Abstract
The topography measurement accuracy of coherence scanning interferometry (CSI) suffers from the local characteristic of micro-structured surfaces, such as local surface slopes. A cylindrical reference artefact made of single-mode fiber with high roundness and low roughness has been proposed in this manuscript to traceably investigate the surface tilting induced measurement deviations using coherence scanning interferometry with high NA objectives. A feed-forward neural network (FF-NN) is designed and trained to model and thereafter compensate the systematic measurement deviations due to local surface tilting. Experimental results have verified that the FF-NN approach can well enhance the accuracy of the CSI for radius measurement of cylindrical samples up to 0.3%. Further development of the FF-NN for modelling of the measurement errors in CSI due to the optical properties of surfaces including areal roughness is outlined.
1. Introduction
Coherence scanning interferometry (CSI) [1,2,3] has long been utilized for surface topography measurements, owing to its outstanding features such as non-contact and fast areal measurements [4]. Nowadays, commercially available CSI instruments are capable of topography measurements of plane smooth surfaces with down to sub-nm sensitivity [5]. By means of the utilization of high NA objectives [6,7] and/or advanced imaging methods, such as the virtual annual aperture method [8] and micro-sphere assistance [9], CSI will further achieve a lateral resolution better than 200 nm.
Consequently, in recent years CSI instruments have found tremendous applications in various scientific and industrial areas for the geometrical characterization of samples with lateral dimensions down to sub-µm, and have become powerful tools used in, e.g., quality control of advanced manufactured micro-products [10,11,12], which typically have the feature size down to 10 microns [13], therefore demanding reliable and high-throughput nano-dimensional measurement methodologies.
In the meantime, it has already been noticed that CSI instruments usually demonstrate evident measurement errors in the case of the measurement of complex surfaces with relative higher varying local slopes and curvatures. And the measurement accuracy of CSI instruments for the topography measurement of three-dimensional microstructures suffers not only from instrumentation issues, e.g., the aberrations of microscope objective and misalignment [14,15], but also from the local surface features of the samples under measurement, e.g., local curvature and surface tilting/gradient [16,17,18,19]. In the case of surface topography measurement with high NA objectives, i.e., the lateral resolution of interference microscopes is far less than the local curvature of microstructures, topography measurement error caused by local surface tilting becomes one of the major error sources in interference microscopy. A process to calibrate and partially correct the slope-dependent errors has been proposed in [14,17], in which the 3D surface transfer function of a CSI system is obtained by measuring micro-spheres and it is demonstrated that CSI is capable of measuring the topography of surfaces with varying tilt with sub-nanometer accuracy. However, the 3D surface transfer function needs to be characterized in the full field of view and therefore it is very time consuming. In [20], a simulation-driven machine learning approach based on a deep neural network (DNN) has been developed for correction of slope-dependent errors in CSI based on a previously developed virtual CSI method. With this method, the DNN learns the errors’ characteristics directly from simulated surface measurements provided by virtual CSI and the trained DNN can then map the topographies with errors to the corrected topographies.
It has been observed that the emergence of artificial neural network (NN) machine learning may provide solutions to enhance the topography measurement accuracy of CSI instruments for three-dimensional microstructures by training the surface-tilting-dependent topography measurement errors; hence, in this manuscript, an NN approach has been proposed to compensate for the local surface-tilting-dependent topography measurement errors in CSI microscopy. In Section 2, a well-calibrated micro-artefact made of single-mode optical fiber is used to directly characterize the measurement errors of a commercial CSI due to surface tilting. In Section 3, an NN model is trained to model and therefore compensate for the surface-tilting-dependent topography measurement errors. The experimental results detailed in Section 4 have validated the effectiveness of the trained NN model, indicating that the measurement deviation of our CSI for measuring the radius of micro-objects has been reduced to less than ~0.3%.
2. Method for Direct Evaluation of the Surface-Tilting-Dependent Measurement Error in CSI
In the case of interference measurement of the topography of surface under testing (SUT) with local tilting, as illustrated in Figure 1, the reference beam within the interference microscope can fully illuminate the exit aperture of the microscope objective (in Figure 1 a Mirau objective is employed), and the measurement beam coming from the SUT will sweep the exit aperture, due to the surface tilting γs. Strong measurement errors will be yielded, when the local surface tilting becomes close to the maximum illumination angle θNA determined by the numerical aperture of the objective in use [17].
