Next Issue
Volume 6, March
Previous Issue
Volume 5, September
 
 

Liquids, Volume 5, Issue 4 (December 2025) – 12 articles

  • Issues are regarded as officially published after their release is announced to the table of contents alert mailing list.
  • You may sign up for e-mail alerts to receive table of contents of newly released issues.
  • PDF is the official format for papers published in both, html and pdf forms. To view the papers in pdf format, click on the "PDF Full-text" link, and use the free Adobe Reader to open them.
Order results
Result details
Section
Select all
Export citation of selected articles as:
20 pages, 547 KB  
Article
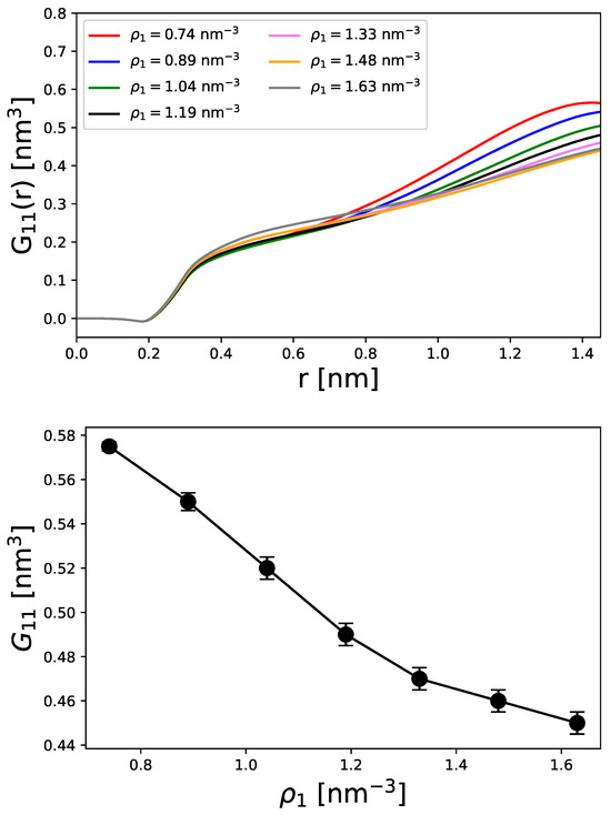
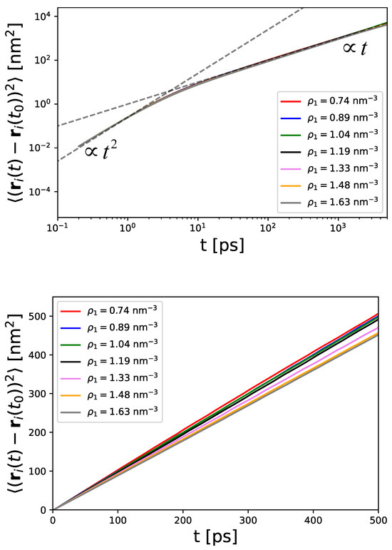
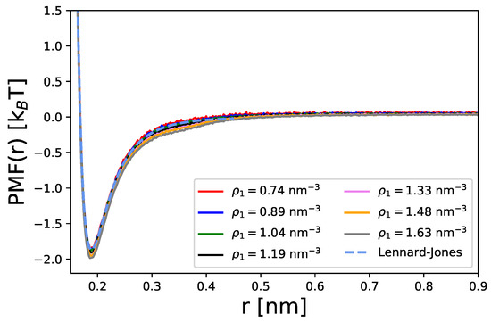
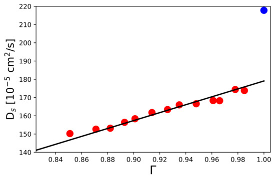
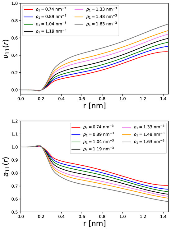
Self- and Fick Diffusion Coefficients in Implicit Solvent Simulations: Influence of Local Aggregation Effects and Thermodynamic Factors
by Samuel Tovey, Christian Holm and Jens Smiatek
Liquids 2025, 5(4), 36; https://doi.org/10.3390/liquids5040036 - 10 Dec 2025
Viewed by 126
Abstract
In this article, we discuss the relationship and transition between self- and Fick diffusion coefficients in continuous implicit solvents across different particle densities. By applying the established expressions for self-diffusion and Fick diffusion coefficients in binary solutions, we analyze how the local environment [...] Read more.
In this article, we discuss the relationship and transition between self- and Fick diffusion coefficients in continuous implicit solvents across different particle densities. By applying the established expressions for self-diffusion and Fick diffusion coefficients in binary solutions, we analyze how the local environment influences diffusion through thermodynamic factors, which can be readily evaluated within the framework of Kirkwood–Buff (KB) theory. These thermodynamic factors, originally defined as derivatives of thermodynamic activity, vary with changes in local particle densities, particularly in the presence of aggregation effects. Consequently, the transition from self- to Fick diffusion coefficients can be understood as a reflection of variations in these thermodynamic factors. Langevin Dynamics simulations at low number densities show excellent agreement with the analytical expressions derived. Overall, our findings provide deeper insight into how local structural environments shape particle dynamics, clarifying the connection between KB theory and the transition from self- to Fick diffusion coefficients. Full article
(This article belongs to the Section Chemical Physics of Liquids)
Show Figures

