Updates on an Even More Compact Precision NMR Spectrometer and a Wider Range V-T Probe, for General Purpose NMR and for NMR Cryoporometric Nano- to Micro-Pore Measurements
Abstract
1. Introduction
2. Materials and Methods
2.1. MK4 0 to 50 MHz Compact NMR Spectrometer
2.1.1. NMR Graphical User Interface
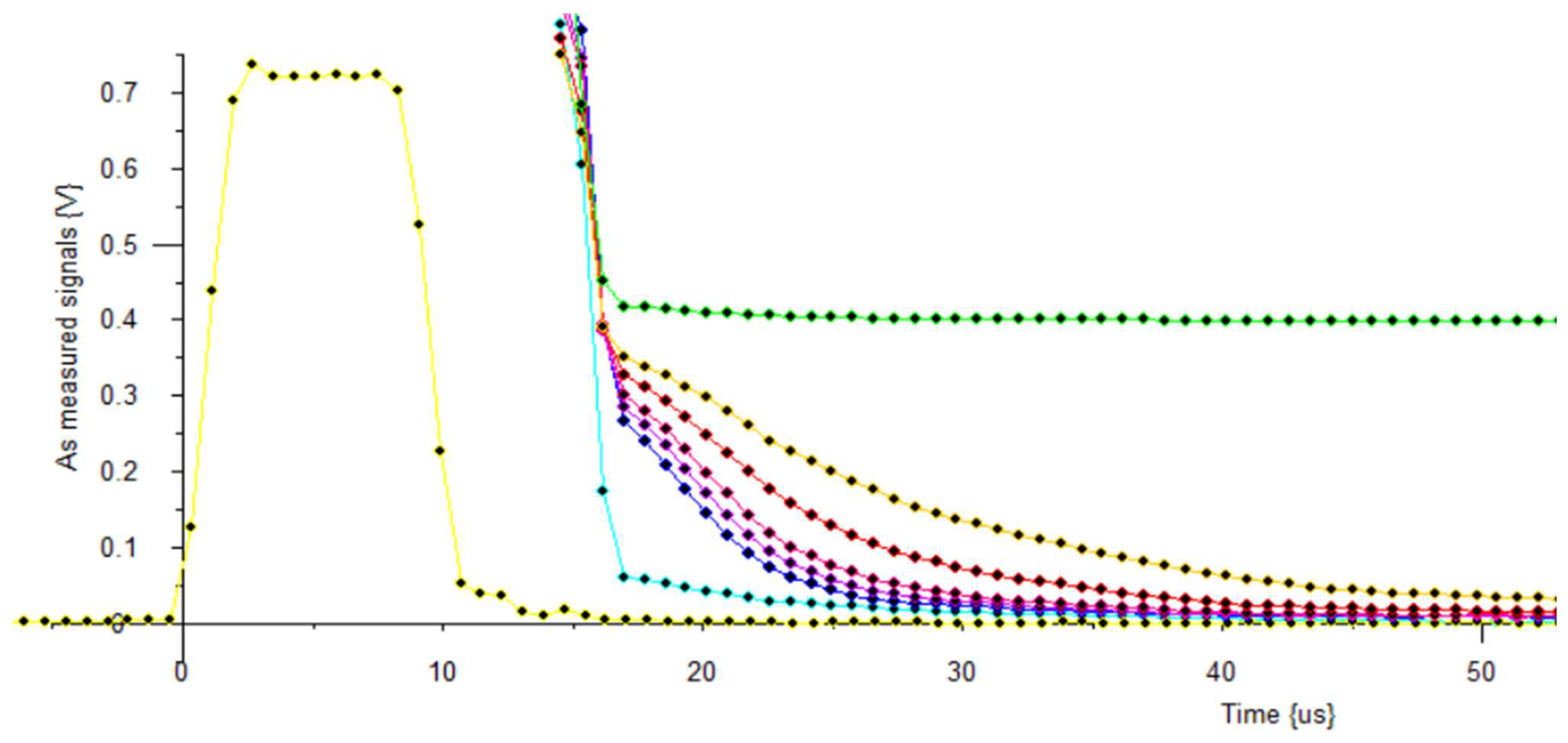
2.1.2. NMR Pulse Recovery: Active Damping
2.2. MK5 0 to 122 MHz Compact NMR Spectrometer
2.3. A Range of CryoP Peltier Cooled NMR Probes
2.3.1. CryoP7 Peltier Cooled NMR Probe
2.3.2. CryoP8 Peltier Cooled NMR Probe
2.4. A Range of Halbach and Mandhalas NMR Magnets
3. Results
3.1. NMR Transverse T2 Relaxation Measurements in Solid Brittle Ice
3.2. NMR Longitudinal Relaxation in the Rotating Frame in Water/Ice in Porous Silicas
3.3. NMR Cryopopormetric Measurements Using Water/Ice in a Sol–Gel Silica
3.4. Mobile NMR Measurments in the Field—Water and Oil Content of Seeds

3.5. Example Measurements of Fluorine Chemically Resolved Spectra: 19F Spectra Using the Lab-Tools MK4 NMR Spectrometer and a 0.33T Shimmed Halbach Magnet
3.6. NMR Imaging Protocol Combined with NMR Cryoporometric Protocol
3.7. Summary
4. Discussion
5. Patents
Funding
Institutional Review Board Statement
Informed Consent Statement
Data Availability Statement
Acknowledgments
Conflicts of Interest
Appendix A
Appendix A.1. NMR Cryoporometry (NMRC) Theory
Appendix A.2. Practical Applications and Limitations

Appendix B
Appendix B.1. Comparable Table-Top Time-Domain NMR Instruments
Appendix B.2. Floor-Standing Time-Domain NMR Instruments
References
