Next Issue
Volume 6, March
Previous Issue
Volume 5, September
 
 

Photochem, Volume 5, Issue 4 (December 2025) – 13 articles

Cover Story (view full-size image): Several [2+2]-photocycloadditions of 2-acetoxy-1,4-naphthoquinone were conducted under batch and continuous-flow conditions. Irradiations with alkenes selectively produced the corresponding anti and head-to-head cycloadducts. In contrast, photoaddition with diphenylacetylene yielded the corresponding cyclobutene and benzoanthracenone derivatives. The crystal structures of all main photoproducts were successfully determined. View this paper
  • Issues are regarded as officially published after their release is announced to the table of contents alert mailing list.
  • You may sign up for e-mail alerts to receive table of contents of newly released issues.
  • PDF is the official format for papers published in both, html and pdf forms. To view the papers in pdf format, click on the "PDF Full-text" link, and use the free Adobe Reader to open them.
Order results
Result details
Select all
Export citation of selected articles as:
22 pages, 4438 KB  
Article
Gold Nanoparticle-Mediated Delivery of Methylene Blue and INF: A Dual-Action Strategy Against Bacterial Resistance
by Begench Gurbandurdyyev, Berdimyrat Annamuradov, Justice ben Yosef, Yaran Allamyradov, Brayden Gross and Ali Oguz Er
Photochem 2025, 5(4), 40; https://doi.org/10.3390/photochem5040040 - 8 Dec 2025
Cited by 1 | Viewed by 1212
Abstract
Gold nanoparticles (AuNPs) synthesized via picosecond pulsed laser ablation were investigated as enhancers of methylene blue (MB)-mediated photodynamic therapy (PDT) against Escherichia coli. AuNPs produced at 532 and 1064 nm with frequencies of 20–50 kHz showed frequency- and size-dependent effects, with 50 kHz [...] Read more.
Gold nanoparticles (AuNPs) synthesized via picosecond pulsed laser ablation were investigated as enhancers of methylene blue (MB)-mediated photodynamic therapy (PDT) against Escherichia coli. AuNPs produced at 532 and 1064 nm with frequencies of 20–50 kHz showed frequency- and size-dependent effects, with 50 kHz yielding the highest particle concentrations and smaller particles enhancing reactive oxygen species (ROS) generation. UV-Vis and fluorescence spectroscopy confirmed nanoparticle formation and plasmonic properties consistent with TEM measurements. Photobleaching assays demonstrated that AuNPs significantly increased MB singlet oxygen generation, while the efflux pump inhibitor INF-55 further amplified bacterial killing without altering net ROS yield. In vitro assays revealed that INF-55 combined with MB/AuNPs achieved ~59% higher bacterial deactivation compared to MB/AuNPs alone. Molecular docking confirmed stronger binding of INF-55 to the AcrB efflux pump (−9.1 kcal/mol) than MB, supporting its role as a competitive inhibitor that promotes intracellular MB retention. These findings establish a dual-action PDT strategy in which AuNPs enhance ROS production and INF-55 augments antibacterial efficacy via efflux pump inhibition. Together, this platform provides a proof of concept for future translation to biofilm- and tissue-based infection models, and potentially to localized clinical applications such as prosthetic joint, catheter-associated, or chronic wound infections where conventional sterilization or systemic antibiotics are insufficient. Full article
(This article belongs to the Special Issue Feature Papers in Photochemistry, 3rd Edition)
Show Figures

Figure 1

21 pages, 13065 KB  
Review
Application of Photochemistry in Natural Product Synthesis: A Sustainable Frontier
by Shipra Gupta
Photochem 2025, 5(4), 39; https://doi.org/10.3390/photochem5040039 - 5 Dec 2025
Viewed by 1526
Abstract
Natural Product Synthesis (NPS) is a cornerstone of organic chemistry, historically rooted in the dual goals of structure elucidation and synthetic strategy development for bioactive compounds. Initially focused on identifying the structures of medicinally relevant natural products, NPS has evolved into a dynamic [...] Read more.
Natural Product Synthesis (NPS) is a cornerstone of organic chemistry, historically rooted in the dual goals of structure elucidation and synthetic strategy development for bioactive compounds. Initially focused on identifying the structures of medicinally relevant natural products, NPS has evolved into a dynamic field with applications in drug discovery, immunotherapy, and smart materials. This evolution has been propelled by advances in reaction design, mechanistic insight, and the integration of green chemistry principles. A particularly promising development in NPS is the use of photochemistry, which harnesses light—a renewable energy source—to drive chemical transformations. Photochemical reactions offer unique excited-state reactivity, enabling synthetic pathways that are often inaccessible through thermal methods. Their precision and sustainability make them ideal for modern synthetic challenges. This review explores a wide range of photochemical reactions, from classical to contemporary, emphasizing their role in total synthesis. By showcasing their potential, the review aims to encourage broader adoption of photochemical strategies in the synthesis of complex natural products, promoting innovation at the intersection of molecular complexity, sustainability, and synthetic efficiency. Full article
(This article belongs to the Special Issue Feature Review Papers in Photochemistry)
Show Figures

