Gaps and Pathways Towards Standardized, FAIR Microplastics Data Harmonization: A Systematic Review
Abstract
1. Introduction
2. Methods
3. Results and Discussion
3.1. Sampling Locations and Environments
3.2. Sampling Efforts, Sampling Frequency and Number of Samples
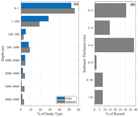
3.3. Sampling Depth
3.4. Sampling Instruments
3.5. Measurement Units
3.6. Characteristics of Microplastics
3.7. Size Range of Microplastics
3.8. Data Availability
4. Conclusions and Recommendations
Supplementary Materials
Author Contributions
Funding
Data Availability Statement
Acknowledgments
Conflicts of Interest
References
- Eriksen, M.; Lebreton, L.C.M.; Carson, H.S.; Thiel, M.; Moore, C.J.; Borerro, J.C.; Galgani, F.; Ryan, P.G.; Reisser, J. Plastic pollution in the world’s oceans: More than 5 trillion plastic pieces weighing over 250,000 tons afloat at sea. PLoS ONE 2014, 9, e111913. [Google Scholar] [CrossRef]
- Jambeck, J.R.; Geyer, R.; Wilcox, C.; Siegler, T.R.; Perryman, M.; Andrady, A.; Narayan, R.; Law, K.L. Plastic waste inputs from land into the ocean. Science 2015, 347, 768–771. [Google Scholar] [CrossRef]
- Hale, R.C.; Seeley, M.E.; La Guardia, M.J.; Mai, L.; Zeng, E.Y. A Global Perspective on Microplastics. J. Geophys. Res. Oceans 2020, 125, e2018JC014719. [Google Scholar] [CrossRef]
- Lamichhane, G.; Acharya, A.; Marahatha, R.; Modi, B.; Paudel, R.; Adhikari, A.; Raut, B.K.; Aryal, S.; Parajuli, N. Microplastics in environment: Global concern, challenges, and controlling measures. Int. J. Environ. Sci. Technol. 2023, 20, 4673–4694. [Google Scholar] [CrossRef]
- Yogi, K.; Rabari, V.; Patel, K.; Patel, H.; Trivedi, J.; Rakib, M.R.J.; Kumar, R.; Proshad, R.; Walker, T.R. Gujarat’s plastic plight: Unveiling characterization, abundance, and pollution index of beachside plastic pollution. Discov. Oceans 2024, 1, 8. [Google Scholar] [CrossRef]
- Jiang, B.; Kauffman, A.E.; Li, L.; McFee, W.; Cai, B.; Weinstein, J.; Lead, J.R.; Chatterjee, S.; Scott, G.I.; Xiao, S. Health impacts of environmental contamination of micro- and nanoplastics: A review. Environ. Health Prev. Med. 2020, 25, 29. [Google Scholar] [CrossRef]
- Suaria, G.; Avio, C.G.; Mineo, A.; Lattin, G.L.; Magaldi, M.G.; Belmonte, G.; Moore, C.J.; Regoli, F.; Aliani, S. The Mediterranean Plastic Soup: Synthetic polymers in Mediterranean surface waters. Sci. Rep. 2016, 6, 37551. [Google Scholar] [CrossRef]
- Galgani, F.; Stoefen-O’Brien, A.; Weis, J.; Ioakeimidis, C.; Schuyler, Q.; Makarenko, I.; Griffiths, H.; Bondareff, J.; Vethaak, D.; Deidun, A.; et al. Are litter, plastic and microplastic quantities increasing in the ocean? Micropl. Nanopl. 2021, 1, 2. [Google Scholar] [CrossRef]
- Kutralam-Muniasamy, G.; Shruti, V.C.; Pérez-Guevara, F.; Roy, P.D. Microplastic diagnostics in humans: “The 3Ps” Progress, problems, and prospects. Sci. Total Environ. 2023, 856, 159164. [Google Scholar] [CrossRef]
- Koelmans, A.A.; Besseling, E.; Foekema, E.M. Leaching of plastic additives to marine organisms. Environ. Pollut. 2014, 187, 49–54. [Google Scholar] [CrossRef]
- Vethaak, A.D.; Leslie, H.A. Plastic debris is a human health issue. Environ. Sci. Technol. 2016, 50, 6825–6826. [Google Scholar] [CrossRef]
- Carlin, J.; Craig, C.; Little, S.; Donnelly, M.; Fox, D.; Zhai, L.; Walters, L. Microplastic accumulation in the gastrointestinal tracts in birds of prey in central Florida, USA. Environ. Pollut. 2020, 264, 114633. [Google Scholar] [CrossRef]
