Abstract
Due to the oncoming climate changes, various environmental stresses (drought, salinity, heavy-metals, low or high temperatures, etc.) might dramatically affect crop yields and the quality of produced foods. Therefore, to meet the growing food demand of the human population, improvement of stress tolerance of the currently cultured crops is required. The knowledge of the molecular underlying mechanisms provides a versatile instrument to correct plant metabolism via chemical tools and to thereby increase their adaptive potential. This will preserve crop productivity and quality under abiotic stress conditions. Endogenously produced nitric oxide (NO) is one of the key signaling factors activating stress tolerance mechanisms in plants. Thus, the application of synthetic NO donors as stress-protective phytoeffectors might support maintaining plant growth and productivity under stressful conditions. Sydnone imines (sydnonimines) are a class of clinically established mesoionic heterocyclic NO donors which represent a promising candidate group for such phytoeffectors. Therefore, here, we provide an overview of the current progress in the application of sydnone imines as exogenous NO donors in plants, with a special emphasis on their potential as herbicides as well as herbicide antidotes, growth stimulants and stress protectors triggering plant tolerance mechanisms. We specifically address the structure–activity relationships in the context of the growth modulating activity of sydnone imines. Growth stimulating or antidote effects are typical for 4-α-hydroxybenzyl derivatives of sydnone imines containing an alkyl substituent in position N-3. The nature of the substituent of the N-6 atom has a significant influence on the activity profile and the intensity of the effect. Nevertheless, further investigations are necessary to establish reliable structure–activity relationships (SAR). Consequently, sydnone imines might be considered promising phytoeffector candidates, which are expected to exert either protective effects on plants growing under unfavorable conditions, or herbicidal ones, depending on the exact structure.
1. Introduction
In nature, plants are often subjected to an unpredictable combination of environmental stresses for relatively long periods of time [1]. Due to the oncoming global climate changes, the impact of abiotic stresses on plants is continuously increasing, ultimately leading to reduced crop productivity. Obviously, a severe long-term persisting environmental stress impact cannot be sustained by the organism and ultimately leads to viability loss and death. On the other hand, transient stress application triggers adaptive responses which ensure plant survival during the unfavorable period and help sustain or regain its productivity [2]. Therefore, development of new strategies to enhance plant multi-tolerance to short- and middle-term stresses is the central problem of modern agricultural research.
In order to adapt to harsh conditions, plants tend to retain tissue water by regulating water-use efficiency, and respond by stomatal closure, growth retardation, accumulation of osmoprotectors, etc. [3]. Despite its vital importance for plant survival, this adaptive strategy causes adverse effects to plant physiology, which are manifested by earlier entrance into the reproductive phase, formation of low-quality seeds and accelerated senescence [4,5,6,7]. These events dramatically affect the nutritional value of crop plants and need to be avoided in everyday agricultural practice. The damage of valuable crop nutrients (proteins, lipids and carbohydrates) is tightly associated with changes in plant metabolism triggered by environmental stress, especially those related to its redox component [8,9]. Thus, stomatal closure results in an imbalance in CO2/O2 exchange in leaf mesophyll. The resulting deficit of CO2 in mesophyll chloroplasts, in turn, causes a lack of NADP+. This results in a pronounced decrease in the rate of electron transport between Photosystem II and Photosystem I, and consequently leads to an overload of the chloroplast electron transport chains (ETCs) and, therefore, termination of photosynthesis. On the other hand, the overloaded ETCs might donate electrons to O2, triggering an overproduction of reactive oxygen species (ROS) and reactive nitrogen species (RNS) in photosynthetically active tissues. ROS, such as singlet oxygen (1O2), superoxide anion radical (O2•−) and hydrogen peroxide (H2O2), are overproduced in the tissues of stressed plants and essentially contribute to stress-related cell damage [10]. This damage can be, however, essentially reduced via the activation of endogenic enzymatic and non-enzymatic antioxidant systems [10]. The enzymatic antioxidant defense is represented by ascorbate peroxidase, catalase, dehydroascorbate reductase, glutathione reductase, glutathione peroxidase, monodehydroascorbate reductase and superoxide dismutase. The non-enzymatic mechanisms rely on ascorbic acid, tocopherol, glutathione and phenolic compounds. Thereby, the operation of the ascorbate–glutathione complex is especially important for redox homeostasis. All the above-mentioned mechanisms are proven to accomplish an appropriate equilibrium of ROS generation and scavenging rather than totally remove it [11]. Moreover, the accumulation of sugar osmolytes parallel to developing oxidative stress in response to environmental stress might enhance the production of advanced glycation end-product AGE-modified proteins [12]. Additionally, due to an increased production of ROS, lipid peroxidation is stimulated and results in the generation of reactive intermediates (lipid peroxides and aldehydes, α-dicarbonyls, hydroxyaldehydes and dialdehydes) and the formation of advanced lipoxidation end products, ALEs [13]. Both glycated proteins and ALEs can be toxic due to their pro-inflammatory properties, as demonstrated in mammals [14]. Enhanced RNS generation leads to posttranslational modifications such as oxidation, nitration, nitrosation and metal- and S-nitrosylation, the so-called nitrosative stress. Thus, oxidative, carbonyl and nitrosative stresses caused by unfavorable environmental conditions might have a potential for a relevant impact on the nutritional properties of plant proteins, a topic under current research [15,16,17]. In this context, preserving not only yield but the quality of crops is also an important aspect which, unfortunately, is often underestimated when designing new strategies to improve the stress tolerance of crop plants.
On the other hand, ROS and RNS at low levels are not considered toxic but rather act as key signaling molecules that modify various physiological processes through the activation of different developmental programs. They stimulate the development of adaptive responses and coordinate them at the systemic level for acclimatization of the whole plant to the unfavorable environment [18]. The signaling role of ROS and RNS is accomplished via modification of the oxidative status of the targeted proteins via direct oxidation of Cys and Met residues [18]. The proteins subjected to such oxidation often belong to regulatory enzymes involved in phosphorylation/dephosphorylation-based signal transduction cascades and Ca2+ signaling, receptors and transcriptional factors [19]. ROS and RNS might impact, for example, on drought-related signaling via an interplay with hormone-dependent pathways [20,21]. Thus, understanding the molecular mechanisms underlying the ability of crop plants to withstand conditions of unfavorable environments and to fine-tune the stress-related production of ROS and RNS might give access to new cultivars with improved tolerance. This could improve the survival times of agriculturally valuable crops and would allow for sustaining their nutritional properties during and recovery after the application of stress conditions.
One straightforward and fast way to achieve the required plant stress tolerance is manipulation of the plant genome. However, this is then limited to a certain crop type or clone, and temporal and spatial control of induction is difficult, for example, GMOs have often proven less productive. Most importantly, in Europe the practical use of transgenic plants in routine agriculture is strictly regulated by legislation, and requires special approval [22,23]. For these reasons, the alternative approaches for the improvement of crop traits, not relying on genetic engineering but chemical intervention, has regained importance, boosted by exploiting informational resources of functional genetics (metabolomics, proteomics and transcriptomics). Based on the information of a plant’s transcriptome, proteome and metabolome, enzymes or regulatory proteins critically important for the manifestation of the deleterious effects associated with the response to one or combined stresses can be identified. For these targets, appropriate inhibitors (i.e., phytoeffectors acting as stress-protective agrochemicals) can be selected and synthetically optimized. This strategy, known as the phytoeffector approach, was established among others by our group [24,25]. In general, this strategy is analogous to the pharmaceutical approach for medicines that modify metabolic processes, e.g., by inhibition of specific enzymes, change in hormone levels and signaling or similar interventions of processes underlying the pathogenesis of human disorders, now transferred to plants.
Therefore, targeting plant stress tolerance requires a comprehensive understanding of the underlying molecular mechanisms. The knowledge of these mechanisms will allow for identifying the enzymes involved in undesired manifestations of the natural stress response. Thus, by affecting selected enzymes, the phytoeffectors might suppress the development of oxidative stress and stress-related metabolic adjustment, and thereby reduce deleterious effects of abiotic stress on crop productivity.
Recently, NO was shown to be a potent modulator of drought stress response through ferritin regulation [26,27,28]. This fact directed the attention to NO donors, for example, sodium nitroprusside, as potential drought-protective phytoeffectors [29]. Another novel type of NO donors of heterocyclic nature such as sydnone imines (sydnonimines) have emerged in recent years as significant alternatives due to their increased hydrolytic stability and low toxicity as confirmed in pharmacokinetic studies [30]. Sydnone imines represent a class of mesoionic heterocyclic compounds [31] exhibiting a broad range of biological activities, and in this regard, they are successfully applied in medicine. Recently, sydnone imines were addressed as the plant phytoeffectors and reported to be potent growth modulators [32]. These compounds are prodrugs which after enzymatic activation and rearrangement can act as potent NO donors, and since NO is involved in the modulation of stress response, this class of compounds can be considered a source of prospective stress tolerance-enhancers as well. Therefore, here, we review the signaling role of NO in biological systems, and summarize the progress in (i) the application of sydnone imines in pharma as NO donors, and (ii) in use of different synthetically available sydnone imine derivatives as herbicides or plant growth stimulators. Additionally, we specifically address the structure–activity relationships in the context of the growth modulating activity of the sydnone imines. We focused on this topic considering the potential of sydnone imines as a new class of plant growth modulators and stress protectors.
