Micromagnetic Analysis of Monolayer L10-FePt and Bilayer L10-FePt/Fe Ultrathin Films
Abstract
1. Introduction
2. Materials and Methods
3. Results
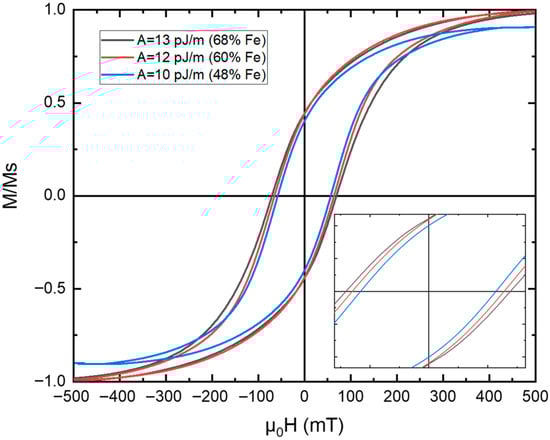
3.1. Monolayer
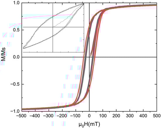
3.2. Bilayer
4. Discussion
5. Conclusions
Funding
Institutional Review Board Statement
Data Availability Statement
Acknowledgments
Conflicts of Interest
References
- Goh, C.K.; Yuan, Z.M.; Liu, B. Magnetization reversal in enclosed composite pattern media structure. J. Appl. Phys. 2009, 105, 083920. [Google Scholar] [CrossRef]
- Weller, D.; Parker, G.; Mosendz, O.; Lyberatos, A.; Mitin, D.; Safonova, N.Y.; Albrecht, M. Review article: FePt heat-assisted magnetic recording media. J. Vac. Sci. Technol. B 2016, 34, 060801. [Google Scholar] [CrossRef]
- Simizu, S.; Obermyer, R.T.; Zande, B.; Chandhok, V.K.; Margolin, A.; Sankar, S.G. Exchange coupling in FePt permanent magnets. J. Appl. Phys. 2003, 93, 8134–8136. [Google Scholar] [CrossRef]
- Liu, L.; Sheng, W.; Bai, J.; Cao, J.; Lou, Y.; Wang, Y.; Wei, F.; Lu, J. Magnetic properties and magnetization reversal process of L10 FePt/Fe bilayer magnetic thin films. Appl. Surf. Sci. 2012, 258, 8124–8127. [Google Scholar]
- Xu, Z.; Zhou, S.M.; Ge, J.J.; Du, J.; Sun, L. Magnetization reversal mechanism of perpendicularly exchange-coupled composite bilayers. J. Appl. Phys. 2009, 105, 123903. [Google Scholar] [CrossRef]
- Makarov, D.; Lee, J.; Brombacher, C.; Schubert, C.; Fuger, M.; Suess, D.; Fidler, J.; Albrecht, M. Perpendicular FePt-based exchange-coupled composite media. Appl. Phys. Lett. 2010, 96, 062501. [Google Scholar]
- Baldasseroni, C.; Bordel, C.; Gray, A.X.; Kaiser, A.M.; Kronast, F.; Herrero-Albillos, J.; Schneider, C.M.; Fadley, C.S.; Hellman, F. Temperature-driven nucleation of ferromagnetic domains in FeRh thin films. Appl. Phys. Lett. 2012, 100, 262401. [Google Scholar]
- Granitzka, P.W.; Jal, E.; Le Guyader, O.; Savoini, M.; Higley, D.J.; Liu, T.; Chen, Z.; Chase, T.; Ohldag, H.; Dakovski, G.L.; et al. Magnetic switching in granular FePt layers promoted by near-field laser enhancement. Nano Lett. 2017, 17, 2426–2432. [Google Scholar] [CrossRef]
- Victora, R.H.; Shen, X. Exchange coupled composite media for perpendicular magnetic recording. IEEE Trans. Magn. 2005, 41, 2828. [Google Scholar] [CrossRef]
- Varvaro, G.; Albertini, F.; Agostinelli, E.; Casoli, F.; Fiorani, D.; Laureti, S.; Lupo, P.; Ranzier, P.; Astinchap, B.; Testa, A.M. Magnetization reversal mechanism in perpendicular exchange-coupled Fe/L10–FePt bilayers. N. J. Phys. 2012, 14, 073008. [Google Scholar] [CrossRef]
- Liu, Z.Y.; Huang, P.W.; Ju, G.P.; Victora, R.H. Thermal switching probability distribution of L10 FePt for heat assisted magnetic recording. Appl. Phys. Lett. 2017, 110, 182405. [Google Scholar] [CrossRef]
- Lethole, N.; Ngoepe, P.; Chauke, H. Compositional dependence of magnetocrystalline anisotropy, magnetic moments, and energetic and electronic properties on Fe–Pt alloys. Materials 2022, 15, 5679. [Google Scholar] [CrossRef] [PubMed]