- Goyal, T.; Singh, S.; Gupta, G.D.; Verma, S.K. Microplastics in environment: A comprehension on sources, analytical detection, health concerns, and remediation. Environ. Sci. Pollut. Res. 2023, 30, 114707–114721. [Google Scholar] [CrossRef] [PubMed]
- Ragusa, A.; Svelato, A.; Santacroce, C.; Catalano, P.; Notarstefano, V.; Carnevali, O.; Papa, F.; Rongioletti, M.C.A.; Baiocco, F.; Draghi, S.; et al. Plasticenta: First evidence of microplastics in human placenta. Environ. Int. 2021, 146, 106274. [Google Scholar] [CrossRef]
- Koelmans, A.A.; Besseling, E.; Shim, W.J. Nanoplastics in the aquatic environment. Critical review. In Marine Anthropogenic Litter; Bergmann, M., Gutov, L., Klages, M., Eds.; Springer: Berlin/Heidelberg, Germany, 2015; pp. 325–340. [Google Scholar] [CrossRef]
- Miller, E.; Sedlak, M.; Lin, D.; Box, C.; Holleman, C.; Rochman, C.M.; Sutton, R. Recommended best practices for collecting, analyzing, and reporting microplastics in environmental media: Lessons learned from comprehensive monitoring of San Francisco Bay. J. Hazard. Mater 2021, 409, 124770. [Google Scholar] [CrossRef] [PubMed]
- Pérez-Guevara, F.; Roy, P.D.; Kutralam-Muniasamy, G.; Shruti, V. Coverage of microplastic data underreporting and progress toward standardization. Sci. Total Environ. 2022, 829, 154727. [Google Scholar] [CrossRef]
- Vermaire, J.C.; Pomeroy, C.; Herczegh, S.M.; Haggart, O.; Murphy, M. Microplastic abundance and distribution in the open water and sediment of the Ottawa River, Canada, and its tributaries. FACETS 2017, 2, 301–314. [Google Scholar] [CrossRef]
- Prata, J.C.; da Costa, J.P.; Duarte, A.C.; Rocha-Santos, T.A.P. Methods for sampling and detection of microplastics in water and sediment: A critical review. TrAC Trends Anal. Chem. 2019, 110, 150–159. [Google Scholar] [CrossRef]
- López-Velázquez, K.; Duque-Olivera, K.G.; Santiago-Gordillo, D.A.; Hoil-Canul, E.R.; Guzmán-Mar, J.L.; Villanueva-Rodríguez, M.; Ronderos-Lara, J.G.; Castillo-Quevedo, C.; Cabellos-Quiroz, J.L. Microplastics on sandy beaches of Chiapas, Mexico. Reg. Stud. Mar. Sci. 2024, 70, 103381. [Google Scholar] [CrossRef]
- Salam, M.; Zheng, H.; Liu, Y.; Zaib, A.; Rehman, S.A.U.; Riaz, N.; Eliw, M.; Hayat, F.; Li, H.; Wang, F. Effects of micro(nano)plastics on soil nutrient cycling: State of the knowledge. J. Environ. Manag. 2023, 344, 118437. [Google Scholar] [CrossRef]
- Nyadjro, E.S.; Webster, J.A.B.; Boyer, T.P.; Cebrian, J.; Collazo, L.; Kaltenberger, G.; Larsen, K.; Lau, Y.H.; Mickle, P.; Toft, T.; et al. The NOAA NCEI marine microplastics database. Sci. Data 2023, 10, 726. [Google Scholar] [CrossRef]
- Jack, M.E.; Chaves Montero, M.d.M.; Galgani, F.; Giorgetti, A.; Vinci, M.; Le Moigne, M.; Brosich, A. EMODnet marine litter data management at pan-European scale. Ocean Coast. Manag 2019, 181, 104930. [Google Scholar] [CrossRef]
- Bergmann, M.; Tekman, M.B.; Gutow, L. Litterbase: An online portal for marine litter and microplastics and their implications for marine life. In Fate and Impact of Microplastics in Marine Ecosystems, MICRO 2016; Baztan, J., Jorgensen, B., Pahl, S., Thompson, R., Vanderlinden, J., Eds.; Elsevier: Amsterdam, The Netherlands, 2017. [Google Scholar] [CrossRef]
- Michida, Y.; Chavanich, S.; Chiba, S.; Cordova, M.R.; Cozzar Cabanas, A.; Galgani, F.; Hagmann, P.; Hinata, H.; Isobe, A.; Kershaw, P.; et al. Guidelines for Harmonizing Ocean Surface Microplastic Monitoring Methods (Version 1.0), 2019; 71p, Ministry of the Environment Japan. Available online: https://www.env.go.jp/en/water/marine_litter/guidelines/guidelines.pdf (accessed on 15 August 2025).
