Integrated Multi-Omics Analysis Identifies Novel Prognostic and Diagnostic Hub Genes in Colorectal Cancer
Simple Summary
Abstract
1. Introduction
2. Materials and Methods
2.1. Microarray Dataset Collection and Pre-Processing
2.2. Identification of Differentially Expressed Genes
2.3. Weighted Gene Co-Expression Network Analysis
2.4. Construction of Protein–Protein Interaction Network
2.5. Hub Gene Identification
2.6. Functional Annotation Analysis
2.7. Hub Gene Validation
2.8. Prognosis-Related Hub Genes and Immune Cell Correlation
2.9. Promoter Methylation Analysis of Prognosis-Related Hub Genes
2.10. Construction of Hub Gene-TF-miRNA Network
3. Results
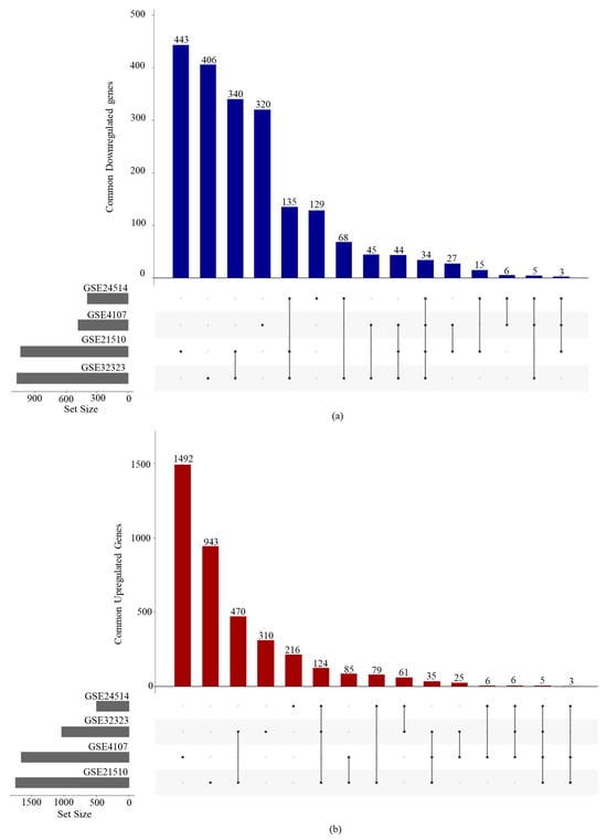
3.1. Data Preprocessing and Identification of Differentially Expressed Genes
3.2. GO and KEGG Pathway Enrichment Analysis of DEGs
3.3. WGCNA and Identification of Key Co-Expression Modules
3.4. Protein–Protein Interaction (PPI) Network Analysis
3.5. Hub Gene Identification
3.6. Functional Enrichment Analysis of Hub Genes
3.7. Validation of Hub Genes
3.8. Co-Expression Patterns of Hub Genes
3.9. Genetic Alterations and Mutational Landscape of Hub Genes
3.10. Immune Cell Infiltration and Correlation with Hub Gene Expression
3.11. Identification of Potential Diagnostic Biomarkers Among Prognosis-Related Hub Genes
3.12. Promoter Methylation Analysis of Hub Genes
3.13. Construction of TFs-miRNA–Hub Genes Network
4. Discussion
5. Conclusions
Supplementary Materials
Author Contributions
Funding
Institutional Review Board Statement
Informed Consent Statement
Data Availability Statement
Conflicts of Interest
References
- Siegel, R.L.; Kratzer, T.B.; Giaquinto, A.N.; Sung, H.; Jemal, A. Cancer statistics, 2025. CA Cancer J. Clin. 2025, 75, 10–45. [Google Scholar] [CrossRef] [PubMed]
- Fu, M.; Li, Y.; Wang, J. Incidence and mortality of colorectal cancer in Asia in 2022 and projections for 2050. J. Gastroenterol. Hepatol. 2025, 40, 1143–1156. [Google Scholar] [CrossRef]
- Pandey, H.; Tang, D.W.T.; Wong, S.H.; Lal, D. Gut microbiota in colorectal cancer: Biological role and therapeutic opportunities. Cancers 2023, 15, 866. [Google Scholar] [CrossRef] [PubMed]
- Murphy, N.; Moreno, V.; Hughes, D.J.; Vodicka, L.; Vodicka, P.; Aglago, E.K.; Gunter, M.J.; Jenab, M. Lifestyle and dietary environmental factors in colorectal cancer susceptibility. Mol. Asp. Med. 2019, 69, 2–9. [Google Scholar] [CrossRef]
- Pandey, H.; Jain, D.; Tang, D.W.T.; Wong, S.H.; Lal, D. Gut microbiota in pathophysiology, diagnosis, and therapeutics of inflammatory bowel disease. Intest. Res. 2024, 22, 15–43. [Google Scholar] [CrossRef]
- Whiffin, N.; Hosking, F.J.; Farrington, S.M.; Palles, C.; Dobbins, S.E.; Zgaga, L.; Lloyd, A.; Ben Kinnersley, B.; Gorman, M.; Tenesa, A.; et al. Identification of susceptibility loci for colorectal cancer in a genome-wide meta-analysis. Hum. Mol. Genet. 2014, 23, 4729–4737. [Google Scholar] [CrossRef]
- Fidler, M.M.; Soerjomataram, I.; Bray, F. A global view on cancer incidence and national levels of the human development index. Int. J. Cancer 2016, 139, 2436–2446. [Google Scholar] [CrossRef] [PubMed]
- Mirgayazova, R.; Khadiullina, R.; Mingaleeva, R.; Chasov, V.; Gomzikova, M.; Garanina, E.; Rizvanov, A.; Bulatov, E. Novel Isatin-based activator of p53 transcriptional functions in tumor cells. Mol. Biol. Res. Commun. 2019, 8, 119–128. [Google Scholar]
- Kamel, F.; Eltarhoni, K.; Nisar, P.; Soloviev, M. Colorectal cancer diagnosis: The obstacles we face in determining a non-invasive test and current advances in biomarker detection. Cancers 2022, 14, 1889. [Google Scholar] [CrossRef]
- D’Souza, N.; Georgiou Delisle, T.; Chen, M.; Benton, S.; Abulafi, M.; NICE FIT Steering Group. Faecal immunochemical test is superior to symptoms in predicting pathology in patients with suspected colorectal cancer symptoms referred on a 2WW pathway: A diagnostic accuracy study. Gut 2021, 70, 1130–1138. [Google Scholar] [CrossRef]
- Morgan, J.; Thomas, K.; Lee-Robichaud, H.; Nelson, R.L.; Braungart, S. Transparent cap colonoscopy versus standard colonoscopy to improve caecal intubation. Cochrane Database Syst. Rev. 2012, 12, CD008211. [Google Scholar] [CrossRef]
- Das, V.; Kalita, J.; Pal, M. Predictive and prognostic biomarkers in colorectal cancer: A systematic review of recent advances and challenges. Biomed. Pharmacother. 2017, 87, 8–19. [Google Scholar] [CrossRef]
- Chandrapalan, S.; Arasaradnam, R. Advantages and limitations of faecal immunochemical testing in colorectal cancer. Front. Gastroenterol. 2025, 16, 181–187. [Google Scholar] [CrossRef]
- Gong, C.; Rojas, M.T.M.; Guerrero, M.G.R.; Kladas, M.; Mousakhanian, A.; Sudan, A.; Johnson, A.; Cartmill, K.; Sydney, E.; Kotler, D.P. Fecal immunochemical testing for colorectal cancer prevention in two public hospitals. J. Gastrointest. Cancer 2025, 56, 69. [Google Scholar] [CrossRef] [PubMed]