- Kehagias, T.; Karfaridis, D.; Ballani, C.; Mihalceanu, L.; Hauser, C.; Vasileiadis, I.G.; Dimitrakopulos, G.P.; Vourlias, G.; Papaioannou, E.T. Magnetization reversal and dynamics in epitaxial Fe/Pt spintronic bilayers stimulated by interfacial Fe3O4 nanoparticles. Materials 2021, 14, 4354. [Google Scholar] [CrossRef]
- Weller, D.; Mosendz, O.; Parker, G.; Pisana, S.; Santos, T.S. L10 FePtX–Y Media for Heat-Assisted Magnetic Recording. Phys. Status Solidi A 2013, 210, 1245–1260. [Google Scholar] [CrossRef]
- Futamoto, M.; Nakamura, M.; Ohtake, M.; Inaba, N.; Shimotsu, T. Growth of L1-ordered crystal in FePt and FePd thin films on MgO(001) substrate. AIP Adv. 2016, 6, 085302. [Google Scholar] [CrossRef]
- Tanaka, T.; Kurihara, K.; Ya, X.; Bai, X.; Kanai, Y. Micromagnetic simulation of microwave-assisted magnetization switching and signal recording characteristics for exchange-coupled composite media with layer anisotropy structure. J. Magn. Magn. Mater. 2023, 587, 171332. [Google Scholar] [CrossRef]
- Ma, B.; Wang, H.; Zhao, H.; Sun, C.; Acharya, R.; Wang, J.-P. Structural and Magnetic Properties of a Core–Shell-Type L10 FePt/Fe Exchange-Coupled Nanocomposite with Tilted Easy Axis. J. Appl. Phys. 2011, 109, 083907. [Google Scholar] [CrossRef]
- Ma, L.; Gilbert, D.A.; Neu, V.; Schäfer, R.; Zheng, J.G.; Yan, X.Q.; Shi, Z.; Liu, K.; Zhou, S.M. Magnetization reversal in perpendicularly magnetized L1 FePd/FePt heterostructures. J. Appl. Phys. 2014, 116, 033922. [Google Scholar] [CrossRef]
- Locovei, C.; Torosyan, G.; Papaioannou, E.T.; Crisan, A.D.; Beigang, R.; Crisan, O. Structural, Magnetic and THz Emission Properties of Ultrathin Fe/L10-FePt/Pt Heterostructures. Nanomaterials 2025, 15, 1099. [Google Scholar] [CrossRef] [PubMed]
- Keller, S.; Mihalceanu, L.; Schweizer, M.R.; Lang, P.; Heinz, B.; Geilen, M.; Brächer, T.; Pirro, P.; Meyer, T.; Conca, A.; et al. Determination of the spin Hall angle in single-crystalline Pt films from spin pumping experiments. N. J. Phys. 2018, 20, 053002. [Google Scholar] [CrossRef]
- Karfaridis, D.; Mihalceanu, L.; Keller, S.; Simeonidis, K.; Dimitrakopulos, G.P.; Kehagias, T.; Papaioannou, E.T.; Vourlias, G. Influence of the Pt thickness on the structural and magnetic properties of epitaxial Fe/Pt bilayers. Thin Solid Film. 2020, 694, 137716. [Google Scholar] [CrossRef]
- Sakuma, A. Evaluation of the exchange stiffness constants of itinerant magnets at finite temperatures from first-principles calculations. J. Phys. Soc. Jpn. 2024, 93, 054705. [Google Scholar] [CrossRef]
- Ma, B.; Wang, H.; Zhao, H.; Sun, C.; Acharya, R.; Wang, J.P. L10 FePt/Fe exchange coupled composite structure on MgO substrates. IEEE Trans. Magn. 2010, 46, 2345–2348. [Google Scholar]
- Casoli, F.; Albertini, F.; Nasi, L.; Fabbrici, S.; Cabassi, R.; Bolzoni, F.; Bocchi, C. Strong coercivity reduction in perpendicular FePt/Fe bilayers due to hard/soft coupling. Appl. Phys. Lett. 2008, 92, 142506. [Google Scholar] [CrossRef]
- Lakshmanan, M. The fascinating world of the Landau–Lifshitz–Gilbert equation: An overview. Philos. Trans. R. Soc. A Math. Phys. Eng. Sci. 2011, 369, 1280–1300. [Google Scholar] [CrossRef]
- Donahue, M.J.; Porter, D.G. OOMMF User’s Guide; Release 1.2a; NIST: Gaithersburg, MD, USA, 2002. Available online: http://math.nist.gov/oommf/ (accessed on 30 October 2002).