Figure 1.
Schematic of ray tracing analysis of a Mirau interference microscope objective in imaging locally tilted surface.
It is worthwhile to mention that for an SUT with nearly perfect surface properties, e.g., mirror-like surfaces of micro-optics, a ray tracing method or analytical model can be utilized to estimate the tilting-angle-dependent surface measurement error [17,19]. For relative rough SUT, the influence of the stray light on the measurement error also needs to be considered, since the microscope objective will collect back-scattered light coming from the surface with γs even larger than its theoretical numerical aperture [21,22]. Unfortunately, however, numerical modelling for the latter case is usually highly challenging.
As a result, the experimental determination of the surface-tilting-dependent topography measurement error in a CSI microscope has gained much interest [17,19,22]. And the typical reference artefacts in use are precision microspheres with diameters ranging from fifty microns to a few hundred microns [19,20,21,22,23,24].
2.1. Micro-Rod-like Reference Artefacts
To directly evaluate the γs-dependent measurement error of a scanning white light interference microscope, a new type of reference artefact made of single-mode (SM) fibers with a nominal cladding diameter of Ø125 µm is proposed in this manuscript. These commercially available SM fibers feature low cost, relatively low surface roughness, high roundness and tight diameter tolerance, especially suitable for traceable topography measurement using atomic force microscopes and tactile stylus profilometers, because of easy alignment and data analysis.
As illustrated in Figure 2, to evaluate the measurement error of an interference microscope, the top surface of the cylindrical artefact with an opening angle γs → θNA needs to be measured. In addition, as shown in Figure 2b, slight topography measurement errors can yield relatively large errors for cylinder radius measurement.
Figure 2.
Cylindrical reference artefact used for evaluation of the topography measurement error of an interference microscope: (a) schematic of the cylinder artefact; (b) influence of the topography measurement errors on the estimation of cylinder radius.
2.2. Traceable Topography Measurement of Reference Artefact Using MEMS-SPM
Reliable and traceable measurement of the topography of the proposed cylindrical reference artefact will lay a solid foundation for the evaluation and modelling of the measurement errors of an interference microscope. A self-developed micro-topography measurement platform using a microelectromechanical system (MEMS)-based scanning probe microscopic (SPM) head (MEMS-SPM) [25] for topography measurement has therefore been used.
As illustrated in Figure 3a, the MEMS-SPM head [25] consists of a set of micromachined electrostatic comb-drives [26] for capacitive displacement measurement and an integrated AFM probe gripper which can hold various AFM probes for topography measurement and also for nanomechanical measurement. The typical stiffness of the MEMS-SPM head kMEMS used for topography measurement amounts to about 10 N/m.
Figure 3.
Traceable measurement of the topography of cylindrical reference artefacts using a MEMS-SPM; (a) Schematic diagram of the MEMS-SPM head for topography measurement; (b) Schematic of the topography measurement on micro-cylinder using an AFM probe; (c) photography of the MEMS-SPM head mounted on a PCB; (d) Sideview of an AFM probe clamped in the passive MEMS cantilever holder.
A self-developed capacitive displacement measurement system [27,28] has been used to measure the displacement of the MEMS-SPM head with sub-nanometer resolution for a bandwidth of 300 Hz, yielding a force resolution of ~1 nN.
A three-axis piezo-stage (P-733, Physik Instrumente, Karlsruhe, Germany) with an x-y scanning range of 100 µm and a z-axis scanning range of 10 µm with a sub-nanometer resolution has been used to perform surface scanning of the sample fixed on the stage. After calibration, the nonlinearity of the x-y-z axes of the piezo-stage becomes typically less than 0.3‰. To further improve the performance of the scanning system, a laser interferometer has been used to in situ traceably measure the z-axis displacement of the piezo-stage.
A digital PID controller has been used to drive the z-axis of the piezo-stage for closed-loop topography measurement with a nanometer noise floor for a typical bandwidth of 40 Hz.
