Abstract
In the least developed countries, the informal sector faces great challenges in accessing healthcare services since most people are not mainstreamed. This has prompted the formation of groups as a way of empowerment. The objective of this study was to examine the factors contributing to health microinsurance uptake among the informal sector groups so as to enable companies to reposition in this market. Quantitative data was collected from 1600 informal sector groups, and Principal Component Analysis was used to extract the main factors. Structural Equation Modeling was applied to adjust for individual response styles, assess unobservable latent variables, provide numerical estimates for each of the parameters in the model and indicate the strength of the relationships. This study found that informal sector culture was highly rated in repositioning health microinsurance products, followed by the use of mobile phone technology, then the mode of communication, social capital and finally, perception. With the inclusion of mobile phone technology, payment options were insignificant. These findings implied that, for health microinsurance companies to reposition in the informal sector market, trust, product value, packaging design, group support and assets need to be prioritized.
JEL Classification:
G22; C30; I30
1. Introduction
Tackling challenges affecting societal aspects, and specifically, healthcare, has grown in complexity over time [1]. This has posed challenges in achieving the sustainable development goal that advocates for healthy lives and the promotion of well-being for all at all ages [2]. In developing countries, the high cost of health care limits access to these services for many, given that 56% of the population lives below the poverty line earning less than one dollar a day. This situation is aggravated by the fact that 30% of the population lives in abject poverty, with only 2.9% of the poorest quintile covered by some sort of microinsurance. As a result, Out of Pocket payment for health services pushes many below the poverty line [3]. This has prompted most people to invest in informal groups to acquire some form of financial security [4].
Informal groups are powerful social networks constructed to achieve group interest. However, they lack awareness of health insurance products with poor access, limited product range, poor infrastructure, and fewer medical personnel [5]. With the retreat of the welfare state, many issues related to health hazards do not remain unique to the informal sectors of the economy, particularly in less developed countries. Straddled with high budget constraints and low purchasing power, insurance may not be the first consumable need by the informal sector; thus, a simple premium structure, easy to administer, and easily explained to the target groups will increase their understanding of the product [6]. Trust, liquidity constraints, group value proposition and behavioral constraints are important determinants of demand for first sales, with the largest single majority in the informal sector being in favor of a non-contributory financing mechanism with difficulties in implementing social contributions as the primary financing mechanism [7]. With new products in the market, consumers are found to be confused about how to upgrade to different offers and how to access customer services due to poor literacy and fear of automated customer care systems hence the need for companies to reposition their products [8].
Repositioning is a powerful marketing concept that focuses on the brand’s reputation and ranking among rival products. Companies may develop unique products or use distinguishing features of the brand to reposition in the mind of the target consumers. Reposition strategy deals with targeting and segmentation with the overall strategy aimed at making a brand occupy a distinct position in the customer’s mind [9]. In the informal sector, behavior and aggregate purchasing power provides an opportunity for various market-based approaches to better meet their needs and empower companies’ entry into the informal economy hence increase in their productivity [10]. Thus, innovative and entrepreneurship-sustainable strategies are needed to expand the effectiveness of any marketing strategy [11,12]. In the least developed countries, the informal sector constitutes a market opportunity that lacks infrastructure, transaction capacity, weak buying power and ignored institutional frameworks locking them into poverty [13]. In the informal sector, consumers are not necessarily driven by lower order needs but have various overlapping challenges at various stages, and branding exercises have to be innovative and tailored around their socio-cultural settings for acceptability [14]. At times, change in customer attitudes and preferences, new market entrants, change in the target market, and overall structural changes may resonate with structural failure. The company may consider establishing a new position, looking for underserviced niches, occupying the space and changing the customer’s perception of the product [15,16].
Therefore, companies need to be positioned around several parameters, including service, quality, access, scope, innovation, and demographics, with the main focus being the level of interaction with the ecosystem in which services are provided [14]. To enable the informal sector access to products and services, companies have to make tough financial decisions by considering consumers’ perceptions, mode of communication, the informal sector culture and social capital to discern their products as their positioning mantra [17]. In developing countries, Health Microinsurance (HMI) products are not well structured, and marketing guidance is required, with the dominant strategies being on service, value for money, attractiveness, reliability, selectivity, and brand name as powerful tools in product and services differentiation to enhance competitive advantage [18].
Consumers’ involvement in developing HMI products enhances their willingness to purchase, and marketing technical complexity is minimized. Thus, developing and combining multiple products enhances market competitiveness, motivates the informal sector groups’ decision making and boosts market penetration since HMI can be viewed as a normal good rather than as a necessary good. This enhances the groups’ willingness to pay the amount that the majority of the members could afford heuristically by consensus rather than replace the actuarial value of out-of-pocket payments [19]. To bridge this gap, this study focused on establishing informal group characteristics on the uptake of (HMI) products with the intention of providing sustainability to the underwriters and helping companies reposition in this volatile market segment. This study, therefore, hypothesized that:
- (a)
- There exists a significant relationship between perception and HMI uptake to inform repositioning.
- (b)
- There exists a significant relationship between communication and HMI uptake to inform repositioning.
- (c)
- There exists a significant relationship between social capital and HMI uptake to inform repositioning.
- (d)
- There exists a significant relationship between informal sector culture and HMI uptake to inform repositioning.
- (e)
- There exists a significant relationship between mobile phone technology and HMI uptake to inform repositioning.
2. Theories Underpinning the Study
The expected utility theory (EUT) opines that the decision maker compares their expected utility to make a choice based on the cost corresponding to their utility. The marginal utility of income on medical care may arise as a result of a transfer of income from low to high earners, which motivates more purchases of healthcare products and services even though income transfer in insurance may allow purchases beyond the consumers’ budget [20]. Consumers are thereby viewed as either rational or irrational, with a desirable feature of outcomes that can be evaluated using EUT. Thus, People make choices based upon a set of individual preferences in a rational manner where they seek to maximize gain while minimizing loss [21]. In this study, EUT formed the basis of consideration of consumers’ perception as a determinant of repositioning HMI products among the informal sector groups. Their willingness to purchase HMI is subjective and specific depending on preferences reflected in their utility function, with the aim of mitigating their risk levels. Perception gives available options through a cost benefits analysis before determining whether an action is worth taking [22]. The perceived benefit, risks and costs of certain actions can be dependent on preference and choice, quality, brand image and consumer’s level of income. However, people can also make a decision based on emotional satisfaction, love, or personal satisfaction [23]. The theory postulates that consumers have preferences and will most likely choose what to buy in a consistent and predictable manner based on their likings [24]. EUT was used in this study to anchor the variable perception as a determinant of repositioning in the informal sector.
Fulfilling consumers’ perceptions can be a dual process that may elucidate the use of an intuitive solution that may be implicit or explicit [25,26,27]. Communication, therefore, is imperative in manipulating and reinforcing consumers’ behavior and choice-making, leading to Dual Process (DP) theory [28]. By modifying the environment, automatic mental processes are triggered to favor the desired outcome intended to increase the salience of the desired action since changing consumers’ behavior towards new products is a challenge due to resistance and reluctance [29,30]. Therefore, there is a need for interpersonal communication with consumers on new products by creating consumer groups to harness peer pressure and build support, especially when consumers require access and clarity on pertinent products. Responding to traditional marketing strategies as applied in the informal sector that have a poor infrastructure with business units unable to operate optimally, far-reaching bidirectional communication innovations may be required for a company to reposition. DP theory anchors communication as a determinant of repositioning HMI products in the informal sector.