- Salam, M.; Li, H.; Wang, F.; Zaib, A.; Yang, W.; Li, Q. The impacts of microplastics and biofilms mediated interactions on sedimentary nitrogen cycling: A comprehensive review. Process Saf. Environ. Prot. 2024, 184, 332–341. [Google Scholar] [CrossRef]
- Doiron, D.; Burton, P.; Marcon, Y.; Gaye, A.; Wolffenbuttel, B.H.R.; Perola, M.; Stolk, R.P.; Foco, L.; Minelli, C.; Waldenberger, M.; et al. Data harmonization and federated analysis of population-based studies: The BioSHaRE project. Emerg. Themes Epidemiol. 2013, 10, 12. [Google Scholar] [CrossRef]
- Kush, R.D.; Warzel, D.; Kush, M.A.; Sherman, A.; Navarro, E.A.; Fitzmartin, R.; Pétavy, F.; Galvez, J.; Becnel, L.B.; Zhou, F.L.; et al. Fair data sharing: The roles of common data elements and harmonization. J. Biomed. Inform. 2020, 107, 103421. [Google Scholar] [CrossRef] [PubMed]
- Cheng, C.; Messerschmidt, L.; Bravo, I.; Waldbauer, M.; Bhavikatti, R.; Schenk, C.; Grujic, V.; Model, T.; Kubinec, R.; Barceló, J. A General Primer for Data Harmonization. Sci. Data 2024, 11, 152. [Google Scholar] [CrossRef] [PubMed]
- Wilkinson, M.D.; Dumontier, M.; Aalbersberg, I.J.; Appleton, G.; Axton, M.; Baak, A.; Blomberg, N.; Boiten, J.-W.; Bonino da Silva Santos, L.; Bourne, P.E.; et al. The FAIR guiding principles for scientific data management and Stewardship. Sci. Data 2016, 3, 160018. [Google Scholar] [CrossRef]
- Cutroneo, L.; Reboa, A.; Besio, G.; Borgogno, F.; Canesi, L.; Canuto, S.; Dara, M.; Enrile, F.; Forioso, I.; Greco, G.; et al. Microplastics in seawater: Sampling strategies, laboratory methodologies, and identification techniques applied to port environment. Environ. Sci. Pollut. Control Ser. 2020, 27, 8938–8952. [Google Scholar] [CrossRef]
- Phuong, N.N.; Fauvelle, V.; Grenz, C.; Ourgaud, M.; Schmidt, N.; Strady, E.; Sempere, R. Highlights from a review of microplastics in marine sediments. Sci. Total Environ. 2021, 777, 146225. [Google Scholar] [CrossRef]
- Razeghi, N.; Hamidian, A.H.; Wu, C.; Zhang, Y.; Yang, M. Microplastic sampling techniques in freshwaters and sediments: A review. Environ. Chem. Lett. 2021, 19, 4225–4252. [Google Scholar] [CrossRef]
- Turan, N.B.; Erkan, H.S.; Engin, G.O. Current status of studies on microplastics in the world’s marine environments. J. Clean. Prod. 2021, 327, 129394. [Google Scholar] [CrossRef]
- Gurumoorthi, K.; Luis, A.J. Recent trends on microplastics abundance and risk assessment in coastal Antarctica: Regional meta-analysis. Environ. Pollut. 2023, 324, 121385. [Google Scholar] [CrossRef]
- Read, K.B.; Ganshorn, H.; Rutley, S.; Scott, D.R. Data-Sharing Practices in Publications Funded by the Canadian Institutes of Health Research: A Descriptive Analysis. Can. Med. Assoc. Open Access J. 2021, 9, E980–E987. [Google Scholar] [CrossRef]
- Jenkins, T.; Persaud, B.D.; Cowger, W.; Szigeti, K.; Roche, D.G.; Clary, E.; Slowinski, S.; Lei, B.; Abeynayaka, A.; Nyadjro, E.S.; et al. Current state of microplastic pollution research data: Trends in availability and sources of open data. Front. Environ. Sci. 2022, 10, 912107. [Google Scholar] [CrossRef]
- Roche, D.G.; Raby, G.D.; Norin, T.; Ern, R.; Scheuffele, H.; Skeeles, M.; Morgan, R.; Andreassen, A.H.; Clements, J.C.; Louissaint, S.; et al. Paths towards greater consensus building in experimental biology. Exp. Biol. 2022, 225, jeb243559. [Google Scholar] [CrossRef]
- Page, M.J.; McKenzie, J.E.; Bossuyt, P.M.; Boutron, I.; Hoffmann, T.C.; Mulrow, C.D.; Shamseer, L.; Tetzlaff, J.M.; Akl, E.A.; Brennan, S.E.; et al. The PRISMA 2020 statement: An updated guideline for reporting systematic reviews. BMJ 2021, 372, n71. [Google Scholar] [CrossRef]
- Lavender Law, K.; Morét-Ferguson, S.; Maximenko, N.A.; Proskurowski, G.; Peacock, E.E.; Hafner, J.; Reddy, C.M. Plastic Accumulation in the North Atlantic Subtropical Gyre. Science 2010, 329, 1185–1188. [Google Scholar] [CrossRef]
- Tunnell, J.W.; Dunning, K.H.; Scheef, L.P.; Swanson, K.M. Measuring plastic pellet (nurdle) abundance on shorelines throughout the Gulf of Mexico using citizen scientists: Establishing a platform for policy-relevant research. Mar. Pollut. Bull. 2020, 151, 110794. [Google Scholar] [CrossRef] [PubMed]
- Faure, F.; Saini, C.; Potter, G.; Galgani, F.; de Alencastro, L.F.; Hagmann, P. An evaluation of surface micro- and mesoplastic pollution in pelagic ecosystems of the Western Mediterranean Sea. Environ. Sci. Pollut. Res. 2015, 22, 12190–12197. [Google Scholar] [CrossRef] [PubMed]
- Keerthika, K.; Padmavathy, P.; Rani, V.; Jeyashakila, R.; Aanand, S.; Kutty, R. Spatial, seasonal and ecological risk assessment of microplastics in sediment and surface water along the Thoothukudi, south Tamil Nadu, southeast India. Environ. Monit. Assess. 2022, 194, 820. [Google Scholar] [CrossRef] [PubMed]
- Fulfer, V.M.; Walsh, J.P. Extensive estuarine sedimentary storage of plastics from city to sea: Narragansett Bay, Rhode Island, USA. Sci. Rep. 2023, 13, 10195. [Google Scholar] [CrossRef]
- Van Cauwenberghe, L.; Devriese, L.; Galgani, F.; Robbens, J.; Janssen, C.R. Microplastics in sediments: A review of techniques, occurrence and effects. Mar. Environ. Res. 2015, 111, 5–17. [Google Scholar] [CrossRef]
- Hanvey, J.S.; Lewis, P.J.; Lavers, J.L.; Crosbie, N.D.; Pozo, K.; Clarke, B.O. A review of analytical techniques for quantifying microplastics in sediments. Anal. Meth. 2017, 9, 1369–1383. [Google Scholar] [CrossRef]
- Willis, K.A.; Eriksen, R.; Wilcox, C.; Hardesty, B.D. Microplastic distribution at different sediment depths in an urban estuary. Front. Mar. Sci. 2017, 4, 419. [Google Scholar] [CrossRef]
- ITRC (Interstate Technology & Regulatory Council). Microplastics Team Materials; Interstate Technology & Regulatory Council, MP Team: Washington, DC, USA, 2023; Available online: https://mp-1.itrcweb.org (accessed on 15 August 2025).