2. NO Signaling in Biological Systems
Nitric oxide (NO) is a well-known toxic environmental pollutant, where enhanced anthropogenic production is associated with the process of fuel combustion in furnaces in manufacturing industries, as well as in the operation of catalyst-deficient cars and internal combustion engines [33]. NO reacts with oxygen to form brown NOx gases that are very dangerous if inhaled, causing lung irritation, airway inflammation and reacting in the blood to form methemoglobin [34]. In living organisms, NO is produced in very low, highly controlled quantities, both in animals and plants, where it acts as an important signaling molecule involved in a broad array of molecular events, generally referred to as NO signaling [26,35,36].
To date, the signaling role of NO in animals is better studied than in plants. Thus, in mammals, NO is directly involved in the regulation of ion channels and modulation of enzyme activities in mitochondria. Moreover, NO is involved in the homeostasis of several PTMs of proteins: S-nitrosylation, S-glutathionylation, tyrosine nitration and S-guanylation.
Obviously, the fact that NO reacts with thiols, proteins, sugars, metal ions, protein-bound hems and other compounds localized in different tissues assumes its presence (or rapid generation from precursors) in the physiological liquids and cytoplasm of cells. Thus, NO can be treated as an intra- and inter-cellular regulator and a paracrine (i.e., influencing the functions of neighboring cells) compound that regulates a number of physiological processes: host defense mechanism, nerve impulses, vasodilation and transmission, blood pressure regulation, smooth muscle relaxation and many others [30,37]. Historically, the discovery of the fact that NO binds the heme of soluble guanylate cyclase (sGC) to promote the conversion of GTP to cGMP for the downstream activation of protein kinase G was the starting point for the recognition of NOs importance in physiology.
The cGMP signaling is fundamental in cardiovascular physiology [38] and in neurotransmission. One of the first significant steps elucidating the biological role of NO was achieved by Murad et al. [39]. In 1978, in their work, they showed that nitroglycerine is able to elevate cGMP via activation of the enzyme-soluble guanylate cyclase. Further, as shown by Böhme et al. in 1979 [40], the sydnone imine-based drug molsidomine (Mols), an antianginal drug, enhances cGMP levels. In 1980, Furchgott [41] discovered an endothelial-derived relaxing factor (EDRF), a relaxing substance released by the endothelium after stimulation with acetylcholine (ACh), that in parallel to the nitrovasodilators elevates cGMP. Finally in 1987, Palmer et al. [42] came to the surprising conclusion that this factor is the simple molecule NO. In 1988, his group and others showed that the physiological source of NO is the amino acid L-arginine and they called the enzyme performing the conversion of L-arginine NO synthase. The chemistry of this enzyme system is rather complicated and not yet fully understood. The following Scheme 1 simplifies the process.
Scheme 1.
NO biosynthesis from arginine catalyzed by NO synthase.
Disruption of NO production causes a broad range of vascular diseases, as well as various immune and neurodegenerative disorders in humans. Probably, no other small endogenous compound performs such a versatile role of individual intra- and intercellular regulations in the mammalian organism (in plants though ethylene is another gaseous hormone). This fact stimulated exploration for novel NO donors with improved pharmacokinetic profiles and prolonged action.
The history of the study of NO effects in plants is much shorter. Thus, in late 90s, NO was described, to the best of our knowledge, for the first time as a molecule involved in plant-tolerant mechanism against pathogen attack [43,44]. It is likely that the biological effects of NO in plants are mediated by mechanisms analogous to those in animals. Thus, most of the effects of NO in plants are related to defense and in responses to environmental stress, as well as in symbiosis [45].
During evolution, plants have evolved a broad range of adaptive features and defense mechanisms against abiotic stresses, like a water-resistant cuticle on the plant surface, scavengers of ROS, UV absorbers, molecular chaperones, and compatible solutes which can accumulate in cells in response to stress. Indeed, strong generation of ROS and RNS is the common feature of all plant defense responses to abiotic stress. Qverproduction and accumulation of ROS and RNS ultimately result in the development of oxidative stress and oxidative damage of cellular molecules, especially polymers. When produced at low levels, NO performs as a plant homeostasis regulator and can act as both a negative and positive regulator depending on its location and concentration [46,47]. NO is involved in a wide range of developmental and physiological responses. Thus, its in vivo generation was confirmed starting from pollination and pollen tube growth, [48,49,50] during seed germination, [51] and root development [52,53]. Importantly, NO is also involved in the control of stomatal aperture [54,55]. Nitric oxide plays an important role in responses to stressors [56], including heavy metals [57], salt [58], extreme temperature [59], high intensity light [60] and pathogens [61]. It is believed that NO formation in plants might rely on reductive or oxidative pathways [62]. Thus, one of the most universal and best characterized pathways of reductive NO formation in plants is non-enzymatic. This process relies on the reduction of nitrites to NO under low pH or in highly reducing environments [63]. The enzymatic pathway of NO formation involves nitrate reductase (NR) in the reduction of nitrate to nitrite. Thereby, NADH and several other cofactors serve as electron donors, mandatory for this process. In the oxidative pathway, it was also shown that NR can interact with nitric oxide-forming nitrite reductase (NOFNiR) to produce NO from nitrite. NOFNiR belongs to the amidoxime-reducing component (ARC) protein family [64]. One more oxidative pathway of enzymatic NO production in plants relies on NOS-like activity in the presence of arginine [62,65]. Another pathway of endogenous NO production in plants employs the enzymatic conversion of polyamines (PAs). This pathway is only partly characterized, although Tun proposed that PAs enhance NO production [66]. Figure 1 schematically describes NO formation and regulation pathways in plants.
Our special interest is focused on modifying drought effects in plants, as drought is considered by far the most relevant factor contributing to crop yield losses. For the plant, it is critically important to sustain “high” NO levels in order to prevent possible drought-related damages. High NO tissue contents correspond to a “primed” state of the plant (i.e., triggered stress defense mechanisms) enhancing its chances of survival under drought conditions. One of the ways to supplement plants with enough NO is to support its formation through the application of phytoeffectors which can serve as exogenous NO donors or NO pro-phytoeffectors (“pro-drugs”). Relying on the fact that the majority of the fundamental principles of functioning of all living systems are common (cellular structure, existence of signaling and feedback systems, ligand–receptor interactions), one might expect that some of the substances that are physiologically active in humans and animals might be also active in plants. In other words, the search for new classes of compounds promising for use in the field of chemical plant protection agents is most productive among those classes of compounds of which the representatives reliably possess physiological activity with respect to humans and animals, and vice versa.
The correctness of the logic of this assumption was illustrated by the investigation Garcia-Mata et al. [67]. The authors showed that NO, when applied exogenously in the form of an inorganic NO donor sodium nitroprusside and organic S-nitroso-N-acetylpenicillamine, helps tolerate water stress conditions in wheat seeds. Later, in 2019, [68], exogenous NO, also from sodium nitroprusside, showed good results in plant drought tolerance enhancement when applied to Medicago sativa L. Following the exogenous NO donor approach, we focus on sydnone imines (Scheme 2) that are capable of NO release as well. They were found to be extremely valuable and effective in pharmaceutical applications.
Scheme 2.
Typical sydnone imine structure. Sydnone imines can be represented in the form of several resonance betaine structures (a–c).
Figure 1.
NO regulation of various stress responses in plants. NO either stimulates (normal end arrow) or inhibits (blunt end arrow) processes in plants, together with various plant hormones under drought conditions. The dotted line shows the pathways not clearly studied yet. The double-headed arrow shows the reciprocal regulation of molecules. Adapted from Santisree et al. with modifications [69].
2.1. Sydnone Imines as NO Donors in Pharmaceutical Studies
Sydnone imines represent a class of mesoionic heterocyclic compounds [31] exhibiting a broad range of biological activities, and in this regard, they are successfully appliedin medicine. For example, as is noted above, it has been found that the biological action of the antianginal drug molsidomine (compound 1) is related to its ability to release nitrogen oxide (Scheme 3) [70,71]. The decomposition of SIN-1A (unlike that of SIN-1) is a pH-independent process and involves oxygen. Oxygen consumption in buffered solutions of SIN-1 is correlated with the formation of nitrogen oxide. It is significant that NO is formed via SIN-1A together with SIN-1C. Compound SIN-1A is the activator of soluble guanylate cyclase; it increases the intracellular concentration of cGMP and, correspondingly, enhances its effects (vasodilation, inhibition of thrombocyte aggregation, neurotransmission, immune response regulation) typical of NO donors [72].
Scheme 3.
Nitrogen oxide release pathway from the drug molsidomine (compound 1).
The capability of sydnone imines to function as NO donors is described in detail in a number of papers [70,73,74], and a review on their synthesis and properties has been published [73].
In other words, sydnone imines are essentially metabolotropic drugs (prodrugs) of which the biotransformation results in the formation of NO molecules and anion radicals, which are responsible for the physiological effects. In a similar way, for example, the growth regulator ethephon slowly degrades under the release of ethylene upon entering a plant, thus affecting the ethylene status [75].
Consequently, it was shown that sydnone imine derivatives can lower blood pressure (hypotensive effect) [76], expand blood vessels, relax muscles [77], normalize the blood circulation system [78], and counteract platelet aggregation [79,80]. It is known that the toxicity of sydnone imines and their derivatives is significantly lower than that of other substances with similar pharmacological activity. Sidnofen is used in medicine as a psychostimulant [81] and sidnocarb [82], also a vasodilating drug like molsidomine, is used for stenocardia treatment [83]. All of them are sydnone imine derivatives. However, the ability of sydnone imines and their derivatives to stimulate plant growth is much less studied.