In the case of the topography measurement of strongly curved micro-structures, e.g., microcylinders, as shown in Figure 3b, the measurement capability of the MEMS-SPM system is mainly determined by the specifications of the AFM probe in use. The maximum measurable surface tilting γsmax is limited by the opening angle of the AFM probe tip, and the measured local curvature Rm = Rtip + Rs, where Rs is the real local curvature, and Rtip the equivalent tip radius of the rounded AFM tip.
Typical high-NA Mirau objectives used in CSIs for topography measurement usually have the nominal numerical aperture of 0.55, corresponding to γmax = 33.4°. Therefore, in this manuscript, diamond coated AFM probes (Adama Innovation) with a semi-opening angle θtip = 45° and a tip radius of 25 ± 15 nm will be used for reference measurement, which can provide adequate lateral and vertical measurement data for evaluation of the measurement errors of CSIs.
2.3. Artificial Neural Network Approach for Modelling of Surface-Tilting-Induced Topography Measurement Errors in an Interference Microscope
Preliminary analysis and experimental results in [17,19,21,23] have indicated that surface-tilting-induced measurement error ∆z is strongly nonlinear with respect to the surface local tilting γs.
Artificial NN [29] has long been proposed for the numerical analysis of nonlinear models and has become a powerful tool especially for the approximation and fitting of nonlinear functions [30] and image classification [31]. In this manuscript, typical feedforward neural networks [32,33] will be utilized to quantitatively model the relationship between γs and ∆z, once the measurement error ∆z can be traceably determined.
Figure 4 depicts the configuration of the feedforward NN model used in this manuscript. It has one hidden layer and one linear output neuron, where log sigmoidal neurons are employed in the hidden layer (1st HL) of the NN, LW1 and LW2 are layer weight matrices, b1 and b2 are corresponding bias vectors. p = {γs} and t = {} are the input and output of the NN model, respectively.
Figure 4.
Architecture of the neural network model used for modelling of the surface tilting induced topography measurement errors in an interference microscope.
To train the NN model, reliable measured surface tilting γs and the corresponding topography error ∆zm will be fed input the model, a typical Levenberg–Marquardt (LM) algorithm [34,35] can then be used to determine the parameter matrices LW1, LW2, b1 and b2. As usual, 75% of the randomly chosen measurement data will be used for training the NN model, and 25% of the data will be used for validation of the trained NN. Of course, in this manuscript, a few reference artefacts will be prepared and measured by both MEMS-SPM and an interference microscope, the corresponding measurement data including surface tilting and topography error of multi-artefacts can also be used for validation of the trained NN model.
3. Results
3.1. Top Surface Topography of Reference Cylindrical Artefacts Measured by MEMS-SPM
Under the condition of a contact force of 60 nN (i.e., MEMS-SPM setpoint z0 = 5 nm), a reference cylinder made of a piece of SM-fiber (10 mm long) with a nominal cladding diameter of 125 µm has been measured by the measurement setup detailed in Section 2.2.
Figure 5a shows one of the typical surface topography images of the reference cylinder; the cross-sectional profile at y = 51 µm has been illustrated in Figure 5b. A least-square circle fitting [36] of the measurement dataset {x, z} has been used to determine the radius of the cylinder’s profile, and the measured Rm is found to be 62.77 ± 0.05 µm. After the removal of the circular shape of the profile, the residual topography error δz is obtained as follows:
where is the fitted cylinder radius, and and the coordinates of the fitted cylinder center in x- and z-direction in Figure 5. For comparison, the residual error is also illustrated in Figure 5b.
Figure 5.
Surface topography of the reference cylindrical artefact measured by the MEMS-SPM: (a) 3D topography of the artefact; (b) Cross-sectional profile of the SM fiber at y = 51 µm and its roundness error.
It can be seen from Figure 5b that the top surface of the reference artefact demonstrates excellent circular shape, and its topography error over the whole x-scan range of 60 µm amounts to less than ±30 nm.