- Webber, J.B.W.; Demin, P. Credit-card sized field and benchtop nmr relaxometers using field programmable gate arrays. Magn. Reson. Imaging 2019, 56, 45–51. [Google Scholar] [CrossRef] [PubMed]
- Webber, J.B.W.; Demin, P. Digitally based precision time-domain spectrometer for nmr relaxation and nmr cryoporometry. Micro 2023, 3, 404–433. [Google Scholar] [CrossRef]
- Redfield, A.G. Nuclear magnetic resonance saturation and rotary saturation in solids. Phys. Rev. 1955, 98, 1787–1809. [Google Scholar] [CrossRef]
- Cobas, J.C.; Sardina, F.J. Nuclear magnetic resonance data processing. mestre-c: A software package for desktop computers. Concepts Magn. Reson. Part A 2003, 19, 80–96. [Google Scholar] [CrossRef]
- Pitaya, R. Stemlab 125-14; Red pitaya: Solkan, Slovenia, 2013; Available online: https://redpitaya.com/stemlab-125-14/ (accessed on 5 September 2024).
- Iverson, K. A Programming Language; Wiley: New York, NY, USA, 1962. [Google Scholar]
- Nabavi, R. Microapl: Aplx, micoApl’s AplX Interpreter, version; MicroAPL Ltd.: East Sussex, UK, 2007; Available online: http://www.microapl.co.uk/APL/ (accessed on 5 September 2024).
- Pitaya, R. Sdrlab 122-16; Red pitaya: Solkan, Slovenia, 2020; Available online: https://redpitaya.com/sdrlab-122-16/ (accessed on 5 September 2024).
- UK Research and Innovation. Grant: EPSRC.; EP/d052556/1: Capillary Controls on Gas Hydrate Growth and Dissociation in Synthetic and Natural Porous Media: PVT, NMR, Neutron Diffraction and SANS. Available online: https://gtr.ukri.org/project/8129FC4B-D0BB-40B6-9810-CFF01EA935FC (accessed on 5 September 2024).