- Bertotti, G.; Mayergoyz, I.D.; Serpico, C. Chapter 2—Basic equations for magnetization dynamics. In Nonlinear Magnetization Dynamics in Nanosystems; Elsevier: Amsterdam, The Netherlands, 2009; pp. 21–34. [Google Scholar]
- Gilbert, T.L. A Lagrangian formulation of the gyromagnetic equation of the magnetic field. Phys. Rev. 1955, 100, 1243. [Google Scholar]
- Ghidini, G.; Asti, G.; Pellicelli, R.; Pernechele, C.; Solzi, M. Magnetic properties of Fe-based thin films. J. Magn. Magn. Mater. 2007, 316, 159. [Google Scholar] [CrossRef]
- Zhang, J.; Liu, Y.; Wang, F.; Zhang, J.; Zhang, R.; Wang, Z.; Xu, X. Magnetic and structural properties of FePt films. J. Appl. Phys. 2012, 111, 073910. [Google Scholar] [CrossRef]
- Rennhofer, M.; Kozlowski, M.; Laenens, B.; Sepiol, B.; Kozubski, R.; Smeets, D.; Vantomme, A. Study of reorientation processes in L10-ordered FePt thin films. Intermetallics 2010, 18, 2069–2076. [Google Scholar] [CrossRef] [PubMed][Green Version]
- Cullity, B.D.; Graham, C.D. Introduction to Magnetic Materials, 2nd ed.; Wiley-IEEE Press: Hoboken, NJ, USA, 2008. [Google Scholar]
- Vasileiadis, I.G.; Karfaridis, D.; Maniotis, N.; Ignatova, K.; Arnalds, U.B.; Vourlias, G.; Dimitrakopulos, G.P.; Papaioannou, E.; Kehagias, T. Tunable magnetic properties in compositionally graded L10 -FePt thin films. J. Phys. D Appl. Phys. 2026. [Google Scholar] [CrossRef]
- Evans, R.F.L.; Chantrell, R.W.; Nowak, U. The Stochastic Landau–Lifshitz–Gilbert Equation. In Handbook of Magnetism and Advanced Magnetic Materials; Wiley: Hoboken, NJ, USA, 2007. [Google Scholar]
- Botha, A.E. Stabilisation of the Landau-Lifshitz-Gilbert equation for numerical solution via standard methods. Sci. Rep. 2025, 15, 15775. [Google Scholar] [CrossRef] [PubMed]
- Koleják, P.; Lezier, G.; Vala, D.; Mathmann, B.; Halagačka, L.; Gelnárová, Z. Maximizing the electromagnetic efficiency of spintronic terahertz emitters. Adv. Photonics Res. 2024, 5, 2400064. [Google Scholar] [CrossRef]
- Kampfrath, T.; Battiato, M.; Maldonado, P.; Eilers, G.; Nötzold, J.; Mährlein, S.; Zbarsky, V.; Freimuth, F.; Mokrousov, Y.; Blügel, M.; et al. Terahertz spin current pulses controlled by magnetic heterostructures. Nat. Nanotechnol. 2013, 8, 256. [Google Scholar] [CrossRef]
- Challener, W.A.; Peng, C.; Itagi, A.V.; Karns, D.; Peng, W.; Peng, Y.; Yang, X.; Zhu, X.; Gokemeijer, N.; Seigler, M.A.; et al. Heat-Assisted Magnetic Recording by a Near-Field Transducer with Efficient Optical Energy Transfer. Nat. Photon. 2009, 3, 220–224. [Google Scholar] [CrossRef]
- Yu, J.; Xiao, T.; Wang, X.; Zhou, X.; Wang, X.; Peng, L.; Zhao, Y.; Wang, J.; Chen, J.; Yin, H.; et al. A Controllability Investigation of Magnetic Properties for FePt Alloy Nanocomposite Thin Films. Nanomaterials 2019, 9, 53. [Google Scholar] [CrossRef] [PubMed]