2.2. Sydnone Imines as Phytoeffectors in Plants
The hypothesis of using sydnone imines as plant growth regulators was suggested only quite recently and proposed in the recent work of Olshevskaya et al. [32]. The authors aimed at finding chemical plant protection agents among new classes of chemical compounds with herbicidal, antidotal or growth regulatory activity. The compounds tested for activity were the representatives of chemical classes demonstrating pronounced physiological activity against humans and animals. Due to their high pharmacological activity as exogenous NO donors, this list included sydnone imine derivatives. The authors addressed the effect of the tested compounds, shown in Figure 2, on the germination rates of sunflower seeds. As a result, they could estimate the order of probability of detection among the selected classes of compounds with the types of activity of interest. The tested sydnone imines differed in stability in aqueous aerobic media, availability of a large variety of derivatives and the ability to participate in redox processes. These characteristics make these compounds particularly attractive targets for screening studies. In addition, the compounds’ unusual chemical moieties may turn out to be unique objects of research, since there are no enzyme systems in living organisms natively evolved or focused on the metabolism of such xenobiotics with a bioorthogonal chemistry. Mesoionic sydnone imines belong to this group. According to the classical definition, “a compound may appropriately be called mesoionic if it is a (five-membered heterocyclic) compound which cannot be represented satisfactorily by any one covalent or polar structure and possesses a sextet of electrons in association with all the atoms comprising the ring. The ring bears a fractional positive charge, balanced by a corresponding negative charge located on a covalently attached atom or group of atoms” [84]. Sydnone imines can be represented in the form of several resonance structures, as shown in Scheme 2.
Figure 2.
Sydnone imine derivatives (compounds 2 and 3) tested on sunflower seeds.
The results of the tests of sydnone imine derivatives 2 and 3 in Figure 2 showed that both of them, in doses of 1 g/t (1 ppm) and 10 g/t (10 ppm) of seeds, had a negative effect on the germination of sunflower seeds. The reduction in germination in relation to water control for both compounds was dose-dependent, and ranged from 36 to 86%. Sydnone imine derivatives 2 and 3 also possess neither the growth stimulating, nor antidote activity against metsulfuron-methyl, a sulfonylurea-class herbicide (Zinger, WP) for sunflower seeds and has a negative effect on the seed germination rate itself. The germination inhibitory or herbicidal effect of compounds 2 and 3 was at the same level or exceeded that of the reference herbicide metsulfuron-methyl (Zinger, WP). Thus, as can be seen in Figure 3, the herbicidal or germination inhibitory effects of the sydnone imines 2 and 3 and simultaneously used metsulfuron-methyl are complex (not additive) and dose-dependent. The fact that both sydnone imines studied have activity is a hint that the ability to exert an influence on plant organisms is not a random result attributed to an individual compound but is related to the structural type. The herbicidal/germination inhibitory effect was very pronounced even at very low doses (1–10 g/t seeds), which indicates the ability of these compounds to penetrate into plant tissues and influence physiological processes at the molecular or cellular level.
Figure 3.
Effect of the sydnone imines 2 and 3 tested without and with the herbicide “Zinger” on sunflower seed germination for two concentrations [32].
Initially, each biological replicate included 15 seeds, which were counted on the 4th day after germination in wet paper in a Petri dish.
The results described above stimulated more detailed investigations of sydnone imine derivative influences on plant growth and development. In 2018, Moiseev et al. [85] investigated the growth-stimulating activity dependence on different structures of C4-unsubstituted sydnone imine derivatives 4–14, shown in Figure 4. They looked at the effect of the acyl substituent at N-6 and N-3 on the corn (maize) growth-stimulating activity, and the possibility to intensify early stages of plant development to accelerate the increase in mass of both the above-ground parts and the root system. The compounds were applied as seed pretreatments in doses of 1 and 10 g/t seeds. Since N-6-unsubstituted sydnone imines are stable only in the form of their salts, the sydnone imine derivatives under study were used as hydrochlorides (compounds 4–8) as well as N-6-acylated derivatives (compounds 9–14). N-6-substituted sydnone imines are stable compounds, and the use of sydnone imine salts provides good solubility in water and, as assumed, easier penetration into the seeds coat. N-6-acylated compounds 9–14 are more lipophilic, which can lead to a significant change in the distribution of the substance in the plant and, accordingly, to a change in the profile of the manifested activity. Considering this, compounds 12 and 13 are derivatives of compounds 2 and 3 (Figure 2) with herbicidal or germination inhibition effects on sunflower seeds, where N-6 is protected by a tert-butoxycarbonyl (Boc) group. Unlike the other acyl substituents 9–11, 14, the Boc-group is relatively easily and tracklessly removed from the molecule under acidic conditions. It was assumed in the paper [85] that the lipophilic Boc group is able to influence the molecule’s capability to penetrate through the cell membrane and accordingly influence compound distribution in the plant. However, the compound will be eliminated from the plant, leading to N-6-unsubstituted sydnone imine derivatives. But due to a different tissue distribution and Boc-removal kinetics, the compounds with the Boc group can have different effects than the parent compound.
Figure 4.
Structures of C-4-unsubstituted sydnone imine derivatives (compounds 4–13) and C-4-substituted sydnone imine derivative (compound 14) investigated for growth stimulating activity using the corn seeds of a Krasnodarskaya 12 cultivar.
Experiments on the growth regulating activity of sydnone imine derivatives (4–14) were performed under thermostatic conditions using the corn (Zea mays L.) seeds of a Krasnodarskaya 12 cultivar [85]. It was found that all sydnone imine derivatives studied, except for one, showed a statistically significant effect on the seed germination and seedling development of corn. In contrast to N-3-aminosubstituted compounds 2 and 3 (Figure 2), which suppressed sunflower seed germination [32], the N-6-Boc-derivative 12 turned out to be ineffective on corn seeds. Furthermore, compound 13 not only failed to suppress plant development but, vice versa, showed a growth stimulating effect on seedlings and their root system, especially at a dose of 10 g/t of seeds. The N-6-unsubstituted sydnone imines 4–8 were utilized in order to evaluate the influence of the substituent at the N-3 position on compound activity in plants as part of a basic SAR approach. Compound 4 with N-3-isopropyl substituent shows only weak herbicidal properties, whereas the N-3-alkylated derivatives 5–7 proved to be growth stimulators, interestingly stronger at the dose of 1 g/t than 10 g/t. This effect was seen for both seedlings and roots, and tended to decrease in action as the alkyl chain length increased. At a dose of 1 g/t, methyl derivative 5 was a strong growth simulant (seedling stimulation 43% and root stimulation 66%), whereas the corresponding values of the ethyl (40% and 47%) and n-butyl (26% and 11%) derivatives were markedly lower. Replacing one methylene link in the n-butyl group by oxygen (compound 8) markedly increased the growth stimulating effect, and especially so with respect to the root system (up from 11% to 71%), while alkyl chain branching in the case of isopropyl derivative 4, as noted above, inverted the activity profile to being herbicidal.
Acylation of the exocyclic nitrogen atom N-6 in the N-3-isopropyl derivative by acetyl and para-tolyl sulfonyl groups (compounds 9, 10, and 11, respectively) also appeared to significantly affect the activity profile of the compounds. In this series, compound 9 was an effective stimulator of seedling growth (26–46%, depending on the dose) and especially the root system (33–57%). Compound 10, while continuing to maintain its stimulating effect on seedlings at the same level as compound 9, lost it completely with respect to the root system. Tosyl derivative 11 exhibited a weaker stimulating effect in relation to seedlings. In relation to the root system, it even acted as a moderate herbicide. Unfortunately, the authors did not specify further details.
In summary, it was found that sydnone imine derivatives have a pronounced effect on the growth of corn seedlings and root system. This effect is growth-stimulating in most cases and is characteristic of the overwhelming majority of the studied compounds, but can also turn into having the opposite effects. A first qualitative SAR for the different effects was devised for substituents at the N-3 and N-6 positions of the core compound. There is a clear effect of the substituents on the type and strength of germination, growth and herbicidal effects, but this may also be plant species-dependent (v.i. for more data on species dependence). The growth stimulating effect is promoted by the absence of substituents at position N-6 and the presence of an unbranched alkyl chain in position N-3. Moreover, the effect is more pronounced in cases of a shorter chain or the presence of a heteroatom (which makes it more hydrophilic). Also, a lower dose of the active substance (1 g/t seed) appears to be more beneficial than a dose of 10 g/t seed. Obviously—as in mammals—the overdosing of NO is detrimental. In the case of N-6-acylated derivatives, the type of acyl group appears to primarily affect the severity of the stimulating effect on the root system rather than the upper parts of the seedlings. In the case of compounds with an N-3-isopropyl group, acylation of the N-6 position results in the growth stimulating properties of sydnone imine derivatives, regardless of the type of acyl group in the small group tested so far. For example, compound 14 showed that sydnone imine derivatives containing an additional substituent at the C-4 position can also exhibit growth stimulating properties. We also can see from paper [85] that compounds with an N-3-isopropyl group (4) at dose 10 g/t and compounds with an N-3-butyl group at dose 1 g/t exhibited the least root growth activity, but at the same time, they exhibited raised growth stimulating properties.