Social Capital Theory (SCT) forms the basis of defining groups’ tangible and intangible resources, shared values, and trust upon which they draw their livelihood. SCT has been used as an explanation for the decline in social cohesion and community values [31]. The majority of people in the informal sector operate as members of different but distinct social groups that shape and align one identity, values, and priorities. It is in this context that members together buy into risk mitigation instruments, such as health microinsurance, make friends and give each other moral support. For group resource allocation decisions, value can be elicited in terms of how individuals feel about the health of others as a group. The desirability of a healthy group is a major concern to individuals since it enhances reciprocity among themselves. In this study, SCT advances social capital as a determinant of repositioning HMI products for the informal sector. SCT, in this case, is also linked to the Human Relations Theory of demand for HMI in the informal sector [32]. Since SCT does not address groups’ influence, support, networks and shocks in repositioning, this study advanced Balance Theory (BT) and Exchange Theory (ET) to anchor the informal sector culture as a determinant of HMI uptake.
According to BT, persons with similar aspirations and attitudes are attracted to each other as they set to maintain the needed balance. They interact and share more on the basis of accomplishing common goals and enhancing physical proximity. Applying this theory in this study was key in assessing the complexities of repositioning HMI products by delivering market prices and incentives. Thus, group culture construed by influence in decision making, networks, sharing of information, adoption of innovation and new technologies were found to be appropriate factors in repositioning [32]. This was in line with (ET), which postulates that the perception of the reward an individual has to forego gratifies the need for social affiliation since group anxiety and embarrassment have cost implications. Since most of the informal sector groups are not controlled and regulated externally, their affiliation is brought together by social cohesion, support, and group integration. Rules and norms governing group actions and network characteristics tie the individuals with the group, and the resources that accrue to an individual within the group are viewed to be collectively beneficial [33], hence handy to be considered in repositioning.
Diffusion of Innovation (DOI) theory explains how over time, an idea or product mutates and diffuses through a specific social system; this results in people adopting new ideas, behaviors, or products [34]. DOI Theory, is applied in this study to explain the effect of changing the behavior of social systems to accelerate the adoption of new health products in the informal sector groups. Since successful product adoption can be accelerated by innovation, appropriate, affordable, and accessible innovation is required to eliminate social contagion [35]. The Rational Choice Theory (RCT) of demand informs the role of groups in making relevant and workable decisions helping in an understanding suitable environment for repositioning. The decision on the amount to pay reached by groups is always by consensus and reflects their priorities. Companies should therefore design trusted and accessible products with affordable payment options [36,37]. Demand being a determinant of price, can be scaled up when groups reach a consensus after understanding the product, taking into consideration households’ willingness to pay (WTP) based on their wealth, risk preferences and income [18]. Thus, households’ premiums should not be the major determinant for product repositioning and financing sources for an equitable healthcare system, necessitating the need for other sources. Therefore, decisions that involve minimal risk in the purchase should be initiated in an intuitive way to exploit the various effective purchasing decisions to heighten trust [38].
3. Methodology
This study adopted a descriptive cross-sectional study design with the target population being informal sector groups and the study participants being officials of the groups. Two-stage cluster sampling approach was applied since the area of study had seven economic blocks which were mutually homogenous with a high internal variation. A simple random sampling method was used to draw samples within the blocks [39]. This sampling approach was deemed appropriate since it enhanced consistency and minimized errors and misunderstandings during the analysis stage. The sample size was computed at a 95% level of significance with a 2% margin of error [40]. The study factored in a 20% non-response rate [41,42]. Hence, 2300 structured questionnaires with both closed-ended and five-point Likert Scale items were distributed. For completeness, accuracy and uniqueness, the data were double-checked, and Principal Component Analysis (PCA) was applied to ensure validity [43]. Data on demographic characteristics, perception, mode of communication, social capital, informal sector culture, use of mobile phone technology and HMI uptake were collected.
The variable perception had dimensions; distribution channel, value influence, treatment-seeking behavior, compensation to the risk, product payment design, priority, group objective and flexibility of group rules. The variable Communication had the dimensions; relevance, effectiveness, credibility, better remembered, familiarity, the extent of formal communication to inform, benefit, clarity, message consistency and mode of communication. The variable social capital was construed by the extent of bridging, degree of bonding, linkages, cognitive, social structure perspective, tangible assets, goodwill, and a consistent visit by agents. The dimensions of informal sector culture were governmental and politicians’ influence on the group decision-making, group networks, support of the innovation and new technologies, groups sharing health information and the effect of emerging issues. The use of Mobile Technology was construed by affordability, appropriateness, willingness to use, ability to use, access to needed information, approachability and accessibility to members, access to needed information on financial services, social media, and regular updates. Repositioning of HMI products, by considering uptake, was construed by the trust bestowed to the company giving insurance, cost–benefit analysis, the value of insurance protection, proximity to health services, payment options and effectiveness.
Summary measures statistics were used to describe data and factor analysis was used to collate similar items into themes. Structural Equation Modelling (SEM) was used to assess unobservable latent variables using one or more observed variables, combining factor analysis, regression, and path analysis. The method was used to indicate the strength of the relationship between the determinants of HMI uptake in addition to testing the overall theory [44]. The confirmatory factor model was used to obtain the factor loadings, estimates, factors variances and covariance and residual error. Covariance and correlations between variables were included in the bivariate relationships between the individual determinant and repositioning of HMI products [45].
4. Data Analysis, Results and Discussion
Out of the 2300 administered questionnaires, 1600 were completed and returned, representing a response rate of 69.56%. This was found to be appropriate since a higher response rate helps in reducing the possibility of a biased sample [46,47]. From Table 1, the majority of the informal group members were females (55.4%) as compared to 44.6% who were males.
Table 1.
Descriptive statistics.
The high number of females is due to the fact that females find social interactions more appealing and rewarding compared to males and are more sensitive to rewarding actions [48]. The majority of the group members were married (72.7%), implying that married persons are more inclined to join groups [49]. The main objective of the groups was financial savings (60.5%), then investments (28.1%), with the most preferred frequency of contribution being monthly (47.6%) followed by weekly (27.9%). Demographic characteristics explain the existence of social networks and the overall goal of achieving group interests in a community [50]. Table 2 reports other summary statistics obtained in the study.
Table 2.
Summary statistics.
Most of the groups were registered (61.6%), with the cash mode of contribution being more popular (70.3%) followed by the mobile payment option (23.9%).
