Abstract
Though the transition from disposable to reusable surgical gowns holds substantial promise, successful implementation faces challenges. This study investigated tactile and thermophysiological comfort in surgical reusable gowns, comparing them with their disposable counterparts. Parameters such as surface roughness, compression, heat flux, and material rigidity were tested using a Fabric Touch Tester. Additionally, the water vapour permeability and static charge of the gowns were assessed. Thermophysiological comfort of the gowns was evaluated by measuring the temperature and relative humidity (RH) on test subjects during wear trials where they were engaged in an activity that mimics a surgeon’s performance. Skin temperature was monitored using iButton sensors and a thermal camera, and the impact on heart rate during the task was analysed. Following each test, participants provided subjective feedback through a questionnaire. The results indicated that reusable gowns boasted a smoother texture, translating to reduced friction on the skin and better heat transfer compared to the disposable fabrics, as indicated using FTT. They also exhibited higher water vapour permeability compared to their disposable counterparts. The wear trials revealed minimal differences in comfort between disposable and reusable gowns. While performing the activity, an increase in body temperature led to decreased RH, yet this rise did not adversely affect subject comfort, as validated using heart rate and questionnaire survey data. From a comfort point of view, switching from disposable to reusable gowns would not have drawbacks, meaning hospitals should be able to switch provided logistics and costs can be managed.
1. Introduction
Sustainability concerns of medical textiles have attracted a lot of attention recently as the healthcare sector works to improve its socially and environmentally responsible practices. A wide range of materials used in healthcare settings are categorised as medical textiles, including surgical gowns, bandages, drapes, bed linens, and wound dressings []. Surgical gowns are medical textiles used to protect the wearer and patient from the spread of diseases by providing a broad barrier protection [,,]. Disposable surgical gowns have been widely used due to their convenience and ease of use. However, they have several disadvantages, particularly from a sustainability and environmental perspective. Reusable surgical gowns are ideal for addressing sustainability concerns related to disposable ones. These gowns are designed to be washed and sterilised after each use, allowing them to be used an estimated 70 times before they are discarded. Replacing disposable surgical gowns with reusable ones can have numerous benefits like waste reduction, lower costs, and contribution to a more sustainable healthcare system but still, there are challenges that need further investigation to successfully replace the disposable gowns [,,]. Surgical gowns must provide an effective barrier against fluids, microorganisms, and contaminants during surgical procedures and should allow freedom of movement, adequate tensile strength, be lightweight, and offer good comfort []. All these parameters make designing such products very challenging as many conflicting requirements must be considered during product development.
In the operating room, the thermophysiological comfort of everyone has to be satisfied to ensure their duty is performed properly. Thermophysiological comfort is associated with a thermal balance of the human body and the body’s internal temperature must be kept constant, which is directly related to the garment’s heat and moisture transport properties. So, the comfort of surgical gowns greatly influences the performance of the surgeon at the workplace [,]. Tactile comfort (sensorial) of a surgical gown can have a significant impact on the overall performance of a person on duty in a healthcare setting. The physical and mechanical properties of a fabric like the water permeability, air permeability, thermal properties, surface roughness, bending, and the compression of the textile material, affect the tactile behaviour of the fabric. Therefore, it is important to consider and evaluate the thermophysiological properties of the surgical gown to maintain the comfort of the medical staff, which will help them conduct their duty with high quality.
There have been multiple studies conducted over the past decade showing a growing preference among medical professionals for reusable gowns and finding that reusable surgical gowns offer comparable or better comfort than disposable gowns, through various objective and subjective evaluation methods [,,,,]. For instance, in a recent study [] which involved 80 medical professionals, subjective assessments were collected. Despite a limitation of only one size available for the reusable gown, overall ratings for the reusable gown were very positive, with more than 79% of participants rating it as ‘very good’ or higher across six out of seven criteria, including ‘ease of use’. While many of these studies rely solely on subjective questionnaires or fabric properties, they nonetheless yield valuable quantitative and qualitative data.
Fabric properties related to comfort in disposable and reusable surgical gowns have been explored in several studies [,,]. The study by Barker et al. [] shows the effectiveness of both instrument and garment wear trials in discerning subtle properties that collectively influence comfort perception. They utilised the Kawabata Evaluation System to evaluate fabric tactile properties. However, it is noteworthy that the physiological parameters of subjects were not measured in this study. Aslan et al. [] conducted a study measuring both the objective physiological parameters and subjective perception of surgical and disposable gowns, utilising eight subjects for wear trials. They employed a modified dynamic sweating hotplate to assess thermal and water vapour resistance values. During the wear trials, physiological changes including skin and microclimate temperature, relative humidity, heart rate (HR), metabolic rate, and energy expenditure during a 60 min protocol were measured. In their findings, subjective evaluations revealed comparable comfort levels between disposable and reusable gowns, despite structural differences in fabrics, such as reusable gown fabrics having higher thermal resistance values but comparable thermal comfort perception as disposable gowns. The wear trials of this study involved moderate and high activity periods on a cycle ergometer, which slightly deviates from real-world scenarios typically encountered in operating rooms. In the mentioned studies, it is recommended to further explore newer reusable surgical gowns and various material technologies present in both disposable and reusable medical gowns [,]. Additionally, larger sample sizes, different materials, and protection levels of gowns can provide more insights on this topic []. Combining objective and subjective measurements for wear comfort evaluation is very valuable in identifying underlying causes of discomfort and suggesting areas for further investigation [].
Tactile comfort (sensorial) of a surgical gown can have a significant impact on the overall performance of a person on duty in a healthcare setting. The physical and mechanical properties of a fabric like water permeability, air permeability, thermal properties, surface roughness, bending, and compression of the textile material, affect the tactile behaviour of the fabric.
The aim of this study is to evaluate the thermophysiological and tactile comfort provided by surgical gowns during surgical activities involving a set of objective and subjective measurements. The thermophysiological comfort aspect involves measuring the skin and microclimate temperature as well as the humidity of individuals wearing surgical gowns. The sensorial comfort of the gowns was studied using a Fabric Touch Tester (FTT) []. Two types of reusable surgical gowns and a disposable commercial gown were examined in a comparative study to assess their influence on comfort, with a particular focus on body temperature, skin relative humidity, and various sensorial comfort parameters. Furthermore, the study included an investigation into the water vapour permeability and electrostatic charge of the surgical gowns.