Indeed, further synthetic studies on the chemistry of sydnone imines by Cherepanov [86] broadened the scope of available sydnone imine derivatives with plant growth regulating activity via further modification, especially regarding substituents at C-4 [86]. It was found that α-aryl-substituted 4-hydroxymethylsydnone imines exhibit good plant growth regulating properties. Utilized as a pre-sowing treatment of corn seeds at very low doses (0.25–5 g per ton of seeds), each replicate included 15 tested seeds and each seed was germinated in wet paper in a Petri dish for 3 days at room temperature. Most of the compounds shown in Figure 5 showed a dose-dependent stimulation of the corn development, resulting in an increase in the shoots weight up to 64% compared to the control (Figure 6). It was shown that the Boc group at N-6 was able to influence the compound activity, both in quantity and in quality terms; nevertheless, this influence is not unequivocal. For example, N-6-unsubstituted compound 21 is more active at higher doses than its Boc-protected analog 15, while the activity of derivative 16 decreases dramatically when the dose is decreased to 0.25 g/t seeds. At the same time, the effect of compound 21 seems to be largely independent of the dose (within the limits tested). The effect was dose-dependent for compounds 16 and 22; however, this dependence had opposite directions: improved growth for 16, and in contrast, retarded growth for 22 with increasing dose. The plant growth stimulation effect also was dependent on substituent at N-3 position. Most active were the compounds with an N-3-isopropyl substituent. Aromatic substituents at a C-4 carbinol position (i.e., 1-hydroxybenzyl derivatives) also influenced the activity.
Figure 5.
α-aryl-substituted 4-hydroxymethyl-sydnone imines (compounds 15–23) with plant growth promoting properties in corn seeds (Krasnodarsky 291 AMV cultivar).

Figure 6.
Plant growth stimulating activity of compounds 15–20 in corn seeds (Krasnodarsky 291 AMV cultivar) [86]. Experiments were carried out in two parallels: compounds 15, 16, 21 and the control; and compounds 17, 18, 19, 20, 22, 23 and the control.
Cherepanov et al. reported [87] the effectiveness of sydnone imine derivatives as growth stimulators of plants belonging to different species, compared in pot experiments using the corn cultivars Krasnodar 291 AMV and winter wheat Moscow 56 (cereals, monocotyledons), and the Makhaon cultivar of sunflower (dicotyledon) as test plants. The seeds of the test plants were pre-sowed and left for germination in Petri dishes. Afterward, the seeds were transferred to 90 mm diameter pots and the plants were grown in sod-podzolic soil under controlled conditions of the artificial climate laboratory (FETCH chambers, Germany): the humidity in the chamber was 70%, the duration of the daylight was 16 h, the night was 8 h, the illumination during the day was 20,000 lux, the air temperature during the day was 25 °C, at night 16 °C, soil moisture was maintained at 60% via daily pollination by weight of each vegetative vessel with tap desalinated water. After 12–17 days, the above-ground mass of the test plants was cut and weighed. The tests were carried out as in previous pot experiments on corn [86], now with sydnone imine derivatives 17, 22, 23, 24 (Figure 7) at C-4 position substituted with a (4′ trifluoromethyl-phenyl) hydroxymethyl substituent. These compounds were of both subgroups, N-6-unprotected sydnone imine salts (22, 23) and N-6-Boc-protected compounds (17, 24). They were used for the pre-treatment (seed-priming/Beize) of seeds at the doses of 0.5, 1.0, 2.5 and 5.0 g/t seeds. The growth stimulating activity of the compounds was dose- and substituent-dependent, and the intensity of the effect (up to 37–53%) depended on the plant species too. Compounds 22, 17, 23 confirmed their growth-stimulating effect on corn (Figure 8), as found earlier [86], with compound 22 being the most active one (growth stimulation up to 53%). Compound 24 proved to be inactive. No significant differences in the activity of N-6-unsubstituted derivative 23 and N-6-Boc-substituted compound 17 were found (in contrast to the germination differences of C-4-unsubstituted derivatives discussed above). Compound 22 showed a more pronounced growth stimulation in corn at higher doses (2.5 and 5.0 g/t seed), while derivatives 17 and 23 were more active at lower doses of 0.5 and 1.0 g/seed. Only compounds 22 (up to 37% at doses of 2.5 and 5.0 g/t seed) and 17 (up to 28% at a dose of 1.0 g/t seed) showed growth stimulating activity with winter wheat (Figure 8). Compounds 23 and 24 were inactive. All compounds (17, 22, 23, 24) showed growth stimulating activity in sunflower (Figure 8). Compound 24 showed a more pronounced effect (up to 39%), and compounds 17, 22, 23 stimulated the growth of sunflowers by about 20%. The maximum growth stimulation exhibited by compounds 17 and 23 was similar (21–22%), but the N-6-unsubstituted derivative 23 stimulated sunflower growth in a broader range of doses than the N-6-Boc-substituted compound 17. In terms of chemical structure, the activity of sydnone imine derivatives is significantly influenced by the substituent at the N-3 position. The presence of the protective Boc group at the N-6 position can have a significant effect on the activity of the compound, but the nature of this effect cannot be predicted at present. All in all, the growth-regulating activity of sydnone imine derivatives has a pronounced dependence on the plant species, but needs a deeper look into with more derivatives and species and cultivars, and under different growth conditions.
Figure 7.
Sydnone imine derivatives (compounds 17, 22–24) contained in the C-4 position, the (4′-trifluoromethyl-phenyl-hydroxymethyl) substituent used for tests on different crop plant species.
Figure 8.
Growth regulating activity of compounds 22, 17, 23, 24 on varied crop plants: corn Krasnodar 291 AMV cultivar (A), Moscow 56 winter wheat (cereals) cultivar (B) and Makhaon cultivar sunflower (C) [87].
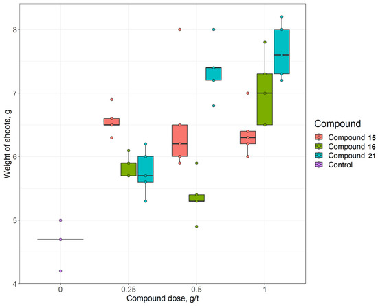
Cherepanov et al. [87] studied the ability of sydnone imines 15, 21, 22, 25–31 (Figure 9) to act as inducers of plant resistance to the phytotoxic effect of metsulfuron-methyl, one of the most important representatives of sulfonylurea herbicides. In addition to their growth regulatory effect, some sydnone imine derivatives have shown other effects on plant physiology. Thus, it was shown that they can exhibit the properties of herbicide antidotes [87,88]. Modern intensive agriculture is impossible without the use of herbicides in order to sufficiently control weeds. However, herbicide residues in the soil or, more problematically, in the final food product can significantly reduce the yield of cultivated plants in crop rotations, up to 35% [87], or forbid marketing at all, respectively. Herbicides of the sulfonylurea class, which are very widespread in agriculture, are particularly dangerous with respect to their negative effects on crops. They are able to exert their effect in small doses and are only slowly biodegraded. To reduce the phytotoxicity of herbicides or completely eliminate their negative effect, herbicide antidotes are used.
Figure 9.
Structures of sydnone imines (compounds 15, 21, 22, 25–31), tested as inducers of plant resistance to the phytotoxic effect of metsulfuron-methyl.
The corn of Krasnodar 291 AMV cultivar was used as a test plant in the pot experiments. Compounds 15, 21, 22, 25–31 were used for seed pretreatment at doses of 0.25, 0.5 and 1.0 g/t seed. The metsulfuron-methyl herbicide (Zinger, WP) was pre-applied with a sprayer to native sod-podzolic soil at a dose of 2 g/hectar. At the same, time in the same climate chamber, parallel experiments without herbicide-pretreatment of the soil were performed. The data obtained show that the effect of the sydnone imine derivatives on corn growth was dose-dependent. Most of them acted as corn growth stimulators. Importantly, an additional pro- or anti-herbicidal effect was visible in the presence of herbicides. Among them, sydnone imines 25, 26, 27 and 31 reduced or completely eliminated the effect of the herbicide at appropriate doses. Moreover, in these cases the result could not be explained by the simultaneous and oppositely directed growth-stimulating effect of the sydnone imine derivatives and the herbicidal effect of metsulfuron-methyl. That is, compounds 25, 26, 27 and 31 acted precisely as metsulfuron-methyl antagonists. Analysis of the structure–activity relationship showed that the growth-stimulating and antidote effects of the tested compounds were influenced by the structure of the alkyl substituent at position N-3, the nature of the substituent at position N-6 and the substituent in the para-position of the aryl substituent of the hydroxy-methyl at C-4.
The effect of the concentration of aqueous solutions of sydnone imine derivatives on seed germination and growth of axial organs in wheat has been studied [89]. Experiments were conducted on the seeds of winter wheat cultivar Moscow 39. Solutions of nine sydnone imine derivatives shown in Figure 10 at concentrations of 10−6, 10−7, 10−8 and 10−9 mol/L were used for the germination of wheat seeds. It was shown that in the indicated concentration range, various sydnone imine derivatives had both stimulating and inhibitory effects on seed germination and root and seedling development. Sydnone imines 22, 33 and 34 increased seed germination up to 100%. At the same time, derivatives 8, 15 and 32 showed inhibitory effects on seed germination (86–92%). In particular, compound 34 was found to stimulate root growth by 22–48% at concentrations of 10−7–10−9 mol/L (without visible specificity for any root part). Growth stimulation was also shown by derivatives 25 and 32, as with substances 15 and 17 which inhibited this process at concentrations of 10−6–10−9 mol/L with up to 72% more success compared to the control. The stimulation of seedling growth by 30–51% was observed for two compounds, 22 and 34, at concentrations of 10−6–10−7 mol/L. Several of the compounds tested (e.g., 15 and 17) inhibited seedling growth. As a result, the tests revealed one compound that stimulated both seed germination and axial growth (potential wheat growth stimulator) and two compounds that showed inhibitory effects on both seed germination and root and seedling growth (potential retardants).