From Table 2, most groups were self-help groups (49.7%), while investment groups were 22.8%. The frequency of meetings was mostly monthly (43.8%). This implied that since contributions were often made monthly, as reported in Table 1, they should have been during meetings. The majority of the members (66.9%) belonged to more than one group; this can be explained by the fact that most groups had one main objective and members had several goals to meet, this motivated members to belong to several groups. Since the need for belonging enhances meaningful existence and self-esteem, this makes social groups relevant [51]. 33.2% of the respondents reported not knowing where to obtain health insurance; this implied that education was essential for the informal sector groups to enhance awareness. 51.2% of the respondents reported family planning to be a health issue, the same proportion also reported lifestyle to be a health issue. The majority of the respondents preferred public health facilities (68.6%) compared to 27.1% who preferred private health facilities. These results implied that when designing microinsurance products, lifestyle diseases, as well as family planning need to be considered. Likewise, the product should be aligned with public health facilities and extensive education on access to insurance products was required. HMI products should be costed monthly, and premiums paid either by cash or use of mobile phone payment. The preference for a public hospital may have been attributed to the low cost, and trust in the services provided, even though waiting time and distance to the facility were reported as some of the limitations [18].
From Table 3, the eight indicators of perception were subjected to principal component analysis and four themes, namely, product value, design, relevance and group flexibility in making decisions were extracted using Varimax with Kaiser Normalization rotation method. On the other hand, the fourteen indicators of communication reported four themes after five iterations. The themes were information packaging, one-way presentational communication mode, one-way interpretative communication mode with no possibility of active negotiations and two-way interpersonal communication with a possibility of active negotiations of meanings between individuals.
Table 3.
Rotated component matrix for perception, communication, and social capital.
Social capital had eight constructs that converged after three iterations extracting two themes, namely, social interaction and groups assets. These results implied that social capital could be conceptualized by relations among members and their networks as well as tangible and intangible assets [52].
Table 4 reports the themes extracted from informal sector culture, mobile phone technology and HMI uptake.
Table 4.
Rotated component matrix of informal sector culture, mobile phone technology and HMI uptake.
From Table 4, the seven items used to construe informal sector culture reported four themes (components) after six iterations. The themes were an external influence, network, support, and emerging issues (shocks). The twelve items used to construe mobile phone technology reported four themes after six iterations. The themes were opportunities, desires, inclusivity, and accessibility. The dependent variable HMI uptake was construed using nine items that reported three themes, namely, trust, payment options and other factors not in the model.
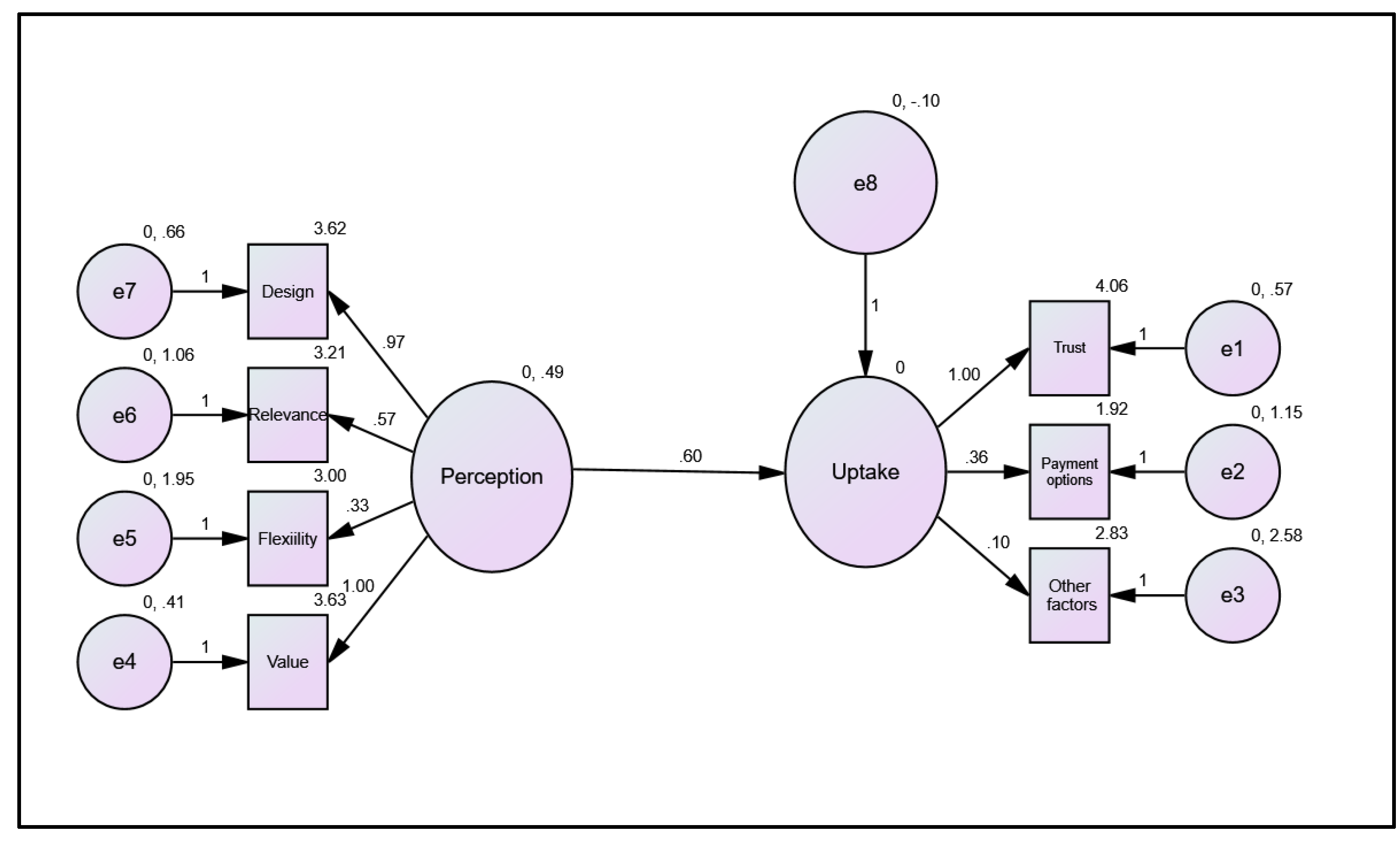
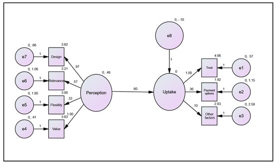
To test the hypotheses of the existence of a relationship between perception and HMI uptake to inform repositioning, Figure 1 reports the bivariate relationship.
Figure 1.
Bivariate relationship between perception and HMI uptake.
From Figure 1, it can be deduced that, an increase in perception by one unit will lead to an increase in uptake by 0.603 points, with product value and product design contributing more compared to relevance and flexibility. Trust registered the largest contribution for uptake, followed by payment options, while other factors not in the model contributed the least though insignificant. These results are supported in Table 5 with all the p values being less than 0.005 apart from the relationship between other factors and uptake.
Table 5.
Relationship between perception and HMI uptake.
Figure 2 reports that there exists a positive relationship between communication and HMI uptake in that an increase in communication by one factor point will lead to an increase in uptake by 0.701. The relationship was found to be significant (p < 0.05).
Figure 2.