2. Materials and Methods
2.1. Materials
Two types of commercially available reusable surgical gowns (RU1 and RU2) and one standard disposable surgical gown (Disp.) were included in this study. Regarding the size of gowns, subjects were wearing the following: for RU1, either size “M” or “S”, depending on the subject; for RU2, size “M” which was the only available size for this gown, and for Disp., size “XL” which was the only available. The disposable surgical gown contains a main (basic) material (Disp. basic) and fabric reinforcement (Disp. critical) which were covering areas of the gown as shown in Figure 1a. The main material was a nonwoven product of 73 g/m2 made from polyester and wood pulp and the fabric reinforcement consisted of a polyethylene film over the main area, forming a reinforced layer of 110 g/m2. The RU1 gown was characterised by a back panel of non-critical fabric (RU1 basic) made of plain weave (127 g/m2) and a critical front area (RU1 critical) with a twill weave (145 g/m2), both containing 99% polyester and 1% carbon fiber for antistatic purposes, and treated with a water repellent finish. These sections were not sewn together, laminated, or layered on top of each other; instead, they were separate fabrics sewn into the gown using seams. Similarly, the second reusable gown (RU2) was composed of woven fabrics with 99% polyester and 1% carbon fiber, the critical zones (RU2 critical) having a weight of 134 g/m2, and the non-critical zones (RU2 basic) weighing 110 g/m2. These zones were separate fabrics joined together in a similar manner as RU1.
Figure 1.
(a) Disposable surgical gown; (b) reusable surgical gown.
2.2. Methods
2.2.1. Fabric Touch Tester for Sensorial Comfort
The Fabric Touch Test (FTT) device designed for the objective measurement of the tactile properties of textile fabrics was used to assess the tactile behaviour of gowns []. This device takes measurements for bending, heat, surface roughness and compression, all of which run simultaneously during the testing process.
Prior to testing, the fabrics were ironed to avoid any creases that can impact the results and were conditioned for 24 h in standard room atmosphere (RH = 65 ± 2% and T = 20 ± 2 °C). To conduct the tests, we prepared samples from each gown by cutting them in an L shape, each measuring 31 cm × 31 cm. This sample arrangement allowed us to evaluate the parameters in both the weft and warp directions, in accordance with the manufacturer’s instructional manual for the device []. Ten measurements were carried out for each fabric of the gowns, with five conducted with the inner surface (fabric back) facing upward in the machine and the warp oriented vertically on the testing plate. The remaining five measurements were performed with the outer surface (fabric front) facing upward and the warp oriented horizontally, as outlined in reference []. Mean values and standard deviations (SD) for the inner fabric surfaces were calculated using the FTT software (FTTSystem 4.1.0), as for the purpose of the study the skin-facing side of the gowns is considered relevant for the wearer’s comfort perception.
2.2.2. Water Vapour Permeability and Electrostatic Test
The Water Vapour Permeability (WVP) test is employed to gauge a textile fabric’s capacity to permit the passage of water vapour, which aids in evaluating the fabric’s breathability. We conducted an investigation of the fabric’s WVP, using samples taken from the gowns in accordance with the standard test method ASTM E96. To evaluate the electrostatic qualities of the medical gown, electrostatic testing was carried out using a tapping electrostatic characterisation device [,]. The tapping device operated at a frequency of 2 Hertz and applied a pressure of 1.5 bar. This testing was conducted on test samples that had a diameter of 10 cm. An electrometer was used to measure the voltage and copper fabric was the electrode for the production and collection of the electrical charge. For these two types of tests, three samples were taken for each fabric and the means and standard deviation were calculated.
2.2.3. Thermophysiological Comfort Test
The thermophysiological comfort of the surgical gowns was evaluated with wear trials. Participants wore the gowns while performing a predetermined task. Parameters that were measured during the wear trials include: temperature and relative humidity (RH) and heart rate (HR). The tests were conducted with the three different gowns in a randomised order where every test took 30 min. The study was carried out according to guidelines from standard EN 17558:2023 []. The surgical gowns were conditioned in a standard atmosphere room for 24 h (RH = 65 ± 2% and T = 20 ± 2 °C) before conducting the tests and all the tests were conducted in this standard atmosphere room. Subjective perception was also taken into account and is described at the end of this section.
Participants of the wear trial are from the University of Ghent, The Centre for Textile Science and Engineering (students and engineers). The study purposefully included participants unfamiliar with wearing these gowns to ensure a non-biased assessment. Ten subjects participated including six males and four females, on average aged 30.8 ± 7.5 years. Among these, only five subjects conducted tests with the RU2 gown as the available size did not fit some of them. The sample size was determined based on practical and time constraints.
Each participant was instructed to wear the surgical gown according to the correct wearing procedure. The wear trials were designed to simulate a surgeon performing delicate fingerwork behind a table. Participants were tasked with deconstructing a Lego set and rebuilding it without step-by-step instructions, mimicking the fine motor skills required in surgical tasks (Figure 2b). This requires thinking, keeping attention, and fine hand movement while wearing the gown. So, participants were given a short brief about the test and activities to be performed when conducting the test before starting the test.
Figure 2.
(a) Schematic block diagram of iButton placement on the skin; (b) deconstructing and building a Lego set while conducting the test.
The subjects were instructed to sequentially perform various activities throughout the duration of the data recording to simulate the tasks typically carried out by a surgeon during the surgical process. These activities were to be completed consecutively:
- Bend the neck, and without bending both arms, hold scissors in the right hand and tweezers in the left hand and move the Lego around, while including the picking and dispatching of the tools. Vary this with building or disassembling the Lego in the same posture for 7 min;
- Bend the neck and both hands, and bend at the elbow and perform the task, including picking and dispatching the tools, for 7 min;
- Bend at the neck, shoulder, and both hands and bend at the elbow, to perform the task, including maximum stretching picking and dispatching the tools for 8 min;
- Bend at the abdominal, waist and both hands and bend at the elbow while holding scissors in right hand and tweezers in left hand, including picking and dispatching the components of the Lego for 8 min.