- Perzanowski, M.; Zarzycki, A.; Gregor-Pawlowski, J.; Marszalek, M. Structural and Magnetic Properties of FePt Thin Films. ACS Appl. Mater. Interfaces 2020, 12, 39926–39934. [Google Scholar] [CrossRef] [PubMed]
- Iihama, S.; Mizukami, S.; Naganuma, H.; Oogane, M.; Ando, Y.; Miyazaki, T. Gilbert damping constants of Ta/CoFeB/MgO(Ta) thin films measured by optical detection of precessional magnetization dynamics. Phys. Rev. B 2014, 89, 174416. [Google Scholar] [CrossRef]
- Sasaki, Y.; Bentley, P.D.; Nakazawa, K.; Hiroto, T.; Isogami, S.; Suto, H.; Takahashi, Y.K. Damping Modification in Epitaxially Grown Continuous L10-FePt Thin Films with Different Substrates. Available online: https://www.kiroku.riec.tohoku.ac.jp/tmrc/files/P2-14.pdf (accessed on 9 December 2025).
- Suess, D.; Lee, J.; Fidler, J.; Schrefl, T. Exchange-coupled perpendicular media. J. Magn. Magn. Mater. 2009, 321, 545–554. [Google Scholar] [CrossRef]
- Scheuer, L.; Ruhwedel, M.; Karfaridis, D.; Vasileiadis, I.G.; Sokoluk, D.; Torosyan, G.; Vourlias, G.; Dimitrakopoulos, G.P.; Rahm, M.; Hillebrands, B.; et al. THz emission from Fe/Pt spintronic emitters with L10-FePt alloyed interface. iScience 2022, 25, 104319. [Google Scholar] [CrossRef]
- Abo, G.S.; Hong, Y.K.; Park, J.; Lee, J.; Lee, W.; Choi, B.C. Definition of magnetic exchange length. IEEE Trans. Magn. 2013, 49, 4937–4939. [Google Scholar] [CrossRef]
- Herzer, G. Anisotropies in soft magnetic nanocrystalline alloys. J. Magn. Magn. Mater. 2005, 294, 99. [Google Scholar] [CrossRef]
- Kipgen, L.; Fulara, H.; Raju, M.; Chaudhary, S. In-plane magnetic anisotropy and coercive field dependence upon thickness of CoFeB. J. Magn. Magn. Mater. 2012, 324, 3118–3121. [Google Scholar] [CrossRef]
- Antoniak, C.; Lindner, J.; Fauth, K.; Thiele, J.-U.; Minár, J.; Mankovsky, S.; Ebert, H.; Wende, H.; Farle, M. Composition dependence of exchange stiffness in FexPt1−x alloys. Phys. Rev. B 2010, 82, 064403. [Google Scholar] [CrossRef]
- Blachowicz, T.; Ehrmann, A. Exchange bias in thin films—An update. Coatings 2021, 11, 122. [Google Scholar] [CrossRef]
- Chen, J.S.; Hu, J.F.; Lim, B.C.; Ding, Y.F.; Chow, G.M.; Ju, G. Development of L1(0) FePt:C (001) Thin Films With High Coercivity and Small Grain Size for Ultra-High-Density Magnetic Recording Media. IEEE Trans. Magn. 2009, 45, 839–844. [Google Scholar] [CrossRef]
- Chen, J.S.; Lim, B.C.; Ding, Y.F.; Chow, G.M. Low-temperature deposition of L1(0) FePt films for ultra-high density magnetic recording. J. Magn. Magn. Mater. 2006, 303, 309–317. [Google Scholar] [CrossRef]
- Tsai, J.-L.; Sun, C.-Y.; Lin, J.-H.; Huang, Y.-Y.; Tsai, H.-T. Magnetic properties and microstructure of FePt(BN, X, C) (X = Ag, Re) films. Nanomaterials 2023, 13, 539. [Google Scholar] [CrossRef] [PubMed]