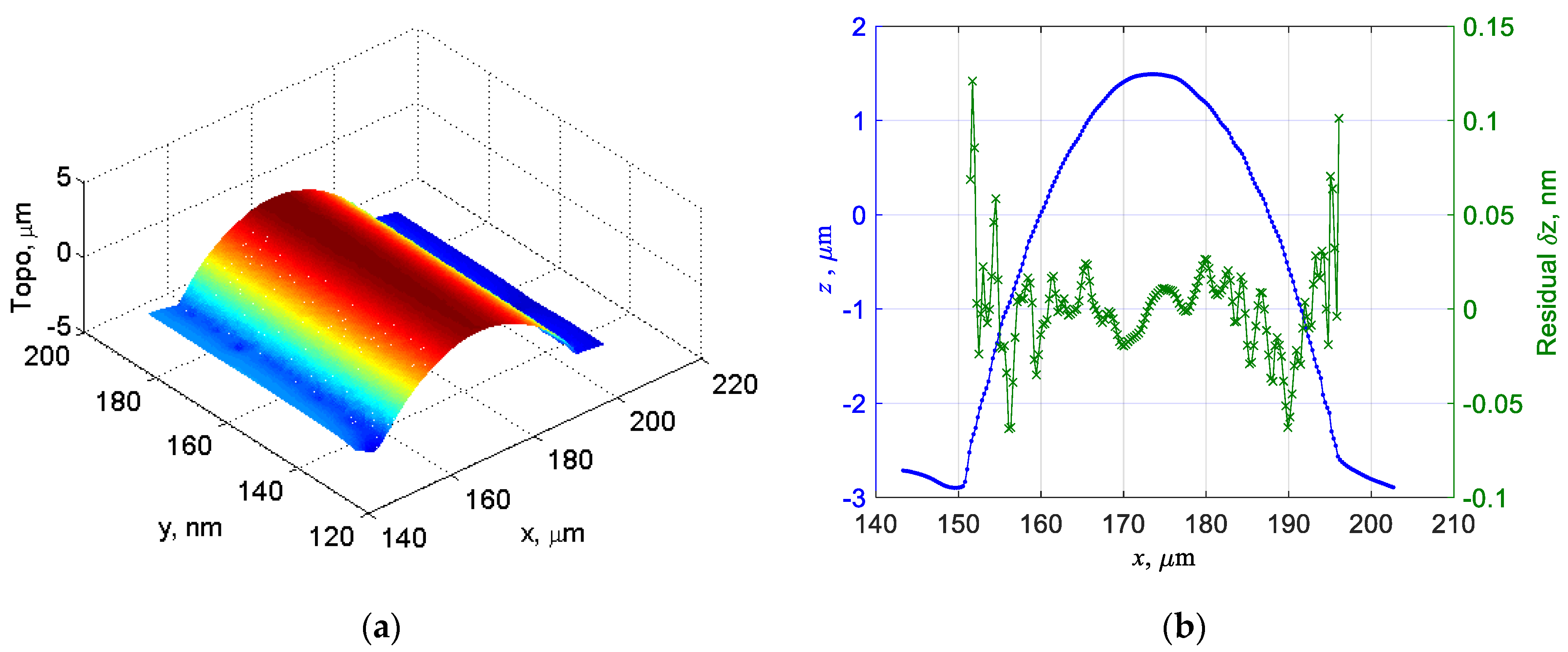
3.2. Top Surface Topography of Reference Cylindrical Artefacts Measured by a CSI Using a Mirau Objective with NA = 0.55
A commercial CSI has then been used to measure the top surface of the same artefact, in which a Mirau objective with a nominal objective NA = 0.55 is employed. Figure 6a shows one of the typical topography images obtained by the objective. The line profile of the cylinder measured by the CSI microscope at y = 160 µm is illustrated in Figure 6b. It can be seen that the effective lateral measurement range of this objective is limited to about ±22 µm, which is clearly smaller than the theoretical measurement range along x-axis determined by its nominal NA, i.e., ±34.4 µm, which might be caused by the hardware configuration or software filters.
Figure 6.
Surface topography of the reference cylindrical artefact measured by the CSI (a) 3D topography of the artefact; (b) Cross-sectional profile of the SM fiber at y = 160 µm and its roundness error.
Similar to the data postprocessing in Section 3.1, the measured radius of the artefact by CSI within its effective measurement range along the x-axis is found to be Rm_CSI = 64.13 ± 0.36 µm. And the corresponding residual roundness error determined by the interference microscope is also illustrated in Figure 6b.