Graphical abstract

16 pages, 11146 KB  
Article
Preparation and Study of Bright Orange-Yellow Long Persistent Luminescent Ca2LuScGa2Ge2O12:Pr3+ Phosphor
by Xiaoman Shi, Huimin Li, Ruiping Deng, Su Zhang and Hongjie Zhang
Photochem 2025, 5(4), 38; https://doi.org/10.3390/photochem5040038 - 18 Nov 2025
Viewed by 832
Abstract
Long persistent phosphors are widely used in many fields, such as LED, bioimaging, urgent lighting, temperature sensors, etc. Although green and blue long persistent phosphors are well developed, efficient orange-yellow long persistent phosphors are still relatively rare. In this work, a novel orange-yellow [...] Read more.
Long persistent phosphors are widely used in many fields, such as LED, bioimaging, urgent lighting, temperature sensors, etc. Although green and blue long persistent phosphors are well developed, efficient orange-yellow long persistent phosphors are still relatively rare. In this work, a novel orange-yellow long-persistent phosphors Ca2LuScGa2Ge2O12:xPr3+ (CLSGGO:xPr3+, x = 0.003, 0.005, 0.01, 0.02, 0.03, 0.04, 0.05) are prepared and systematically investigated through its crystal structural information, photoluminescence, and persistent luminescence properties. Under ultraviolet light excitation, these phosphors exhibit orange-yellow emission stemming from the 3P0 and 1D2 multiple electron transitions in the 4f level of Pr3+ ion. In addition, the material exhibits bright persistent luminescence. The complex garnet matrix structure of Ca2LuScGa2Ge2O12 provides excellent conditions for the formation of traps. Through the testing of thermoluminescence curve and function fitting, the density and depth of traps are studied; also, the storage and release process of carriers in the material are calculated in detail. A reasonable persistent luminescence mechanism is proposed for CLSGGO:0.01Pr3+. This work enriches the research content of photoluminescence and long persistent luminescence of Pr3+-doped garnet-based phosphors and paves the way for the future research of long persistent luminescent materials doped with rare earth ions. Full article
Show Figures

Figure 1

10 pages, 2202 KB  
Article
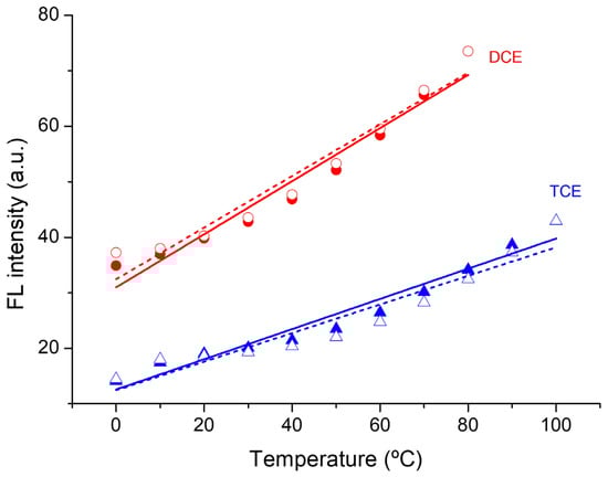
Fluorescence Behavior of Fluorenone Derivative in Chlorinated Hydrocarbons: Verification of Solvent Proticity via Fluorescence Spectroscopy
by Jineun Lee, Toshikazu Sakaguchi and Giseop Kwak
Photochem 2025, 5(4), 37; https://doi.org/10.3390/photochem5040037 - 3 Nov 2025
Viewed by 1081
Abstract
In this study, the fluorescence (FL) behavior of a fluorenone derivative (FDMFA) in four chlorinated hydrocarbon solvents was investigated. While all four solvents have low polarities, their proticities are considerably different. Therefore, the FL properties of FDMFA could be considered to depend solely [...] Read more.
In this study, the fluorescence (FL) behavior of a fluorenone derivative (FDMFA) in four chlorinated hydrocarbon solvents was investigated. While all four solvents have low polarities, their proticities are considerably different. Therefore, the FL properties of FDMFA could be considered to depend solely on the solvent’s proticity, with any polarity effects being insignificant. The hydrogen bond donor acidity was used as a measure of proticity, with higher values representing greater FL quenching due to vibronic coupling. The hydrogen bonding between FDMFA and the solvents could be thermodynamically controlled; thus, the FL emission was substantially enhanced during the heating process and quenched again during the cooling process. This change occurred reversibly and repeatedly. Because chlorinated hydrocarbon solvents are widely used for reaction and cleaning purposes in industrial applications, the findings of this study will be helpful in ensuring that such solvents are appropriately handled. Full article
Show Figures

