Biomed. Pharmacother. 2024, 177, 116991. [Google Scholar] [CrossRef]
- Xu, G.; Zhang, Q.; Cheng, R.; Qu, J.; Li, W. Survival strategies of cancer cells: The role of macropinocytosis in nutrient acquisition, metabolic reprogramming, and therapeutic targeting. Autophagy 2025, 21, 693–718. [Google Scholar] [CrossRef]
- Hanada, K.; Kawada, K.; Nishikawa, G.; Toda, K.; Maekawa, H.; Nishikawa, Y.; Masui, H.; Hirata, W.; Okamoto, M.; Kiyasu, Y.; et al. Dual blockade of macropinocytosis and asparagine bioavailability shows synergistic anti-tumor effects on KRAS-mutant colorectal cancer. Cancer Lett. 2021, 522, 129–141. [Google Scholar] [CrossRef]
- Nguyen, N.T.; Sennoune, S.R.; Dharmalingam-Nandagopal, G.; Sivaprakasam, S.; Bhutia, Y.D.; Ganapathy, V. Impact of oncogenic changes in p53 and KRAS on macropinocytosis and ferroptosis in colon cancer cells and anticancer efficacy of niclosamide with differential effects on these two processes. Cells 2024, 13, 951. [Google Scholar] [CrossRef]
- Holtick, U.; Vockerodt, M.; Pinkert, D.; Schoof, N.; Stürzenhofecker, B.; Kussebi, N.; Lauber, K.; Wesselborg, S.; Löffler, D.; Horn, F.; et al. STAT3 is essential for Hodgkin lymphoma cell proliferation and is a target of tyrphostin AG17 which confers sensitization for apoptosis. Leukemia 2005, 19, 936–944. [Google Scholar] [CrossRef]
- Asadi, M.; Shanehbandi, D.; Kermani, T.A.; Sanaat, Z.; Zafari, V.; Hashemzadeh, S. Expression level of caspase genes in colorectal cancer. Asian Pac. J. Cancer Prev. 2018, 19, 1277–1280. [Google Scholar]
- Noble, P.; Vyas, M.; Al-Attar, A.; Durrant, S.; Scholefield, J.; Durrant, L. High levels of cleaved caspase-3 in colorectal tumour stroma predict good survival. Br. J. Cancer 2013, 108, 2097–2105. [Google Scholar] [CrossRef] [PubMed]
- Yadav, N.; Babu, D.; Madigubba, S.; Panigrahi, M.; Phanithi, P.B. Tyrphostin A9 attenuates glioblastoma growth by suppressing PYK2/EGFR-ERK signaling pathway. J. Neurooncol. 2023, 163, 675–692. [Google Scholar] [CrossRef]
- Park, S.J.; Park, Y.J.; Shin, J.H.; Kim, E.S.; Hwang, J.J.; Jin, D.-H.; Kim, J.C.; Cho, D.-H. A receptor tyrosine kinase inhibitor, tyrphostin A9 induces cancer cell death through Drp1 dependent mitochondria fragmentation. Biochem. Biophys. Res. Commun. 2011, 408, 465–470. [Google Scholar] [CrossRef] [PubMed]
- Hori, H.; Noguchi, N.; Yokoyama, H.; Ise, H.; Jin, C.Z.; Kasai, S.; Taira, Z. Design and synthesis of new mitochondrial cytotoxin N-thiadiazolylanilines that inhibit tumor cell growth. Bioorg. Med. Chem. 1996, 4, 247–253. [Google Scholar] [CrossRef]
- Stupack, D.G. Caspase-8 as a therapeutic target in cancer. Cancer Lett. 2013, 332, 133–140. [Google Scholar] [CrossRef]
- Sabnis, A.J.; Bivona, T.G. Principles of resistance to targeted cancer therapy: Lessons from basic and translational cancer biology. Trends Mol. Med. 2019, 25, 185–197. [Google Scholar] [CrossRef] [PubMed]
- Rainho, M.d.A.; Siqueira, P.B.; de Amorim, Í.S.S.; Mencalha, A.L.; Thole, A.A. Mitochondria in colorectal cancer stem cells—A target in drug resistance. Cancer Drug Resist. 2023, 6, 273–283. [Google Scholar] [CrossRef]