Bivariate relationship of communication and HMI uptake.
These results implied that communication could be enhanced more by product packaging followed by presentational mode, interpersonal mode, and finally, interpretative mode. These results are supported in the Table 6.
Table 6.
Relationship between communication and HMI uptake.
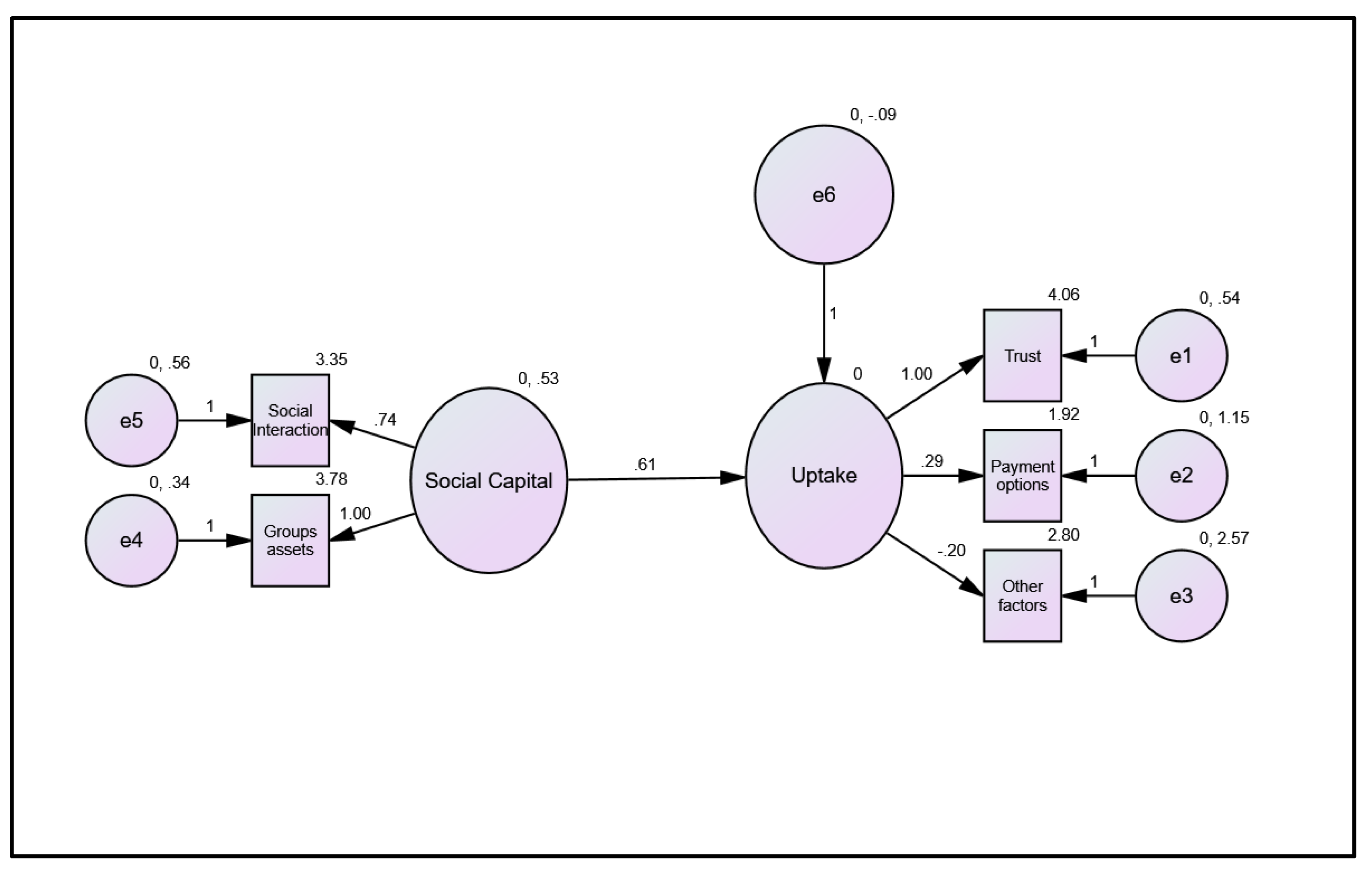
Figure 3 reports that social capital had a positive relationship with HMI uptake to inform repositioning.
Figure 3.
Bivariate relationship between social capital and HMI uptake.
An increase in social capital by one-factor point led to an increase in HMI uptake by 0.61. Assets were rated high, followed by interaction as measures of social capital. On the other hand, trust was rated high, followed by payment options, while other factors not included in the model were insignificant as measures of HMI uptake and product repositioning. These results are supported in the Table 7.