- Nayor, J.; Saltzman, J.R. Colonoscopy quality: Measuring the patient experience. Endoscopy 2018, 50, 4–5. [Google Scholar] [PubMed]
- Nicholson, B.D.; Shinkins, B.; Pathiraja, I.; Roberts, N.W.; James, T.J.; Mallett, S.; Pereral, R.; Primrose, J.N.; Mant, D. Blood CEA levels for detecting recurrent colorectal cancer. Cochrane Database Syst. Rev. 2015, 2015, CD011134. [Google Scholar] [CrossRef]
- Lu, H.; Li, L.; Sun, D.; Duan, Y.; Yue, K.; Wu, Y.; Wang, X. Identification of novel hub genes associated with lymph node metastasis of head and neck squamous cell carcinoma by completive bioinformatics analysis. Ann. Transl. Med. 2021, 9, 1678. [Google Scholar] [CrossRef]
- Huang, R.; Liu, J.; Li, H.; Zheng, L.; Jin, H.; Zhang, Y.; Ma, W.; Su, J.; Wang, M.; Yang, K. Identification of hub genes and their correlation with immune infiltration cells in hepatocellular carcinoma based on GEO and TCGA databases. Front. Genet. 2021, 12, 647353. [Google Scholar] [CrossRef]
- Zhao, Q.; Zhang, Y.; Shao, S.; Sun, Y.; Lin, Z. Identification of hub genes and biological pathways in hepatocellular carcinoma by integrated bioinformatics analysis. PeerJ 2021, 9, e10594. [Google Scholar] [CrossRef] [PubMed]
- Barrett, T.; Wilhite, S.E.; Ledoux, P.; Evangelista, C.; Kim, I.F.; Tomashevsky, M.; Marshall, K.A.; Phillippy, K.H.; Sherman, P.M.; Holko, M.; et al. NCBI GEO: Archive for functional genomics data sets--update. Nucleic Acids Res. 2013, 41, D991–D995. [Google Scholar] [CrossRef]
- Ritchie, M.E.; Phipson, B.; Wu, D.; Hu, Y.; Law, C.W.; Shi, W.; Smyth, G.K. Limma powers differential expression analyses for RNA-sequencing and microarray studies. Nucleic Acids Res. 2015, 43, e47. [Google Scholar] [CrossRef]
- Langfelder, P.; Horvath, S. WGCNA: An R package for weighted correlation network analysis. BMC Bioinform. 2008, 9, 559. [Google Scholar] [CrossRef] [PubMed]
- Szklarczyk, D.; Kirsch, R.; Koutrouli, M.; Nastou, K.; Mehryary, F.; Hachilif, R.; Gable, A.L.; Fang, T.; Doncheva, N.T.; Pyysalo, S.; et al. The STRING database in 2023: Protein-protein association networks and functional enrichment analyses for any sequenced genome of interest. Nucleic Acids Res. 2023, 51, D638–D646. [Google Scholar] [CrossRef] [PubMed]
- Tang, Z.; Kang, B.; Li, C.; Chen, T.; Zhang, Z. GEPIA2: An enhanced web server for large-scale expression profiling and interactive analysis. Nucleic Acids Res. 2019, 47, W556–W560. [Google Scholar] [CrossRef] [PubMed]
- Gao, J.; Aksoy, B.A.; Dogrusoz, U.; Dresdner, G.; Gross, B.; Sumer, S.O.; Sun, Y.; Jacobsen, A.; Sinha, R.; Larsso, E.; et al. Integrative analysis of complex cancer genomics and clinical profiles using the cBioPortal. Sci. Signal 2013, 6, pl1. [Google Scholar] [CrossRef]
- Chandrashekar, D.S.; Karthikeyan, S.K.; Korla, P.K.; Patel, H.; Shovov, A.R.; Athar, M.; Netto, G.J.; Qin, Z.S.; Kumar, S.; Manne, U.; et al. UALCAN: An update to the integrated cancer data analysis platform. Neoplasia 2022, 25, 18–27. [Google Scholar] [CrossRef]
- Ru, Y.; Kechris, K.J.; Tabakoff, B.; Hoffman, P.; Radcliffe, R.A.; Bowler, R.; Mahaffey, S.; Rossi, S.; Calin, G.A.; Bemis, L.; et al. The multiMiR R package and database: Integration of microRNA-target interactions along with their disease and drug associations. Nucleic Acids Res. 2014, 42, e133. [Google Scholar] [CrossRef]
- Han, H.; Shim, H.; Shin, D.; Shim, J.E.; Ko, Y.; Shin, J.; Kim, H.; Cho, A.; Kim, E.; Lee, T.; et al. TRRUST: A reference database of human transcriptional regulatory interactions. Sci. Rep. 2015, 5, 11432. [Google Scholar] [CrossRef]
- Ding, X.; Duan, H.; Luo, H. Identification of core gene expression signature and key pathways in colorectal cancer. Front. Genet. 2020, 11, 45. [Google Scholar] [CrossRef]
- Li, J.; Wang, Y.; Wang, X.; Yang, Q. CDK1 and CDC20 overexpression in patients with colorectal cancer are associated with poor prognosis: Evidence from integrated bioinformatics analysis. World J. Surg. Oncol. 2020, 18, 50. [Google Scholar] [CrossRef]
- Li, W.H.; Zhang, L.; Wu, Y.H. CDKN3 regulates cisplatin resistance to colorectal cancer through TIPE1. Eur. Rev. Med. Pharmacol. Sci. 2020, 24, 3614–3623. [Google Scholar]
- Paolillo, M.; Schinelli, S. Extracellular matrix alterations in metastatic processes. Int. J. Mol. Sci. 2019, 20, 4947. [Google Scholar] [CrossRef]
- Salimian, N.; Peymani, M.; Ghaedi, K.; Hashemi, M.; Rahimi, E. Collagen 1A1 (COL1A1) and Collagen11A1(COL11A1) as diagnostic biomarkers in breast, colorectal and gastric cancers. Gene 2024, 892, 147867. [Google Scholar] [CrossRef]