Figure 1

33 pages, 3799 KB  
Article
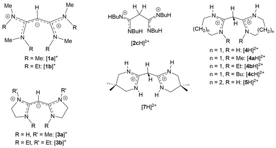
Allyldiamidinium and Diamidinium Salts: Are Dicationic Ionic Liquids in Fact Superionic?
by Swathy Akhil, Owen J. Curnow and Ruhamah Yunis
Liquids 2025, 5(4), 35; https://doi.org/10.3390/liquids5040035 - 8 Dec 2025
Viewed by 120
Abstract
This work reports on novel acid–base conjugate pairs of monocationic allyldiamidinium and dicationic diamidinium salts, some of which are ionic liquids (ILs) at ambient temperatures. A series of allyldiamidinium salts of the general formula [C3H(NRMe)4]X (R = Me, Et, [...] Read more.
This work reports on novel acid–base conjugate pairs of monocationic allyldiamidinium and dicationic diamidinium salts, some of which are ionic liquids (ILs) at ambient temperatures. A series of allyldiamidinium salts of the general formula [C3H(NRMe)4]X (R = Me, Et, Pr, allyl, CH2CH2OMe; X = Cl, bistriflimide, dicyanamide) were prepared from C3Cl4 or C3Cl5H and the appropriate secondary amine, RNMeH. Alkylated ethylenediamines similarly yield bicyclic allyldiamidinium salts, whereas longer diamines (H2N(CH2)nNH2 (n = 3, 4, 5)) were isolated as their conjugate acids, the diamidinium dicationic salts [C3H2(HN(CH2)nNH)2]X2. The salts were characterized by NMR, ES-MS, DSC, TGA, and miscibility or solubility studies. Additionally, the ILs were characterized by their viscosities. The conductivities of the diamidinium ILs were also measured, and this allowed for an investigation of their Walden parameters. In contrast to expectations, since the ion pairing and clustering were expected to be significant, this showed them to be “superionic”. Previous reports of Walden plots of dicationic ILs were found to be erroneous, and a reanalysis of the literature data found that all reported dicationic and even tetracationic ILs can be classified as superionic. The salts [C3H(NMe2)4]Cl, [C3H(EtN(CH2)2NEt)2]OTf, and [C3H2(HN(CH2)nNH)2]Cl2 (n = 3, 4, 5) were also characterized by single-crystal X-ray diffraction. Full article
(This article belongs to the Section Physics of Liquids)
Show Figures