Table 7.
Relationship between social capital and HMI uptake.
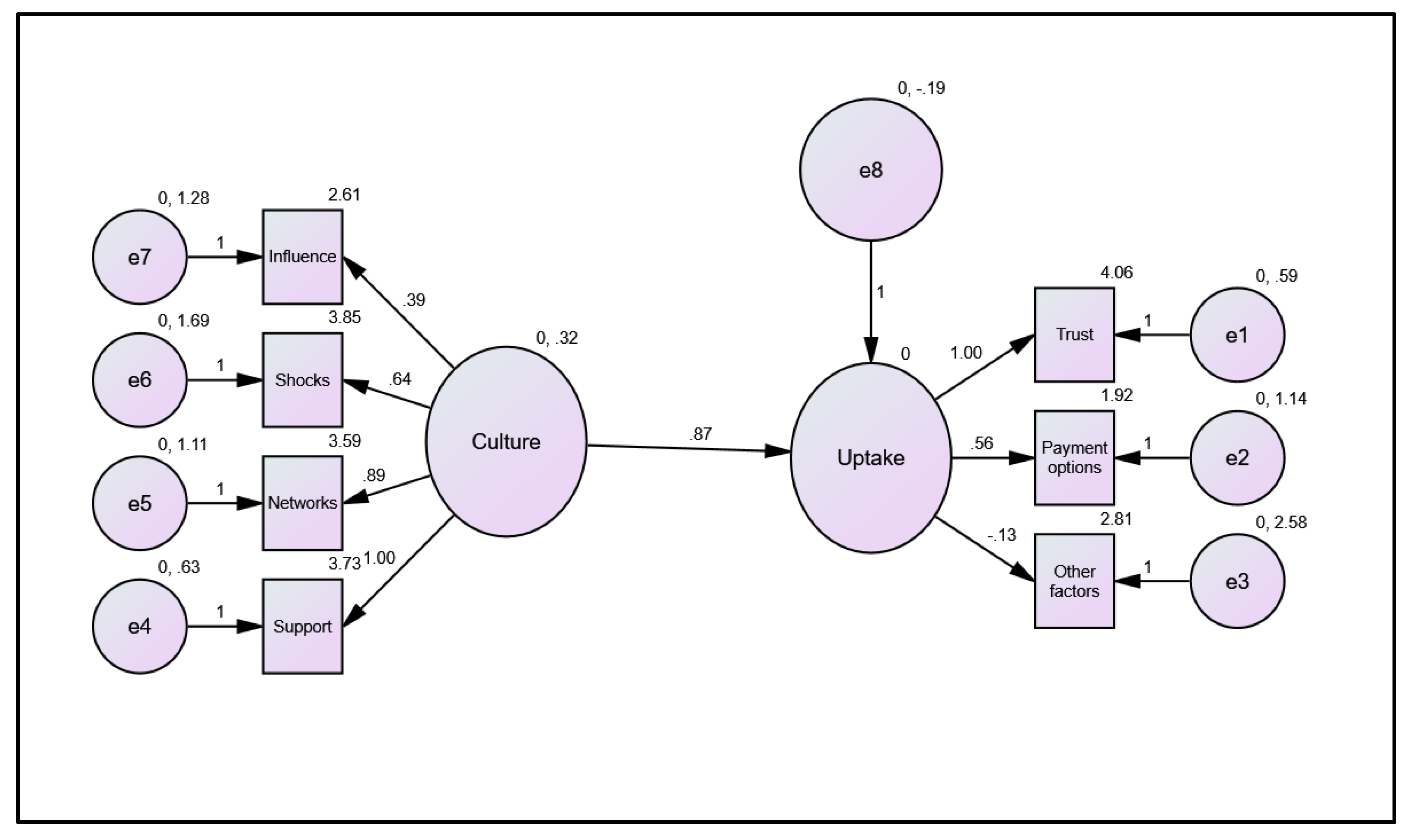
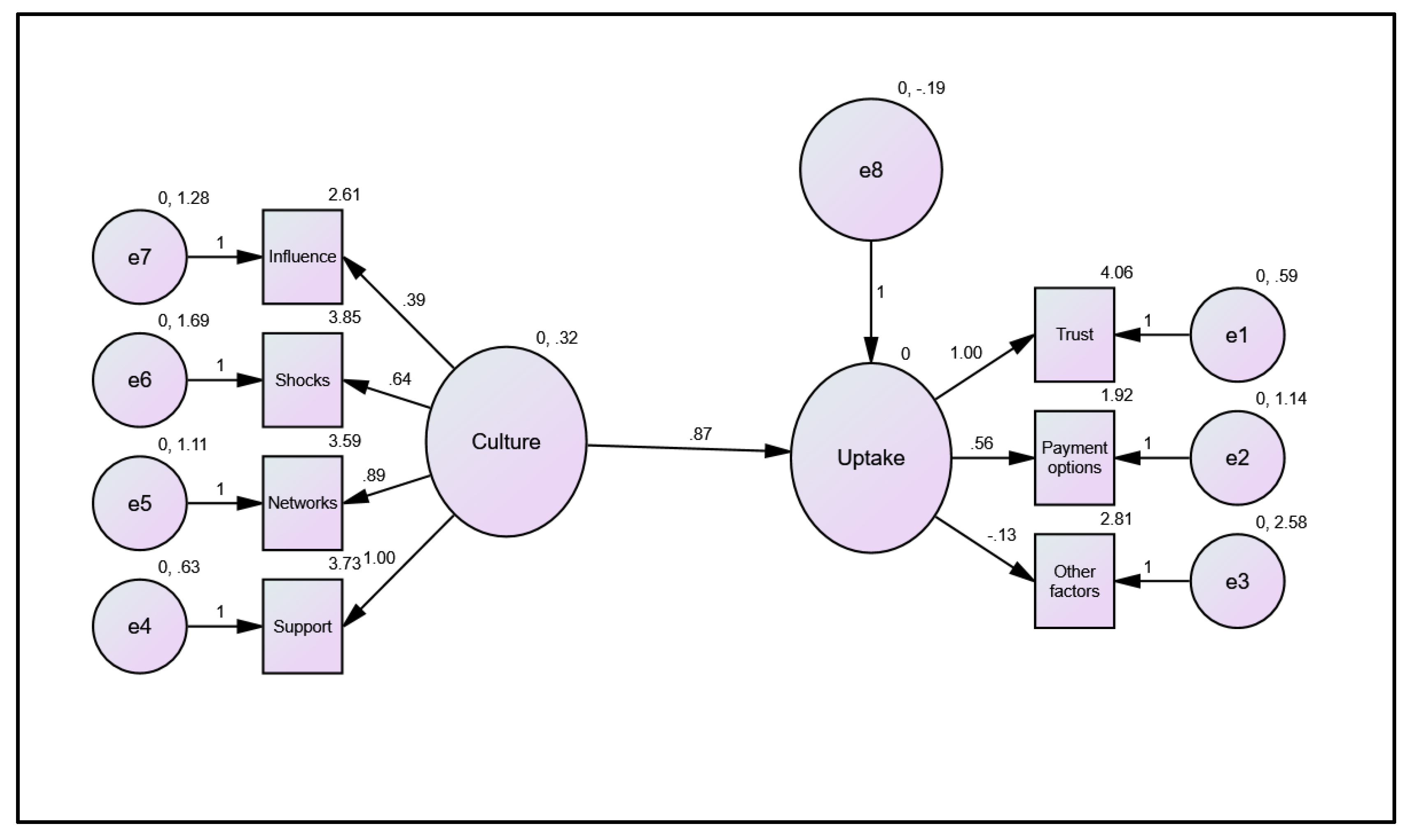
To test for the effect of informal sector culture on HMI uptake and repositioning, Figure 4 reports that a unit change in informal sector culture will increase uptake by 0.872. This relationship was found to be significant (p < 0.005).
Figure 4.
Bivariate relationship between culture and HMI uptake.
For the measures of informal sector culture, group support reported the highest effect, followed by networks, then shocks and finally influence. Trust and payment options reported a significant effect, while other factors not in the model were insignificant as measures of HMI uptake. These results are supported in the Table 8.
Table 8.
Relationship between culture and HMI uptake.