- Sherman, P.; van Sebille, E. Modeling marine surface microplastic transport to assess optimal removal locations. Environ. Res. Lett. 2016, 11, 014006. [Google Scholar] [CrossRef]
- Hurley, R.R.; Woodward, J.; Rothwell, J.J. Microplastic contamination of river beds significantly reduced by catchment-wide flooding. Nat. Geosci. 2018, 11, 251–257. [Google Scholar] [CrossRef]
- Ross, M.S.; Loutan, A.; Groeneveld, T.; Molenaar, D.; Kroetch, K.; Bujaczek, T.; Kolter, S.; Moon, S.; Huynh, A.; Khayam, R.; et al. Estimated discharge of microplastics via urban stormwater during individual rain events. Front. Environ. Sci. 2023, 11, 1090267. [Google Scholar] [CrossRef]
- Hobbie, J.E.; Carpenter, S.R.; Grimm, N.B.; Gosz, J.R.; Seastedt, T.R. The U.S. Long Term Ecological Research Program. BioScience 2003, 53, 21–32. [Google Scholar] [CrossRef]
- Tanhua, T.; Gutekunst, S.B.; Biastoch, A. A near-synoptic survey of ocean microplastic concentration along an around-the world sailing race. PLoS ONE 2020, 15, e0243203. [Google Scholar] [CrossRef]
- Caldwell, J.; Muff, L.F.; Pham, C.K.; Petri-Fink, A.; Rothen-Rutishauser, B.; Lehner, R. Spatial and temporal analysis of meso- and microplastic pollution in the Ligurian and Tyrrhenian Seas. Mar. Pollut. Bull. 2020, 159, 111515. [Google Scholar] [CrossRef]
- Barrows, A.P.W.; Cathey, S.E.; Petersen, C.W. Marine environment microfiber contamination: Global patterns and the diversity of microparticle origins. Environ. Pollut. 2018, 237, 275–284. [Google Scholar] [CrossRef] [PubMed]
- Quinn, B.; Murphy, F.; Ewins, C. Validation of density separation for the rapid recovery of microplastics from sediment. Anal. Methods 2017, 9, 1491–1498. [Google Scholar] [CrossRef]
- Prume, J.A.; Laermanns, H.; Löder, M.G.J.; Laforsch, C.; Bogner, C.; Koch, M. Evaluating the effectiveness of the MicroPlastic Sediment Separator (MPSS). Micropl. Nanopl 2023, 3, 26. [Google Scholar] [CrossRef]
- Tamminga, M.; Stoewer, S.-C.; Fischer, E.K. On the representativeness of pump water samples versus manta sampling in microplastic analysis. Environ. Pollut. 2019, 254, 112970. [Google Scholar] [CrossRef]
- Yu, Y.; Flury, M. How to take representative samples to quantify microplastic particles in soil? Sci. Total Environ. 2021, 784, 147166. [Google Scholar] [CrossRef]
- de Haan, W.P.; Sanchez-Vidal, A.; Canals, M. Floating microplastics and aggregate formation in the Western Mediterranean Sea. Mar. Pollut. Bull. 2019, 140, 523–535. [Google Scholar] [CrossRef]
- Browne, M.A.; Crump, P.; Nivem, S.J.; Teuten, E.; Tonkin, A.; Galloway, T.; Thompson, R. Accumulation of microplastic on shorelines worldwide: Sources and sinks. Environ. Sci. Technol. 2011, 45, 9175–9179. [Google Scholar] [CrossRef]
- Woodall, L.C.; Sanchez-Vidal, A.; Canals, M.; Paterson, G.L.J.; Coppock, R.; Sleight, V.; Calafat, A.; Rogers, A.D.; Narayanaswamy, B.E.; Thompson, R.C. The deep sea is a major sink for microplastic debris. Roy. Soc. Open Sci. 2014, 1, 140317. [Google Scholar] [CrossRef]
- Galgani, F.; Michela, A.; Gérigny, O.; Maes, T.; Tambutté, E.; Harris, P.T. Marine Litter, Plastic, and Microplastics on the Seafloor. In Plastics and the Ocean: Origin, Characterization, Fate, and Impacts; Andrady, A.L., Ed.; John Wiley & Sons, Inc.: Hoboken, NJ, USA, 2022; pp. 151–197. [Google Scholar] [CrossRef]
- Cowger, W.; Booth, A.M.; Hamilton, B.M.; Thaysen, C.; Primpke, S.; Munno, K.; Lusher, A.L.; Dehaut, A.; Vaz, V.P.; Liboiron, M.; et al. Reporting guidelines to increase the reproducibility and comparability of research on microplastics. Appl. Spectrosc. 2020, 74, 1066–1077. [Google Scholar] [CrossRef] [PubMed]