Graphical abstract

11 pages, 803 KB  
Article
In-Vitro Dissolution Profile Comparison of Fixed Dose Combination Suspension Containing Ibuprofen and Loratadine with Their Corresponding Marketed Suspensions
by Muhammad Faheem, Lateef Ahmad and Muhammad Hashim
Liquids 2025, 5(4), 34; https://doi.org/10.3390/liquids5040034 - 3 Dec 2025
Viewed by 213
Abstract
(1) Background: Fixed-dose combination (FDC) improves patient convenience and therapeutic adherence by combining suitable drugs in a single dose form. This study examined the in vitro dissolution of an ibuprofen-loratadine FDC oral suspension to commercial reference formulations. (2) Methods: The FDC suspension (ibuprofen [...] Read more.
(1) Background: Fixed-dose combination (FDC) improves patient convenience and therapeutic adherence by combining suitable drugs in a single dose form. This study examined the in vitro dissolution of an ibuprofen-loratadine FDC oral suspension to commercial reference formulations. (2) Methods: The FDC suspension (ibuprofen 200 mg/5 mL, loratadine 5 mg/5 mL) was tested against Fenbro 8 Plus and Lorid on USP Apparatus II at 50 rpm and 37 ± 0.5 °C. Dissolution testing was carried out in 900 mL of phosphate buffer (pH 7.2) for ibuprofen and 0.1 N HCl (pH 3.3) for loratadine. Quantification was performed using validated high-performance liquid chromatography linked with ultraviolet detector (HPLC-UV) procedures complying with the ICH Q2 (R2) guidelines. (3) Results: The linearity of the HPLC methods for ibuprofen and loratadine was (R2 > 0.99), accuracy (99.6–100.18%), and precision (%RSD < 2). For both loratadine and ibuprofen, the FDC suspension’s Q15, Q30, T50, T90, and DE% values nearly matched those of the commercial products. Over 95% of both drugs were released within 60 min. The dissolution equivalence between the FDC and the reference formulations was demonstrated by the calculated similarity (f2) and difference (f1) factors, which were f1 = 3 and f2 = 70 for ibuprofen, and f1 = 4 and f2 = 64 for loratadine. (4) Conclusions: The FDC suspension of ibuprofen and loratadine showed dissolving behavior comparable to commercial formulations, confirming its applicability for the practical and efficient treatment of allergy symptoms and inflammatory pain. Full article
(This article belongs to the Collection Feature Papers in Solutions and Liquid Mixtures Research)
Show Figures

Graphical abstract

11 pages, 3399 KB  
Article
Development of a Test Bed to Investigate Wetting Behaviours of High-Temperature Heavy Liquid Metals for Advanced Nuclear Applications
by Abhishek Saraswat, Rajendraprasad Bhattacharyay, Paritosh Chaudhuri and Sateesh Gedupudi
Liquids 2025, 5(4), 33; https://doi.org/10.3390/liquids5040033 - 26 Nov 2025
Viewed by 321
Abstract
Specifically engineered heavy liquid metals are proposed as candidate coolants and tritium breeders for advanced nuclear applications. Understanding the wetting behaviours of these liquids on relevant substrate configurations is crucial to tackle the challenges associated with corrosion protection and flow diagnostics development. However, [...] Read more.
Specifically engineered heavy liquid metals are proposed as candidate coolants and tritium breeders for advanced nuclear applications. Understanding the wetting behaviours of these liquids on relevant substrate configurations is crucial to tackle the challenges associated with corrosion protection and flow diagnostics development. However, detailed investigations are scarce in the literature. In this experimental study, an apparatus is designed to measure contact angles of different liquid metals over a mirror-polished horizontal SS-304 substrate. This paper presents design aspects of the developed test facility, as well as initial results obtained using direct imaging and the Low-Bond Axisymmetric Drop Shape Analysis algorithm-based image processing technique. Methodological validation is achieved through surrogate liquids/liquid metals (H2O, Hg, Ga, GaInSn), prior to taking measurements from molten lead (Pb) droplets at 425 °C. Estimated contact angles obtained using the two techniques lie within ±10% deviation. Towards the end, the paper lays out plans for future upgrades for studies of wetting behaviours of molten Pb/Pb alloys on substrates with relevant surface properties, including bare P-91 and reduced-activation ferritic–martensitic steels, along with Al2O3/Er2O3-coated versions of these materials, to generate a database for Gen-IV fission reactors and fusion power plants. Full article
(This article belongs to the Section Physics of Liquids)
Show Figures

Figure 1

14 pages, 1576 KB  
Article
The Rheology of Graphene Oxide Dispersions in Highly Viscous Epoxy Resin: The Anomalies in Properties as Advantages for Developing Film Binders
by Liliya M. Amirova, Artur Khannanov, Ayrat M. Dimiev and Rustem R. Amirov
Liquids 2025, 5(4), 32; https://doi.org/10.3390/liquids5040032 - 21 Nov 2025
Viewed by 280
Abstract
Graphene oxide (GO) has been successfully used as a filler to modify various properties of polymers and fiber-reinforced composites. The resulting properties depend on the filler content and on the distribution of GO in the polymer matrix. In this work, for the first [...] Read more.
Graphene oxide (GO) has been successfully used as a filler to modify various properties of polymers and fiber-reinforced composites. The resulting properties depend on the filler content and on the distribution of GO in the polymer matrix. In this work, for the first time, we introduced GO into the highly viscous DEN-438 epoxy novolac resin and investigated rheological properties of the resulting compositions. In particular, we studied the functions of complex viscosity, storage and loss moduli, and mechanical loss tangent on temperature and GO content. The unusual behavior of the newly prepared formulations compared to typical GO/epoxy mixtures was discovered. At low GO content, introduction of GO led not to an increase, but to a decrease in the resin viscosity, with the minimum registered at 0.29 wt.% GO. After this threshold value, viscosity increased with GO content, which we explained by formation of the liquid crystalline structure. At higher GO concentrations, the formulations changed their state from solid-like at rest to liquid-like under load, with the properties being highly desired for film binders. The discovered properties of the GO/novolac epoxy resin formulations suggest their potential use as the new generation of film binders for Resin Film Infusion technology. Full article
(This article belongs to the Special Issue Nanocarbon-Liquid Systems)
Show Figures