Figure 1

10 pages, 2775 KB  
Article
Distinct Piezochromic Properties of Cyanostilbene- and Cyanostyrene-Based Donor–Acceptor–Donor- and Donor–Acceptor-Structured Organic Luminogens
by Ziyang Wang, Miao Yang, Yuxi Chen, Xinyue Yang, Bowen Xie, Xiaoke Duan, Haoyue Shen and Chengyuan Wang
Photochem 2025, 5(4), 36; https://doi.org/10.3390/photochem5040036 - 3 Nov 2025
Viewed by 753
Abstract
Organic luminogens (OLs) with piezochromic (PC) properties have attracted significant attention for their varied applications in chemical sensors, organic optoelectronic devices, biological imaging, etc. In this work, we designed and synthesized three donor–acceptor–donor- or donor–acceptor-structured OLs with different donor or acceptor moieties. Their [...] Read more.
Organic luminogens (OLs) with piezochromic (PC) properties have attracted significant attention for their varied applications in chemical sensors, organic optoelectronic devices, biological imaging, etc. In this work, we designed and synthesized three donor–acceptor–donor- or donor–acceptor-structured OLs with different donor or acceptor moieties. Their photophysical properties in both dilute solution and aggregated states were studied through various spectroscopic analytical methods, and their PC properties were investigated under mechanical grinding (MG) conditions. The OLs containing cyanostilbene moiety exhibited a photoemission shift up to ~45 nm after simple grinding, while that was only ~10 nm for cyanostyrene-containing OL. Combined with the powder X-ray diffraction analysis, the incorporation of the cyanostilbene moiety is inferred to play an important role in inducing the apparent PC properties. Our study not only reports novel OLs with good PC properties, but also discusses the structure–property relationships in order to provide guidance for future rational design and the development of novel PC materials. Full article
(This article belongs to the Special Issue Photochemistry Directed Applications of Organic Fluorescent Materials)
Show Figures

Graphical abstract

21 pages, 895 KB  
Review
Hybrid Biocatalysis with Photoelectrocatalysis for Renewable Furan Derivatives’ Valorization: A Review
by Shize Zheng, Xiangshi Liu, Bingqian Guo, Yanou Qi, Xifeng Lv, Bin Wang and Di Cai
Photochem 2025, 5(4), 35; https://doi.org/10.3390/photochem5040035 - 1 Nov 2025
Viewed by 1272
Abstract
Biocatalysis is fundamental to biological processes and sustainable chemical productions. Over time, the biocatalysis strategy has been widely researched. Initially, biomanufacturing and catalysis of high-value chemicals were carried out through direct immobilization and application of biocatalysts, including natural enzymes and living cells. With [...] Read more.
Biocatalysis is fundamental to biological processes and sustainable chemical productions. Over time, the biocatalysis strategy has been widely researched. Initially, biomanufacturing and catalysis of high-value chemicals were carried out through direct immobilization and application of biocatalysts, including natural enzymes and living cells. With the evolution of green chemistry and environmental concern, hybrid photoelectro-biocatalysis (HPEB) platforms are seen as a new approach to enhance biocatalysis. This strategy greatly expands the domain of natural biocatalysis, especially for bio-based components. The selective valorization of renewable furan derivatives, such as 5-hydroxymethylfurfural (HMF) and furfural, is central to advancing biomass-based chemical production. Biocatalysis offers high chemo-, regio-, and stereo-selectivity under mild conditions compared with traditional chemical catalysis, yet it is often constrained by the costly and inefficient regeneration of redox cofactors like NAD(P)H. Photoelectrocatalysis provides a sustainable means to supply reducing equivalents using solar or electrical energy. In recent years, hybrid systems that integrate biocatalysis with photoelectrocatalysis have emerged as a promising strategy to overcome this limitation. This review focuses on recent advances in such systems, where photoelectrochemical platforms enable in situ cofactor regeneration to drive enzymatic transformations of furan-based substrates. We critically analyze representative coupling strategies, materials and device configurations, and reaction engineering approaches. Finally, we outline future directions for developing efficient, robust, and industrially viable hybrid catalytic platforms for green biomass valorization. Full article
(This article belongs to the Special Issue Feature Review Papers in Photochemistry)
Show Figures