- Raich, H.; Blümler, P. Design and construction of a dipolar halbach array with a homogeneous field from identical bar magnets: NMR Mandhalas. Concepts Magn. Reson. Part B Magn. Reson. Eng. 2004, 23, 16–25. [Google Scholar] [CrossRef]
- Reif, F. Fundamentals of Statistical and Thermal Physics; International Student Edition; McGraw-Hill Kogakusha: Tokyo, Japan; London, UK, 1965. [Google Scholar]
- Webber, J.; Welle, A.; Livadaris, V.; Andreev, A. Pushing the limits of NMR cryoporometry in polymers from nanometer to micron. ChemRxiv 2020. [Google Scholar] [CrossRef]
- Blu¨mler, P.; Soltner, H. Practical concepts for design, construction and application of halbach magnets in magnetic resonance. Appl. Magn. Reson. 2023, 54, 1701–1739. [Google Scholar] [CrossRef]
- Webber, J.B.W.; Corbett, P.; Semple, K.T.; Ogbonnaya, U.; Teel, W.S.; Masiello, C.A.; Fisher, Q.J.; Valenza, J.J., II; Song, Y.-Q.; Hu, Q. An Nmr study of porous rock and biochar containing organic material. Microporous Mesoporous Mater. 2013, 178, 94–98. [Google Scholar] [CrossRef]
- Korb, J.-P. Multiscale nuclear magnetic relaxation dispersion of complex liquids in bulk and confinement. Prog. Nucl. Magn. Reson. Spectrosc. 2018, 104, 12–55. [Google Scholar] [CrossRef] [PubMed]
- Strange, J.H.; Rahman, M.; Smith, E.G. Characterization of Porous Solids By NMR. Phys. Rev. Lett. 1993, 71, 3589. [Google Scholar] [CrossRef] [PubMed]
- Mitchell, J.; Webber, J.; Strange, J. Nuclear magnetic resonance cryoporometry. Phys. Rep. 2008, 461, 1–36. [Google Scholar] [CrossRef]
- Petrov, O.V.; Furó, I. NMR cryoporometry: Principles; applications; potential. Prog. Nucl. Magn. Reson. Spectrosc. 2009, 54, 97–122. [Google Scholar] [CrossRef]
- Webber, D.J.B.W. ORCID: 0000-0002-8967-4671 (2024). Available online: https://orcid.org/0000-0002-8967-4671 (accessed on 5 September 2024).
- Morris, G.A.; Processing, N.M.D.; Lindon, J.C.; Tranter, G.E.; Koppenaal, D.W. Encyclopedia of Spectroscopy and Spectrometry, 3rd ed.; Academic Press: Cambridge, MA, USA, 2017; pp. 125–133. ISBN 9780128032244. [Google Scholar] [CrossRef]
- Mnova NMR. Available online: https://mestrelab.com/software/mnova-software/nmr/ (accessed on 5 September 2024).
- Garroway, A.N.; Grannell, P.K.; Mansfield, P. Image Formation using Nuclear Magnetic Resonance. U.S. Patent 4,021,726, 3 May 1977. [Google Scholar]
- Strange, J.H.; Webber, J.B.W. Multidimensionally resolved pore size distributions. Appl. Magn. Reson. 1997, 12, 231–245. [Google Scholar] [CrossRef][Green Version]
- Webber, J.B.W. The Characterising of Porous Media. Ph.D. Thesis, University of Kent, Canterbury, UK, 2000. Available online: https://kar.kent.ac.uk/13453/ (accessed on 5 September 2024).
- Webber, J.B.W.; Livadaris, V.; Andreev, A.S. USY zeolite mesoporosity probed by NMR cryoporometry. Microporous Mesoporous Mater. 2020, 306, 110404. [Google Scholar] [CrossRef]
- Workman, M.J.; Webber, J.B.W.; Mukundan, R. Analysis of PEMFC electrode pore structure–bridging the mesoscale gap. In Proceedings of the 236th Meeting of the Electrochemical Society, Atlanta, GA, USA, 16 October 2019. [Google Scholar]
- Bland, P.A.; Jackson, M.D.; Coker, R.F.; Cohen, B.A.; Webber, J.B.W.; Lee, M.R.; Duffy, C.M.; Chater, R.J.; Ardakani, M.G.; McPhail, D.S.; et al. Why aqueous alteration in asteroids was isochemical: High porosity does not equal high permeability, Earth and Planetary. Sci. Lett. 2009, 287, 559–568. [Google Scholar] [CrossRef]
- Eisenman, H.C.; Nosanchuk, J.D.; Webber, J.B.W.; Emerson, R.J.; Camesano, T.A.; Casadevall, A. Microstructure of cell wall-associated melanin in the human pathogenic fungus cryptococcus neoformans. Biochemistry 2005, 44, 3683–3693. [Google Scholar] [CrossRef] [PubMed]
- Alam, M.; Okonkwo, C.; Cachaneski-Lopes, J.; Graeff, C.; Batagin-Neto, A.; Tariq, S.; Varghese, S.; O’connor, M.; Albadri, A.; Webber, J.; et al. Date fruit melanin is primarily based on (−)-epicatechin proanthocyanidin oligomers. Sci. Rep. 2024, 14, 4863. [Google Scholar] [CrossRef] [PubMed]
- Bruker—Minispec. Available online: https://www.bruker.com/en/products-and-solutions/mr/nmr-epr-td-nmr-industrial-solutions/minispec-mq-series.html (accessed on 5 September 2024).