Each subject was wearing standard office clothes (T-shirt/polo and long trousers), on top of which a surgical gown was worn. Thus, two microenvironments with a separate microclimate were formed: one between the skin and standard clothing (near-skin microclimate) and one between the standard clothing and the surgical gown (intermediate clothing microclimate). Four DS1923 iButton data loggers were used to collect the temperature and RH for each test, all set to take readings every 30 s. They were attached to the gown and the skin to measure the temperature and RH between the standard clothes and the gown. Two ibuttons where attached to the inner side of the gown to measure the temperature and RH of the intermediate microclimate (abbrieviated as MCT and MRH, respectively)—one on the front, inner side of gown next to the chest and the other from the backside. The other two iButtons were attached on the skin, one around the left chest and the other on the back side (as shown in Figure 2a) to measure the near-skin microclimate parameters, namely the near-skin temperature (SET) and relative humidity (SRH). Adhesive textile-based tape was used to fix the button on the skin and gown. A hole was cut in the center of the tape as shown in Figure 2a, which is fitted over the hole in the iButton that connects to the inner sensors, to enable accurate sensor readings without interference from the tape covering the iButtons. Firstly, for comparison and to study the effect of the activity on body temperature and RH, we collected reference data by having the subject complete the activities without wearing any gown over their standard clothes. In this case, sensor buttons on the skin were the only ones present (2 instead of 4 sensors) and we denote the results as reference (Ref.). By standard clothes we considered clothes that would be usually worn by surgeons under their gown: long trousers, and short sleeved T-shirt or polo. For the next tests, the subject wears the surgical gown having the iButtons also attached to the inner side of the gown.
The data collected using the iButtons were then uploaded to a computer for analysis. The subject took a 15 min break after every measurement before going to the next test.
A thermographic camera (FLIR camera) was used to take a temperature measurement from the forehead of the subject at different timesteps during the test. The FLIR camera was set on a pedestal at a height so that if the person sits 1 m away, a good reading of the temperature is possible and readings were taken at the start, middle, and end of the test. When a reading was conducted, a photo and a movie with 100 frames were taken (presented in Figure 2b).
To investigate the effect on the heart rate (HR) during the test, electrocardiography (ECG) was used to measure it at the start and end of the test using BIOPAC Systems, Inc, for 3 subjects. This was a test to evaluate if the test had an influence on the HR of subjects. The ECG electrodes were placed with lead I electrode configuration []. Collected signals were analysed using Biopack student lab 4.1 and the heart rate was determined for each ECG signals.
A custom questionnaire featuring Likert scales ranging from 1 to 7 was utilised to conduct subjective comfort evaluations, providing an additional measure of participants’ comfort perceptions (see Appendix A). After completing one test which lasted 30 min, the participants were asked to fill out the questionnaire to evaluate the comfort of the surgical gown during the surgical activities. As described in the questionnaire, participants had to describe their sweat sensation from no sweat (1) to sweat a lot (7). The thermal sensation levels were rated from cold (1) to hot (7), with comfortable in between (4). The active touch feeling (touching with a finger) was rated from dislike a lot (1) to like a lot (7). The general level of easiness or difficulty in performing the task while wearing the surgical gowns was rated from not different to standard clothes (1) to very high impact (7). The overall fit of the surgical gowns was rated from too loose (1) to very tightly fitted (7), with good in between (4). The comfort feeling of different body parts while wearing the gowns was rated from very unpleasant (1) to very pleasant (7).
For the analysis of the results from the thermophysiological comfort study, we used means and standard deviations. Additionally, we employed the Analysis of Variance (ANOVA) to determine whether there were significant differences in the data collected using the iButton sensors and surveys.
3. Results and Discussion
3.1. Fabric Touch Tester Results
In Table 1, the mean values for the following parameters assessed with the Fabric Touch Tester are given: Bending Average Rigidity (BAR), heat flux, Surface Roughness Amplitude (SRA) in warp and weft direction and Compression Average Rigidity (CAR). The mean values presented here are averaged for five meaurements per fabric side (inner and outer side). For skin comfort, the mean values for the inner (skin-facing) fabric side are important and will be analysed in this section. BAR and SRA values are associated with fabric stiffness/flexibility and smoothness [] and may hold greater significance for the basic non-critical fabrics, as this fabric area is more prone to direct contact with the wearer’s skin. The critical areas primarily come into contact with the clothing worn beneath the gown, as they are positioned closer to the torso, but it depends on the gown design. CAR values are related to the softness of a fabric and may also be less relevant when comparing the critical fabric areas. Fabrics with higher heat flux values are associated with greater thermal comfort, as heat can more effectively be transfered to the outside.
Table 1.
Sensorial (FTT) test results of reusable and disposable gowns, mean and standard deviation (SD) of five measurements per fabric side.
First, we can analyse the inner surfaces of the basic fabrics. In warp direction, the inner side of Disp. basic shows the lowest BAR value (43.97 ± 29.19 gf mm/rad), followed by RU1 (74.94 ± 7.92 gf mm/rad) and RU2 basic (163.94 ± 20.50 gf mm/rad). In weft direction, there is an opposite trend with RU2 having the lowest BAR value (276.48 ± 20.33 gf mm/rad), followed by RU1 (440.12 ± 43.95 g mm/rad) and Disp. basic (702.66 ± 115.16 g mm/rad). A higher bending rigidity value indicates greater stiffness or resistance to bending. In this case, our results are inconclusive due to the different bending rigidity trends in the weft and warp directions. SRA in the warp direction is lowest for the RU2 basic (6.78 ± 3.81 μm), whereas RU1 and Disp. basic exhibit very similar values (34.25 ± 11.43 and 35.43 ± 4.33 μm, respectively). In the weft direction, both reusable basic fabrics’ inner sides show similar values (15.86 ± 1.17 μm for RU1 and 14.83 ± 1.36 μm for RU2), which are lower than the disposable one (39.00 ± 4.87 μm). The SRA results suggest that the inner sides of reusable gowns give a smoother feel against the skin, resulting in less friction compared to disposable gowns. CAR values have high standard deviations, so it is difficult to make any definitive conclussions. The inner side of RU2 basic exhibits the highest heat flux (1201.91 ± 6.94 W/m2), followed by RU1 basic (1093.91 ± 22.51 W/m2), while Disp. basic gives a slightly lower value (984.21 ± 21.24 W/m2). In summary, the inner sides of reusable basic fabrics RU1 and RU2 demonstrate slightly better performance in thermal comfort and suggest that the basic fabrics of reusable gowns can provide a smoother feel to the skin at the body areas exposed to the fabric, compared to the disposable ones.
