Abstract
Electromyography (EMG) is a research tool used in gait analysis, muscle coordination evaluation, clinical evaluation and sports techniques. Electromyography can provide an insight into neural adaptations, cross education effects, bilateral contraction deficiencies, and antagonist activity in exercise-related movements. While there are clear benefits to using EMG in exercise-related professions, accessibility, cost, and difficulty interpreting the data limit its use in strength and clinical settings. We propose a practical EMG assessment using the isometric squat to identify compensatory activation patterns and report early observations. Ten healthy participants were recruited. Participants performed a 2-min isometric handgrip protocol and an isometric squat protocol. The isometric handgrip was used to identify the expected EMG amplitude response solely due to fatigue. There was a significant increase in EMG amplitude after 2 min (p < 0.05), with the relative increase of 95% CI (1.4%; 27.4%). This indicates the relative increase in EMG amplitude expected if the only influence was fatigue in the 2-min protocol. In the isometric squat protocol, we identified a number of different muscle activation compensation strategies with relative EMG amplitude increases outside of this bandwidth. One subject demonstrated a quadricep compensation strategy with a 188% increase in activation, while reducing activation in both the hamstrings and lower back by 12%. Exercise professionals can use this information to design exercise programs specifically targeting the unloaded muscles during the isometric squat.
1. Introduction
The goal of exercise and rehabilitative programs is to improve physical functional capacity. Exercise professionals (strength coaches and clinicians) make use of a variety of tools—program design, nutrition, observations, strength testing, physiological, and biomechanical measurement—to enhance performance and identify issues within the kinetic chain [].
Muscle electromyography (EMG) can be used to identify muscle activation timing, relative activity (commonly compared to a maximum voluntary contraction, MVC, or other activity type), and fatigue [,]. There are applications to gait analysis, muscle coordination evaluation, clinical evaluation, and sports performance []. Electromyography can provide significant insights into adaptations from exercise programs, and the muscular coordination of specific muscles in strengthening exercises [,,]. However, EMG is not regularly used by exercise professionals when designing programs or interventions for individual athletes and patients. Accessibility, cost, time, and difficulty interpreting the data [] are factors limiting the use of EMG by exercise professionals. If these professions are to make use of EMG data from their own athletes and patients, the information generated needs to be rapidly available and actionable. However, current EMG protocols fail to accomplish this.
Exercise professionals commonly utilize the isometric squat to assess their clients as this assessment has a strong correlation with a one repetition max squat test [,]. This assessment provides a global indication of the kinetic chain involved in this motion, but lacks the ability to examine the contribution of the individual muscle groups. Previous research examining EMG during the isometric handgrip found that the accumulated fatigue of the forearm flexor muscles led to a predictable rise in EMG amplitude at 2 min of a sustained 30% of MVC []. Comparing EMG measurements during a sustained isometric squat to the normal fatigue pattern of isometric handgrip could identify specific compensation patterns in the kinetic chain and allow for within-subject, between-muscle comparisons []. Compensatory strategies may reduce the efficacy of the exercise and possibly increase the overall risk of injury, and therefore represent a potential focus of exercise interventions [,].
We propose a practical use of EMG to assess an isometric squat, that can provide exercise professionals with actionable information to improve exercise program outcomes. While future studies are required to refine the testing and analysis procedures, the proposed methods overcome many of the limitations of using EMG in strength and clinical settings. The purpose of this study was to use EMG to identify compensatory activation patterns in the lower extremity muscles during an isometric squat.
2. Materials and Methods
2.1. Participants
Ten participants (five males, five females, age = 23.5 ± 3.4 years, mass = 71 ± 17 kg, height = 172 ± 12 cm) completed the study. An eleventh participant did not complete the protocol. Participants were required to be in good physical health and completed a health screening prior to participating. Before their participation, each subject read and signed a written informed consent form, in accordance with Montclair State University’s Institutional Review Board. The study was conducted according to the guidelines of the Declaration of Helsinki, and approved by the Institutional Review Board of Montclair State University (FY18-19-1395 on 4/18/2019).
2.2. Procedures
To examine surface EMG response to a sustained isometric contraction, participants performed an isometric squat and isometric handgrip at 30% of maximum voluntary contraction for 2 min. During the isometric handgrip, surface EMG was measured from the forearm muscles (finger flexors). During the isometric squat, surface EMG was measured on various lower extremity muscles.