3.3. Modelling and Compensation of the Surface Tilting Induced Measurement Errors in Interference Microscopy
To evaluate the surface tilting induced measurement error of this interference microscope objective, the line profiles shown in Figure 5b and Figure 6b have been numerically correlated. And the local surface tilting is evaluated as follows:
Using the profile measured by the MEMS-SPM as a reference, the line profile deviation by the interference microscope ∆zm (=zCSI − zMEMS) with respect to the surface tilting within the effective measurement range is depicted in Figure 7a. It can be seen that the actual measurement errors of the CSI show strong high-order nonlinearity.

Figure 7.
Evaluation and Modelling of topography measurement errors in a CSI microscope using a Mirau objective with NA = 0.55: (a) interference microscopic measurement error with respect to the reference topography measured by the MEMS-SPM; (b) approximation of the γs-induced measure errors using a trained FF-NN with 15 neurons in its single HL; (c) Comparison of the compensation results using a feed-forward neural network with different neuron numbers in the single hidden layer (HL); (d) residuals with and without FF-NN compensation.
As described in Section 2.3, 75% of the data pairs {γi, Δzi} are randomly selected from the measurement data of Fiber 1# shown in Figure 7a to create the training dataset for the artificial NN model. The remaining data pairs in the measurement data are later used as a validation dataset [37]. The training and validation datasets are therefore independent, but all cover the entire tilting angle range under investigation.
The artificial NN is first trained with the training dataset. The average squared difference between the measurement results and the values predicted by the NN, i.e., mean squared error MSETrain is then analyzed. To validate the trained NN, the input data (i.e., surface tilting γ) of the validation dataset will be fed into the NN, the predicted output of the NN is then to be compared with the output data of the validation dataset, and the mean squared error over the validation dataset (i.e., MSEValid) is evaluated. The NN model is considered acceptable if both MSETrain and MSEValid are low and comparable.
It is already known that an FF-NN with adequate hidden layers and neurons can well approximate high-order nonlinear curves. In practice, however, we expect that a desired FF-NN should provide the best modelling capability while having the fewest neurons. Figure 7b shows the modelling results of a trained FF-NN with 15 neurons in its single hidden layer, indicating that this trained neural network can already well approximate the high-order aberration of the CSI system.
To evaluate the performance of FF-NN with one hidden layer and various neurons, the measured topography zCSI by the CSI is firstly compensated by the simulated error ∆zNN of each trained FF-NN, i.e., zCSI + ∆zNN, and then analyzed by the least square circle fitting to determine the estimated cylinder radius . Figure 7c shows the compensated cylinder radius by FF-NN with different neurons. It can be seen that an FF-NN with neurons less than 12 or larger than 18 demonstrates relatively poor compensation results. The FF-NN with neuron numbers from 14 to 17 will have an almost equally good compensation effect. Figure 7d shows the residuals before and after the compensation using an FF-NN with 15 neurons.
3.4. Further Validation of the Trained FF-NN for Compensation of the Surface-Tilting-Induced Measurement Error in Interference Microscopy
Two additional cylindrical artefacts made of SM fiber with a nominal cladding diameter of 125 µm ± 2 µm have been measured by the MEMS-SPM and the CSI microscope with the same objective. The original and FF-NN compensated radius measurement results are summarized in Table 1.
Table 1.
Measured and FF-NN compensated radius measurement results.
These results have clearly indicated that the feed-forward neural network trained with the measured data can be well utilized to compensate for the measurement error induced by local surface tilting in CSI for different cylindrical artefacts.
4. Conclusions
Although interference microscopy demonstrates high resolution for topography measurement of nearly flat surfaces, its measurement accuracy suffers from the local surface characteristics of the sample under measurement such as local surface tilting. In this manuscript, to our knowledge, a deep learning approach has been, for the first time, introduced to model the surface tilting induced measurement errors in scanning white light interference microscopy with high NA microscopic objectives.