- Tokai, T.; Uchida, K.; Kuroda, M.; Isobe, A. Mesh selectivity of neuston nets for microplastics. Mar. Pollut. Bull 2021, 165, 112111. [Google Scholar] [CrossRef]
- Watkins, L.; Sullivan, P.J.; Walter, M.T. What you net depends on if you grab: A meta-analysis of sampling method’s impact on measured aquatic microplastic concentration. Environ. Sci. Technol. 2021, 55, 12930–12942. [Google Scholar] [CrossRef] [PubMed]
- Goldstein, M.C.; Titmus, A.J.; Ford, M. Scales of spatial heterogeneity of plastic marine debris in the northeast Pacific Ocean. PLoS ONE 2013, 8, e80020. [Google Scholar] [CrossRef]
- Anderson, P.J.; Warrack, S.; Langen, V.; Challis, J.K.; Hanson, M.L.; Rennie, M.D. Microplastic contamination in lake Winnipeg, Canada. Environ. Pollut. 2017, 225, 223–231. [Google Scholar] [CrossRef]
- Barrows, A.P.W.; Neumann, C.A.; Berger, M.L.; Shaw, S.D. Grab vs. neuston tow net: A microplastic sampling performance comparison and possible advances in the field. Anal. Methods 2017, 9, 1446–1453. [Google Scholar] [CrossRef]
- Dris, R.; Gasperi, J.; Rocher, V.; Tassin, B. Synthetic and non-synthetic anthropogenic fibers in a river under the impact of Paris Megacity: Sampling methodological aspects and flux estimations. Sci. Total Environ. 2018, 618, 157–164. [Google Scholar] [CrossRef]
- Dubaish, F.; Liebezeit, G. Suspended microplastics and black carbon particles in the Jade System, Southern North Sea. Water Air Soil Pollut. 2013, 224, 1352. [Google Scholar] [CrossRef]
- Kang, J.-H.; Kwon, O.Y.; Lee, K.-W.; Song, Y.K.; Shim, W.J. Marine neustonic microplastics around the southeastern coast of Korea. Mar. Pollut. Bull. 2015, 96, 304–312. [Google Scholar] [CrossRef]
- Campbell, N.R. An Account of the Principles of Measurement and Calculation; Longmans: London, UK, 1928. [Google Scholar]
- Stevens, S.S. On the theory of scales of measurement. Science 1946, 103, 677–680. [Google Scholar] [CrossRef] [PubMed]
- Astin, A.V. Standards of measurement. Sci. Am. 1968, 218, 50–63. [Google Scholar] [CrossRef]
- Aftanas, M.S. Theories, models, and standard systems of measurement. Appl. Psychol. Meas. 1988, 12, 325–338. [Google Scholar] [CrossRef]
- Novak, G.S. Conversion of units of measurement. IEEE Trans. Softw. Eng. 1995, 21, 651–661. [Google Scholar] [CrossRef]
- Cardarelli, F.; Shields, M.J. Scientific Unit Conversion: A Practical Guide to Metrication; Springer: Berlin/Heidelberg, Germany, 1997. [Google Scholar] [CrossRef]
- de Vries, H.J. Standardization: What’s in a Name? In Standardization: A Business Approach to the Role of National Standardization Organizations; Springer: Boston, MA, USA, 1999. [Google Scholar] [CrossRef]
- Gkoutos, G.V.; Schofield, P.N.; Hoehndorf, R. The Units Ontology: A tool for integrating units of measurement in science. Database 2012, 2012, bas033. [Google Scholar] [CrossRef]
- Lavender Law, K.; Morét-Ferguson, S.E.; Goodwin, D.S.; Zettler, E.R.; DeForce, E.; Kukulka, T.; Proskurowski, G. Distribution of surface plastic debris in the Eastern Pacific Ocean from an 11-year data set. Environ. Sci. Technol. 2014, 48, 4732–4738. [Google Scholar] [CrossRef]
- Reisser, J.; Shaw, J.; Wilcox, C.; Hardesty, B.D.; Proietti, M.; Thums, M.; Pattiaratchi, C. Marine plastic pollution in waters around Australia: Characteristics, concentrations, and pathways. PLoS ONE 2013, 8, e80466. [Google Scholar] [CrossRef]
- Masura, J.; Baker, J.; Foster, G.; Arthur, C. Laboratory Methods for the Analysis of Microplastics in the Marine Environment: Recommendations for Quantifying Synthetic Particles in Waters and Sediments. In NOAA Technical Memorandum NOS-OR&R; NOAA Marine Debris Division: Silver Spring, MD, USA, 2015; Volume 48. Available online: https://repository.library.noaa.gov/view/noaa/10296 (accessed on 15 August 2025).