- Valverde, A.; Penarando, J.; Canas, A.; López-Sánchez, L.M.; Conde, F.; Hernández, V.; Peralbo, E.; López-Pedrera, C.; de la Haba-Rodríguez, J.; Aranda, E.; et al. Simultaneous inhibition of EGFR/VEGFR and cyclooxygenase-2 targets stemness-related pathways in colorectal cancer cells. PLoS ONE 2015, 10, e0131363. [Google Scholar] [CrossRef]
- Tan, B.S.; Tiong, K.H.; Choo, H.L.; Chung, F.F.-L.; Hii, L.-W.; Tan, S.H.; Yap, I.K.S.; Pani, S.; Khor, N.T.W.; Wong, S.F.; et al. Mutant p53-R273H mediates cancer cell survival and anoikis resistance through AKT-dependent suppression of BCL2-modifying factor (BMF). Cell Death Dis. 2015, 6, e1826. [Google Scholar] [CrossRef]
- Mohamed, M.F.; Ibrahim, N.S.; Saddiq, A.A.; Abdelhamid, I.A. Novel 3-(pyrazol-4-yl)-2-(1H-indole-3-carbonyl)acrylonitrile derivatives induce intrinsic and extrinsic apoptotic death mediated p53 in HCT116 colon carcinoma. Sci. Rep. 2023, 13, 22486. [Google Scholar] [CrossRef]
- Liebl, M.C.; Hofmann, T.G. The role of p53 signaling in colorectal cancer. Cancers 2021, 13, 2125. [Google Scholar] [CrossRef]
- Kim, D.-E.; Oh, H.-J.; Kim, H.-J.; Kim, Y.-B.; Kim, S.-T.; Yim, H. Synergistic two-step inhibition approach using a combination of trametinib and onvansertib in KRAS and TP53-mutated colorectal adenocarcinoma. Biomed. Pharmacother. 2025, 182, 117796. [Google Scholar]
- Kun, E.; Tsang, Y.T.M.; Ng, C.W.; Gershenson, D.M.; Wong, K.K. MEK inhibitor resistance mechanisms and recent developments in combination trials. Cancer Treat. Rev. 2021, 92, 102137. [Google Scholar] [CrossRef]
- Zhang, M.; Wu, D.; Tang, Y.; Zhang, L.; Zhang, S.; Li, W.; Li, N.; Yan, X. Targeting KRAS in colorectal cancer (Review). Mol. Clin. Oncol. 2025, 23, 78. [Google Scholar] [CrossRef] [PubMed]
- Allawi, M.M.; Mahmood, A.A.R.; Tahtamouni, L.H.; Saleh, A.M.; Kanaan, S.I.; Saleh, K.M.; AlSakhen, M.F.; Himsawi, N.; Yasin, S.R. Anti-proliferation evaluation of new derivatives of indole-6-carboxylate ester as receptor tyrosine kinase inhibitors. Future Med. Chem. 2024, 16, 1313–1331. [Google Scholar] [CrossRef]
- Elzahabi, H.S.A.; Nossier, E.S.; Khalifa, N.M.; Alasfoury, R.A.; El-Manawaty, M.A. Anticancer evaluation and molecular modeling of multi-targeted kinase inhibitors based pyrido[2,3-d]pyrimidine scaffold. J. Enzym. Inhib. Med. Chem. 2018, 33, 546–557. [Google Scholar] [CrossRef] [PubMed]
- Anand, A.R.; Bradley, R.; Ganju, R.K. LPS-induced MCP-1 expression in human microvascular endothelial cells is mediated by the tyrosine kinase, Pyk2 via the p38 MAPK/NF-κB dependent pathway. Mol. Immunol. 2009, 46, 962–968. [Google Scholar] [CrossRef] [PubMed]
- Napolitano, S.; Matrone, N.; Muddassir, A.L.; Martini, G.; Sorokin, A.; de Falco, V.; Giunta, E.F.; Ciardiello, D.; Martinelli, E.; Belli, V.; et al. Triple blockade of EGFR, MEK and PD-L1 has antitumor activity in colorectal cancer models with constitutive activation of MAPK signaling and PD-L1 overexpression. J. Exp. Clin. Cancer Res. 2019, 38, 492. [Google Scholar] [CrossRef]
- Zahra, R.; Furqan, M.; Ullah, R.; Mithani, A.; Saleem, R.S.Z.; Faisal, A. A cell-based high-throughput screen identifies inhibitors that overcome P-glycoprotein (Pgp)-mediated multidrug resistance. PLoS ONE 2020, 15, e0233993. [Google Scholar] [CrossRef]