- Wu, D.; Wu, P.; Huang, Q.; Liu, Y.; Ye, J.; Huang, J. Interleukin-17: A promoter in colorectal cancer progression. Clin. Dev. Immunol. 2013, 2013, 436307. [Google Scholar] [CrossRef]
- Bahrami, A.; Khalaji, A.; Najafi, M.B.; Sadati, S.; Raisi, A.; Abolhassani, A.; Eshraghi, R.; Mahabady, M.K.; Rahimian, N.; Mirzaei, H. NF-κB pathway and angiogenesis: Insights into colorectal cancer development and therapeutic targets. Eur. J. Med. Res. 2024, 29, 610. [Google Scholar] [CrossRef]
- Rezaei, Z.; Ranjbaran, J.; Safarpour, H.; Nomiri, S.; Salmani, F.; Chamani, E.; Larki, P.; Brunetti, O.; Silvestris, N.; Tavakoli, T. Identification of early diagnostic biomarkers via WGCNA in gastric cancer. Biomed. Pharmacother. 2022, 145, 112477. [Google Scholar] [CrossRef]
- Ghafouri-Fard, S.; Safarzadeh, A.; Taheri, M.; Jamali, E. Identification of diagnostic biomarkers via weighted correlation network analysis in colorectal cancer using a system biology approach. Sci. Rep. 2023, 13, 13637. [Google Scholar] [CrossRef]
- Lv, J.-H.; Hou, A.-J.; Zhang, S.-H.; Dong, J.-J.; Kuang, H.-X.; Yang, L.; Jiang, H. WGCNA combined with machine learning to find potential biomarkers of liver cancer. Medicine 2023, 102, e36536. [Google Scholar] [CrossRef] [PubMed]
- Rao, C.V.; Yamada, H.Y. Genomic instability and colon carcinogenesis: From the perspective of genes. Front. Oncol. 2013, 3, 130. [Google Scholar] [CrossRef] [PubMed]
- Pino, M.S.; Chung, D.C. The chromosomal instability pathway in colon cancer. Gastroenterology 2010, 138, 2059–2072. [Google Scholar] [CrossRef] [PubMed]
- Diogo, V.; Teixeira, J.; Silva, P.M.; Bousbaa, H. Spindle assembly checkpoint as a potential target in colorectal cancer: Current status and future perspectives. Clin. Color. Cancer 2017, 16, 1–8. [Google Scholar] [CrossRef]
- Burrell, R.A.; McClelland, S.E.; Endesfelder, D.; Groth, P.; Weller, M.-C.; Shaikh, N.; Domingo, E.; Kanu, N.; Dewhurst, S.M.; Gronroos, E.; et al. Replication stress links structural and numerical cancer chromosomal instability. Nature 2013, 494, 492–496. [Google Scholar] [CrossRef] [PubMed]
- Coschi, C.H.; Dick, F.A. Chromosome instability and deregulated proliferation: An unavoidable duo. Cell Mol. Life Sci. 2012, 69, 2009–2024. [Google Scholar] [CrossRef] [PubMed]
- Grady, W.M.; Carethers, J.M. Genomic and epigenetic instability in colorectal cancer pathogenesis. Gastroenterology 2008, 135, 1079–1099. [Google Scholar] [CrossRef] [PubMed]
- Yang, K.; Zhu, L.; Liu, C.; Zhou, D.; Zhu, Z.; Xu, N.; Li, W. Current status and prospect of the DNA double-strand break repair pathway in colorectal cancer development and treatment. Biochim. Biophys. Acta Mol. Basis Dis. 2024, 1870, 167438. [Google Scholar] [CrossRef]
- Xia, W.; Gao, Z.; Jiang, X.; Jiang, L.; Qin, Y.; Zhang, D.; Tian, P.; Wang, W.; Zhang, Q.; Zhang, R.; et al. Alzheimer’s risk factor FERMT2 promotes the progression of colorectal carcinoma via Wnt/β-catenin signaling pathway and contributes to the negative correlation between Alzheimer and cancer. PLoS ONE 2022, 17, e0278774. [Google Scholar] [CrossRef]
- Sinkala, M. Mutational landscape of cancer-driver genes across human cancers. Sci. Rep. 2023, 13, 12742. [Google Scholar] [CrossRef]
- Li, Y.; Zhang, Y.; Li, X.; Yi, S.; Xu, J. Gain-of-Function mutations: An emerging advantage for cancer biology. Trends Biochem. Sci. 2019, 44, 659–674. [Google Scholar] [CrossRef]
- Helmink, B.A.; Reddy, S.M.; Gao, J.; Zhang, S.; Basar, R.; Thakur, R.; Yizhak, K.; Sade-Feldman, M.; Blando, J.; Han, G.; et al. B cells and tertiary lymphoid structures promote immunotherapy response. Nature 2020, 577, 549–555. [Google Scholar] [CrossRef]
- Fridman, W.H.; Galon, J.; Dieu-Nosjean, M.-C.; Cremer, I.; Fisson, S.; Damotte, D.; Pagès, F.; Tartour, E.; Sautès-Fridman, C. Immune infiltration in human cancer: Prognostic significance and disease control. Curr. Top. Microbiol. Immunol. 2011, 344, 1–24. [Google Scholar]
- Pan, Y.; Yu, Y.; Wang, X.; Zhang, T. Tumor-associated macrophages in tumor immunity. Front. Immunol. 2020, 11, 583084. [Google Scholar] [CrossRef] [PubMed]
- Mills, C.D.; Kincaid, K.; Alt, J.M.; Heilman, M.J.; Hill, A.M. M-1/M-2 macrophages and the Th1/Th2 paradigm. J. Immunol. 2000, 164, 6166–6173. [Google Scholar] [CrossRef] [PubMed]
- Hou, S.; Zhao, Y.; Chen, J.; Lin, Y.; Qi, X. Tumor-associated macrophages in colorectal cancer metastasis: Molecular insights and translational perspectives. J. Transl. Med. 2024, 22, 62. [Google Scholar] [CrossRef]
- Liu, X.; Li, X.; Wei, H.; Liu, Y.; Li, N. Mast cells in colorectal cancer tumour progression, angiogenesis, and lymphangiogenesis. Front. Immunol. 2023, 14, 1209056. [Google Scholar] [CrossRef]
- Gulubova, M.V.; Ananiev, J.R.; Vlaykova, T.I.; Yovchev, Y.; Tsoneva, V.; Manolova, I.M. Role of dendritic cells in progression and clinical outcome of colon cancer. Int. J. Color. Dis. 2012, 27, 159–169. [Google Scholar] [CrossRef]