- Suaria, G.; Perold, V.; Lee, J.R.; Lebouard, F.; Aliani, S.; Ryan, P.G. Floating macro- and microplastics around the Southern Ocean: Results from the Antarctic Circumnavigation Expedition. Environ. Int. 2020, 136, 105494. [Google Scholar] [CrossRef]
- Wang, X.; Zhu, L.; Liu, K.; Li, D. Prevalence of microplastic fibers in the marginal sea water column off southeast China. Sci. Total Environ. 2022, 804, 150138. [Google Scholar] [CrossRef]
- Verla, A.W.; Enyoh, C.E.; Verla, E.N.; Nwarnorh, K.O. Microplastic–toxic chemical interaction: A review study on quantified levels, mechanism and implication. SN Appl. Sci. 2019, 1, 1400. [Google Scholar] [CrossRef]
- Ahmadi, A.; Moore, F.; Keshavarzi, B.; Soltani, N. Potentially toxic elements and microplastics in muscle tissues of different marine species from the Persian Gulf: Levels, associated risks, and trophic transfer. Mar. Pollut. Bull. 2022, 175, 113283. [Google Scholar] [CrossRef]
- Grace, J.K.; Duran, E.; Ottinger, M.A.; Woodrey, M.S.; Maness, T.J. Microplastics in the Gulf of Mexico: A bird’s eye view. Sustainability 2022, 14, 7849. [Google Scholar] [CrossRef]
- Araujo, C.F.; Nolasco, M.M.; Ribeiro, A.M.P.; Ribeiro-Claro, P.J.A. Identification of microplastics using Raman spectroscopy: Latest developments and prospects. Water Res. 2018, 142, 426–440. [Google Scholar] [CrossRef] [PubMed]
- Hidalgo-Ruz, V.; Gutow, L.; Thompson, R.C.; Thiel, M. Microplastics in the marine environment: A review of the methods used for identification and quantification. Environ. Sci. Technol. 2012, 46, 3060–3075. [Google Scholar] [CrossRef]
- Käppler, A.; Fischer, M.; Scholz-Böttcher, B.M.; Oberbeckmann, S.; Labrenz, M.; Fischer, D.; Eichhorn, K.-J. Analysis of environmental microplastics by vibrational microspectroscopy: FTIR, Raman or both? Anal. Bioanal. Chem. 2016, 408, 8377–8391. [Google Scholar] [CrossRef]
- Primpke, S.; Wirth, M.; Lorenz, C.; Gerdts, G. Reference database design for automated analysis of microplastic samples based on FTIR spectroscopy. Anal. Bioanal. Chem. 2020, 412, 5131–5141. [Google Scholar] [CrossRef]
- Huang, M.; Si, C.; Qiu, C.; Wang, G. Microplastics analysis: From qualitative to quantitative. Environ. Sci. Adv. 2024, 3, 1652–1668. [Google Scholar] [CrossRef]
- Vasudeva, M.; Warrier, A.K.; Kartha, V.B.; Unnikrishnan, V.K. Advances in microplastic characterization: Spectroscopic techniques and heavy metal adsorption insights. TrAC Trends Anal. Chem. 2025, 183, 118111. [Google Scholar] [CrossRef]
- Rosal, R. Morphological description of microplastic particles for environmental fate studies. Mar. Pollut. Bull. 2021, 171, 112716. [Google Scholar] [CrossRef] [PubMed]
- Yu, J.T.; Diamond, M.L.; Helm, P.A. A fit for purpose categorization scheme for microplastic morphologies. Integr. Environ. Assess. Manag. 2022, 19, 422–435. [Google Scholar] [CrossRef]
- Martí, E.; Martin, C.; Galli, M.; Echevarría, F.; Duarte, C.M.; Cózar, A. The colors of the ocean plastics. Environ. Sci. Technol. 2020, 54, 6594–6601. [Google Scholar] [CrossRef]
- Kotar, S.; McNeish, R.; Murphy-Hagan, C.; Renick, V.; Lee, C.-F.T.; Steele, C.; Lusher, A.; Moore, C.; Minor, E.; Schroeder, J.; et al. Quantitative assessment of visual microscopy as a tool for microplastics research: Recommendations for improving methods and reporting. Chemosphere 2022, 308, 136449. [Google Scholar] [CrossRef]
- Cowger, W.; Steinmetz, Z.; Gray, A.; Munno, K.; Lynch, J.; Hapich, H.; Primpke, S.; De Frond, H.; Rochman, C.; Herodotou, O. Microplastic spectral classification needs an open source community: Open Specy to the rescue! Anal. Chem. 2021, 93, 7543–7548. [Google Scholar] [CrossRef]
- Barker, M.; Singha, T.; Willans, M.; Hackett, M.; Pham, D.-S. A Domain-Adaptive Deep Learning Approach for Microplastic Classification. Microplastics 2025, 4, 69. [Google Scholar] [CrossRef]
- Wagner, M.; Scherer, C.; Alvarez-Muñoz, D.; Brennholt, N.; Bourrain, X.; Buchinger, S.; Fries, E.; Grosbois, C.; Klasmeier, J.; Marti, T.; et al. Microplastics in freshwater ecosystems: What we know and what we need to know. Environ. Sci. Eur. 2014, 26, 12. [Google Scholar] [CrossRef] [PubMed]