The typical measurement conditions, parameters, and NN modelling specifications employed in this manuscript are summarized in Table 2. Experimental investigation has indicated that the trained feed-forward neural network can well be utilized to compensate for the measurement error in topography measurements of cylindrical artefacts. After compensation, the measurement error of CSI for radius measurement of cylinders can be effectively reduced from several micrometers down to less than 0.2 µm, i.e., ∆R/R < 0.3%.
Table 2.
The typical measurement parameters and conditions and modelling specifications employed in this manuscript.
In the next step, the reference artefacts used in this manuscript will be coated with different materials to simulate the surfaces of metal work pieces fabricated by different techniques. Interference topography measurement errors of such surfaces will be traceably determined with the help of the MEMS-SPM. The FF-NN model proposed in this manuscript will be further extended to model the measurement errors of CSIs induced not only by surface tilting, but also by optical properties of the metal surfaces including their areal roughness.
Compared to traditional error compensation methods, including lookup tables and polynomial fitting, the deep learning approach proposed in this manuscript is characterized by a universal solution, ease of use, and higher accuracy in modelling higher order error components. It can be anticipated that the deep learning approach for modelling and compensation of measurement errors in CSIs can also be applied for enhancement of the measurement accuracy of similar high-resolution scanning microscopes such as scanning confocal microscopy [38] and focus variation microscopy [39].
It is worthwhile to mention that the traceably measured topography deviations for the Mirau-type microscopic objective used in this manuscript can also be utilized to evaluate and verify the usefulness of different analytical and numerical models developed for interference microscopy.
Author Contributions
Conceptualization, S.G. and U.B.; methodology, S.G. and Z.L. All authors have read and agreed to the published version of the manuscript.
Funding
This research is supported by the European Union and is funded within the scope of the European Metrology Programme for Innovation and Research (EMPIR) project 20IND07 TracOptic entitled “Traceable industrial 3D roughness and dimensional measurement using optical 3D microscopy and optical distance sensors”.
Data Availability Statement
The data obtained and used in this contribution can be provided by the corresponding author upon request.
Conflicts of Interest
The authors declare no conflicts of interest.
References
- Wilson, T.; Juskaitis, R. Scanning interference microscopy. Bioimaging 1994, 2, 36–40. [Google Scholar] [CrossRef]
- De Groot, P.J. Interference microscopy for surface structure analysis. In Handbook of Optical Metrology Principles and Applications; Yoshizawa, T., Ed.; CRC Press: Boca Raton, FL, USA, 2015; pp. 791–828. [Google Scholar]
- de Lega, X.C.; de Groot, P.J. Characterization of materials and film stacks for accurate surface topography measurement using a white-light optical profiler. In Proceeding of the Optical Micro- and Nanometrology in Microsystems Technology II, SPIE, Strasbourg, France, 7–11 April 2008; Volume 6995, p. 69950P. [Google Scholar]
- Thian, S.C.H.; Feng, W.; Wong, Y.S.; Fuh, J.Y.H.; Loh, H.T.; Tee, K.H.; Tang, Y.; Lu, L. Dimensional measurement of 3D microstructure based on white light interferometer. J. Phys. Conf. Ser. 2007, 48, 1435–1446. [Google Scholar] [CrossRef]
- Schmit, J.; Reed, J.; Novak, E.; Gimzewski, J.K. Performance advances in interferometric optical profilers for imaging and testing. J. Opt. A Pure Appl. Opt. 2008, 10, 064001. [Google Scholar] [CrossRef]