Figure 1

17 pages, 4741 KB  
Article
Towards Hybrid 2D Nanomaterials: Covalent Functionalization of Boron Nitride Nanosheets
by Freskida Goni, Angela Chemelli and Frank Uhlig
Liquids 2025, 5(4), 31; https://doi.org/10.3390/liquids5040031 - 19 Nov 2025
Viewed by 279
Abstract
In contrast to the typically electrically conductive nanocarbon systems, boron nitride nanosheets (BNNSs) are particularly attractive for the fabrication of polymers that require high thermal conductivity while maintaining electrical insulation. However, their tendency to aggregate and the weak interfacial interaction with the polymer [...] Read more.
In contrast to the typically electrically conductive nanocarbon systems, boron nitride nanosheets (BNNSs) are particularly attractive for the fabrication of polymers that require high thermal conductivity while maintaining electrical insulation. However, their tendency to aggregate and the weak interfacial interaction with the polymer matrix limit their effectiveness in enhancing thermal conductivity. To address these challenges, BNNSs can be chemically modified to improve dispersion and compatibility within the matrix. Nonetheless, the inherent chemical inertness of boron nitride poses a significant obstacle to functionalization. In this work, we demonstrate the successful covalent modification of BNNSs using three different silane coupling agents: (3-aminopropyl)dimethylmethoxysilane, (3-aminopropyl)diethoxymethylsilane, and (3-aminopropyl)trimethoxysilane. FT-IR, SEM/EDX, and WAXS confirm the successful functionalization and reveal that the number of alkoxy groups in the silane strongly influences siloxane network formation and the extent of surface coverage on BNNSs. Full article
(This article belongs to the Special Issue Nanocarbon-Liquid Systems)
Show Figures

Figure 1

29 pages, 753 KB  
Article
A Coherent Electrodynamics Theory of Liquid Water
by Antonella De Ninno and Luca Gamberale
Liquids 2025, 5(4), 30; https://doi.org/10.3390/liquids5040030 - 5 Nov 2025
Viewed by 677
Abstract
This study presents a quantum electrodynamics (QED) framework that explains the anomalous behavior of liquid water. The theory posits that water consists of two coexisting phases: a coherent phase, in which molecules form phase-locked coherence domains (CDs), and an incoherent phase that behaves [...] Read more.
This study presents a quantum electrodynamics (QED) framework that explains the anomalous behavior of liquid water. The theory posits that water consists of two coexisting phases: a coherent phase, in which molecules form phase-locked coherence domains (CDs), and an incoherent phase that behaves like a dense van der Waals fluid. By solving polynomial-type equations, we derive key thermodynamic properties, including the minima in the isobaric heat capacity per particle (IHCP) and the isothermal compressibility, as well as the divergent behavior observed near 228 K. The theory also accounts for water’s high static dielectric constant. These results emerge from first-principles QED, integrating quantum coherence with macroscopic thermodynamics. The framework offers a unified explanation for water’s anomalies and has implications for biological systems, materials science, and fundamental physics. Future work will extend the theory to include phase transitions, solute interactions, and the freezing process. Full article
(This article belongs to the Special Issue Energy Transfer in Liquids)
Show Figures