Figure 10.
Structures of sydnone imine derivatives (compounds 5, 8, 15, 17, 22, 25, 32–34) tested for the germination of seeds under low- and high-temperature stress.
Unfavorable temperatures are among the common stressors which disturb physiological processes in agricultural plants and reduce their productivity. The treatment of plants with growth regulators is used to reduce the adverse effects of stressful temperatures. Since sydnone imine derivatives exhibit growth regulatory action, the same nine sydnone imine derivatives shown in Figure 10 were studied for a possible protective effect against temperature stress [90]. The experiments were performed on winter wheat (Triticum aestivum L.) of cultivar Moscow 39 and corn (Z. mays L.) cultivar hybrid Voronezhsky 158 CB. At the first stage, the growth-regulating activity of sydnone imines in concentrations ranging from 10−6 to 10−9 mol/L was evaluated by monitoring wheat and corn seedlings at the 7th day after seed germination. In the second step, the effect of seed priming was analyzed with preparations that maximally stimulated the growth of young plants when exposed to temperature stress caused by reduced or increased temperature (wheat 2 °C and 38 °C for 18 h; corn 3 °C or 43 °C for 24 h). The damaging effect of temperature stress conditions on plants was evaluated based on the electrolyte yield, chlorophyll fluorescence parameters, activity of plant antioxidant system components and reduction in oxidative stress markers. Four of the nine sydnone imines studied (15, 25, 32, 34) were found to stimulate the growth of wheat and corn plants and reduce the damaging effects of elevated and reduced temperatures.
The positive effect of sydnone imine derivative 5 (Figure 10) on corn plants under temperature stress (3 °C or 38 °C for 24 h) was shown in ref. [91]. Experiments were performed on corn (Z. mays L.) plants of the hybrid cultivar Cascade 195 CB using three sydnone imine derivatives at concentrations of 10−6, 10−7 and 10−8 mol/L for seed priming. One day after temperature exposure, the degree of plant damage and leaf surface area, as well as the intensity of lipid peroxidation in leaves by accumulation of malondialdehyde (MDA), were evaluated. It was found that all three tested compounds under low-temperature stress reduced the MDA content in plant tissues at almost all concentrations, compared to the control. MDA determination was achieved via a color reaction with thiobarbituric acid (TBC). Optical density characteristics for thiobarbituric acid-reactive substances (TBARS) were recorded on a UVmini1240 spectrophotometer at two wavelengths—532 nm and 600 nm. The amounts of TBARS (expressed as MDA equivalents) contained in the leaves was calculated in µmol MDA/g of fresh weight using the molar extinction coefficient (1.56 × 105 cm−1*M−1). In contrast, under high-temperature stress conditions, only one compound at a concentration of 10−8 mol/L reduced the intensity of lipid peroxidation in corn leaves.
Sokolova et al. [92] demonstrated the positive effect of sydnone imine derivatives 22, 32, 33 (Figure 10) on canola growth under stress conditions caused by Ni2+ presence. The effect of sydnone imine, used as seed pretreatment, on physiological and biochemical processes in rape seed seedlings against the background of heavy metals (HM) was studied for Ni2+, Pb2+, Zn2+ and Cu2+ at concentrations of 10 to 1000 μmol/L. HM ions induce oxidative stress in plant cells. Seed pretreatment with sydnone imine derivatives showed the best protective effects for 1000 μmol/L Ni2+ ions. At the same time, an increase in the germination of rape seeds, stimulation of growth of above-ground and underground organs of seedlings, decrease in O2•− radical generation rate and lipid peroxidation intensity were observed.
All described sydnone imines in Section 2.2 are very stable under environmental conditions according to the series of the works [31,32,70,85,86].
The most recent studies [93] from 2023 include compounds 8, 15, 16, 17, 18, 22, 32, 33 that were utilized for the pre-sowing treatment of winter wheat (T. aestivum L., two cultivars) and maize (Z. mays L., two hybrids) seeds in germinating experiments in a wide concentration range (10−9–10−4 mol/L). All compounds were found to affect the growth of the axial organs of germinated seeds, with the growth stimulating or inhibitory effect, as well as its rate being considerably different for wheat and maize and, in many cases, also for roots and shoots. Compounds 16, 18, 22 and 33 exhibited a growth promoting effect in germinating experiments, and were used at appropriate concentrations for pot experiments. For all compounds, the experiments showed a stimulating effect on the growth of roots (up to 80%), shoots (up to 112%), leaf area (up to 113%), fresh weights of roots (up to 83%) and aerial parts of the plants (up to 87%) or only on some of these parameters.
3. Conclusions
The discovery of NO as a versatile signaling molecule in both animals and plants revealed a plethora of physiological processes that are regulated by this small molecule. Some of these processes, which are critically important for the agricultural value of crops (e.g., germination, seed maturation, stress protection) can be affected by exogenous NO sources. Moreover, as the success of NO donors in human medical practice is obvious, something similar might be possible in plant and agricultural science as well. Therefore, NO donors which proved their efficiency in human organism, in modified form to meet the needs of agriculture and differentiate from human drugs, might serve as prospective phytoeffectors in plants. Sydnone imines, which represent one type of mesoionic heterocyclic compound, are efficient exogenous NO donors. Until recently, there were no data reported on the use of sydnone imines as phytoeffectors and their effect on plant physiology. However, since 2017, several reports highlighted that members of this compound class can act as plant growth stimulants, herbicide antidotes, retardants and germination inhibitors (and in some instances as herbicides), and inducers of plant tolerance to high temperature, salt and heavy metal ion stress. This perspective directs special attention to sydnone imines as promising potential phytoeffectors which might act as stress mitigators enhancing the stress tolerance of plants.
The review describes experimental data on tested sydnone imines and al proposes structure–activity relationships underlying growth stimulating or antidote effects, shown to be typical for 4-α-hydroxybenzyl derivatives of sydnone imines containing an alkyl substituent in position N-3. The nature of the substituent of the N-6 atom has a significant influence on the activity profile and intensity of the effect. In order to establish structure–activity relationships, a broader selection of sydnone imine derivatives needs to be explored in further series of experiments in adequate stress models, ideally in combination with functional genomics, i.e., with metabolomics, genomics and proteomics data taken into account. However, one should consider that not only description (as herein) of the structure–activity relationship (SAR), but also the development a predictive model for second-generation synthesis rounds in this case is challenging. Since the differential action of sydnone imines is not related to a specific (known) target but rather by uptake, the distribution and metabolic as well as non-biotic activation of the different derivatives is an unprecedented task in plant stress protector and phytoeffector research. This special behavior of sydnone imines in plants also currently poses application difficulties. The effects caused by sydnone imines in plants are very sensitive not only to the (controllable) substitution pattern of individual sydnone imines, but also to the very variable effective dose range of the phytoeffector for different plant species. New derivatives should have a wider application window (“therapeutic selectivity index”) and show little or ideally no effects on human and mammals to protect the applicants and livestock from adverse effects. Taking into account that application of sydnone imines as plant growth modulators is a quite new field of phytoeffector research; it is obvious that many aspects still need to be addressed and comprehensively studied in more detail, including NO levels and localization in treated plants.
Author Contributions
Validation, L.A.W.; resources, I.C., N.K. and S.M.; writing—original draft preparation, M.C.; writing—review and editing, L.A.W., A.F., T.B., M.C. and S.M.; visualization, N.E., E.R. and N.K. All authors have read and agreed to the published version of the manuscript.
Funding
This research was funded by the Russian Scientific Foundation (grant # 22-26-00337).
Data Availability Statement
Review, see original papers for data.
Acknowledgments
The infrastructural support from the Ministry of Science and Higher Education of the Russian Federation (theme # 122042700043-9) is acknowledged.
Conflicts of Interest
The authors declare no conflicts of interest.
Abbreviations
1O2: singlet oxygen; ABA: abscisic acid; ACh: acetylcholine; AGE: advanced glycation end products; ALEs: advanced lipoxydation end products; APX: ascorbate peroxidase; ARC: amidoxime reducing component; Boc: tert-butoxycarbonyl; CAT: catalase; cGMP: cyclic guanosine monophosphate; CK: cytokinins; CO2: carbon dioxide; Cys: cysteine; e.g.: exempli gratia; EDRF: endothelial-derived relaxing factor; ET: ethylene; etc.: etcetera; g: grams; g/t: grams of compound per ton of seeds; GA: gibberellic acid; GMO: genetically modified organism; GSNO: S-Nitrosoglutathione; GTP: guanosine triphosphate; h: hour; H2O2: hydrogen peroxide; HM: heavy metal; i.e.: id est; IAA: indole–acetic-acid; JA: jasmonic acid; lux: unit of illuminance, luminous flux per unit area; MDA: malondialdehyde; Met: methionine; mm: millimeter; Mols: molsidomine; NADP+: nicotinamide adenine dinucleotide; NADPH: nicotinamide adenine dinucleotide phosphate; NO: nitric oxide; NOFNiR: nitric oxide-forming nitrite reductase; NOS: nitric oxide synthase; NR: nitrate reductase; O2•−: superoxide anion radical; ONOO−: peroxynitrite; PAs: polyamines; pH: potential of hydrogen; ppm: parts per million; PTM: post-translational modifications; RNS: reactive nitrogen species; ROS: reactive oxygen species; SA: salicylic acid; SAR: structure–activity relationship; sGC: soluble guanylate cyclase; SIN: sydnone imine; SOD: superoxide dismutase; T. aestivum L.: Triticum aestivum L.; TBARS: thiobarbituric acid–reactive substances; TBC: thiobarbituric acid; Tyr: tyrosine; WP: wettable powder; Z. mays L.: Zea mays L.