- Oxford Instruments—MQC+. Available online: https://nmr.oxinst.com/mqc (accessed on 5 September 2024).
- Resonance Systems—Spin Track. Available online: www.nmr-design.com (accessed on 5 September 2024).
- Turbospec LLC—Turbospec—e400. Available online: http://turbospecllc.com/ (accessed on 5 September 2024).
- Lab-Tools Ltd.—Mk4 & MK5. Available online: https://nmrspectrometer.lab-tools.com/ (accessed on 5 September 2024).
- Oxford Instruments—MQR. Available online: https://nmr.oxinst.com/mqr (accessed on 5 September 2024).
- Oxford Instruments—GeoSpec 2 & 12. Available online: https://nmr.oxinst.com/campaigns/geospec (accessed on 5 September 2024).
- LexMar Global Inc.—Mag Station. Available online: https://lexmarglobal.com/magstation-ii (accessed on 5 September 2024).
- LexMar Global Inc.—MagModule. Available online: https://lexmarglobal.com/magmodule-ii-1 (accessed on 5 September 2024).
- Stelar, s.r.l. SMARtracer—FFC NMR Relaxometer. Available online: https://www.stelar.it/products/smartracer (accessed on 5 September 2024).




















| Power {%} | B1 {Gauss} | Freq {kHz} | Color |
|---|---|---|---|
| 99 | 5.24 | 22.3 | purple |
| 90 | 4.77 | 20.3 | mauve |
| 80 | 4.23 | 18.0 | orange |
| 70 | 3.71 | 15.8 | yellow |
| 60 | 3.17 | 13.5 | magenta |
| 50 | 2.65 | 11.3 | cyan |
| 40 | 2.11 | 9.0 | blue |
| 30 | 1.6 | 6.8 | green |
| 20 | 1.06 | 4.5 | red |
| 10 | 0.54 | 2.3 | black |
| Temperature {°C} | Color |
|---|---|
| −30 | black |
| −25 | red |
| −20 | green |
| −15 | blue |
| −12.5 | cyan |
| −10 | magenta |
| −7.6 | yellow |
Disclaimer/Publisher’s Note: The statements, opinions and data contained in all publications are solely those of the individual author(s) and contributor(s) and not of MDPI and/or the editor(s). MDPI and/or the editor(s) disclaim responsibility for any injury to people or property resulting from any ideas, methods, instructions or products referred to in the content. |
© 2024 by the author. Licensee MDPI, Basel, Switzerland. This article is an open access article distributed under the terms and conditions of the Creative Commons Attribution (CC BY) license (https://creativecommons.org/licenses/by/4.0/).
Share and Cite
Webber, J.B.W. Updates on an Even More Compact Precision NMR Spectrometer and a Wider Range V-T Probe, for General Purpose NMR and for NMR Cryoporometric Nano- to Micro-Pore Measurements. Micro 2024, 4, 509-529. https://doi.org/10.3390/micro4030032
Webber JBW. Updates on an Even More Compact Precision NMR Spectrometer and a Wider Range V-T Probe, for General Purpose NMR and for NMR Cryoporometric Nano- to Micro-Pore Measurements. Micro. 2024; 4(3):509-529. https://doi.org/10.3390/micro4030032
Chicago/Turabian StyleWebber, John Beausire Wyatt. 2024. "Updates on an Even More Compact Precision NMR Spectrometer and a Wider Range V-T Probe, for General Purpose NMR and for NMR Cryoporometric Nano- to Micro-Pore Measurements" Micro 4, no. 3: 509-529. https://doi.org/10.3390/micro4030032
APA StyleWebber, J. B. W. (2024). Updates on an Even More Compact Precision NMR Spectrometer and a Wider Range V-T Probe, for General Purpose NMR and for NMR Cryoporometric Nano- to Micro-Pore Measurements. Micro, 4(3), 509-529. https://doi.org/10.3390/micro4030032