Graphical abstract

27 pages, 5027 KB  
Review
Droplets Sliding Down Partially Wetted (Non-Superhydrophobic) Surfaces: A Review
by Silvia Varagnolo
Liquids 2025, 5(4), 29; https://doi.org/10.3390/liquids5040029 - 31 Oct 2025
Viewed by 659
Abstract
Droplets sliding down a partially wetted surface are a ubiquitous phenomenon in nature and everyday life. Despite its apparent simplicity, it hinders complex intricacies for theoretical and numerical descriptions matching the experimental observations, even for the simplest case of a drop sliding down [...] Read more.
Droplets sliding down a partially wetted surface are a ubiquitous phenomenon in nature and everyday life. Despite its apparent simplicity, it hinders complex intricacies for theoretical and numerical descriptions matching the experimental observations, even for the simplest case of a drop sliding down a homogeneous surface. A key aspect to be considered is the distribution of contact angles along the droplet perimeter, which can be challenging to include in the theoretical/numerical analysis. The scenario can become more complex when considering geometrically or chemically patterned surfaces or complex fluids. Indeed, these aspects can provide strategies to passively control the droplet motion in terms of velocity or direction. This review gathers the state of the art of experimental, numerical, and theoretical research about droplets made of Newtonian and non-Newtonian fluids sliding down homogeneous, chemically heterogeneous, or geometrically patterned surfaces. Full article
(This article belongs to the Section Physics of Liquids)
Show Figures

Graphical abstract

17 pages, 2757 KB  
Article
Tuning of the Viscosity Maximum and the Temperature Effect on Wormlike Micelle Solutions Using Hydrotropic and Inorganic Salts
by Kamilla B. Shishkhanova, Vyacheslav S. Molchanov and Olga E. Philippova
Liquids 2025, 5(4), 28; https://doi.org/10.3390/liquids5040028 - 26 Oct 2025
Viewed by 563
Abstract
The rheological properties of aqueous solutions of wormlike micelles (WLMs) of cationic surfactant erucyl bis(hydroxyethyl)methylammonium chloride (EHAC) in the presence of hydrotropic salt sodium salicylate (NaSal) and inorganic salt sodium chloride (NaCl) have been studied. The conditions for maximum zero-shear viscosity at fixed [...] Read more.
The rheological properties of aqueous solutions of wormlike micelles (WLMs) of cationic surfactant erucyl bis(hydroxyethyl)methylammonium chloride (EHAC) in the presence of hydrotropic salt sodium salicylate (NaSal) and inorganic salt sodium chloride (NaCl) have been studied. The conditions for maximum zero-shear viscosity at fixed surfactant concentration were investigated. It has been shown that charged WLMs in the presence of NaSal have higher viscosities than well-screened micelles in the presence of NaCl. This is because the adsorption of hydrophobic salicylate ions onto the micelles increases their length more significantly than the presence of a large amount of sodium ions in the solution. It was discovered that the effect of temperature on the rheological properties depends on both the type of salt used and the salt/surfactant molar ratio. An unusual increase in zero-shear viscosity and elastic modulus was observed at a NaSal concentration that corresponds to the maximum zero-shear viscosity when the WLMs are linear, charged, and “unbreakable”. These results expand the possibilities of using hydrotropic salts to create stable, highly viscous systems in various fields, and opening up new horizons for applications in oil production, cosmetics, and household chemicals. Full article
(This article belongs to the Section Chemical Physics of Liquids)
Show Figures

Graphical abstract

12 pages, 2841 KB  
Article
Mesoscopic Liquids Emit Thermal Waves Under Shear Strain or Microflow
by Laurence Noirez, Eni Kume and Patrick Baroni
Liquids 2025, 5(4), 27; https://doi.org/10.3390/liquids5040027 - 9 Oct 2025
Viewed by 426
Abstract
Liquids like water are not expected to produce a thermal change under shear strain or flow (away from extreme conditions). In this study, we reveal experimental conditions for which the conventional athermal hydrodynamic assumption is no longer valid. We highlight the establishment of [...] Read more.
Liquids like water are not expected to produce a thermal change under shear strain or flow (away from extreme conditions). In this study, we reveal experimental conditions for which the conventional athermal hydrodynamic assumption is no longer valid. We highlight the establishment of non-equilibrium hot and cold thermal states occurring when a mesoscopic confined liquid is set in motion. Two stress situations are considered: low-frequency shear stress at large strain amplitude and microfluidic transport (pressure gradient). Two liquids are tested: water and glycerol at room temperature. In confined conditions (submillimeter scale), these liquids exhibit stress-induced thermal waves. We interpret the emergence of non-equilibrium temperatures as a consequence of the solicitation of the mesoscopic liquid elasticity. In analogy with elastic deformation, the mesoscopic volume decreases or increases slightly, which leads to a change in temperature (thermo-mechanical energy conversion). The energy acquired or released is converted to heat or cold, respectively. To account for these non-equilibrium temperatures, the mesoscopic flow is no longer considered as a complete dissipative process but as a way of propagating shear and thus compressive waves. This conclusion is consistent with recent theoretical developments showing that liquids propagate shear elastic waves at small scales. Full article
(This article belongs to the Section Physics of Liquids)
Show Figures