References
- Boyer, J.S. Plant productivity and environment. Science 1982, 218, 443–448. [Google Scholar] [CrossRef] [PubMed]
- Osmolovskaya, N.; Shumilina, J.; Kim, A.; Didio, A.; Grishina, T.; Bilova, T.; Keltsieva, O.A.; Zhukov, V.; Tikhonovich, I.; Tarakhovskaya, E.; et al. Methodology of Drought Stress Research: Experimental Setup and Physiological Characterization. Int. J. Mol. Sci. 2018, 19, 4089. [Google Scholar] [CrossRef]
- Tuteja, N. Abscisic Acid and abiotic stress signaling. Plant Signal. Behav. 2007, 2, 135–138. [Google Scholar] [CrossRef] [PubMed]
- Barnabás, B.; Jäger, K.; Fehér, A. The effect of drought and heat stress on reproductive processes in cereals. Plant Cell Environ. 2008, 31, 11–38. [Google Scholar] [CrossRef] [PubMed]
- Shavrukov, Y.; Kurishbayev, A.; Jatayev, S.; Shvidchenko, V.; Zotova, L.; Koekemoer, F.; de Groot, S.; Soole, K.; Langridge, P. Early Flowering as a Drought Escape Mechanism in Plants: How Can It Aid Wheat Production? Front. Plant Sci. 2017, 8, 1950. [Google Scholar] [CrossRef] [PubMed]
- Sehgal, A.; Sita, K.; Siddique, K.H.M.; Kumar, R.; Bhogireddy, S.; Varshney, R.K.; HanumanthaRao, B.; Nair, R.M.; Prasad, P.V.V.; Nayyar, H. Drought or/and Heat-Stress Effects on Seed Filling in Food Crops: Impacts on Functional Biochemistry, Seed Yields, and Nutritional Quality. Front. Plant Sci. 2018, 9, 1705. [Google Scholar] [CrossRef]
- Ahkami, A.H.; Wang, W.; Wietsma, T.W.; Winkler, T.; Lange, I.; Jansson, C.; Lange, B.M.; McDowell, N.G. Metabolic shifts associated with drought-induced senescence in Brachypodium. Plant Sci. 2019, 289, 110278. [Google Scholar] [CrossRef]
- Shumilina, J.; Gorbach, D.; Popova, V.; Tsarev, A.; Kuznetsova, A.; Grashina, M.; Dorn, M.; Lukasheva, E.; Osmolovskaya, N.; Romanovskaya, E.; et al. Protein glycation and drought response of pea root nodule proteome: A proteomics approach. Biol. Commun. 2021, 66, 210–224. [Google Scholar] [CrossRef]
- Farooq, M.; Wahid, A.; Kobayashi, N.; Fujita, D.; Basra, S.M.A. Plant drought stress: Effects, mechanisms and management. Agron. Sustain. Dev. 2009, 29, 185–212. [Google Scholar] [CrossRef]
- Silveira, N.M.; Marcos, F.C.C.; Frungillo, L.; Moura, B.B.; Seabra, A.B.; Salgado, I.; Machado, E.C.; Hancock, J.T.; Ribeiro, R.V. S-nitrosoglutathione spraying improves stomatal conductance, Rubisco activity and antioxidant defense in both leaves and roots of sugarcane plants under water deficit. Physiol. Plant. 2017, 160, 383–395. [Google Scholar] [CrossRef]
- Foyer, C.H. Reactive oxygen species, oxidative signaling and the regulation of photosynthesis. Environ. Exp. Bot. 2018, 154, 134–142. [Google Scholar] [CrossRef]
- Shumilina, J.; Kusnetsova, A.; Tsarev, A.; Janse van Rensburg, H.C.; Medvedev, S.; Demidchik, V.; Van den Ende, W.; Frolov, A. Glycation of Plant Proteins: Regulatory Roles and Interplay with Sugar Signalling? Int. J. Mol. Sci. 2019, 20, 2366. [Google Scholar] [CrossRef] [PubMed]
- Vistoli, G.; De Maddis, D.; Cipak, A.; Zarkovic, N.; Carini, M.; Aldini, G. Advanced glycoxidation and lipoxidation end products (AGEs and ALEs): An overview of their mechanisms of formation. Free Radic. Res. 2013, 47 (Suppl. S1), 3–27. [Google Scholar] [CrossRef]
- Poulsen, M.W.; Hedegaard, R.V.; Andersen, J.M.; de Courten, B.; Bügel, S.; Nielsen, J.; Skibsted, L.H.; Dragsted, L.O. Advanced glycation endproducts in food and their effects on health. Food Chem. Toxicol. 2013, 60, 10–37. [Google Scholar] [CrossRef] [PubMed]
- Soboleva, A.; Frolova, N.; Bureiko, K.; Shumilina, J.; Balcke, G.U.; Zhukov, V.A.; Tikhonovich, I.A.; Frolov, A. Dynamics of Reactive Carbonyl Species in Pea Root Nodules in Response to Polyethylene Glycol (PEG)-Induced Osmotic Stress. Int. J. Mol. Sci. 2022, 23, 2726. [Google Scholar] [CrossRef]
- Leonova, T.; Popova, V.; Tsarev, A.; Henning, C.; Antonova, K.; Rogovskaya, N.; Vikhnina, M.; Baldensperger, T.; Soboleva, A.; Dinastia, E.; et al. Does Protein Glycation Impact on the Drought-Related Changes in Metabolism and Nutritional Properties of Mature Pea (Pisum sativum L.) Seeds? Int. J. Mol. Sci. 2020, 21, 567. [Google Scholar] [CrossRef] [PubMed]
- Lounifi, I.; Arc, E.; Molassiotis, A.; Job, D.; Rajjou, L.; Tanou, G. Interplay between protein carbonylation and nitrosylation in plants. Proteomics 2013, 13, 568–578. [Google Scholar] [CrossRef]
- Mandal, M.; Sarkar, M.; Khan, A.; Biswas, M.; Masi, A.; Rakwal, R.; Agrawal, G.K.; Srivastava, A.; Sarkar, A. Reactive Oxygen Species (ROS) and Reactive Nitrogen Species (RNS) in plants–maintenance of structural individuality and functional blend. Adv. Redox Res. 2022, 5, 100039. [Google Scholar] [CrossRef]
- Poteser, M.; Romanin, C.; Schreibmayer, W.; Mayer, B.; Groschner, K. S-Nitrosation Controls Gating and Conductance of the α1 Subunit of Class C L-type Ca2+ Channels. J. Biol. Chem. 2001, 276, 14797–14803. [Google Scholar] [CrossRef]
- Sanz, L.; Albertos, P.; Mateos, I.; Sánchez-Vicente, I.; Lechón, T.; Fernández-Marcos, M.; Lorenzo, O. Nitric oxide (NO) and phytohormones crosstalk during early plant development. J. Exp. Bot. 2015, 66, 2857–2868. [Google Scholar] [CrossRef]
- Xu, Y.; Burgess, P.; Zhang, X.; Huang, B. Enhancing cytokinin synthesis by overexpressing ipt alleviated drought inhibition of root growth through activating ROS-scavenging systems in Agrostis stolonifera. J. Exp. Bot. 2016, 67, 1979–1992. [Google Scholar] [CrossRef]
- Karky, R.; Perry, M. Disharmonization in the Regulation of Transgenic Plants in Europe. Biotechnol. Law Rep. 2019, 38, 350–375. [Google Scholar] [CrossRef]
- Turnbull, C.; Lillemo, M.; Hvoslef-Eide, T.A.K. Global Regulation of Genetically Modified Crops Amid the Gene Edited Crop Boom—A Review. Front. Plant Sci. 2021, 12, 630396. [Google Scholar] [CrossRef]
- De Block, M.; Verduyn, C.; De Brouwer, D.; Cornelissen, M. Poly(ADP-ribose) polymerase in plants affects energy homeostasis, cell death and stress tolerance. Plant J. 2005, 41, 95–106. [Google Scholar] [CrossRef] [PubMed]
- Geissler, T.; Wessjohann, L.A. A Whole-Plant Microtiter Plate Assay for Drought Stress Tolerance-Inducing Effects. J. Plant Growth Regul. 2011, 30, 504–511. [Google Scholar] [CrossRef]
- Saddhe, A.A.; Malvankar, M.R.; Karle, S.B.; Kumar, K. Reactive nitrogen species: Paradigms of cellular signaling and regulation of salt stress in plants. Environ. Exp. Bot. 2019, 161, 86–97. [Google Scholar] [CrossRef]
- Ederli, L.; Reale, L.; Madeo, L.; Ferranti, F.; Gehring, C.; Fornaciari, M.; Romano, B.; Pasqualini, S. NO release by nitric oxide donors in vitro and in planta. Plant Physiol. Biochem. 2009, 47, 42–48. [Google Scholar] [CrossRef]
- Murgia, I.; Concetta de Pinto, M.; Delledonne, M.; Soave, C.; De Gara, L. Comparative effects of various nitric oxide donors on ferritin regulation, programmed cell death, and cell redox state in plant cells. J. Plant Physiol. 2004, 161, 777–783. [Google Scholar] [CrossRef]
- Ziogas, V.; Tanou, G.; Belghazi, M.; Filippou, P.; Fotopoulos, V.; Grigorios, D.; Molassiotis, A. Roles of sodium hydrosulfide and sodium nitroprusside as priming molecules during drought acclimation in citrus plants. Plant Mol. Biol. 2015, 89, 433–450. [Google Scholar] [CrossRef]