- Lehmann, P.; Niehues, J.; Tereschenko, S. 3-D Optical Interference Microscopy at the Lateral Resolution. Int. J. Optomechatron. 2014, 8, 231–241. [Google Scholar] [CrossRef]
- de Groot, P.J.; Biegen, J.F. Interference microscope objectives for wide-field areal surface topography measurements. Opt. Eng. 2016, 55, 074110. [Google Scholar] [CrossRef]
- Lehmann, P.; Hüser, L.; Stelter, A.; Kusserow, T. Lateral resolution enhanced interference microscopy using virtual annular apertures. J. Phys. Photonics 2023, 5, 015001. [Google Scholar] [CrossRef]
- Leong-Hoi, A.; Hairaye, C.; Perrin, S.; Lecler, S.; Pfeiffer, P.; Montgomery, P. High Resolution Microsphere-Assisted Interference Microscopy for 3D Characterization of Nanomaterials. Phys. Status Solidi A 2018, 215, 1700858. [Google Scholar] [CrossRef]
- Gleadall, A.; Visscher, D.; Yang, J.; Thomas, D.; Segal, J. Review of additive manufactured tissue engineering scaffolds: Relationship between geometry and performance. Burns Trauma 2018, 6, 19. [Google Scholar] [CrossRef]
- Gomez, C.; Su, R.; Thompson, A.; DiSciacca, J.; Lawes, S.; Leach, R. Optimization of surface measurement for metal additive manufacturing using coherence scanning interferometry. Opt. Eng. 2017, 56, 111714. [Google Scholar] [CrossRef]
- Lee, J.; Hossain, M.S.; Taheri, M.; Jameel, A.; Lakshmipathy, M.; Taheri, H. Characterization of Surface Topography Features for the Effect of Process Parameters and Their Correlation to Quality Monitoring in Metal Additive Manufacturing. Metrology 2022, 2, 73–83. [Google Scholar] [CrossRef]
- Zolfaghari, A.; Chen, T.; Yi, A.Y. Additive manufacturing of precision optics at micro and nanoscale. Int. J. Extrem. Manuf. 2019, 1, 012005. [Google Scholar] [CrossRef]
- Su, R.; Thomas, M.; Liu, M.; Drs, J.; Bellouard, Y.; Pruss, C.; Coupland, J.; Leach, R. Lens aberration compensation in interference microscopy. Opt. Lasers Eng. 2020, 128, 106015. [Google Scholar] [CrossRef]
- Biegen, J.F. Calibration requirements for Mirau and Linnik microscope interferometers. Appl. Opt. 1989, 29, 1972–1974. [Google Scholar] [CrossRef] [PubMed]
- Lehmann, P. Vertical scanning white-light interference microscopy on curved microstructures. Opt. Lett. 2010, 35, 1768–1770. [Google Scholar] [CrossRef] [PubMed]
- Su, R.; Wang, Y.; Coupland, J.; Leach, R. On tilt and curvature dependent errors and the calibration of coherence scanning interferometry. Opt. Express 2017, 25, 3297–3310. [Google Scholar] [CrossRef]
- Gao, F.; Leach, R.K.; Petzing, J.; Coupland, J.M. Surface measurement errors using commercial scanning white light interferometers. Meas. Sci. Technol. 2007, 19, 015303. [Google Scholar] [CrossRef]
- Lehmann, P.; Tereschenko, S.; Xie, W. Fundamental aspects of resolution and precision in vertical scanning white-light interferometry. Surf. Topogr. Metrol. Prop. 2016, 4, 024004. [Google Scholar] [CrossRef]
- Zhu, Y.; Yang, D.; Qiu, J.; Ke, C.; Su, R.; Shi, Y. Simulation-driven machine learning approach for high-speed correction of slope-dependent error in coherence scanning interferometry. Opt. Express 2023, 31, 36048. [Google Scholar] [CrossRef]
- Thomas, M.; Su, R.; de Groot, P.; Leach, R.K. Optical topography measurement of steeply-sloped surfaces beyond the specular numerical aperture limit. Proc. SPIE 2020, 11352, 1135207. [Google Scholar]
- Thomas, M.; Su, R.; de Groot, P.; Coupland, J.; Leach, R. Surface measuring coherence scanning interferometry beyond the specular reflection limit. Opt. Express 2021, 29, 36121–36131. [Google Scholar] [CrossRef]
- Gao, S.; Felgner, A.; Hüser, D.; Wyss, S.; Brand, U. Characterization of the maximum measurable slope of optical topography measuring instruments. In Proceedings of the Optical Measurement Systems for Industrial Inspection XIII, Munich, Germany, 26–29 June 2023; pp. 576–582. [Google Scholar]