Next, we can compare the inner surfaces of critical fabric areas of reusable and disposable gowns. In the warp direction, RU2 critical displays the lowest BAR value (80.15 ± 7.87 gf mm/rad), followed by Disp. Critical (149.29 ± 45.25 gf mm/rad), while RU1 critical exhibits the highest BAR value (585.15 ± 67.55 gf mm/rad). In the weft direction, RU2 critical again shows the lowest value (71.54 ± 6.91 gf mm/rad), followed by RU1 critical (152.89 ± 32.64 gf mm/rad), with Disp. critical demonstrating the highest value (533.41 ± 202.84 gf mm/rad). This suggests that RU2 has a softer, more flexible feel than the rest. For the SRA, both in warp and weft direction, RU2 critical exhibits the lowest values, followed by RU1 critial, with Disp. critical having the highest SRA in both directions. Similar as for the basic fabrics, the inner, skin-facing, critical fabrics have a smoother surface with less friction compared to the disposable gown tested. CAR values are lowest for Disp. critical (825.62 ± 179.4 gf/cm2 mm), whereas RU1 critical and RU2 critical present higher values (3375.05 ± 901.15 and 5831.34 ± 1495.28 gf/cm2 mm, respectively). Heat flux is the main parameter of interest for the critical gown areas. RU1 and RU2 critical exhibit similar high values (1361.10 ± 149.43 and 1289.79 ± 28.55, respectively), while heat flux for Disp. critical is the lowest (694.99 ± 15.67). This indicates that the heat transfer of the critical part of the gown is greater for both reusable options compared to the disposable gown.
Previous studies that included the evaluation of fabric sensorial comfort proterties of reusable and disposable gowns show some favorable results for the reusable fabrics. Aslan et al. [] investigated the bending rigidity of woven and nonwoven surgical gown fabrics (given in mg per cm in that study due to a different method used than FTT), showing significant differences which translate to better flexibility of the reusable fabrics due to a smaller bending rigidity than the disposable fabrics. In the same study they found that reusable fabrics had higher thermal resistance values compared to their disposable counterparts, but despite these findings, wear trials showed this difference has no significant effect on heat dissipation from the gowns, which raises the importance of wear trials for validation. Barker et al. [] compared disposable (nonwoven synthetic) and reusable (woven cotton) fabric for surgical gowns using the Kawabata System (KES), similar to FTT for fabric sensorial properties evaluation. In their study, surface roughness (μm) and bending rigidity values (gf/cm2) for the disposable and reusable fabrics were comparable. The surface roughness values from that study were 7000 and 7300 μm for the disposable and reusable fabric, respectively. They concluded that the disposable fabric is equivalent to the reusable gown in all specific comfort fabric descriptors, except weight and stiffness (beding rigidity), where it has an advantage. In our study, surface roughness values indicated that the reusable fabrics perform better compared to disposable gowns in terms of smoothness, for both basic and critical fabric areas. Furthermore, our results show better thermal transfer compared to reusable gowns based on sensorial tests.
3.2. Water Vapour Permeability and Electrostatic Behaviour
Textile clothes with higher water vapour permeability are desirable for effectively dissipating sweat. The results (Figure 3) indicate that RU1 basic fabric exhibits similar WVP performance to Disp. basic fabric. On the other hand, the Disp. critical fabric performs noticeably worse, showing results lower than those of RU2 basic and critical. RU2, in particular, exhibits a poorer performance compared to RU1.
Figure 3.
Water vapour permeability test results.
In the study by Aslan et al. [], reusable fabrics demonstrated much lower WVP values compared to our findings, with values of 1772.89 and 2338 g/day/m2 for reinforced fabrics from the two reusable gowns tested, while in our cases WVP values of 7456.3 and 7035 g/day/m2 for RU1 and RU2 critical, respectively, were recorded. However, the specific type of reinforcement, raw material, level of protection and other construction differences in those gowns can greatly influence the results. The WVP values for reusable basic fabrics ranged between 5000 and 6500 g/day/m2, with varying performances compared to disposable basic fabrics. Our results suggest that the reusable surgical gowns used in this study can achieve effective moisture transport, comparable or better than the disposable ones.
Lower static charging of textile fabric is generally associated with increased comfort as it reduces the potential for discomfort, irritation and inconvenience caused by static electricity and the related issues it can create. In Figure 4, the results of the electrostatic test are presented. The peak voltage represents the average of the five highest peaks observed on the graph, while the valley voltage similarly denotes the average of the five lowest valleys. The results in Figure 4 show that the RU1 gown exhibits lower static charging. Both types of reusable gowns are safe to use due to having a very low electrostatic charge developed on their surfaces, possibly due to the presence of the carbon component in both gowns as described in Section 2.2.1.
Figure 4.
Electrostatic charge test results.
In contrast, for Disp. critical (fabric reinforcement), the values are a bit higher for the critical part but comparable and still safe for use. The main material of the disposable gown (Disp. basic) revealed low static voltage, possibly due to the presence of wood pulp which is assumed to have a negligible static charge. Overall, all types of gowns exhibit a low static charge, which suggests that they are comfortable to wear and that there is only a small chance of sparks igniting near electrical items.
3.3. Temperature and Relative Humidity between Surgical Gowns and Skin
For these results, it is necessary to note that despite the fabric type the size of gowns worn on subjects influences on the results as the garment fit is an important thermophysiological factor. Figure 5a,b shows the near-skin (SET) and intermediate microclimate (MCT) temperatures of two representative subjects, collected during the wear trials. The temperatures from the front side are represented with ‘F’ and the temperatures from the back side are denoted by ‘B’. “Ref” is used to describe the reference test from subjects (no surgical gown, only wearing standard clothes), described in details in Section 2.2.3. For example, ‘RU1 SET F’ represents near skin temperature acquired from the front side while the subject wears the gown RU1. As we can see from Figure 5a,b, SET values show a slight increase in the beginning and then stay constant throughout the test (for example, Disp. SET F, RU2 SET F and B in Subject 2 and RU2 SET B in Subject 1), but in other cases, it shows a small sharp fluctuations.