Figure 1

26 pages, 1521 KB  
Review
Mechanical Characterization of Natural Polymers Using Brillouin Spectroscopy: A Comprehensive Review
by José A. Rodrigues, Bruno Esteves, Patrícia Costa and José H. Correia
Photochem 2025, 5(4), 34; https://doi.org/10.3390/photochem5040034 - 23 Oct 2025
Cited by 1 | Viewed by 1564
Abstract
Experimental analysis of the viscoelastic properties of natural polymers over different testing durations and response time scales yields complementary insights into their static and dynamic mechanical behavior. Within this context, Brillouin spectroscopy has emerged as a contactless, non-invasive and label-free tool for the [...] Read more.
Experimental analysis of the viscoelastic properties of natural polymers over different testing durations and response time scales yields complementary insights into their static and dynamic mechanical behavior. Within this context, Brillouin spectroscopy has emerged as a contactless, non-invasive and label-free tool for the mechanical characterization of materials. In this review article, we provide a comprehensive overview of recent advances in Brillouin spectroscopy techniques applied to various natural polymers, including proteins, carbohydrates, and polysaccharides. We discuss the principles of Brillouin scattering and their application in investigating the mechanical properties of natural polymers. Additionally, we explore future perspectives and challenges. This review aims to provide researchers and practitioners with a comprehensive understanding of the capabilities and limitations of Brillouin spectroscopy for the mechanical characterization of natural polymers, promoting new advances in this interdisciplinary field. Full article
Show Figures

Figure 1

13 pages, 2362 KB  
Article
Immune Gene Expression Modulation and In Vitro Inhibitory Effect of TiO2 Nanoparticles Under UV Irradiation on Viral Necrosis Virus
by Rim El Jeni, Gian Luca Chiarello, Elena Selli, Annamaria Costa, Alessia Di Giancamillo, Daniela Bertotto, Giuseppe Radaelli, Tarek Temraz and Nadia Chérif
Photochem 2025, 5(4), 33; https://doi.org/10.3390/photochem5040033 - 16 Oct 2025
Viewed by 1756
Abstract
This study examines the potential in vitro application of different concentrations of titanium dioxide (TiO2) nanoparticles (NPs) irradiated with UV light for the sanitation of recirculating aquaculture systems (RASs) and their antiviral activity. The diverse effects of Nodavirus on immune gene [...] Read more.
This study examines the potential in vitro application of different concentrations of titanium dioxide (TiO2) nanoparticles (NPs) irradiated with UV light for the sanitation of recirculating aquaculture systems (RASs) and their antiviral activity. The diverse effects of Nodavirus on immune gene expression (i.e., pro-inflammatory and anti-inflammatory genes, cellular response genes, humoral response genes, and stress genes) were studied using RT-qPCR (Reverse Transcription Quantitative Polymerase Chain Reaction). In addition, the viability and cytopathic effect in E-11 fish cells were also investigated. The results obtained did not show a clear cytopathic effect under the reversed-phase microscope observation at different TiO2 concentrations. A significant decrease in viral coat protein gene expression was observed when using 2.5 and 1.25 g/L TiO2 suspensions under UV irradiation. TiO2 at 1.25 g/L induced an inflammatory response to Nodavirus by increasing the expression of all target genes. Thus, this work suggests that TiO2 NPs can strengthen the immune system of fish to fight virus infection and make aquaculture a greener and more sustainable activity. Full article
Show Figures