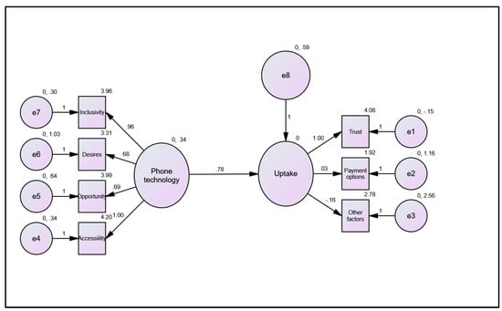
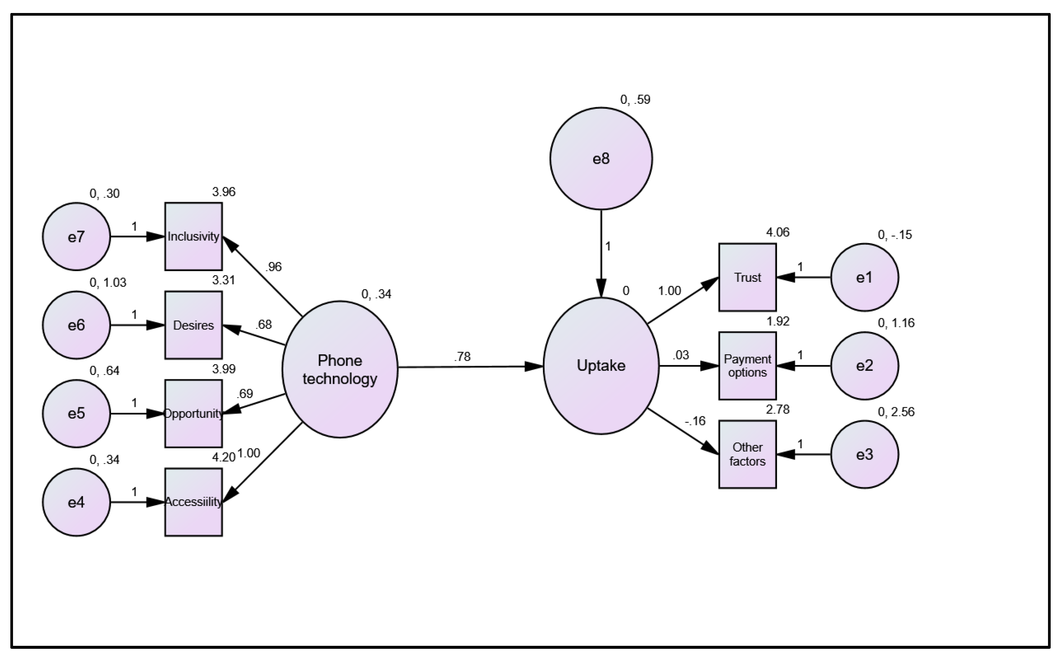
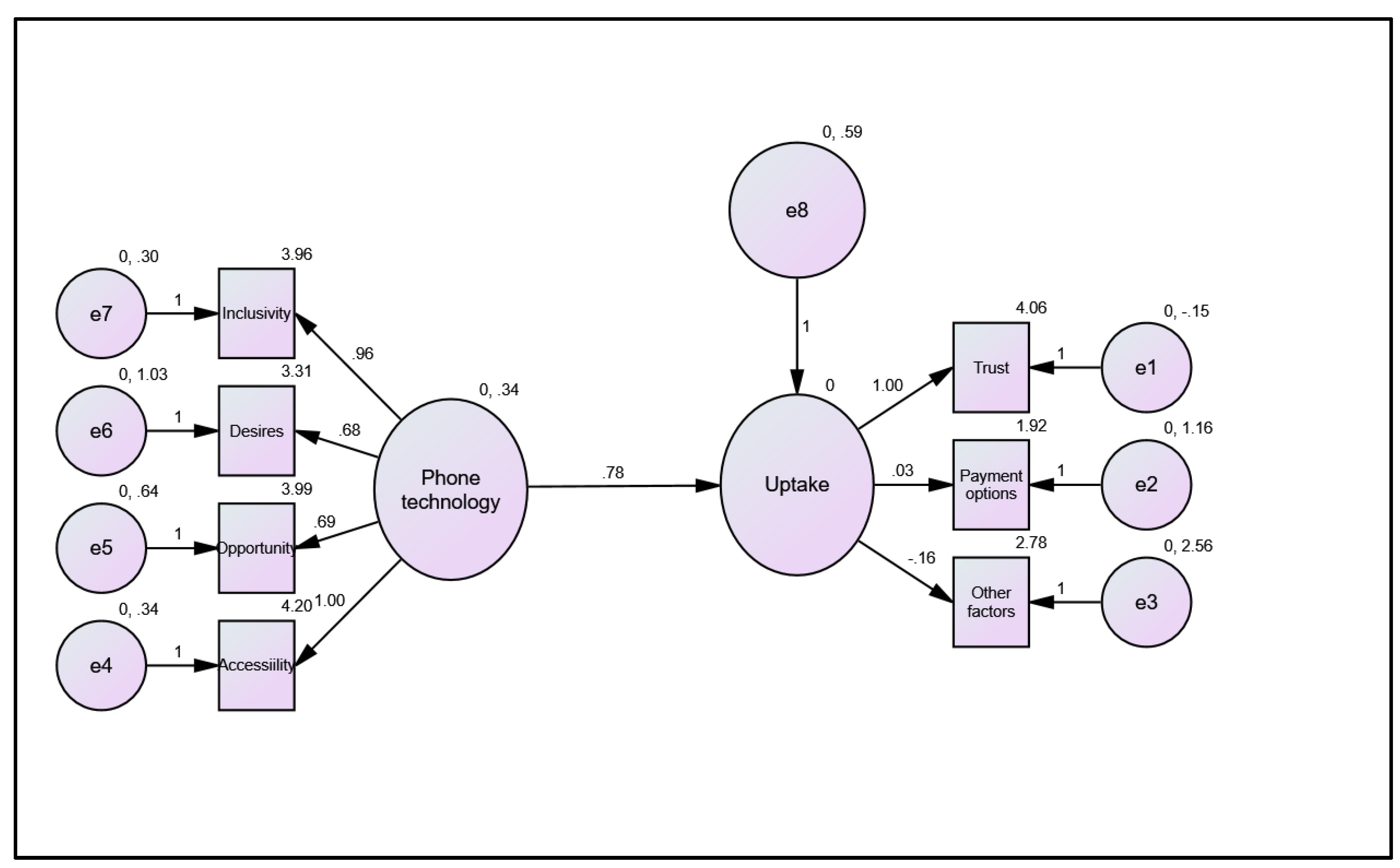
Figure 5 reports that the use of mobile phone technology will positively influence HMI uptake. Trust had a positive and significant effect on the uptake, while payment options and other factors reported insignificant effects.
Figure 5.
Bivariate relationship between mobile phone technology and HMI uptake.
Figure 5 results are supported by Table 9. From these results, opportunities available, group desires and inclusivity need to be taken into account in designing HMI products if mobile phone technology is to be used to reposition the company products.
Table 9.
Relationship between mobile phone technology and HMI uptake.
5. Conclusions
From this study, understanding demographic characteristics, namely females, married persons, financial saving characteristics, monthly contribution behavior, registered groups, and cash mode of payment within the informal groups allows the company to deliver highly customized HMI products. With the prevailing macro-trend as well as information space, strategic positioning should encompass these demographics. Repositioning of HMI products for the informal sector requires the implementation of major changes in the target groups’ market perception of the products by enhancing the product’s design, adding value, and making the product relevant and flexible. Trust in groups enhances support among one another and builds strong social networks that are able to get opportunities a company can ride on when repositioning their products. At the same time, the inclusivity of mobile phone innovation creates a strategic position that meets the desires as well as the opportunity that is difficult for competitors to equal. Therefore, in repositioning, products should be accessible, meet people’s expectations and should be convenient. Addressing trust issues through appropriate communication and product packaging avails an opportunity for microinsurance companies to mitigate low-income households’ vulnerability to risks. By putting into consideration the informal sector social capital in the form of group assets and being abreast with group culture in designing HMI products, companies will manage to penetrate the market with mutual cooperation. Thus, companies targeting informal groups should analyze their resources and capabilities and make choices selectively. Slight changes in companies’ policy can rapidly enhance market penetration at minimal cost, putting into consideration that informal sector groups are influenced from within as well as externally. Prioritization of group culture can be a repositioning strategy for attracting potential customers since there exists a significant direct relationship between repositioning and HMI uptake. Examining the moderating and interaction effect of mobile phone technology and perception, capital, culture, and communication on HMI product uptake would be another prime area for further research. This will enable companies to upscale the use of technology and innovation in repositioning.