The order of the protocols was counterbalanced between subjects. Following the consent process, the electrode placement sites were shaved and cleaned with alcohol. The wireless surface EMG electrodes were attached to the dominant side’s erector spinae, gluteus maximus, biceps femoris, and vastus medialis muscles []. Signal validity was checked using muscle movements to confirm EMG activity from these muscles. The bar and squat rack were placed over the force plates at a height that allowed for 30 degrees of knee flexion (confirmed with a goniometer) with the bar in the high-bar position on the participant’s back, and the participant’s feet on each force plate. The bar was then attached securely to the squat rack and weighed down with plate weights.
For MVCs, the participant was placed into the isometric squat position and instructed to slowly push up against the bar until they applied their maximum force (≈3–5 s) before relaxing. Participants were given three attempts with a 1-min rest between attempts. The highest summed vertical ground reaction force (vGRF) from the force plates, across the three attempts, was used as the maximum value. The EMG normalization values were obtained from the same trial where the participant produced maximum force (EMG processing information is available later in this section).
Following the MVC trials, the participant was repositioned in the isometric squat position, and the feet remained in the same position for the duration of the trial. A computer monitor displayed a real time force-time graph of the vGRF data with a shaded area representing 25–35% of the participants MVC (Equations (1) and (2)). The participant was instructed to push up against the bar until the force was within this range and maintain this force level for 2 min.
where, MVCsquat is the maximum voluntary contraction, vGRF is the vertical ground reaction forces in Newtons measured during the MVC attempts, and BW is body weight in Newtons.
Upper limit: 35% MVCsquat = (vGRFmax − BW)/100 × 35
Lower limit: 25% MVCsquat = (vGRFmax − BW)/100 × 25
A similar procedure was followed for the isometric handgrip with some minor differences. A single electrode was placed on the anterior aspect of the forearm []. The participant gripped a handgrip dynamometer in the hand while seated with the forearm resting on the thigh. The same procedure for the isometric handgrip MVC’s were followed. The EMG normalization values were obtained from the same trial where the participant produced the maximum force. Following the MVC attempts, the same procedure as the isometric squat was followed for the 2 min trial. An equation that did not take into account body weight was used to calculate 30% MVC for the isometric handgrip (Equations (3) and (4)) that was displayed on the computer monitor during the 2-min test. Fmax is the maximum value measured during the handgrip MVCs.
Upper Limit: 35% MVChandgrip = Fmax/100 × 35
Lower Limit: 25% MVChandgrip = Fmax/100 × 25
A wireless surface EMG system (Trigno Sensor System, Delsys Inc., Natick, MA, USA) was used to record muscle activity synchronously with the two force plates (Bertec Corporation, Columbus, OH, USA) at 2000 Hz using LabChart (ADInstruments Inc., Colorado Springs, CO, USA) during the isometric squat. During the isometric handgrip, muscle activity was recorded from the forearm and force from an electronic handgrip dynamometer. The EMG data were Fourier band pass filtered (20–450 Hz) and smoothed using a 200 ms root mean square sliding window. The EMG data from the trials were divided into four 10-s epochs and averaged for analysis: 20–30 s, 50–60 s, 80–90 s, and 110–120 s. The EMG data were normalized to the maximum recorded values for each muscle recorded during the highest force MVC trial after smoothing. In addition, the relative change of the EMG amplitude was calculated comparing the amplitude in the 20–30 s epoch to all other epochs with positive values representing an increase in muscle activation and negative values representing a decrease in activation.
2.3. Statistical Analysis
Data are presented as mean ± SD and were analyzed using SPSS version 25.0 (SPSS Inc., Chicago, IL, USA). The change in muscle activation of the forearm muscle in the isometric handgrip between the first epoch (20–30 s) and the final epoch (110–120 s) was examined with a dependent t-test, α = 0.05. The 95% confidence interval was calculated for the forearm muscle in the isometric handgrip to indicate the expected change in surface EMG amplitude solely due to fatigue when no compensatory muscle patterns are possible. The assumption of normality of the forearm data was assessed via a Shapiro–Wilk test.
3. Results
Ten subjects completed the study. One additional subject was unable to maintain the required force in the isometric squat for the 2 min and was not included in the analysis. We noted recording issues with the forearm electrode (n = 1) and the vastus medialis muscle (n = 3). These data were not included in the analysis.
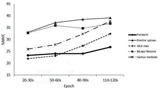
The forearm data met the assumption of normality (p > 0.05). There was a significant increase in surface EMG amplitude during the isometric handgrip from the first epoch (20–30 s) mean = 23, SD = 6.7% to the final epoch (110–120 s) mean = 33, SD = 9.4%, p = 0.04. The relative percent muscle activation change compared to the first epoch 95% confidence interval [1.4, 27.4]. Group surface EMG amplitude data normalized to MVC are reported in Table 1 and Figure 1. Group surface EMG amplitude data change relative to the first epoch are reported in Table 2 and Figure 2. Individual surface EMG amplitude data change relative to the surface EMG amplitude in the first epoch are reported in Figure 3.