Figure 1

19 pages, 1607 KB  
Article
Upcycled Carbon Dots as Multifunctional Boosters for Broad-Spectrum Photostable Sunscreens
by Gustavo Teixeira Machado, Caio Rui Chiabai, Isaac dos Santos Orgino, Leticia Neves Ferraz, Flavia Dayrell França, Fábio Luiz Partelli, Paulo Eduardo Narcizo de Souza, Ana Sofia Fernandes, Ana Luísa Gomes Júlio, André Rolim Baby, George Ricardo Santana Andrade and Fabiana Vieira Lima Solino Pessoa
Photochem 2025, 5(4), 32; https://doi.org/10.3390/photochem5040032 - 13 Oct 2025
Viewed by 1695
Abstract
Sustainable ultraviolet (UV) filters that couple photoprotection with antioxidant activity are needed. Carbon dots (CDots) derived from agro-industrial waste have emerged as promising candidates. CDots were prepared from Coffea canephora (coffee leaf) residues by a one-pot microwave route and characterized by UV–Vis, FTIR, [...] Read more.
Sustainable ultraviolet (UV) filters that couple photoprotection with antioxidant activity are needed. Carbon dots (CDots) derived from agro-industrial waste have emerged as promising candidates. CDots were prepared from Coffea canephora (coffee leaf) residues by a one-pot microwave route and characterized by UV–Vis, FTIR, and TEM. Antioxidant capacity was determined by CUPRAC and DPPH-EPR. The photoprotective efficacy was assessed in vitro by diffuse reflectance spectrophotometry before and after solar-simulator exposure. Nearly spherical CDots (3.3 ± 0.7 nm) displayed a 4.16 eV optical bandgap and broad absorption from 200 to 400 nm. At 10 μg mL−1, CDots exhibited 24.62 ± 0.19% antioxidant activity relative to Trolox by CUPRAC, while by DPPH-EPR, they showed 99.9 ± 12.5% of radical quenching at 240 µg mL−1. Addition of 4.5% w/w (dry basis) CDots to the sunscreen system increased the in vitro SPF from 26 ± 13 to 161 ± 8 (p < 0.05) while maintaining the critical wavelength at 380 ± 0.64 nm. After 30 min of irradiation, the SPF dropped only 10%, versus 44% for the CDots-free sample (control), indicating superior photostability. Coffee leaf CDots acted as an efficient broadband UV absorber and antioxidant that markedly enhanced and stabilized a conventional sunscreen formulation. The work positions waste-derived CDots as an eco-friendly, next-generation multifunctional ingredient, aligning with circular economy principles. Full article
Show Figures

Figure 1

12 pages, 1113 KB  
Article
[2+2]-Photocycloadditions of 2-Acetoxy-1,4-naphthoquinone and Structure Determination of the Main Photoadducts
by Madyan A. Yaseen, Zhifang Guo, Peter C. Junk and Michael Oelgemöller
Photochem 2025, 5(4), 31; https://doi.org/10.3390/photochem5040031 - 10 Oct 2025
Viewed by 978
Abstract
The [2+2]-photocycloaddition of 2-acetoxy-1,4-naphthoquinone with 1,1-diphenylethylene, styrene and cyclopentene was conducted in a conventional batch reactor. Prolonged irradiation selectively produced the corresponding anti and head-to-head cyclobutanes in acceptable to good yields. The batch process was subsequently transferred to continuous-flow operation in a simple [...] Read more.
The [2+2]-photocycloaddition of 2-acetoxy-1,4-naphthoquinone with 1,1-diphenylethylene, styrene and cyclopentene was conducted in a conventional batch reactor. Prolonged irradiation selectively produced the corresponding anti and head-to-head cyclobutanes in acceptable to good yields. The batch process was subsequently transferred to continuous-flow operation in a simple capillary device. Likewise, the photocycloaddition with diphenylacetylene gave the corresponding cyclobutene and a benzoanthracenone derivative in acceptable yields. The crystal structures of all main photoproducts were successfully determined. Full article
Show Figures