- Fidler, J.; Schrefl, T.; Scholz, W.; Suess, D.; Dittrich, R.; Kirschner, M. Micromagnetic modelling and magnetization processes. J. Magn. Magn. Mater. 2004, 272, 641–646. [Google Scholar] [CrossRef]
- Demidov, V.E.; Jersch, J.; Rott, K.; Krzysteczko, P.; Reiss, G.; Demokritov, S.O. Nonlinear propagation of spin waves in microscopic magnetic stripes. Phys. Rev. Lett. 2009, 102, 177207. [Google Scholar] [CrossRef]
- Mukherjee, S.; Johns, R.T. Modeling of Relative Permeability Hysteresis Using Limited Experimental Data and Physically Constrained ANN. Transp. Porous Med. 2025, 152, 39. [Google Scholar] [CrossRef]
- Vansteenkiste, A.; Van de Wiele, B. MuMax: A new high-performance micromagnetic simulation tool. J. Magn. Magn. Mater. 2011, 323, 2585–2591. [Google Scholar] [CrossRef]
- Fadhilah, U.; Kurniawan, C.; Djuhana, D. Investigation of Dynamic Magnetization in FePt and FePd Disk Ferromagnets Using Micromagnetic Simulation. IOP Conf. Ser. Mater. Sci. Eng. 2019, 553, 012010. [Google Scholar] [CrossRef]
- Fidler, J.; Schrefl, T. Micromagnetic modelling of hard magnetic materials. J. Phys. D Appl. Phys. 2000, 33, R135–R150. [Google Scholar] [CrossRef]
- Skomski, R. Simple Models of Magnetism; Oxford University Press: Oxford, UK, 2008; pp. 145–147. [Google Scholar]
- Kneller, E.F.; Hawig, R. The exchange-spring magnet: A new material principle for permanent magnets. IEEE Trans. Magn. 1991, 27, 3588–3600. [Google Scholar] [CrossRef]







| Fe (%) | A (pJ/m) | Hc (mT) | Mr (Normalized) |
|---|---|---|---|
| 48 | 10 | 56 | 0.40 |
| 60 | 12 | 66 | 0.44 |
| 68 | 13 | 69 | 0.45 |
Disclaimer/Publisher’s Note: The statements, opinions and data contained in all publications are solely those of the individual author(s) and contributor(s) and not of MDPI and/or the editor(s). MDPI and/or the editor(s) disclaim responsibility for any injury to people or property resulting from any ideas, methods, instructions or products referred to in the content. |
© 2026 by the author. Licensee MDPI, Basel, Switzerland. This article is an open access article distributed under the terms and conditions of the Creative Commons Attribution (CC BY) license.
Share and Cite
Maniotis, N. Micromagnetic Analysis of Monolayer L10-FePt and Bilayer L10-FePt/Fe Ultrathin Films. Magnetism 2026, 6, 5. https://doi.org/10.3390/magnetism6010005
Maniotis N. Micromagnetic Analysis of Monolayer L10-FePt and Bilayer L10-FePt/Fe Ultrathin Films. Magnetism. 2026; 6(1):5. https://doi.org/10.3390/magnetism6010005
Chicago/Turabian StyleManiotis, Nikolaos. 2026. "Micromagnetic Analysis of Monolayer L10-FePt and Bilayer L10-FePt/Fe Ultrathin Films" Magnetism 6, no. 1: 5. https://doi.org/10.3390/magnetism6010005
APA StyleManiotis, N. (2026). Micromagnetic Analysis of Monolayer L10-FePt and Bilayer L10-FePt/Fe Ultrathin Films. Magnetism, 6(1), 5. https://doi.org/10.3390/magnetism6010005