- Dadabayev, A.R.; Sandel, M.H.; Menon, A.G.; Morreau, H.; Melief, C.J.M.; Offringa, R.; van der Burg, S.H.; Rhijn, C.J.-V.; Ensink, N.G.; Tollenaar, R.A.; et al. Dendritic cells in colorectal cancer correlate with other tumor-infiltrating immune cells. Cancer Immunol. Immunother. 2004, 53, 978–986. [Google Scholar] [CrossRef] [PubMed]
- Pryczynicz, A.; Cepowicz, D.; Zaręba, K.; Gryko, M.; Hołody-Zaręba, J.; Kędra, B.; Kemona, A.; Guzińska-Ustymowicz, K. Dysfunctions in the mature dendritic cells are associated with the presence of metastases of colorectal cancer in the surrounding lymph nodes. Gastroenterol. Res. Pract. 2016, 2016, 2405437. [Google Scholar] [CrossRef]
- Saleh, R.; Elkord, E. FoxP3+ T regulatory cells in cancer: Prognostic biomarkers and therapeutic targets. Cancer Lett. 2020, 490, 174–185. [Google Scholar] [CrossRef]
- Hu, G.; Li, Z.; Wang, S. Tumor-infiltrating FoxP3+ Tregs predict favorable outcome in colorectal cancer patients: A meta-analysis. Oncotarget 2017, 8, 75361–75371. [Google Scholar] [CrossRef]
- Stein, U.; Walther, W.; Arlt, F.; Schwabe, H.; Smith, J.; Fichtner, I.; Birchmeier, W.; Schlag, P.M. MACC1, a newly identified key regulator of HGF-MET signaling, predicts colon cancer metastasis. Nat. Med. 2009, 15, 59–67. [Google Scholar] [CrossRef]
- Li, H.; Chen, Y.X.; Wen, J.G.; Zhou, H.H. Metastasis-associated in colon cancer 1: A promising biomarker for the metastasis and prognosis of colorectal cancer. Oncol. Lett. 2017, 14, 3899–3908. [Google Scholar] [CrossRef]
- Schöpe, P.C.; Torke, S.; Kobelt, D.; Kortüm, B.; Treese, C.; Dumbani, M.; Güllü, N.; Walther, W.; Stein, U. MACC1 revisited—An in-depth review of a master of metastasis. Biomark. Res. 2024, 12, 146. [Google Scholar] [CrossRef]
- Zhao, Y.; Dai, C.; Wang, M.; Kang, H.; Lin, S.; Yang, P.; Liu, X.; Liu, K.; Xu, P.; Zheng, Y.; et al. Clinicopathological and prognostic significance of metastasis-associated in colon cancer-1 (MACC1) overexpression in colorectal cancer: A meta-analysis. Oncotarget 2016, 7, 62966–62975. [Google Scholar] [CrossRef] [PubMed]
- Vuaroqueaux, V.; Musch, A.; Kobelt, D.; Risch, T.; Herrmann, P.; Burock, S.; Peille, A.-L.; Yaspo, M.-L.; Fiebig, H.-H.; Stein, U. Elevated MACC1 expression in colorectal cancer is driven by chromosomal instability and is associated with molecular subtype and worse patient survival. Cancers 2022, 14, 1749. [Google Scholar] [CrossRef]
- Takada, T.; Tsutsumi, S.; Takahashi, R.; Ohsone, K.; Tatsuki, H.; Suto, T.; Kato, T.; Fujii, T.; Yokobori, T.; Kuwano, H. KPNA2 over-expression is a potential marker of prognosis and therapeutic sensitivity in colorectal cancer patients. J. Surg. Oncol. 2016, 113, 213–217. [Google Scholar] [CrossRef]
- Yu, L.; Wang, G.; Zhang, Q.; Gao, L.; Huang, R.; Chen, Y.; Tang, Q.; Liu, J.; Liu, C.; Wang, H.; et al. Karyopherin alpha 2 expression is a novel diagnostic and prognostic factor for colorectal cancer. Oncol. Lett. 2017, 13, 1194–1200. [Google Scholar] [CrossRef]
- Liu, F.; Zhang, Y.; Dong, Y.; Ning, P.; Zhang, Y.; Sun, H.; Li, G. Knockdown of AURKA sensitizes the efficacy of radiation in human colorectal cancer. Life Sci. 2021, 271, 119148. [Google Scholar] [CrossRef] [PubMed]
- Jacobsen, A.; Bosch, L.J.W.; Kemp, S.R.M.-D.; Carvalho, B.; Sillars-Hardebol, A.H.; Dobson, R.J.; de Rinaldis, E.; Meijer, G.A.; Abeln, S.; Heringa, J.; et al. Aurora kinase A (AURKA) interaction with Wnt and Ras-MAPK signalling pathways in colorectal cancer. Sci. Rep. 2018, 8, 7522. [Google Scholar] [CrossRef]
- Rio-Vilariño, A.; Cenigaonandia-Campillo, A.; García-Bautista, A.; Mateos-Gómez, P.A.; Schlaepfer, M.I.; del Puerto-Nevado, L.; Aguilera, O.; García-García, L.; Galeano, C.; de Miguel, I.; et al. Inhibition of the AURKA/YAP1 axis is a promising therapeutic option for overcoming cetuximab resistance in colorectal cancer stem cells. Br. J. Cancer 2024, 130, 1402–1413. [Google Scholar] [CrossRef] [PubMed]
- Tang, Y.-P.; Yin, Y.-X.; Xie, M.-Z.; Liang, X.-Q.; Li, J.-L.; Li, K.-Z.; Hu, B.-L. Systematic analysis of the clinical significance of hyaluronan-mediated motility receptor in colorectal cancer. Front. Mol. Biosci. 2021, 8, 733271. [Google Scholar] [CrossRef]
- Chen, X.; Dai, Z.; Wang, Q.; Chen, W.; Liu, Y.; Wang, Z. NUDT21 functions as a pro-tumorigenic gene in colorectal cancer by upregulating the TAZ protein expression. Biocell 2025, 49, 503–518. [Google Scholar] [CrossRef]
- Laurent, E.; McCoy, J.W.; Macina, R.A.; Liu, W.; Cheng, G.; Robine, S.; Papkoff, J.; Lambeth, J.D. Nox1 is over-expressed in human colon cancers and correlates with activating mutations in K-Ras. Int. J. Cancer 2008, 123, 100–107. [Google Scholar] [CrossRef] [PubMed]