- Fershtat, L.L.; Zhilin, E.S. Recent Advances in the Synthesis and Biomedical Applications of Heterocyclic NO-Donors. Molecules 2021, 26, 5705. [Google Scholar] [CrossRef]
- Cherepanov, I.A.; Moiseev, S.K. Chapter Two—Recent developments in the chemistry of sydnones and sydnone imines. Adv. Heterocycl. Chem. 2020, 131, 49–164. [Google Scholar] [CrossRef]
- Ol’shevskaya, V.; Cherepanov, I.; Spiridonov YuA, S.G.; Makarenkov, A.; Samarskaya, A. Herbicidal activity of carboranes, sydnone imine and ferrocene derivatives. Agrokhimiya 2017, 4, 16–21. [Google Scholar]
- Francisc, P.; Ioana, I. Anthropogenic Air Pollution Sources. In Air Quality; IntechOpen: London, UK, 2010. [Google Scholar] [CrossRef]
- Locey, B.J. Nitrites. In Encyclopedia of Toxicology, 2nd ed.; Wexler, P., Ed.; Elsevier: Amsterdam, The Netherlands, 2005; pp. 232–235. [Google Scholar]
- Hancock, J.T. Nitric Oxide Signaling in Plants. Plants 2020, 9, 1550. [Google Scholar] [CrossRef] [PubMed]
- Baudouin, E.; Hancock, J.T. Nitric oxide signaling in plants. Front. Plant Sci. 2013, 4, 553. [Google Scholar] [CrossRef] [PubMed]
- Lokhande, P.D.; Kuchekar, B.; Chabukswar, A.; Jagdale, S. Nitric Oxide: Role in Biological System. Asian J. Biochem. 2006, 1, 1–17. [Google Scholar] [CrossRef][Green Version]
- Francis, S.H.; Busch, J.L.; Corbin, J.D. cGMP-Dependent Protein Kinases and cGMP Phosphodiesterases in Nitric Oxide and cGMP Action. Pharmacol. Rev. 2010, 62, 525–563. [Google Scholar] [CrossRef] [PubMed]
- Murad, F.; Mittal, C.K.; Arnold, W.P.; Katsuki, S.; Kimura, H. Guanylate cyclase: Activation by azide, nitro compounds, nitric oxide, and hydroxyl radical and inhibition by hemoglobin and myoglobin. Adv. Cyclic Nucleotide Res. 1978, 9, 145–158. [Google Scholar]
- Bohme, E.; Spies, C.; Grossmann, G.; Herz, J. Stimulation of soluble guanylate cyclase by sydnone imines; relaxants of smooth muscle and inhibitors of platelet aggregation. Naunyn Schmiedebergs Arch. Pharmacol. [Suppl.] 1981, 316, R26. [Google Scholar]
- Furchgott, R.F.; Zawadzki, J.V. The obligatory role of endothelial cells in the relaxation of arterial smooth muscle by acetylcholine. Nature 1980, 288, 373–376. [Google Scholar] [CrossRef]
- Palmer, R.M.; Ferrige, A.G.; Moncada, S. Nitric oxide release accounts for the biological activity of endothelium-derived relaxing factor. Nature 1987, 327, 524–526. [Google Scholar] [CrossRef]
- Delledonne, M.; Xia, Y.; Dixon, R.A.; Lamb, C. Nitric oxide functions as a signal in plant disease resistance. Nature 1998, 394, 585–588. [Google Scholar] [CrossRef]
- Durner, J.; Wendehenne, D.; Klessig, D.F. Defense gene induction in tobacco by nitric oxide, cyclic GMP, and cyclic ADP-ribose. Proc. Natl. Acad. Sci. USA 1998, 95, 10328–10333. [Google Scholar] [CrossRef]
- Rasheed, R.; Ashraf, M.A.; Ali, S.; Iqbal, M.; Zafar, S.; Akbar, A.; Banik, A. Role of NO in plants: A current update. In Nitric Oxide in Plant Biology; Academic Press: Cambridge, MA, USA, 2022; pp. 139–168. [Google Scholar] [CrossRef]
- Leshem, Y.A.Y.; Haramaty, E. The Characterization and Contrasting Effects of the Nitric Oxide Free Radical in Vegetative Stress and Senescence of Pisum sativum Linn. Foliage. J. Plant Physiol. 1996, 148, 258–263. [Google Scholar] [CrossRef]
- Mur, L.A.J.; Mandon, J.; Persijn, S.; Cristescu, S.M.; Moshkov, I.E.; Novikova, G.V.; Hall, M.A.; Harren, F.J.M.; Hebelstrup, K.H.; Gupta, K.J. Nitric oxide in plants: An assessment of the current state of knowledge. AoB Plants 2013, 5, pls052. [Google Scholar] [CrossRef]
- Hiscock, S.; Bright, J.; McInnis, S.M.; Desikan, R.; Hancock, J.T. Signaling on the Stigma. Plant Signal. Behav. 2007, 2, 23–24. [Google Scholar] [CrossRef]
- Reichler, S.A.; Torres, J.; Rivera, A.L.; Cintolesi, V.A.; Clark, G.; Roux, S.J. Intersection of two signalling pathways: Extracellular nucleotides regulate pollen germination and pollen tube growth via nitric oxide. J. Exp. Bot. 2009, 60, 2129–2138. [Google Scholar] [CrossRef] [PubMed]
- Šírová, J.; Sedlářová, M.; Piterková, J.; Luhová, L.; Petřivalský, M. The role of nitric oxide in the germination of plant seeds and pollen. Plant Sci. 2011, 181, 560–572. [Google Scholar] [CrossRef] [PubMed]
- Arc, E.; Galland, M.; Godin, B.; Cueff, G.; Rajjou, L. Nitric oxide implication in the control of seed dormancy and germination. Front. Plant Sci. 2013, 4, 346. [Google Scholar] [CrossRef]
- Correa-Aragunde, N.; Graziano, M.; Lamattina, L. Nitric oxide plays a central role in determining lateral root development in tomato. Planta 2004, 218, 900–905. [Google Scholar] [CrossRef]
- Lombardo, M.C.; Graziano, M.; Polacco, J.C.; Lamattina, L. Nitric oxide functions as a positive regulator of root hair development. Plant Signal. Behav. 2006, 1, 28–33. [Google Scholar] [CrossRef]
- Neill, S.; Barros, R.; Bright, J.; Desikan, R.; Hancock, J.; Harrison, J.; Morris, P.; Ribeiro, D.; Wilson, I. Nitric oxide, stomatal closure, and abiotic stress. J. Exp. Bot. 2008, 59, 165–176. [Google Scholar] [CrossRef]
- Gayatri, G.; Agurla, S.; Raghavendra, A.S. Nitric oxide in guard cells as an important secondary messenger during stomatal closure. Front. Plant Sci. 2013, 4, 425. [Google Scholar] [CrossRef] [PubMed]
- Fancy, N.N.; Bahlmann, A.K.; Loake, G.J. Nitric oxide function in plant abiotic stress. Plant Cell Environ. 2017, 40, 462–472. [Google Scholar] [CrossRef] [PubMed]
- Gill, S.S.; Hasanuzzaman, M.; Nahar, K.; Macovei, A.; Tuteja, N. Importance of nitric oxide in cadmium stress tolerance in crop plants. Plant Physiol. Biochem. 2013, 63, 254–261. [Google Scholar] [CrossRef] [PubMed]
- Tailor, A.; Tandon, R.; Bhatla, S.C. Nitric oxide modulates polyamine homeostasis in sunflower seedling cotyledons under salt stress. Plant Signal. Behav. 2019, 14, 1667730. [Google Scholar] [CrossRef]
- Rai, K.K.; Pandey, N.; Rai, S.P. Salicylic acid and nitric oxide signaling in plant heat stress. Physiol. Plant. 2020, 168, 241–255. [Google Scholar] [CrossRef]
- Lytvyn, D.I.; Raynaud, C.; Yemets, A.I.; Bergounioux, C.; Blume, Y.B. Involvement of Inositol Biosynthesis and Nitric Oxide in the Mediation of UV-B Induced Oxidative Stress. Front. Plant Sci. 2016, 7, 430. [Google Scholar] [CrossRef]
- Mur, L.A.J.; Simpson, C.; Kumari, A.; Gupta, A.K.; Gupta, K.J. Moving nitrogen to the centre of plant defence against pathogens. Ann. Bot. 2017, 119, 703–709. [Google Scholar] [CrossRef]
- Crawford, N.M. Mechanisms for nitric oxide synthesis in plants. J. Exp. Bot. 2006, 57, 471–478. [Google Scholar] [CrossRef]
- Bethke, P.C.; Badger, M.R.; Jones, R.L. Apoplastic synthesis of nitric oxide by plant tissues. Plant Cell 2004, 16, 332–341. [Google Scholar] [CrossRef]
- Campbell, W.H. Structure and function of eukaryotic NAD(P)H:nitrate reductase. Cell. Mol. Life Sci. 2001, 58, 194–204. [Google Scholar] [CrossRef] [PubMed]
- Cueto, M.; Hernández-Perera, O.; Martín, R.; Bentura, M.L.; Rodrigo, J.; Lamas, S.; Golvano, M.P. Presence of nitric oxide synthase activity in roots and nodules of Lupinus albus. FEBS Lett. 1996, 398, 159–164. [Google Scholar] [CrossRef]
- Tun, N.N.; Santa-Catarina, C.; Begum, T.; Silveira, V.; Handro, W.; Floh, E.I.S.; Scherer, G.F.E. Polyamines Induce Rapid Biosynthesis of Nitric Oxide (NO) in Arabidopsis thaliana Seedlings. Plant Cell Physiol. 2006, 47, 346–354. [Google Scholar] [CrossRef]