Figure 5.
Near-skin (SET) and intermediate microclimate (MCT) temperatures from (a) Subject 1, (b) Subject 2.
As an overall observation, the SET recorded while wearing the different gowns (reusable or disposable) is observed to be generally higher than MCT values. The SET values during the test typically fall within the range of 34 to 36 °C, which coincides with the range where the SET of the reference test is also observed to increase. The MCT values of reusable and disposable gowns fall within a similar temperature range of around 24 to 29 °C. In some cases, reusable gowns show an even lower temperature change than the disposable ones, like the MCT of RU1 for Subject 2 in Figure 5b. Overall, we can say the gowns have no serious impact on the skin and intermediate microclimate temperature. Aslan et al. [] studied physiological parameters during wear trials on an cycle ergometer with varying activity levels, wearing disposable or reusable gowns, measuring skin temperature and microclimate temperature and RH from the chest, back and upper arm of subjects. Their results showed that the microclimate T measured at the back, from all reusable/disposable tested gowns and subjects, rises in a range from around 27.5 to 29 °C (comparable to our MCT results) after moderate activity of 15 min cycling at 20% VO2 max, as observed from the graph given in the study. In that comparison, the reusable gown made of cotton/polyester mix has the lowest temperature measurement. Not all measured temperature values were presented in the study.
Table 2 below shows the mean SET temperature of different gowns and the reference from nine subjects. The data for one participant are absent from these test results due to a recording issue where the data failed to be stored properly. The mean SET increase was observed, relative to the reference value per subject, with significant differences found for reusable gowns (RU1 and RU2) in most cases (p-value < 0.01 at α= 0.05); still, since the temperature increase was mostly <1 °C, there is an insignificant temperature effect on the body.
Table 2.
The SET mean values collected while the subjects performed the test with reference clothes (Ref), disposable (Disp), and reusable (RU) gowns. Mean and standard deviation (SD) values are given.
Cases with temperature changes >1 °C are discussed here. For Disp., the mean SET increased by more than 1 °C compared to the reference in 22.2% of cases (two out of nine subjects): in Subject 2 (front), with a SET rise of 1.57 °C, and in Subject 7 (front and back) with increases of 1.56 °C and 2.67 °C, respectively. It is important to note that as one overall case, we considered each subject that showed a mean SET increase > 1 °C compared to Ref. For RU1, in 33.3% of cases, there was a >1 °C increase, observed in Subject 2 (back) with a rise of 1.46 °C, Subject 7 (front and back) with increases of 2.2 °C and 1.92 °C, respectively, and in Subject 8 (front and back) with rises of 1.29 °C and 1.37 °C, respectively. For RU2, in 40% of cases tested (two out of five for this gown), an increase of more than 1 °C was observed: for Subject 2 (front and back) with increases of 1.84 °C and 1.76 °C, respectively, and Subject 7 (front) with an increase of 1.78 °C. When comparing reusable and disposable gowns, we can observe from Table 2 that in 77.7% of cases, or in seven out of nine subjects, where a subject wears a reusable gown (RU1 or RU2), the increase in SET is lower or equal to when wearing a disposable gown, while the only exceptions are noted for Subject 3 and Subject 8 where both SET from the front and back are higher for the reusable gowns. In any case, the difference between disposable and reusable gowns is mostly <1 °C.
From the comfort perspective, we can say the observed SET increase during the course of the tests while wearing reusable gowns has no negative impact on the comfort. The measured temperature is lower than normal skin temperature values [] and the differences between reusable and disposable are negligible. It is worth noting that the results of SET show values lower than a normal skin temperature due to the sensors (iButtons) placement—they were attached to the skin, but the sensor opening was facing the air gap between the skin and the first clothing layer, not the skin side.
In Figure 6a,b, the RH values of two subjects are given. SRH and MRH denote the near skin and intermediate microclimate RH, respectively. The RH from the front side is represented with ‘F’, and from the back side is denoted by ‘B’. Comparing Figure 5 and Figure 6, it can be seen that as the air temperature increases, the air can hold more water molecules which causes a decrease in relative humidity (RH) and vice versa. Temperature measurements showed that the near-skin environment has a higher temperature compared to the intermediate microclimate of the gowns (SET > MCT). These higher temperatures lead to a decrease in relative humidity, thus in most measurements SRH is observed to be lower than MRH. Wearing gowns over standard clothes increases RH values for around 10–20% in the microclimate between them, due to a decreased evaporation as a result of the additional layer, but there are no notable differences between disposable and reusable gowns. Also, SRH values for all gowns are similar with the refererence tests, which means that both reusable and disposable gowns provide sufficient ventilation as there was no buildup of RH in the near-skin environment.
Figure 6.
Skin (SRH) and intermediate microclimate relative humidity (MRH) from: (a) Subject 1; and (b) Subject 2.
3.4. Survey Results
Table 3 shows the numerical comparison of the subjective evaluation of the comfort collected via the questionnaire. Ten participants completed the survey at the end of the thermophysiological comfort test. The mean and standard deviation of each parameter were calculated from the responses where the numerical value represents a certain comfort level as we can see from the questionnaire (see the Section 2.2.3. and Appendix A). Regarding sweat sensation, the responses showed almost no sweat sensation over the course of the tests: the maximum rating was 2.4 for RU1, as shown in Table 3, but still, statistical tests revealed no significant differences even when compared to Ref. (p-value = 0.057 at α = 0.05). The maximum mean rate of thermal sensation levels was 4.4 for RU1, with a significant difference (p-value = 0.02 at α = 0.05) compared to Ref., and an insignificant difference with the disposable, most common type of surgical gown. Regarding passive touch sensations around the arm, while wearing the gown, a higher level of comfort was reported with RU2, RU1, and Disp., respectively. However, no significant differences were observed.
Table 3.
A questionnaire survey where the numeric values represent the mean score of comfort/discomfort level and SD.