- Ohata, H.; Shiokawa, D.; Obata, Y.; Sato, A.; Sakai, H.; Fukami, M.; Hara, W.; Taniguchi, H.; Ono, M.; Nakagama, H.; et al. NOX1-dependent mTORC1 activation via S100A9 oxidation in cancer stem-like cells leads to colon cancer progression. Cell Rep. 2019, 28, 1282–1295.e8. [Google Scholar] [CrossRef]
- Juhasz, A.; Markel, S.; Gaur, S.; Liu, H.; Lu, J.; Jiang, G.; Wu, X.; Antony, S.; Wu, Y.; Melillo, G.; et al. NADPH oxidase 1 supports proliferation of colon cancer cells by modulating reactive oxygen species-dependent signal transduction. J. Biol. Chem. 2017, 292, 7866–7887. [Google Scholar] [CrossRef]
- Stalin, J.; Garrido-Urbani, S.; Heitz, F.; Szyndralewiez, C.; Jemelin, S.; Coquoz, O.; Ruegg, C.; Imhof, B.A. Inhibition of host NOX1 blocks tumor growth and enhances checkpoint inhibitor-based immunotherapy. Life Sci. Alliance 2019, 2, e201800265. [Google Scholar] [CrossRef]
- Wang, Y.; Tan, Y.; Zhang, T.; Wang, Z.; Gong, J.; Du, Z.; MeI, Y.; Ma, J. TRUB1 is a novel biomarker for promoting malignancy in colorectal cancer via NFκB signaling. Gastroenterol. Rep. 2025, 13, goaf027. [Google Scholar] [CrossRef]
- Tao, K.; Yang, J.; Hu, Y.; Deng, A. Knockdown of YEATS4 inhibits colorectal cancer cell proliferation and induces apoptosis. Am. J. Transl. Res. 2015, 7, 616–623. [Google Scholar] [PubMed]
- Fu, Q.; Cheng, J.; Zhang, J.; Zhang, Y.; Chen, X.; Xie, J.; Luo, S. Downregulation of YEATS4 by miR-218 sensitizes colorectal cancer cells to L-OHP-induced cell apoptosis by inhibiting cytoprotective autophagy. Oncol. Rep. 2016, 36, 3682–3690. [Google Scholar] [CrossRef] [PubMed]
- Branchi, V.; García, S.A.; Radhakrishnan, P.; Győrffy, B.; Hissa, B.; Schneider, M.; Reißfelder, C.; Schölch, S. Prognostic value of DLGAP5 in colorectal cancer. Int. J. Color. Dis. 2019, 34, 1455–1465. [Google Scholar] [CrossRef]
- Lee, D.H.; Jeong, Y.J.; Won, J.Y.; Sim, H.I.; Park, Y.; Jin, H.S. PBK/TOPK is a favorable prognostic biomarker correlated with antitumor immunity in colon cancers. Biomedicines 2022, 10, 299. [Google Scholar] [CrossRef]
- Koshino, A.; Nagano, A.; Ota, A.; Hyodo, T.; Ueki, A.; Komura, M.; Sugimura-Nagata, A.; Ebi, M.; Ogasawara, N.; Kasai, K.; et al. PBK enhances cellular proliferation with histone H3 phosphorylation and suppresses migration and invasion with CDH1 stabilization in colorectal cancer. Front. Pharmacol. 2022, 12, 772926. [Google Scholar] [CrossRef]
- Li, Y.; Gao, W.; Yang, Z.; Hu, Z.; Li, J. Multi-omics pan-cancer analyses identify MCM4 as a promising prognostic and diagnostic biomarker. Sci. Rep. 2024, 14, 6517. [Google Scholar] [CrossRef]
- Ye, F.; Xie, Y.; Lin, M.; Liu, Y.; Fang, Y.; Chen, K.; Zhang, Y.; Ding, Y. KIAA1549 promotes the development and chemoresistance of colorectal cancer by upregulating ERCC2. Mol. Cell Biochem. 2024, 479, 629–642. [Google Scholar] [CrossRef] [PubMed]
- Shi, Y.; Ge, C.; Fang, D.; Wei, W.; Li, L.; Wei, Q.; Yu, H. NCAPG facilitates colorectal cancer cell proliferation, migration, invasion and epithelial-mesenchymal transition by activating the Wnt/β-catenin signaling pathway. Cancer Cell Int. 2022, 22, 119. [Google Scholar] [CrossRef] [PubMed]
- Yang, H.; Pu, L.; Li, R.; Zhu, R. NCAPG is transcriptionally regulated by CBX3 and activates the Wnt/β-catenin signaling pathway to promote proliferation and the cell cycle and inhibit apoptosis in colorectal cancer. J. Gastrointest. Oncol. 2023, 14, 900–912. [Google Scholar] [CrossRef] [PubMed]
- Sun, D.P.; Wu, C.C.; Chou, C.L.; Cheng, L.C.; Wang, W.C.; Lin, S.S.; Hung, S.T.; Tian, Y.F.; Fang, C.L.; Lin, K.Y. NCAPG deregulation indicates poor patient survival and contributes to colorectal carcinogenesis. Pathol. Res. Pract. 2023, 241, 154238. [Google Scholar] [CrossRef]
- Fang, Q.; Lin, J.; Gao, L.; Pan, R.; Zheng, X. Targeting mitochondrial tyrosyl-tRNA synthetase YARS2 suppresses colorectal cancer progression. Cancer Biol. Ther. 2022, 23, 1–8. [Google Scholar] [CrossRef]
- Zhang, Z.; Zhang, X. Identification of m6A-related biomarkers associated with prognosis of colorectal cancer. Med. Sci. Monit. 2021, 27, e932370. [Google Scholar] [CrossRef]
- Tang, X.; Zha, L.; Li, H.; Liao, G.; Huang, Z.; Peng, X.; Wang, Z. Upregulation of GNL3 expression promotes colon cancer cell proliferation, migration, invasion and epithelial-mesenchymal transition via the Wnt/β-catenin signaling pathway. Oncol. Rep. 2017, 38, 2023–2032. [Google Scholar] [CrossRef]
- Shi, D.; Wang, J.; Deng, Q.; Kong, X.; Dong, Y.; Yang, Y.; Xu, Y.; Ling, L.; Jiao, Y.; Yu, S. KIF15 knockdown inhibits colorectal cancer proliferation and migration through affecting the ubiquitination modification of NRAS. Am. J. Cancer Res. 2023, 13, 4944–4960. [Google Scholar]