- García-Mata, C.; Lamattina, L. Nitric oxide induces stomatal closure and enhances the adaptive plant responses against drought stress. Plant Physiol. 2001, 126, 1196–1204. [Google Scholar] [CrossRef] [PubMed]
- Zhao, Y.; Ma, W.; Wei, X.; Long, Y.; Zhao, Y.; Su, M.; Luo, Q. Identification of Exogenous Nitric Oxide-Responsive miRNAs from Alfalfa (Medicago sativa L.) under Drought Stress by High-Throughput Sequencing. Genes 2019, 11, 30. [Google Scholar] [CrossRef] [PubMed]
- Santisree, P.; Bhatnagar-Mathur, P.; Sharma, K.K. NO to drought-multifunctional role of nitric oxide in plant drought: Do we have all the answers? Plant Sci. 2015, 239, 44–55. [Google Scholar] [CrossRef] [PubMed]
- Khmelnitskaya, E.Y.; Levina, V.I.; Trukhacheva, L.A.; Grigoriev, N.B.; Kalinin, V.N.; Cherepanov, I.A.; Lebedev, S.N.; Granik, V.G. Sydnonimines as exogenous NO donors. Russ. Chem. Bull. 2004, 53, 2840–2844. [Google Scholar] [CrossRef]
- Schönafinger, K. Heterocyclic NO prodrugs. Il Farm. 1999, 54, 316–320. [Google Scholar] [CrossRef]
- Kankaanranta, H.; Knowles, R.G.; Vuorinen, P.; Kosonen, O.; Holm, P.; Moilanen, E. 3-Morpholino-Sydnonimine-Induced Suppression of Human Neutrophil Degranulation is Not Mediated by Cyclic GMP, Nitric Oxide or Peroxynitrite: Inhibition of the Increase in Intracellular Free Calcium Concentration by N-Morpholino-iminoacetonitrile, a Metabolite of 3-Morpholino-Sydnonimine. Mol. Pharmacol. 1997, 51, 882–888. [Google Scholar] [CrossRef]
- Yashunskii, V.G.; Kholodov, L. The chemistry of sydnone imines. Russ. Chem. Rev. 1980, 49, 28. [Google Scholar] [CrossRef]
- Newton, C.G.; Ramsden, C.A. Meso-ionic heterocycles (1976–1980). Tetrahedron 1982, 38, 2965–3011. [Google Scholar] [CrossRef]
- Rademacher, W. Plant Growth Regulators: Backgrounds and Uses in Plant Production. Russ. Chem. Rev. 2015, 34, 845–872. [Google Scholar] [CrossRef]
- Ingelheim, B.S. Sydnonimine Derivatives. GB 1219254A. 1971. Available online: https://typeset.io/papers/3-morpholino-n6-cyclohexylcarbonyl-sydnonimine-1dge30ms1i (accessed on 3 January 2023).
- Katsutada, M.; Yoshio, I. Sydnonimine Derivatives. US3312690. 1967. Available online: https://worldwide.espacenet.com/patent/search/family/026370876/publication/US3312690A?q=pn%3DUS3312690A (accessed on 3 January 2023).
- Hidaka, H.; Matsumoto, I.; Yoshizawa, J.; Kotani, S. Syndonimine Derivatives, Process for Production Thereof, and Use Thereof. US4421754A. 1983. Available online: https://worldwide.espacenet.com/patent/search/family/015061006/publication/US4421754A?q=pn%3DUS4421754A (accessed on 3 January 2023).
- Provost, P.; Tremblay, J.; Merhi, Y. The antiadhesive and antithrombotic effects of the nitric oxide donor SIN-1 are combined with a decreased vasoconstriction in a porcine model of balloon angioplasty. Arterioscler. Thromb. Vasc. Biol. 1997, 17, 1806–1812. [Google Scholar] [CrossRef] [PubMed]
- Gerzer, R.; Karrenbrock, B.; Siess, W.; Heim, J.M. Direct comparison of the effects of nitroprusside, SIN 1, and various nitrates on platelet aggregation and soluble guanylate cyclase activity. Thromb. Res. 1988, 52, 11–21. [Google Scholar] [CrossRef] [PubMed]
- D’iakonova, T.L.; Samonina, G.E. The naloxone-dependent effects of the psychostimulant sidnofen: A study on identified neurons of the snail. Zhurnal Vyss. Nervn. Deiatelnosti Im. IP Pavlov. 1994, 44, 786–795. [Google Scholar]
- Mashkovsky, M.D.; Yashunsky, V.G.; Altshuller, R.A.; Knolodov, L.E.; Avrutsky, G.Y.; Alexandrovsky, J.A.; Smulevich, A.B. Novel Sydnonimine Derivative. GB1262830A. 1972. Available online: https://worldwide.espacenet.com/patent/search/family/010270292/publication/GB1262830A?q=GB1262830A (accessed on 3 January 2023).
- Rosenkranz, B.; Winkelmann, B.R.; Parnham, M.J. Clinical Pharmacokinetics of Molsidomine. Clin. Pharmacokinet. 1996, 30, 372–384. [Google Scholar] [CrossRef] [PubMed]
- Baker, W.; Ollis, W.D. Meso-ionic compounds. Q. Rev. Chem. Soc. 1957, 11, 15. [Google Scholar] [CrossRef]
- Cherepanov, I.A.; Spiridonov, Y.Y.; Chichvarina, O.A.; Samarskaya, A.S.; Ponomaryov, A.B.; Moiseev, S.K. Growth Stimulating Activity of Sydnonimine Derivatives. Agrochemistry 2018, 9, 50–55. [Google Scholar]
- Cherepanov, I.A.; Shevaldina, E.V.; Lapshin, D.A.; Spiridonov, Y.Y.; Abubikerov, V.A.; Moiseev, S.K. 4-lithiosydnone imines: Generation and stability. Plant growth regulating activity of 4-hydroxymethyl derivatives of sydnone imines. J. Organomet. Chem. 2021, 943, 121841. [Google Scholar] [CrossRef]
- Cherepanov, I.A.; Spiridonov, U.Y.; Abubikerov, V.A.; Spiridonova, I.U.; Kalganova, N.V.; Lapshin, D.A.; Moiseev, S.K. Sydnone Imine Based Herbicide Antidotes. Agrochemistry 2022, 4, 36–45. [Google Scholar]
- Cherepanov, I.A.; Spiridonov, Y.Y.; Moiseev, S.K.; Frolova, N.G. Substituted Sydnone Imines as Herbicides Antidotes, Russia. RU2772224C1. 2022. Available online: https://patents.google.com/patent/RU2772224C1/en (accessed on 3 January 2023).
- Lukatkin, A.S.; Golovatskaya, A.S.; Cherepanov, I.A.; Moiseev, S.K. Evaluation of the potential use of a new class of regulators to stimulate early growth of wheat. In Proceedings of the II Republican Scientific Conference “Adaptation of Living Organisms to Changing Environmental Conditions”, Dushanbe, Tajikistan, 24 September 2021; pp. 21–25. [Google Scholar]
- Guryanova, A.S.; Lukatkin, A.S.; Galkina, A.A.; Kalganova, N.V.; Cherepanov, I.A.; Moiseev, S.K. Protective effect of oxadiazolonium derivatives on growth and temperature stress markers in Triticum aestivum L. and Zea mays L. plants. In Proceedings of the III International Scientific Conference “Cell Biology and Plant Biotechnology”, Minsk, Belarus, 24–27 May 2022; p. 90. [Google Scholar]
- Galkina, A.A.; Ignatieva, O.V.; Lukatkin, A.S.; Kalganova, N.V. The effectiveness of oxadiazolonium derivatives under the effect of temperature stress on corn plants. In Proceedings of the XVII All-Russian Scientific and Practical Conference “Ecology of the native land: Problems and solutions”, Kirov, Russia, 26–27 April 2022; pp. 228–231. [Google Scholar]
- Sokolova, A.S.; Ivanov, B.D. Modification of canola adaptive responses to stress by growth regulators. In Proceedings of the III International Scientific and Practical Conference “Cell Biology and Plant Biotechnology”, Minsk, Belarus, 24–27 May 2022; p. 103. [Google Scholar]
- Lukatkin, A.S.; Sokolova, A.S.; Lukatkin, A.A.; Cherepanov, I.A.; Kalganova, N.V.; Moiseev, S.K. Sydnone Imines: A Novel Class of Plant Growth Regulators. Agrochemicals 2023, 2, 203–219. [Google Scholar] [CrossRef]
Disclaimer/Publisher’s Note: The statements, opinions and data contained in all publications are solely those of the individual author(s) and contributor(s) and not of MDPI and/or the editor(s). MDPI and/or the editor(s) disclaim responsibility for any injury to people or property resulting from any ideas, methods, instructions or products referred to in the content. |
© 2024 by the authors. Licensee MDPI, Basel, Switzerland. This article is an open access article distributed under the terms and conditions of the Creative Commons Attribution (CC BY) license (https://creativecommons.org/licenses/by/4.0/).