The mean score for the active touch feeling (touching with a finger) was lower for Disp. compared to the rest, indicating a slight discomfort sensation when touching the outside of the gown, but without a significant difference from the rest. The mean rate for the general level of easiness or difficulty in performing the task while wearing the surgical gowns was relatively higher for RU2 (3.29), but still, no significant differences were observed. The results showed that RU2 had a slightly more loose fit compared to the other gowns, despite the fact that Disp. was a larger size (XL) than the other gowns. The mean score regarding the comfort feeling (level of pleasantness) of different body parts was lowest for RU1 around the neck (3.7), but there was no significant difference between the mean scores. The size of the gowns should also be considered when understanding these results (RU1 and Disp. were a bigger size than RU2). Overall, based on the survey responses we can understand that the reusable gowns did not perform worse in subjective comfort perception compared to disposable gowns.
3.5. Forehead Skin Temperature Results
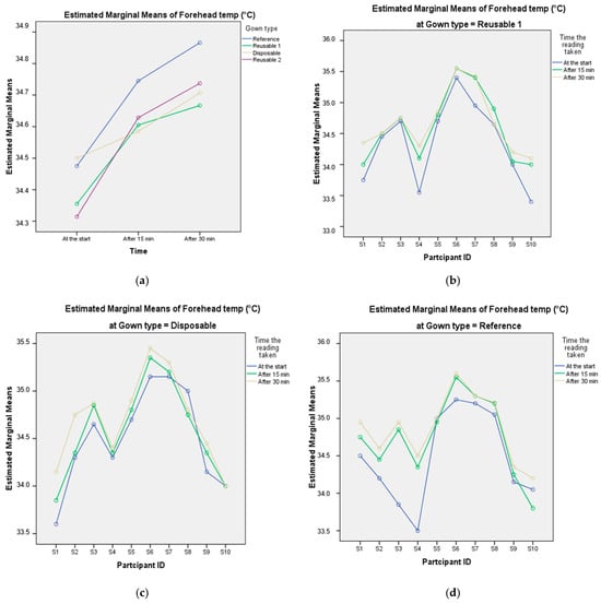
The forehead temperature of the subjects was collected using a thermographic camera at the start, in the middle, and at the end of the test. Figure 7a shows the mean forehead temperature of the 10 subjects, including all gowns tested and the reference test for comparison. Figure 7b–d present the forehead temperature of the 10 subjects, analysed separately for each gown type, where the data from each individual subject are given for the different time intervals (at the start of the test, after 15 min and after 30 min). The mean temperature of the reference test was 34.48 °C at the start of the test and it increased to 34.75 and 34.87 °C after 15 and 30 min, respectively, which is an increase of 0.39 °C during the course of the test. For the disposable gowns, the forehead mean temperature was 34.50 °C at the start of the test and 34.59 °C and 34.71 °C after 15 and 30 min, respectively, increasing in total of 0.2 °C during the testing period. For the reusable gowns, the increase in mean temperature during the test was 0.31 °C and 0.43 °C for RU1 and RU2, respectively, which are values similar to the reference. Apart from gown type, there was also interindividual variability in skin temperature as shown in Figure 7b–d.
Figure 7.
(a) Forehead mean temperature from 10 subjects, all gowns and reference test (no gown); and forehead temperature of the 10 subjects collected from the 10 subjects: (b) RU1; (c) Disp.; and (d) Ref.
3.6. Electrocardiography Results
The results of the forehead temperature showed a slight increase in body temperature over the course of the tests, both with or without a gown, which could influence the heart rate of the test subject. To study this influence, ECG signals were collected from three participants at the start and at the end of the tests. Table 4 shows the average HR of the three subjects from which HR measurements were taken, acquired at the start and end of the test, wearing three different surgical gowns and the reference, i.e., performing the activity with their standard clothing (without gown). The results revealed that the HR values at the start and end of each test have no uniformity. That means in some cases the HR at the start of the test is higher than at the end and in some case it was the reverse, which shows the slight increase in body temperature during the test does not have an impact on the heart rate of the test subject by the time the ECG is performed. The standard value of HR for men is in the range of 60–100 bpm [] and all collected HR values were in this range.
Table 4.
Average heart rate and SD in beats per minute.
4. Conclusions
In this study, thermophysiological and sensorial comfort of two types of reusable surgical gowns were studied. RU1 and RU2 were put into comparison to a traditional disposable surgical gown, used at the University Hospital of Ghent, Belgium. To assess the tactile properties of these gowns, including fabric rigidity, roughness, heat flux, and compression, an FTT device was employed. Additionally, wear trials were conducted with test subjects imitating a surgical activity while wearing the investigated surgical gowns. During this test, near-skin and (intermediate) microclimate temperature and relative humidity (RH) between the body and clothing layers were monitored, using iButton sensors attached to the skin and the inner part of the gowns. The body temperature from the forehead was additionally measured using a thermal camera. Furthermore, we gathered subjective data on comfort perception through questionnaires answered by the participants after completing each wear trial. The results showed that reusable gowns offer better sensorial comfort compared to disposable gowns, especially in terms of heat flux. In terms of water vapour permeability, Reusable 1 fabrics demonstrated a performance similar to that of the standard disposable fabrics, while the fabrics of Reusable 2 had a worse performance. However, for the critical (protective) part of the gown where reinforced fabrics are used, the fabric from the disposable gown showed the worst water vapour permeability in comparison to the rest. Thermophysiological comfort tests (wear trials) revealed a temperature increase in the iintermediate microclimate (between the gown and standard clothing) and near the skin while wearing the disposable or reusable gowns, compared to when they were not wearing any surgical gown. In any case, the difference between disposable and reusable gowns was not substantial and the temperature increase was less that 1 °C in the majority of cases. It is worth noting that the increase in temperature was not solely attributed to the gowns; even during activities without gowns, there was a rise in body temperature, leading to a decrease in relative humidity (RH). Importantly, this increase in temperature did not negatively impact the subjects’ comfort, as supported using heart rate data and responses from the questionnaire survey. It is important to note that the study’s findings may be influenced by the different size of gowns available for testing. For example, the larger size of the disposable gown worn during wear trials potentially leading to increased air gaps between standard clothing and the surgical gown could contribute to enhanced ventilation within the microclimate formed under the gown, affecting overall comfort perceptions. This is a limitation of the current study and should be addressed in further wear trials.