- Liao, Q.; Ren, Y.; Yang, Y.; Zhu, X.; Zhi, Y.; Zhang, Y.; Chen, Y.; Ding, Y.; Zhao, L. CCT8 recovers WTp53-suppressed cell cycle evolution and EMT to promote colorectal cancer progression. Oncogenesis 2021, 10, 84. [Google Scholar] [CrossRef]
- Teng, Y.; Lin, H.; Lin, Z.; Li, X.; Ruan, Y.; Pan, B.; Ge, J.; Zhu, Y.; Lin, D.; Ying, Q.; et al. CCT8 drives colorectal cancer progression via the RPL4-MDM2-p53 axis and immune modulation. BMC Med. Genom. 2025, 18, 77. [Google Scholar] [CrossRef] [PubMed]
- Park, S.H.; Lee, A.R.; Choi, K.; Joung, S.; Yoon, J.B.; Kim, S. TOMM20 as a potential therapeutic target of colorectal cancer. BMB Rep. 2019, 52, 712–717. [Google Scholar] [CrossRef]
- Bradley, C.A.; Dunne, P.D.; Bingham, V.; McQuaid, S.; Khawaja, H.; Craig, S.; James, J.; Moore, W.L.; McArt, D.G.; Lawler, M.; et al. Transcriptional upregulation of c-MET is associated with invasion and tumor budding in colorectal cancer. Oncotarget 2016, 7, 78932–78945. [Google Scholar] [CrossRef]
- Lee, S.J.; Lee, J.; Park, S.H.; Park, J.O.; Lim, H.Y.; Kang, W.K.; Park, Y.S.; Kim, S.T. c-MET overexpression in colorectal cancer: A poor prognostic factor for survival. Clin. Color. Cancer 2018, 17, 165–169. [Google Scholar] [CrossRef]
- Esteller, M. Epigenetics in cancer. N. Engl. J. Med. 2008, 358, 1148–1159. [Google Scholar] [CrossRef]
- Jones, P.A.; Baylin, S.B. The epigenomics of cancer. Cell 2007, 128, 683–692. [Google Scholar] [CrossRef]
- Brait, M.; Ling, S.; Nagpal, J.K.; Chang, X.; Park, H.L.; Lee, J.; Okamura, J.; Yamashita, K.; Sidransky, D.; Kim, M.S. Cysteine dioxygenase 1 is a tumor suppressor gene silenced by promoter methylation in multiple human cancers. PLoS ONE 2012, 7, e44951. [Google Scholar] [CrossRef] [PubMed]
- A Greco, S.; Chia, J.; Inglis, K.J.; Cozzi, S.-J.; Ramsnes, I.; Buttenshaw, R.L.; Spring, K.J.; Boyle, G.M.; Worthley, D.L.; A Leggett, B.; et al. Thrombospondin-4 is a putative tumour-suppressor gene in colorectal cancer that exhibits age-related methylation. BMC Cancer 2010, 10, 494. [Google Scholar] [CrossRef]
- Zhang, K.; Zhai, Z.; Yu, S.; Tao, Y. DNA methylation mediated down-regulation of ANGPTL4 promotes colorectal cancer metastasis by activating the ERK pathway. J. Cancer 2021, 12, 5473–5485. [Google Scholar] [CrossRef] [PubMed]
- Boughanem, H.; Pilo, J.; García-Flores, L.A.; Arranz, I.; Ramos-Fernandez, M.; Ortega-Castan, M.; Crujeiras, A.B.; Sandoval, J.; Macias-Gonzalez, M. Identification of epigenetic silencing of the SFRP2 gene in colorectal cancer as a clinical biomarker and molecular significance. J. Transl. Med. 2024, 22, 509. [Google Scholar] [CrossRef] [PubMed]
- Yin, J.; Park, G.; Lee, J.E.; Park, J.Y.; Kim, T.-H.; Kim, Y.-J.; Lee, S.-H.; Yoo, H.; Kim, J.H.; Park, J.B. CPEB1 modulates differentiation of glioma stem cells via downregulation of HES1 and SIRT1 expression. Oncotarget 2014, 5, 6756–6769. [Google Scholar] [CrossRef] [PubMed]
- Ghafouri-Fard, S.; Hussen, B.M.; Abdullah, S.R.; Dadyar, M.; Taheri, M.; Kiani, A. A review on the role of HAND2-AS1 in cancer. Clin. Exp. Med. 2023, 23, 3179–3188. [Google Scholar] [CrossRef] [PubMed]
- Okochi-Takada, E.; Hattori, N.; Tsukamoto, T.; Miyamoto, K.; Ando, T.; Ito, S.; Yamamura, Y.; Wakabayashi, M.; Nobeyama, Y.; Ushijima, T. ANGPTL4 is a secreted tumor suppressor that inhibits angiogenesis. Oncogene 2014, 33, 2273–2278. [Google Scholar] [CrossRef]
- Ehrlich, M. DNA hypomethylation in cancer cells. Epigenomics 2009, 1, 239–359. [Google Scholar] [CrossRef]
- Xu, Y.; Qu, H.; Liang, R.; Li, M.; Li, M.; Li, X.; Wang, Z. A multi-gene blood-based methylation assay for early diagnosis of colorectal cancer. Transl. Cancer Res. 2024, 13, 6699–6708. [Google Scholar] [CrossRef]
- Hasakova, K.; Reis, R.; Vician, M.; Zeman, M.; Herichova, I. Expression of miR-34a-5p is up-regulated in human colorectal cancer and correlates with survival and clock gene PER2 expression. PLoS ONE 2019, 14, e0224396. [Google Scholar] [CrossRef]
- Chacon-Millan, P.; Lama, S.; Del Gaudio, N.; Gravina, A.G.; Federico, A.; Pellegrino, R.; Luce, A.; Altucci, L.; Facchiano, A.; Caraglia, M.; et al. A combination of microarray-based profiling and biocomputational analysis identified miR331-3p and hsa-let-7d-5p as potential biomarkers of ulcerative colitis progression to colorectal cancer. Int. J. Mol. Sci. 2024, 25, 5699. [Google Scholar] [CrossRef]
- Yu, F.B.; Sheng, J.; Yu, J.M.; Liu, J.H.; Qin, X.X.; Mou, B. MiR-19a-3p regulates the Forkhead box F2-mediated Wnt/β-catenin signaling pathway and affects the biological functions of colorectal cancer cells. World J. Gastroenterol. 2020, 26, 627–644. [Google Scholar] [CrossRef]
- Zhang, Z.; Zhu, X. MiR-103a-3p contributes to the progression of colorectal cancer by regulating GREM2 expression. Yonsei Med. J. 2022, 63, 520–529. [Google Scholar] [CrossRef]