Author Contributions
Conceptualization, L.N.M. and J.O.M.; methodology, L.N.M.; software, L.N.M.; validation, L.N.M. and J.O.M.; formal analysis, L.N.M.; Investigation, L.N.M. and J.O.M.; resources, L.N.M. and J.O.M.; data curation, L.N.M. and J.O.M.; writing—original draft preparation, L.N.M. and J.O.M.; writing—review and editing, L.N.M. and J.O.M.; visualization, L.N.M. and J.O.M.; supervision, L.N.M. and J.O.M.; project administration, L.N.M. and J.O.M.; funding acquisition, J.O.M. All authors have read and agreed to the published version of the manuscript.
Funding
This study was funded by IDRC-Villgro Africa grant award VA-R&D002.
Institutional Review Board Statement
The study was conducted in accordance with National Commission for Science, Technology and Innovation NACOSTI (Ref: 676099) and approved by the Jomo Kenyatta University of Agriculture and Technology Institutional Review Board (approval Number JKU/IERC/02316/0059 of 14 January 2021).
Informed Consent Statement
Informed consent was obtained from all subjects involved in the study.
Conflicts of Interest
The authors declare no conflict of interest.
References
- McCartney, G.; Douglas, M.; Taulbut, M.; Katikireddi, S.V.; McKee, M. Tackling population health challenges as we build back from the pandemic. BMJ 2021, 375, e066232. [Google Scholar] [CrossRef] [PubMed]
- Nhamo, G.; Mjimba, V. The Context: SDGs and Institutions of Higher Education. In Sustainable Development Goals and Institutions of Higher Education; Springer: Cham, Switzerland, 2019. [Google Scholar]
- Okungu, V.; Mclntyre, D. Does the Informal Sector in Kenya have Financial Potential to Sustainably Prepay for Health Care? Implication for Financing UHC in Low-Income Settings. Health Syst. Reforms 2019, 5, 145–157. [Google Scholar] [CrossRef] [PubMed]
- Badejo, A.F.; Majekodunmi, A.O.; Kingsley, P.; Smith, J.; Welburn, S. The impact of self-help groups on pastoral women’s empowerment and agency: A study in Nigeria. Pastor. Res. Policy Pract. 2017, 7, 28. [Google Scholar] [CrossRef]
- Daniel, C. Impact of Informal Groups on Organisational Performance. Int. J. Sci. Res. Manag. 2018, 6, 686–694. [Google Scholar] [CrossRef]
- Chache, W. The Effect of Product Pricing on the Growth of Micro Insurance by Insurance under Writers in Kenya. Int. J. Humanit. Soc. Sci. 2016, 6, 179–187. [Google Scholar]
- Okungu, V.; Chuma, J.; Mulupi, S.; McIntyre, D. Extending coverage to informal sector populations in Kenya: Design preferences and implications for financing policy. BMC Health Serv. Res. 2018, 18, 13. [Google Scholar] [CrossRef] [PubMed]
- Potluri, R.M.; Angiating, G. A Study on Service Quality and Customer Satisfaction in Nigerian Healthcare Sector. J. Ind. Distrib. Bus. 2018, 9, 7. [Google Scholar]
- Camilleri, M.A. Market Segmentation, Targeting and Positioning. In Travel Marketing, Tourism Economics and the Airline Product; Tourism, Hospitality & Event Management; Springer: Cham, Switzerland, 2018. [Google Scholar] [CrossRef]
- Khandan, A. Informal Economy: The Invisible Hand of Government. In The Informal Economy in Global Perspective; International Political Economy, Series; Polese, A., Williams, C., Horodnic, I., Bejakovic, P., Eds.; Palgrave Macmillan: Cham, Switzerland, 2017. [Google Scholar] [CrossRef]
- Schmiedeknecht, M.H. Social Innovation and Entrepreneurship Supporting the Sustainable Development Goals (SDGs)–Fostering Social Value Creation. In The Future of the UN Sustainable Development Goals; CSR, Sustainability, Ethics & Governance; Idowu, S., Schmidpeter, R., Zu, L., Eds.; Springer: Cham, Switzerland, 2020. [Google Scholar] [CrossRef]
- Adel, B.Y.; Sabri, B.; Anis, O. Entrepreneurship and sustainability: The need for innovative and institutional solutions. Technol. Forecast. Soc. Change 2018, 129, 232–241. [Google Scholar] [CrossRef]
- Gërxhani, K. The Informal Sector in Developed and Less Developed Countries: A Literature Survey. Public Choice 2004, 120, 267–300. [Google Scholar] [CrossRef]
- Etim, E.; Olawande, D. The Informal Sector and Economic Growth of South Africa and Nigeria: A Comparative Systematic Review. J. Open Innov. Technol. Mark. Complex. 2020, 6, 134. [Google Scholar] [CrossRef]
- Bakator, M.; Ivin, D.; Vuković, Đ.; Petrovic, N. Analysis of Consumer Behavior and Marketing Strategy Improvement. In Proceedings of the Conference: VI International Symposium Engineering Management and Competitiveness (EMC 2016), Zrenjanin, Serbia, 17–18 June 2016. [Google Scholar]
- Alnaser, A. The Effect of Marketing Strategy on Customer Loyalty: Conceptual Research. J. Islamic Hum. Adv. Res. 2017, 7, 33–47. [Google Scholar]
- Ichoroh, J.; Kiambati, K.; Mbugua, L. Core Competencies and Resource Allocation in the Performance of Bottled Water Industry. Manag. J. Sustain. Bus. Manag. Solut. Emerg. Econ. 2021. [Google Scholar] [CrossRef]
- Dror, D.M.; Firth, L.A. The Demand for (Micro) Health Insurance in the Informal Sector. Geneva Pap. Risk Insur. 2014, 39, 693–711. [Google Scholar] [CrossRef]
- William, D.; Colin, H.; Paul, K. The Informal Sector: A Review and Agenda for Management Research. Int. J. Manag. Rev. 2016, 20, 301–324. [Google Scholar] [CrossRef]
- Lewandowski, M. Prospect theory versus expected utility theory: Assumptions, predictions, intuition and modelling of risk attitudes. Cent. Eur. J. Econ. Model. Econom. 2017, 4, 275–321. [Google Scholar]
- Chen, X.; Hawaz, Y. The Justification of 2002 Ethiopian Foreign and National Security Policy Alteration. Open J. Soc. Sci. 2020, 8, 12–25. [Google Scholar] [CrossRef]
- Zhu, J.; Hashimoto, J.; Katahira, K.; Hirakawa, M.; Nakao, T. Computational modeling of choice-induced preference change: A Reinforcement-Learning-based approach. PLoS ONE 2021, 16, e0244434. [Google Scholar] [CrossRef]