Author Contributions
Conceptualization. M.G., A.B.N., C.H. and B.M.; methodology. M.G., S.D.T. and A.B.N.; software. A.B.N. and S.D.T.; validation. M.G., A.B.N. and B.M.; formal analysis. M.G. and A.B.N.; investigation. M.G., A.B.N. and H.R.T.; resources. H.R.T. and C.H.; data curation. A.B.N. and S.D.T.; writing—original draft preparation. M.G. and A.B.N.; writing—review and editing. M.G., B.M. and C.H.; visualization. M.G., H.R.T. and A.B.N.; supervision. B.M. and L.V.L.; project administration. L.V.L. All authors have read and agreed to the published version of the manuscript.
Funding
The authors acknowledge financial support from the Flanders Innovation & Entrepreneurship, TETRA funds (HBC.2021.1025), Belgium.
Informed Consent Statement
Informed consent was obtained from all subjects involved in the study.
Data Availability Statement
Data are contained within the article. Dataset available on request from the corresponding author.
Acknowledgments
The authors would like to acknowledge the help of their colleague Sufiyan Derbew for his contribution to the study. Additionally, they would like to thank Ghent University Hospital (UZ Ghent), Alsico and Van Dijk Holand B.V. for providing materials for the study.
Conflicts of Interest
The authors declare no conflicts of interest.
Appendix A
Surgical Gown Comfort subjective evaluation
The aim of this survey is to evaluate the comfort of surgical gowns during surgical activities. This study provides for non-commercial research and distribution, and educational use; there were no pressures to undertake this project. The result will be utilised for education and corrective action only.
Your honest and genuine answer is very important to the ultimate objective of this project.
Rate by putting a tick mark (✓) under the category of the correct numeric value in the table that most closely indicates the extent to which the item is present in your current job.
| Test person | Height: _____cm Chest circumference: ____cm Weight: _____ cm Waist circumference: ____cm | Test day and date: | |||||||||
| Age: | |||||||||||
| Gender: | |||||||||||
Sample code & order:![]() | Size:![]() | ||||||||||
| Environmental Temperature (°C): | |||||||||||
| Room Temperature (°C): | |||||||||||
| Humidity (RH %): | |||||||||||
| Product code | Questions | Measuring Scales | |||||||||
| 1 | 2 | 3 | 4 | 5 | 6 | 7 | |||||
| 1. | How would you describe your sweat sensation when using the gown? | ||||||||||
| Ref | From no sweat (1) to sweat a lot (7). | ||||||||||
| A | From no sweat (1) to sweat a lot (7). | ||||||||||
| B | From no sweat (1) to sweat a lot (7). | ||||||||||
| C | From no sweat (1) to sweat a lot (7). | ||||||||||
| 2. | How would you describe your thermal sensation level when wearing the gown? | ||||||||||
| Ref | From cold (1) to hot (7), with comfortable in between (4). | ||||||||||
| A | From cold (1) to hot (7), with comfortable in between (4). | ||||||||||
| B | From cold (1) to hot (7), with comfortable in between (4). | ||||||||||
| C | From cold (1) to hot (7), with comfortable in between (4). | ||||||||||
| 3. | How would you describe your moisture sensation level when wearing the gown? | ||||||||||
| Ref | From none/dry (1) to wet (7). | ||||||||||
| A | From none/dry (1) to wet (7). | ||||||||||
| B | From none/dry (1) to wet (7). | ||||||||||
| C | From none/dry (1) to wet (7). | ||||||||||
| 4. | How do you experience the passive touch feeling (feel on your arms) of the surgical gown while wearing the gown? | ||||||||||
| Ref | From very uncomfortable (1) to very comfortable (7) | ||||||||||
| A | From very uncomfortable (1) to very comfortable (7) | ||||||||||
| B | From very uncomfortable (1) to very comfortable (7) | ||||||||||
| C | From very uncomfortable (1) to very comfortable (7) | ||||||||||
| Product code | Questions | Measuring Scales | |||||||||
| 1 | 2 | 3 | 4 | 5 | 6 | 7 | |||||
| 5. | How much do you like the active touch feeling (touching with finger) of the surgical gown when touching the outside of the gown? | ||||||||||
| Ref | From dislike a lot (1) to like a lot (7). | ||||||||||
| A | From dislike a lot (1) to like a lot (7). | ||||||||||
| B | From dislike a lot (1) to like a lot (7). | ||||||||||
| C | From dislike a lot (1) to like a lot (7). | ||||||||||
| 6. | How do you evaluate the gown influences the general level of easiness or difficulty in performing your work? From not different to standard clothes (1) to very high impact on ease of performing the work (7). | ||||||||||
| Ref | |||||||||||
| A | |||||||||||
| B | |||||||||||
| C | |||||||||||
| 7. | How do you rate the overall fit of the surgical gown? | ||||||||||
| Ref | From too loose (1) to very tight fitted (7), with good in between (4). | ||||||||||
| A | From too loose (1) to very tight fitted (7), with good in between (4). | ||||||||||
| B | From too loose (1) to very tight fitted (7), with good in between (4). | ||||||||||
| C | From too loose (1) to very tight fitted (7), with good in between (4). | ||||||||||
| 8. | At which body parts does the surgical gown cause a highly unpleasant feeling? Indicate per body part a score, from very unpleasant (1) to very pleasant (7). | ||||||||||
| 8.1. | A | Neck | |||||||||
| 8.2. | Shoulder | ||||||||||
| 8.3. | Upper arm | ||||||||||
| 8.4. | Lower arm | ||||||||||
| 8.5. | Wrist | ||||||||||
| 8.6. | Belly | ||||||||||
| 8.7. | Chest | ||||||||||
| 8.8. | Under the arm pit | ||||||||||
| 8.9. | B | Neck | |||||||||
| 8.10. | Shoulder | ||||||||||
| 8.11. | Upper arm | ||||||||||