Figure 1

18 pages, 3046 KB  
Article
Simultaneous Photocatalytic CO2 Reduction and Methylene Blue Degradation over TiO2@(Pt, Au, or Pd)
by Elisenda Pulido-Melián, Cristina Valeria Santana-Fleitas, Javier Araña and Óscar Manuel González-Díaz
Photochem 2025, 5(4), 30; https://doi.org/10.3390/photochem5040030 - 28 Sep 2025
Viewed by 1611
Abstract
In this work, the photocatalytic reduction of CO2 was innovatively tested with the simultaneous removal and mineralization of a textile contaminant, methylene blue (MB), which acts as a sacrificial agent. The process was carried out in a flow regime under atmospheric conditions, [...] Read more.
In this work, the photocatalytic reduction of CO2 was innovatively tested with the simultaneous removal and mineralization of a textile contaminant, methylene blue (MB), which acts as a sacrificial agent. The process was carried out in a flow regime under atmospheric conditions, using a liquid-phase photoreactor under UVA illumination with a duration of 24 h per test. Two commercial TiO2-based photocatalysts, P25 and P90 from Evonik, were used and surface modified through the photodeposition of metallic nanoparticles of Pt, Au, and Pd, as they did not show gas-phase products from CO2 reduction on their own. The optimal pH was 5, the decreasing order of activity by metal was Pt > Au > Pd, and the optimal MB concentration was 20 ppm. The major products were CH4 and H2 in the gas phase. The presence of CH4 was only detected in the presence of a CO2 flow. In the liquid phase, carboxylic acids were also detected in small amounts, and in the test, 100 ppm of MB ethanol was additionally detected. A 100% degradation of MB and 72.5% mineralization was achieved under the conditions of highest CH4 production (20 ppm MB at pH 5 with 4 g·L−1 P25-0.70%Pt). Full article
Show Figures

Graphical abstract

14 pages, 926 KB  
Review
Biomedical Applications of Raman Spectroscopy: A Review
by Sara Pimenta and José H. Correia
Photochem 2025, 5(4), 29; https://doi.org/10.3390/photochem5040029 - 26 Sep 2025
Cited by 4 | Viewed by 5020
Abstract
Raman spectroscopy is a widely used technology in the biomedical field, including specific applications from cancer diagnosis to an active role in the pharmaceutical industry. Despite the extensive use of Raman spectroscopy in research studies, there are still some limitations to its applicability [...] Read more.
Raman spectroscopy is a widely used technology in the biomedical field, including specific applications from cancer diagnosis to an active role in the pharmaceutical industry. Despite the extensive use of Raman spectroscopy in research studies, there are still some limitations to its applicability in daily clinical diagnosis. This review initially presents the main principles of Raman spectroscopy and then its most relevant applications in the biomedical field, exploring the main advantages, challenges, and limitations. Additionally, other Raman-based techniques are identified as alternatives to the conventional technique. Overall, this review aims to present the currently available applications of Raman spectroscopy in the biomedical field and future appropriate perspectives, as possible guidance for new Raman-based biomedical devices. Full article
Show Figures

Figure 1

13 pages, 1438 KB  
Review
ROS Generation in the Light Reactions of Photosynthesis Triggers Acclimation Signaling to Environmental Stress
by Julietta Moustaka and Michael Moustakas
Photochem 2025, 5(4), 28; https://doi.org/10.3390/photochem5040028 - 25 Sep 2025
Cited by 6 | Viewed by 2386
Abstract
In the light reactions of photosynthesis, reactive oxygen species (ROS), such as superoxide anion radical (O2•−), hydrogen peroxide (H2O2), singlet oxygen (1O2*), and hydroxyl radical (OH), are continuously generated at [...] Read more.
In the light reactions of photosynthesis, reactive oxygen species (ROS), such as superoxide anion radical (O2•−), hydrogen peroxide (H2O2), singlet oxygen (1O2*), and hydroxyl radical (OH), are continuously generated at basal levels and are kept in homeostasis by the antioxidative enzymatic and non-enzymatic systems. Nevertheless, under abiotic or biotic stress conditions, this balance between the creation and elimination of ROS is disrupted, and the increased ROS production leads to oxidative stress, which is involved in the growth retardation of plants. However, ROS are also beneficial, since they trigger the plant’s defense mechanisms for handling oxidative stress and are fundamental signaling molecules for the regulation of a range of physiological functions under optimum growth conditions or environmental stress circumstances, activating a plethora of acclimation responses. Gaining insight into the relationship between ROS generation, ROS scavenging, and the protective role of ROS will contribute to improving agricultural sustainability in the face of global climate change. Full article
Show Figures

Figure 1

Previous Issue
Next Issue
Back to TopTop