- Ahmed, M.E.; Khan, M.; Samad, N. Income, Social Class and Consumer Behaviour: A Focus on Developing Nations. Int. J. Appl. Bus. Econ. Res. 2016, 14, 6679–6702. [Google Scholar]
- Ramachandran, S.; Basariya, S.R. Consumers’ Preference and Their Buying Choice. Novyi MIR 2020, 5, 77–88. [Google Scholar] [CrossRef]
- Kahneman, D.; Frederick, S. Representativeness revisited: Attribute substitution in intuitive judgement. In Heuristics and Biases: The Psychology of Intuitive Judgment; Gilovich, T., Griffin, D., Kahneman, D., Eds.; Cambridge University Press: Cambridge, UK, 2002; pp. 49–81. [Google Scholar]
- van Gestel, L.C.; Adriaanse, M.A.; de Ridder, D.T. Beyond Discrete Choices—Investigating the Effectiveness of a Proximity Nudge with Multiple Alternative Options. Front. Psychol. 2020, 11, 1211. [Google Scholar] [CrossRef]
- Nazlan, N.; Tanford, S.; Montgomery, R. The effect of availability heuristics in online consumer reviews. J. Consum. Behav. 2018, 17, 449–460. [Google Scholar] [CrossRef]
- Grayot, J.D. Dual Process Theories in Behavioral Economics and Neuroeconomics: A Critical Review. Rev. Philos. Psychol. 2019, 11, 105–136. [Google Scholar]
- Tagliabue, M.T. A Behavioral Analysis of Rationality, Nudging, and Boosting: Implications for Policymaking. Perspect. Behav. Sci. 2022, 1–30. [Google Scholar] [CrossRef]
- Thaler, R.; Sunstein, C. Nudge; Penguin: London, UK, 2021. [Google Scholar]
- Field, J. Social Capital; Routledge: New York, NY, USA, 2017. [Google Scholar]
- Bello, Z.; Garba, I.T. Review of Work-Life Balance Theories. GATR Glob. J. Bus. Soc. Sci. Rev. 2020, 8, 217–227. [Google Scholar] [CrossRef]
- Leenders, R. Social Capital. In Encyclopedia of Social Network Analysis and Mining; Alhajj, R., Rokne, J., Eds.; Springer: New York, NY, USA, 2017. [Google Scholar] [CrossRef]
- Singer, L. Diffusion of Innovation Theory. 2016. Available online: http://sphweb.bumc.bu.edu/otlt/MPHModules/SB/BehavioralChangeTheories/BehavioralChangeTheories4.html (accessed on 9 January 2020).
- Dearing, J.; Cox, J. Diffusion of Innovations Theory, Principles, and Practice. Health Aff. 2018, 37, 183–190. [Google Scholar] [CrossRef]
- Nickerson, C. Rational Choice Theory. 2021. Available online: http://www.simplypsychologyorg/rational-choice-theory.html (accessed on 25 April 2022).
- Jacopo, B.; Philippe, L.; Michel, T. Households’ Willingness to Pay for Health Microinsurance and its Impact on Actual Take-up: Results from a Field Experiment in Senegal. J. Dev. Stud. 2014, 50, 1445–1462. [Google Scholar] [CrossRef]
- Nosratnejad, S.; Rashidian, A.; Dror, D.M. Systematic Review of Willingness to Pay for Health Insurance in Low and Middle Income Countries. PLoS ONE 2016, 11, e0157470. [Google Scholar] [CrossRef]
- Clare, R.; Andrew, C.; Sandra, E. Methods for sample size determination in cluster randomized trials. Int. J. Epidemiol. 2015, 44, 1051–1067. [Google Scholar] [CrossRef]
- Simarjeet, K. Sample Size Determination (For Descriptive Studies). Int. J. Curr. Res. 2017, 9, 48365–48367. [Google Scholar]
- Panwar, M.; Azfar, M.; Tanwar, N. Chapter-3 Statistical Treatment of Non-Response in Sample Surveys. In Research Trends in Mathematics and Statistics; AkiNik Publications: Delhi, India, 2018. [Google Scholar] [CrossRef]
- Lindner, J.; Murphy, T.; Briers, G. Handling Nonresponse in Social Science Research. J. Agric. Educ. 2001, 42, 43–53. [Google Scholar] [CrossRef]
- Jolliffe, I. Principal component analysis: A beginner’s guide—I. Introduction and application. Weather 1990, 45, 375–382. [Google Scholar] [CrossRef]
- Jorgensen, T.D.; Jak, S. Review of Gana & Broc’s Structural Equation Modeling with lavaan. Psychometrika 2020, 85, 373–377. [Google Scholar] [CrossRef]
- Gana, K.; Broc, G. Structural Equation Modeling with Lavaan; Wiley: Hoboken, NJ, USA, 2019. [Google Scholar]
- Holtom, B.; Baruch, Y.; Aguinis, H.; ABallinger, G. Survey response rates: Trends and a validity assessment framework. Hum. Relat. 2022, 75, 1560–1584. [Google Scholar] [CrossRef]
- Hendra, R.; Hill, A. Rethinking Response Rates: New Evidence of Little Relationship Between Survey Response Rates and Nonresponse Bias. Eval. Rev. 2013, 43, 307–330. [Google Scholar] [CrossRef] [PubMed]
- Johnathan, M.; Borland, L.; Aiani, A.; Kymberly NKylie, O.; Joseph, I.; Kyle, J.; Frantz, H.; Elliott, A. Sex-dependent regulation of social reward by oxytocin receptors in the ventral tegmental area. Neuropsychopharmacology 2018, 44, 785–792. [Google Scholar] [CrossRef]
- Fatima, M.; Ajmal, A. Happy Marriage: A Qualitative study. Pak. J. Soc. Clin. Psychol. 2012, 9, 37–42. [Google Scholar]
- Eck, J.; Schoel, C.; Greifeneder, R. Belonging to a majority reduces the immediate need threat from ostracism in individuals with a high need to belong. Eur. J. Soc. Psychol. 2017, 47, 273–288. [Google Scholar]
- Pant, P.R.; van Teijlingen, E.; Simkhada, P. Importance of public health in low- and middle- income countries. In Public Health for the Curious: Why Study Public Health? Vaidya, K., Ed.; Academic Publishing: Cambridge, MA, USA, 2015. [Google Scholar]
- Bhandari, H.; Yasunobu, K. What Is Social Capital? A Comprehensive Review of the Concept. Asian J. Soc. Sci. 2009, 37, 480–510. [Google Scholar] [CrossRef]
Disclaimer/Publisher’s Note: The statements, opinions and data contained in all publications are solely those of the individual author(s) and contributor(s) and not of MDPI and/or the editor(s). MDPI and/or the editor(s) disclaim responsibility for any injury to people or property resulting from any ideas, methods, instructions or products referred to in the content. |
© 2022 by the authors. Licensee MDPI, Basel, Switzerland. This article is an open access article distributed under the terms and conditions of the Creative Commons Attribution (CC BY) license (https://creativecommons.org/licenses/by/4.0/).