- Zhang, J.; Sun, J.; Liu, J.; Gu, D.; Shi, X. Correlation between microRNA-107 expression level and prognosis in patients with colorectal cancer. Int. J. Clin. Exp. Pathol. 2020, 13, 2342–2347. [Google Scholar]
- Yu, W.; Wang, J.; Li, C.; Xuan, M.; Han, S.; Zhang, Y.; Liu, P.; Zhao, Z. miR-17-5p promotes the invasion and migration of colorectal cancer by regulating HSPB2. J. Cancer 2022, 13, 918–931. [Google Scholar] [CrossRef]
- Su, C.; Huang, D.P.; Liu, J.W.; Liu, W.Y.; Cao, Y.O. miR-27a-3p regulates proliferation and apoptosis of colon cancer cells by potentially targeting BTG1. Oncol. Lett. 2019, 18, 2825–2834. [Google Scholar] [CrossRef] [PubMed]
- Ghanbari, R.; Mosakhani, N.; Sarhadi, V.K.; Armengol, G.; Nouraee, N.; Mohammadkhani, A.; Khorrami, S.; Arefian, E.; Paryan, M.; Malekzadeh, R.; et al. Simultaneous underexpression of let-7a-5p and let-7f-5p microRNAs in plasma and stool samples from early stage colorectal carcinoma. Biomark. Cancer 2016, 7, 39–48. [Google Scholar] [CrossRef]
- Niculae, A.M.; Dobre, M.; Herlea, V.; Manuc, T.E.; Trandafir, B.; Milanesi, E.; Hinescu, M.E. Let-7 microRNAs are possibly associated with perineural invasion in colorectal cancer by targeting IGF axis. Life 2022, 12, 1638. [Google Scholar] [CrossRef]
- Li, Z.; Zhu, Z.; Wang, Y.; Wang, Y.; Li, W.; Wang, Z.; Zhou, X.; Bao, Y. hsa-miR-15a-5p inhibits colon cell carcinoma via targeting CCND1. Mol. Med. Rep. 2021, 24, 735. [Google Scholar] [CrossRef]
- Shang, Y.; Wang, L.; Zhu, Z.; Gao, W.; Li, D.; Zhou, Z.; Chen, L.; Fu, C.-G. Downregulation of miR-423-5p contributes to the radioresistance in colorectal cancer cells. Front. Oncol. 2021, 10, 582239. [Google Scholar] [CrossRef]
- Ghanbari, R.; Mosakhani, N.; Asadi, J.; Nouraee, N.; Mowla, S.J.; Yazdani, Y.; Mohamadkhani, A.; Poustchi, H.; Knuutila, S.; Malekzadeh, R. Downregulation of Plasma MiR-142-3p and MiR-26a-5p in patients with colorectal carcinoma. Iran. J. Cancer Prev. 2015, 8, e2329. [Google Scholar] [CrossRef] [PubMed]
- Song, M.; Yin, Y.; Zhang, J.; Zhang, B.; Bian, Z.; Quan, C.; Zhou, L.; Hu, Y.; Wang, Q.; Ni, S.; et al. MiR-139-5p inhibits migration and invasion of colorectal cancer by downregulating AMFR and NOTCH1. Protein Cell 2014, 5, 851–861. [Google Scholar] [CrossRef] [PubMed]
- Gharib, E.; Rejali, L.; Piroozkhah, M.; Zonoobi, E.; Nasrabadi, P.N.; Arabsorkhi, Z.; Baghdar, K.; Shams, E.; Sadeghi, A.; Kuppen, P.J.K.; et al. IL-2RG as a possible immunotherapeutic target in CRC predicting poor prognosis and regulated by miR-7-5p and miR-26b-5p. J. Transl. Med. 2024, 22, 439. [Google Scholar] [CrossRef]
- Gao, J.; Li, N.; Dong, Y.; Li, S.; Xu, L.; Li, X.; Li, Y.; Li, Z.; Ng, S.S.; Sung, J.J.; et al. miR-34a-5p suppresses colorectal cancer metastasis and predicts recurrence in patients with stage II/III colorectal cancer. Oncogene 2015, 34, 4142–4152. [Google Scholar] [CrossRef]
- Huang, L.; Cai, J.L.; Huang, P.Z.; Kang, L.; Huang, M.J.; Wang, L.; Wang, J.P. miR19b-3p promotes the growth and metastasis of colorectal cancer via directly targeting ITGB8. Am. J. Cancer Res. 2017, 7, 1996–2008. [Google Scholar]
- Xin, H.; Wang, C.; Liu, Z. miR-196a-5p promotes metastasis of colorectal cancer via targeting IκBα. BMC Cancer 2019, 19, 30. [Google Scholar] [CrossRef] [PubMed]
- Huang, X.; Xu, X.; Ke, H.; Pan, X.; Ai, J.; Xie, R.; Lan, G.; Hu, Y.; Wu, Y. microRNA-16-5p suppresses cell proliferation and angiogenesis in colorectal cancer by negatively regulating forkhead box K1 to block the PI3K/Akt/mTOR pathway. Eur. J. Histochem. 2022, 66, 3333. [Google Scholar] [CrossRef]
- Chen, J.; Gong, C.; Mao, H.; Li, Z.; Fang, Z.; Chen, Q.; Lin, M.; Jiang, X.; Hu, Y.; Wang, W.; et al. E2F1/SP3/STAT6 axis is required for IL-4-induced epithelial-mesenchymal transition of colorectal cancer cells. Int. J. Oncol. 2018, 53, 567–578. [Google Scholar] [CrossRef]
- Bajpai, R.; Nagaraju, G.P. Specificity protein 1: Its role in colorectal cancer progression and metastasis. Crit. Rev. Oncol. Hematol. 2017, 113, 1–7. [Google Scholar] [CrossRef]
- Liebl, M.C.; Hofmann, T.G. The role of p53 signaling in colorectal cancer. Cancers 2021, 13, 2125. [Google Scholar] [CrossRef]
- Wajapeyee, N.; Somasundaram, K. Cell cycle arrest and apoptosis induction by activator protein 2alpha (AP-2alpha) and the role of p53 and p21WAF1/CIP1 in AP-2alpha-mediated growth inhibition. J. Biol. Chem. 2003, 278, 52093–52101. [Google Scholar] [CrossRef]
- McPherson, L.A.; Loktev, A.V.; Weigel, R.J. Tumor suppressor activity of AP2alpha mediated through a direct interaction with p53. J. Biol. Chem. 2002, 277, 45028–45033. [Google Scholar] [CrossRef] [PubMed]