Figure 1

11 pages, 1713 KB  
Article
Hydroxyl Radical Formation and Its Mechanism in Cavitation Bubble Plasma-Treated Water: A Chemical Probe Study
by Kotaro Kawano and Yoshihiro Oka
Liquids 2025, 5(4), 26; https://doi.org/10.3390/liquids5040026 - 1 Oct 2025
Viewed by 956
Abstract
This study investigates the formation of hydroxyl radicals (OH radicals) in cavitation bubble plasma-treated water (CBPTW) using a chemical probe method. CBPTW samples were prepared with different electrode materials (W, Fe, Cu, and Ag), and the chemical scavenger was added two minutes after [...] Read more.
This study investigates the formation of hydroxyl radicals (OH radicals) in cavitation bubble plasma-treated water (CBPTW) using a chemical probe method. CBPTW samples were prepared with different electrode materials (W, Fe, Cu, and Ag), and the chemical scavenger was added two minutes after the completion of cavitation and plasma treatments. The concentrations of metal ions and hydrogen peroxide (H2O2) generated in the CBPTW were also measured over time. This study reveals a novel mechanism whereby metal nanoparticles and ions released from electrodes catalyze the continuous generation of hydroxyl radicals in CBPTW, which has not been fully addressed in previous studies. The results suggest a continuous generation of OH radicals in CBPTW prepared with W, Fe, and Cu electrodes, with the amount of OH radicals produced in the order Cu > Fe > W. The study reveals a correlation between OH radical production and electrode wear, suggesting that the continuous generation of OH radicals in CBPTW results from the catalytic decomposition of H2O2 by metal nanoparticles or ions released from the electrodes. It should be noted that cavitation bubble plasma (CBP) is fundamentally different from sonochemistry. While sonochemistry utilizes ultrasound-induced cavitation to generate radicals, CBP relies on plasma discharge generated inside cavitation bubbles. No ultrasound was applied in this study; therefore, all observed radical formation is attributable exclusively to plasma processes rather than sonochemical effects. However, the precise mechanism of continuous OH radical formation in CBPTW remains unclear and requires further investigation. These findings provide new insights into the role of electrode materials in continuous OH radical generation in cavitation bubble plasma treated water, offering potential applications in water purification and sterilization technologies. Full article
(This article belongs to the Section Molecular Liquids)
Show Figures

Figure 1

27 pages, 359 KB  
Article
Dispersion, Polar, and Hydrogen-Bonding Contributions to Solvation Free Energies
by William E. Acree, Jr. and Costas Panayiotou
Liquids 2025, 5(4), 25; https://doi.org/10.3390/liquids5040025 - 25 Sep 2025
Viewed by 728
Abstract
A new method is presented for the estimation of contributions to solvation free energy from dispersion, polar, and hydrogen-bonding (HB) intermolecular interactions. COSMO-type quantum chemical solvation calculations are used for the development of four new molecular descriptors of solutes for their electrostatic interactions. [...] Read more.
A new method is presented for the estimation of contributions to solvation free energy from dispersion, polar, and hydrogen-bonding (HB) intermolecular interactions. COSMO-type quantum chemical solvation calculations are used for the development of four new molecular descriptors of solutes for their electrostatic interactions. The new model needs one to three solvent-specific parameters for the prediction of solvation free energies. The widely used Abraham’s LSER model is used for providing the reference solvation free energy data for the determination of the solvent-specific parameters. Extensive calculations in 80 solvent systems have verified the good performance of the model. The very same molecular descriptors are used for the calculation of solvation enthalpies. The advantages of the present model over Abraham’s LSER model are discussed along with the complementary character of the two models. Enthalpy and free-energy solvation information for pure solvents is translated into partial solvation parameters (PSP) analogous to the widely used Hansen solubility parameters and enlarge significantly their range of applications. The potential and the perspectives of the new approach for further molecular thermodynamic developments are discussed. Full article
(This article belongs to the Special Issue Energy Transfer in Liquids)
Previous Issue
Next Issue
Back to TopTop