- Liang, B.C.; Ullyatt, E. Chemosensitization of glioblastoma cells to bis-dichloroethyl-nitrosourea with tyrphostin AG17. Clin. Cancer Res. 1998, 4, 773–781. [Google Scholar]






| Compd. | HCT-116 p53-wt | HCT-116 p53KO | HT-29 | MCF10A (SI) 2 | Vero (SI) 2 | MDCK (SI) 2 |
|---|---|---|---|---|---|---|
| Tyrphostin A9 | 19.6 ± 4.6 | 38.8 ± 6.5 | 63.2 ± 7.1 | 41.2 ± 4.5 (2.1) | 132.9 ± 12.3 (6.8) | 103.6 ± 17.3 (5.3) |
| 1a | 20.5 ± 2.3 | 53.6 ± 10.5 | 91.4 ± 8.6 | 99.7 ± 17.3 (4.9) | 203.8 ± 25.8 (9.9) | 116.2 ± 9.1 (5.7) |
| 1b | 37.7 ± 5.8 | 55.0 ± 13.3 | 77.5 ± 8.9 | 45.1 ± 4.8 (1.2) | 89.0 ± 10.5 (2.4) | 76.7 ± 8.8 (2.0) |
| 2a | 27.8 ± 8.4 | 63.7 ± 10.4 | 56.1 ± 3.3 | 67.8 ± 10.2 (2.4) | 122.5 ± 9.9 (4.4) | 125.4 ± 14.4 (4.5) |
| 2b | 39.8 ± 9.0 | 178.5 ± 22.8 | 144.8 ± 16.0 | 43.5 ± 5.5 (1.1) | 164.4 ± 16.9 (4.1) | 96.2 ± 11.5 (2.4) |
| Briva | 42.9 ± 3.1 3 | 40.9 ± 3.3 3 | 7.8 ± 0.7 3 | 64.5 ± 6.4 (1.5) 3 | 207.7 ± 27.0 (4.8) | 88.5 ± 9.3 (2.1) |
| Erlotinib | 14.0 ± 2.5 | 26.5 ± 5.8 | 15.8 ± 3.3 | 50.5 ± 12.2 (3.6) | 103.8 ± 11.1 (7.4) | 45.4 ± 6.0 (3.2) |
| Sorafenib | 7.3 ± 1.7 | 22.6 ± 4.3 | 5.2 ± 2.4 | 67.2 ± 10.4 (9.2) | 96.6 ± 13.6 (9.5) | 45.9 ± 5.1 (6.3) |
| Compd. | EGFR | VEGFR-2 |
|---|---|---|
| Tyrphostin A9 | 48.5 ± 5.7 | 28.2 ± 3.1 |
| Erlotinib | 3.2 ± 0.4 | - |
| Sorafenib | - | 1.7 ± 0.2 |
Disclaimer/Publisher’s Note: The statements, opinions and data contained in all publications are solely those of the individual author(s) and contributor(s) and not of MDPI and/or the editor(s). MDPI and/or the editor(s) disclaim responsibility for any injury to people or property resulting from any ideas, methods, instructions or products referred to in the content. |
© 2025 by the authors. Licensee MDPI, Basel, Switzerland. This article is an open access article distributed under the terms and conditions of the Creative Commons Attribution (CC BY) license (https://creativecommons.org/licenses/by/4.0/).
Share and Cite
Tahtamouni, L.H.; Almasri, A.Y.; Hamad, M.A.; Hussein, N.A.; Saleh, K.M.; Yasin, S.R.; Schobert, R.; Biersack, B. Effects of Tyrphostin A9 and Structurally Related Tyrphostins on Colorectal Carcinoma Cells. Future Pharmacol. 2025, 5, 57. https://doi.org/10.3390/futurepharmacol5040057
Tahtamouni LH, Almasri AY, Hamad MA, Hussein NA, Saleh KM, Yasin SR, Schobert R, Biersack B. Effects of Tyrphostin A9 and Structurally Related Tyrphostins on Colorectal Carcinoma Cells. Future Pharmacology. 2025; 5(4):57. https://doi.org/10.3390/futurepharmacol5040057
Chicago/Turabian StyleTahtamouni, Lubna H., Ayah Y. Almasri, Marya A. Hamad, Nour A. Hussein, Khaled M. Saleh, Salem R. Yasin, Rainer Schobert, and Bernhard Biersack. 2025. "Effects of Tyrphostin A9 and Structurally Related Tyrphostins on Colorectal Carcinoma Cells" Future Pharmacology 5, no. 4: 57. https://doi.org/10.3390/futurepharmacol5040057
APA StyleTahtamouni, L. H., Almasri, A. Y., Hamad, M. A., Hussein, N. A., Saleh, K. M., Yasin, S. R., Schobert, R., & Biersack, B. (2025). Effects of Tyrphostin A9 and Structurally Related Tyrphostins on Colorectal Carcinoma Cells. Future Pharmacology, 5(4), 57. https://doi.org/10.3390/futurepharmacol5040057