- Xu, Z.; Qu, H.; Ren, Y.; Gong, Z.; Ri, H.J.; Zhang, F.; Shao, S.; Chen, X.; Chen, X. Systematic analysis of E2F expression and its relation in colorectal cancer prognosis. Int. J. Gen. Med. 2022, 15, 4849–4870. [Google Scholar] [CrossRef] [PubMed]
- Patten, L.C.; Belaguli, N.S.; Baek, M.J.; Fagan, S.P.; Awad, S.S.; Berger, D.H. Serum response factor is alternatively spliced in human colon cancer. J. Surg. Res. 2004, 121, 92–100. [Google Scholar] [CrossRef]
- Choi, H.N.; Kim, K.R.; Lee, J.H.; Park, H.S.; Jang, K.Y.; Chung, M.J.; Hwang, S.E.; Yu, H.C.; Moon, W.S. Serum response factor enhances liver metastasis of colorectal carcinoma via alteration of the E-cadherin/beta-catenin complex. Oncol. Rep. 2009, 21, 57–63. [Google Scholar] [PubMed]
- Williams, M.D.; Zhang, X.; Belton, A.S.; Xian, L.; Huso, T.; Park, J.-J.; Siems, W.F.; Gang, D.R.; Resar, L.M.S.; Reeves, R.; et al. HMGA1 drives metabolic reprogramming of intestinal epithelium during hyperproliferation, polyposis, and colorectal carcinogenesis. J. Proteome Res. 2015, 14, 1420–1431. [Google Scholar] [CrossRef] [PubMed]
- Wu, J.; Wang, M.; Zhang, Y.; Liu, G.; Xing, Y. Activation of CHPF by transcription factor NFIC promotes NLRP3 activation during the progression of colorectal cancer. Funct. Integr. Genom. 2024, 24, 20. [Google Scholar] [CrossRef] [PubMed]
- Zhong, Z.; Cheng, S.; Liu, Y. CKAP2 regulated by TFDP1 promotes metastasis and proliferation of colorectal cancer through affecting the tumor microenvironment. J. Microbiol. Biotechnol. 2024, 34, 2211–2222. [Google Scholar] [CrossRef]
- Yan, X.; Yan, L.; Zhou, J.; Liu, S.; Shan, Z.; Jiang, C.; Tian, Y.; Jin, Z. High expression of Y-box-binding protein 1 is associated with local recurrence and predicts poor outcome in patients with colorectal cancer. Int. J. Clin. Exp. Pathol. 2014, 7, 8715–8723. [Google Scholar]







| GEO Accession | Normal Samples | CRC Samples | Total | Platform |
|---|---|---|---|---|
| GSE4107 | 07 | 08 | 15 | GPL570 Affymetrix Human Genome U133 Plus 2.0 Array [HG-U133_Plus_2] |
| GSE32323 | 15 | 16 | 31 | |
| GSE21510 | 44 | 104 | 148 | |
| GSE24514 | 14 | 30 | 44 | GPL96 Affymetrix Human Genome U133A Array [HG-U133A] |
| Total | 80 | 158 | 238 |
| GEO Accession | Upregulated Genes | Downregulated Genes | Total |
|---|---|---|---|
| GSE4107 | 1657 | 484 | 2141 |
| GSE32323 | 1036 | 1077 | 2113 |
| GSE21510 | 1744 | 1041 | 2785 |
| GSE24514 | 500 | 395 | 895 |
| Category | Genes |
|---|---|
| Poor Prognosis | SFRP2, CRYAB, AHNAK2, TPM2, SCG2, CDH2, CPEB1, CAVIN1, PCBP3, PYGM, ENO2, TAGLN, CHRDL2, TMEM47, PDLIM7, FABP4, PTPRZ1, ECRG4, TNS1, MYL9, CDO1, FILIP1, DNAJB5, AEBP1, NMRAL2P, RBPMS2, SNAP91, MGP, CAMTA2, HDGFL3, KATNAL1, PTGIS, HAND2-AS1, LCAT, THBS4, ARHGAP1, CHRNA3, HSPB7, THBS2, ITGA5, SLC25A25-AS1, TIGD1, CASQ2, HSPB8, ASPN, FAM229B, MACC1, SLC2A3, FGF13, HCFC2, TUBB6, DZIP1, GUCY1B1, PLN, AOC3, FXYD5, MICALL2, TTC7B, ANGPTL1, FERMT2, FEZ1, KCNMB1, RHOQ, CNN1, FLNA, SV2B, CARMN |
| Favorable Prognosis | ZSCAN16, DDX20, SUZ12, RRM1, ZFP30, KPNA2, CCNA2, ZNRF3, AURKA, B3GNT6, DHX40, HMMR, TESC, LETM1, NUDT21, NOX1, TRUB1, SHPRH, TIMELESS, ZWILCH, YEATS4, DCTN4, DLGAP5, PBK, ZG16, SHROOM4, FANCF, NPY6R, AQP8, SMG8, CIBAR1, MCM4, KIAA1549, TIGD2, DIMT1, NCAPG, TRMT61B, GMPS, DHFR, COIL, YARS2, ZNF146, ZNF443, CDC23, CENPE, HMGCS2, NMT1, MUC2, GNL3, MEP1B, CNTN3, KIF15, CCT8, ETNK1, PGD, CWH43, TOMM20, FUBP1, BOD1, ZNF420, MET |
Disclaimer/Publisher’s Note: The statements, opinions and data contained in all publications are solely those of the individual author(s) and contributor(s) and not of MDPI and/or the editor(s). MDPI and/or the editor(s) disclaim responsibility for any injury to people or property resulting from any ideas, methods, instructions or products referred to in the content. |
© 2025 by the authors. Licensee MDPI, Basel, Switzerland. This article is an open access article distributed under the terms and conditions of the Creative Commons Attribution (CC BY) license (https://creativecommons.org/licenses/by/4.0/).
Share and Cite
Lal, D.; Pandey, H. Integrated Multi-Omics Analysis Identifies Novel Prognostic and Diagnostic Hub Genes in Colorectal Cancer. Onco 2025, 5, 50. https://doi.org/10.3390/onco5040050
Lal D, Pandey H. Integrated Multi-Omics Analysis Identifies Novel Prognostic and Diagnostic Hub Genes in Colorectal Cancer. Onco. 2025; 5(4):50. https://doi.org/10.3390/onco5040050
Chicago/Turabian StyleLal, Devi, and Himani Pandey. 2025. "Integrated Multi-Omics Analysis Identifies Novel Prognostic and Diagnostic Hub Genes in Colorectal Cancer" Onco 5, no. 4: 50. https://doi.org/10.3390/onco5040050
APA StyleLal, D., & Pandey, H. (2025). Integrated Multi-Omics Analysis Identifies Novel Prognostic and Diagnostic Hub Genes in Colorectal Cancer. Onco, 5(4), 50. https://doi.org/10.3390/onco5040050