| 8.12. | Lower arm | ||||||||||
| 8.13. | Wrist | ||||||||||
| 8.14. | Belly | ||||||||||
| 8.15. | Chest | ||||||||||
| 8.16. | Under the arm pit | ||||||||||
| 8.17. | C | Neck | |||||||||
| 8.18. | Shoulder | ||||||||||
| 8.19. | Upper arm | ||||||||||
| 8.20. | Lower arm | ||||||||||
| 8.21. | Wrist | ||||||||||
| 8.22. | Belly | ||||||||||
| 8.23. | Chest | ||||||||||
| 8.24. | Under the arm pit | ||||||||||
References
- Sun, G. Disposable and reusable medical textiles. In Textiles for Hygiene and Infection Control; Elsevier: Amsterdam, The Netherlands, 2011; pp. 125–135. [Google Scholar] [CrossRef]
- Overcash, M. A Comparison of Reusable and Disposable Perioperative Textiles: Sustainability State-of-the-Art. Anesth. Analg. 2012, 114, 1055–1066. [Google Scholar] [CrossRef] [PubMed]
- Eryürük, S.H.; Kayaoğlu, B.K.; Altay, P. Performance Evaluation of Newly Designed Disposable Surgical Gowns. Text. Appar. 2023, 33, 56–67. [Google Scholar] [CrossRef]
- Möhring, U.; Schwabe, D.; Hanus, S. Textiles for patient heat preservation during operations. In Handbook of Medical Textiles; Elsevier: Amsterdam, The Netherlands, 2011; pp. 434–442. [Google Scholar] [CrossRef]
- Eryuruk, S.H.; Kayaoglu, B.K.; Altay, P. Thermal comfort properties of nonwoven fabrics used in surgical gowns. In IOP Conference Series: Materials Science and Engineering; IOP Publishing: Bristol, UK, 2018; Volume 459, p. 012039. [Google Scholar] [CrossRef]
- Zwolińska, M.; Bogdan, A. Thermal Sensations of Surgeons During Work in Surgical Gowns. Int. J. Occup. Saf. Ergon. 2013, 19, 443–453. [Google Scholar] [CrossRef] [PubMed]
- Angelova, R.A.; Velichkova, R. Thermophysiological Comfort of Surgeons and Patient in an Operating Room Based on PMV-PPD and PHS Indexes. Appl. Sci. 2020, 10, 1801. [Google Scholar] [CrossRef]
- Conrardy, J.; Hillanbrand, M.; Myers, S.; Nussbaum, G. Reducing medical waste. AORN J. 2010, 91, 711–721. [Google Scholar] [CrossRef] [PubMed]
- Angelopoulos, N.; Angiolella, S.; Lyons, P.; Ross, B.; McGain, F. Survey of intensive care unit staff views on a newly introduced reusable isolation gown. Aust. Health Rev. 2023, 47, 131–133. [Google Scholar] [CrossRef] [PubMed]
- van Nieuwenhuizen, K.E.; Friedericy, H.J.; van der Linden, S.; Jansen, F.W.; van der Eijk, A.C. User experience of wearing comfort of reusable versus disposable surgical gowns and environmental perspectives: A cross-sectional survey. BJOG Int. J. Obstet. Gynaecol. 2024, 131, 709–715. [Google Scholar] [CrossRef] [PubMed]
- Aslan, S.; Kaplan, S.; Cetin, C. An investigation about comfort and protection performances of disposable and reusable surgical gowns by objective and subjective measurements. J. Text. Inst. 2013, 104, 870–882. [Google Scholar] [CrossRef]
- McQuerry, M.; Easter, E.; Cao, A. Disposable versus reusable medical gowns: A performance comparison. Am. J. Infect. Control 2021, 49, 563–570. [Google Scholar] [CrossRef] [PubMed]
- Haji Musa, A.; Malengier, B.; Vasile, S.; Van Langenhove, L.; De Raeve, A. Analysis and Comparison of Thickness and Bending Measurements from Fabric Touch Tester (FTT) and Standard Methods. Autex Res. J. 2017, 18, 51–60. [Google Scholar] [CrossRef]
- Mbise, E.; Dias, T.; Hurley, W. Design and manufacture of heated textiles. In Electronic Textiles; Elsevier: Amsterdam, The Netherlands, 2015; pp. 117–132. [Google Scholar] [CrossRef]
- De Capua, C.; Meduri, A.; Morello, R. A Smart ECG Measurement System Based on Web-Service-Oriented Architecture for Telemedicine Applications. IEEE Trans. Instrum. Meas. 2010, 59, 2530–2538. [Google Scholar] [CrossRef]
- Barker, R.L.; Scruggs, B.J.; Shalev, I. Evaluating Operating Room Gowns: Comparing Comfort of Nonwoven and Woven Materials. Int. Nonwovens J. 2000, 1, 1558925000OS-900112. [Google Scholar] [CrossRef]
- Atlas, S.D.L.; Rycobel. Fabric Touch Tester, Instruction Manual; SDl Atlas: Rock Hill, SC, USA, 2014. [Google Scholar]
- Haji Musa, A. Evaluating the Human Tactile Response to Haptic Sensations on Textiles. Ph.D.Thesis, Faculty of Engineering and Architecture, Ghent University, Ghent, Belgium, 2019. [Google Scholar]
- Tahir, H.R.; Malengier, B.; Van Daele, D.V.; Van Langenhove, L. Validation of a Platform for the Electrostatic Characterization of Textile. Electronics 2021, 11, 115. [Google Scholar] [CrossRef]
- Tahir, H.R.; Malengier, B.; Van Daele, D.V.; Van Langenhove, L. Validation of a Textile Material’s Electrostatic Characterization Device for Different Parameters and Their Effect on the Electrostatic Charge Generation. Materials 2022, 15, 5716. [Google Scholar] [CrossRef] [PubMed]
- EN 17558:2023; Ergonomics of PPE Ensembles. European Committee for Standardization (CEN): Brussels, Belgium, 2023.
- Dupre, A.; Vincent, S.; Iaizzo, P.A. Basic ECG Theory, Recordings, and Interpretation. In Handbook of Cardiac Anatomy, Physiology, and Devices; Iaizzo, P.A., Ed.; Humana Press: Totowa, NJ, USA, 2005. [Google Scholar] [CrossRef]
Disclaimer/Publisher’s Note: The statements, opinions and data contained in all publications are solely those of the individual author(s) and contributor(s) and not of MDPI and/or the editor(s). MDPI and/or the editor(s) disclaim responsibility for any injury to people or property resulting from any ideas, methods, instructions or products referred to in the content. |
© 2024 by the authors. Licensee MDPI, Basel, Switzerland. This article is an open access article distributed under the terms and conditions of the Creative Commons Attribution (CC BY) license (https://creativecommons.org/licenses/by/4.0/).