- Song, H.; Li, Q.W.; Shi, Z.Y. Maximum Acceptable Tilt Angle for Point Autofocus Microscopy. Sensors 2023, 23, 9655. [Google Scholar] [CrossRef]
- Li, Z.; Gao, S.; Brand, U.; Hiller, K.; Wolff, H. A MEMS nanoindenter with an integrated AFM cantilever gripper for nanomechanical characterization of compliant materials. Nanotechnology 2020, 31, 305502. [Google Scholar] [CrossRef]
- Tang, W.C.; Nguyen, T.-C.H.; Judy, M.W.; Howe, R.T. Electrostatic comb-drive of lateral polysilicon resonators. Sens. Actuators A 1990, 21, 328–331. [Google Scholar] [CrossRef]
- Gao, S.; Zhang, Z.; Wu, Y.; Herrmann, K. Towards quantitative determination of the spring constant of a scanning force microscope cantilever with a microelectromechanical nano-force actuator. Meas. Sci. Technol. 2010, 21, 015103. [Google Scholar] [CrossRef]
- Brand, U.; Gao, S.; Engl, W.; Sulzbach, T.; Stahl, S.W.; Milles, L.F.; Nesterov, V.; Li, Z. Comparing AFM cantilever stiffness measured using the thermal vibration and the improved thermal vibration methods with that of an SI traceable method based on MEMS. Meas. Sci. Technol. 2017, 28, 034010. [Google Scholar] [CrossRef]
- Hubel, D.H.; Wiesel, T.N. Receptive fields, binocular interaction and functional architecture in the cat’s visual cortex. J. Physiol. 1962, 160, 106–154. [Google Scholar] [CrossRef]
- Stinchcombe, M. Neural network approximation of continuous functionals and continuous functions on compactifications. Neural Netw. 1999, 12, 467–477. [Google Scholar] [CrossRef] [PubMed]
- Wang, W.; Yang, Y. Development of convolutional neural network and its application in image classification: A survey. Opt. Eng. 2019, 58, 040901. [Google Scholar] [CrossRef]
- Cybenko, G. Approximation by superpositions of a sigmoidal function. Math. Control Signals Syst. 1989, 2, 303–314. [Google Scholar] [CrossRef]
- Schmidhuber, J. Deep learning in neural networks: An overview. Neural Netw. 2015, 61, 85–117. [Google Scholar] [CrossRef]
- Wiliamowski, B.M.; Yu, H. Improved Computation for Levenberg–Marquardt Training. IEEE Trans. Neural Netw. Learn. Syst. 2010, 21, 930–937. [Google Scholar] [CrossRef] [PubMed]
- Beale, M.H.; Hagan, M.T.; Demuth, H.B. Neural Network ToolboxTM 6 for use with MATLAB®, User’s Guide; MathWorks Inc.: Natick, MA, USA, 2010. [Google Scholar]
- Nouira, H.; Bourdet, P. Evaluation of roundness error using a new method based on a small displacement screw. Meas. Sci. Technol. 2014, 25, 044012. [Google Scholar] [CrossRef]
- Xu, Y.; Goodacre, R. On Splitting Training and Validation Set: A Comparative Study of Cross-Validation, Bootstrap and Systematic Sampling for Estimating the Generalization Performance of Supervised Learning. J. Anal. Test. 2018, 2, 249–262. [Google Scholar] [CrossRef] [PubMed]
- Udupa, G.; Singaperumal, M.; Sirohi, R.S.; Kothiyal, M.P. Characterization of surface topography by confocal microscopy: I. Principles and the measurement system. Meas. Sci. Technol. 2000, 11, 305–314. [Google Scholar] [CrossRef]
- Newton, L.; Senin, N.; Gomez, C.; Danzl, R.; Helmli, F.; Blunt, L.; Leach, R. Areal topography measurement of metal additive surfaces using focus variation microscopy. Addit. Manuf. 2019, 25, 365–389. [Google Scholar] [CrossRef]
Disclaimer/Publisher’s Note: The statements, opinions and data contained in all publications are solely those of the individual author(s) and contributor(s) and not of MDPI and/or the editor(s). MDPI and/or the editor(s) disclaim responsibility for any injury to people or property resulting from any ideas, methods, instructions or products referred to in the content. |
© 2024 by the authors. Licensee MDPI, Basel, Switzerland. This article is an open access article distributed under the terms and conditions of the Creative Commons Attribution (CC BY) license (https://creativecommons.org/licenses/by/4.0/).