- Gigault, J.; ter Halle, A.; Baudrimont, M.; Pascal, P.-Y.; Gauffre, F.; Phi, T.-L.; El Hadri, H.; Grassl, B.; Reynaud, S. Current opinion: What is a nanoplastic? Environ. Pollut. 2018, 235, 1030–1034. [Google Scholar] [CrossRef]
- Ng, K.L.; Obbard, J.P. Prevalence of microplastics in Singapore’s coastal marine environment. Mar. Pollut. Bull. 2006, 52, 761–767. [Google Scholar] [CrossRef]
- Bhargava, R.; Wang, S.-Q.; Koenig, J.L. FTIR microspectroscopy of polymeric systems. In Liquid Chromatography/FTIR Microspectroscopy/Microwave Assisted Synthesis; Springer: Berlin/Heidelberg, Germany, 2003; pp. 137–191. [Google Scholar] [CrossRef]
- Lenz, R.; Enders, K.; Stedmon, C.A.; Mackenzie, D.M.A.; Nielsen, T.G. A critical assessment of visual identification of marine microplastic using Raman spectroscopy for analysis improvement. Mar. Pollut. Bull. 2015, 100, 82–91. [Google Scholar] [CrossRef] [PubMed]
- He, D.; Zhang, X.; Hu, J. Methods for separating microplastics from complex solid matrices: Comparative analysis. J. Hazard Mater 2021, 409, 124640. [Google Scholar] [CrossRef] [PubMed]
- Velimirovic, M.; Tirez, K.; Verstraelen, S.; Frijns, E.; Remy, S.; Koppen, G.; Rotander, A.; Bolea-Fernandez, E.; Vanhaecke, F. Mass spectrometry as a powerful analytical tool for the characterization of indoor airborne microplastics and nanoplastics. J. Anal. At. Spectrom. 2021, 36, 695–705. [Google Scholar] [CrossRef]
- Crichton, E.M.; Noel, M.; Gies, E.A.; Ross, P.S. A novel, density-independent and FTIR compatible approach for the rapid extraction of microplastics from aquatic sediments. Anal. Methods 2017, 9, 1419–1428. [Google Scholar] [CrossRef]
- Way, C.; Hudson, M.D.; Williams, I.D.; Langley, G.J. Evidence of underestimation in microplastic research: A meta-analysis of recovery rate studies. Sci. Total Environ. 2022, 805, 150227. [Google Scholar] [CrossRef]
- Duong, T.T.; Le, P.T.; Nguyen, T.N.H.; Hoang, T.Q.; Ngo, H.M.; Doan, T.O.; Le, T.P.Q.; Bui, H.T.; Bui, M.H.; Trinh, V.T.; et al. Selection of a density separation solution to study microplastics in tropical riverine sediment. Environ. Monit. Assess. 2022, 194, 65. [Google Scholar] [CrossRef]
- Partescano, E.; Jack, M.E.M.; Vinci, M.; Cociancich, A.; Altenburger, A.; Giorgetti, A.; Galgani, F. Data quality and FAIR principles applied to marine litter data in Europe. Mar. Pollut. Bull. 2021, 173, 112965. [Google Scholar] [CrossRef] [PubMed]







| Settings/Compartments | Water Only | Sediment Only | Water and Sediment | Total |
|---|---|---|---|---|
| Freshwater only | 27 | 17 | 20 | 64 |
| Marine only | 149 | 106 | 31 | 286 |
| Freshwater and Marine | 2 | 2 | 1 | 5 |
| Total | 178 | 125 | 52 | 355 |
| No. of Samples per Study | Water Studies (%) | Sediment Studies (%) |
|---|---|---|
| 0–20 | 34.4 | 41.6 |
| 20–40 | 26.8 | 26.6 |
| 40–60 | 15.8 | 13.6 |
| 60–100 | 10.0 | 11.0 |
| 100–200 | 7.2 | 4.5 |
| >200 samples | 5.7 | 2.6 |
| Unit Classes | Types |
|---|---|
| count | number of items |
| count per event | items/core; items/tow; items/zone |
| count per length | items/km |
| count per area | items/25 cm2; items/km2; items/m2 |
| count per volume | items/100 L; items/100 m3; items/10 cm3; items/2 L; items/50 mL; items/L; items/m3 |
| count per dry weight | items/100 g d.w.; items/10 g d.w.; items/200 g d.w.; items/50 g d.w.; items/g d.w.; items/kg d.w. |
| count per weight | items/30 g; items/kg |
| dry weight per area | g d.w./km2 |
| weight per area | g/km2; mg/km2; mg/m2 |
| weight per volume | g/cm3; g/mL; mg/m3 |
| Measurement | % of Studies Reporting |
|---|---|
| Color, polymer type, shape, and size | 35.0 |
| Color, polymer type, and shape | 12.5 |
| Color, polymer type, and size | 2.5 |
| Color, shape, and size | 5.9 |
| Polymer type, shape, and size | 8.8 |
| Any 2 characteristics only | 22.5 |
| Polymer type only | 5.3 |
| Shape only | 4.1 |
| Size only | 3.4 |
| Minimum Size (µm) | % of Record | Maximum Size (µm) | % of Record |
|---|---|---|---|
| 1000 | 8.8 | 5000 | 86.2 |
| 500 | 7.5 | 4750 | 2.9 |
| 333 | 6.1 | 4000 | 1.3 |
| 330 | 14 | 2000 | 1.3 |
| 300 | 14 | 1000 | 2.6 |
| 200 | 6.6 | 500 | 1.9 |
| 100 | 11.8 | 300 | 1.3 |
| 50 | 10.5 | others | 2.5 |
| 20 | 8.3 | ||
| others | 12.4 |
| Priority Level | Action | Rationale |
|---|---|---|
| 1—Immediate (for all new studies) | Report concentrations using items/m3 for water and items/g dry weight for sediments, or include explicit metadata (e.g., tow depth, sample mass, volume) to enable conversion. | Ensure unit comparability and prevent loss of harmonization potential due to missing contextual information. |
| Clearly state mesh/filter size and the minimum detectable particle size range. | Enable interpretation of dataset detection limits and support integration across different analytical size thresholds. | |
| Provide complete particle characteristics, with polymer confirmation via FTIR, Raman, or equivalent. | Reduce misclassification and improve dataset reliability for interoperability in centralized repositories. | |
| 2—Short-term (database and journal policy level) | Require submission of particle-level datasets or structured metadata sheets rather than aggregated summary values only. | Align with FAIR principles and allow reprocessing under unified harmonization protocols. |
| Adopt controlled vocabularies and/or reference palettes for color and morphology descriptors. | Minimize observer bias and improve compatibility with automated classification workflows. | |
| Require transparent reporting of analytical workflows, including recovery efficiencies and confirmation methods. | Improve reproducibility and allow recalibration or filtering during harmonized data integration. | |
| 3—Structural/Programmatic | Integrate microplastic protocols into existing monitoring infrastructures (e.g., LTER, GOOS, watershed observatories, citizen science networks). | Expand temporal continuity and spatial coverage, particularly in freshwater and understudied regions. |
| Encourage dual-compartment sampling (water and sediment) in monitoring programs to capture vertical transport and retention. | Improve ecosystem-level comparability and allow reconstruction of transport pathways. | |
| Deposit datasets in open, DOI-assigned repositories (e.g., NOAA NCEI, EMODnet, PANGAEA) using standardized metadata fields. | Ensure dataset Findability, Accessibility, Interoperability, and Reusability (FAIR). |
Disclaimer/Publisher’s Note: The statements, opinions and data contained in all publications are solely those of the individual author(s) and contributor(s) and not of MDPI and/or the editor(s). MDPI and/or the editor(s) disclaim responsibility for any injury to people or property resulting from any ideas, methods, instructions or products referred to in the content. |
© 2026 by the authors. Licensee MDPI, Basel, Switzerland. This article is an open access article distributed under the terms and conditions of the Creative Commons Attribution (CC BY) license.
Share and Cite
Nyadjro, E.S.; Cebrian, J.; Cox, T.E.; Wang, Z.; Lau, Y.H.; Konefal, A.M.; Turnage, G.; Offner, T.; Gilpin, R.; Boyer, T.; et al. Gaps and Pathways Towards Standardized, FAIR Microplastics Data Harmonization: A Systematic Review. Microplastics 2026, 5, 11. https://doi.org/10.3390/microplastics5010011
Nyadjro ES, Cebrian J, Cox TE, Wang Z, Lau YH, Konefal AM, Turnage G, Offner T, Gilpin R, Boyer T, et al. Gaps and Pathways Towards Standardized, FAIR Microplastics Data Harmonization: A Systematic Review. Microplastics. 2026; 5(1):11. https://doi.org/10.3390/microplastics5010011
Chicago/Turabian StyleNyadjro, Ebenezer S., Just Cebrian, T. Erin Cox, Zhankun Wang, Yee H. Lau, Anastasia M. Konefal, Gray Turnage, Tia Offner, Rebecca Gilpin, Tim Boyer, and et al. 2026. "Gaps and Pathways Towards Standardized, FAIR Microplastics Data Harmonization: A Systematic Review" Microplastics 5, no. 1: 11. https://doi.org/10.3390/microplastics5010011
APA StyleNyadjro, E. S., Cebrian, J., Cox, T. E., Wang, Z., Lau, Y. H., Konefal, A. M., Turnage, G., Offner, T., Gilpin, R., Boyer, T., Larsen, K., Mickle, P., Sparks, E., & Webster, J. A. B. (2026). Gaps and Pathways Towards Standardized, FAIR Microplastics Data Harmonization: A Systematic Review. Microplastics, 5(1), 11. https://doi.org/10.3390/microplastics5010011