Table 1.
Surface EMG data normalized (%) to MVC for each time epoch (mean ± SD).

Figure 1.
Group surface EMG amplitude normalized to MVC for each time epoch. Standard deviations not presented to enhance figure clarity but are available in Table 1.

Table 2.
Change in muscles activation amplitude relative to the first epoch (%) (20–30 s) (mean ± SD).

Figure 2.
Group change in surface EMG amplitude relative to the first epoch (20–30 s). Standard deviations are not presented to enhance figure clarity but are available in Table 2.

Figure 3.
Individual surface EMG amplitude data change relative to the first epoch for each muscle. Y-axis scale is maintained for each graph. Horizontal red bars represent 95% CI for change expected due to fatigue determined from the forearm muscle during the isometric handgrip test. Bold, dashed line indicates the subject with the highest recorded change in vastus medialis EMG amplitude.
4. Discussion
The purpose of the current study was to develop a practical method for exercise professionals to use surface EMG in order to make coaching decisions. For EMG to be beneficial to exercise professionals it must provide actionable information that is rapidly available. We believe the methodology we have developed meet both these criteria.
The isometric handgrip was used to identify the expected surface EMG response solely due to fatigue. The forearm flexors act to flex the fingers to apply the force to the load cell. The functioning of this muscle group is not able to change throughout the test, even though other muscles of the hand and forearm (lumbricals and flexor digitorum profundus) contribute to the action []. Therefore, the significant rise in surface EMG amplitude observed would be almost exclusively due to the effect of fatigue. The 95% CI (1.4–27.4%) of this relative change gives an indication of the effect that would be solely due to fatigue in other muscles. In the isometric squat, a relative change in surface EMG amplitude outside of that range is indicative of changes due to a muscular compensation strategy. Values greater than 27.4% indicate a muscle compensating by increasing the amount it contributes to the isometric squat and values below 1.4% indicate a muscle reducing its contribution or an avoidance strategy.
We observed a number of different compensation patterns in the individual data. A participant with a significant quadricep compensation was highlighted because over-activation of the quadriceps may be a significant risk factor in lower extremity injuries []. In this participant, activations for the quadriceps, gluteus maximus, back, and hamstrings changed by 188%, 34%, −12%, and −12% for each muscle respectively from the first to last epoch. These changes would be flagged as “muscular compensations” using the methods proposed in the current manuscript because the relative change of each muscle is outside of the range expected from fatigue alone. An exercise program can be developed with these specific compensation patterns in mind.
There are some specific limitations that exist given the early nature of this assessment methodology. The first is the use of the isometric handgrip in establishing expected increases in surface EMG amplitude due to fatigue for other muscles. This range may not accurately represent the fatigue characteristics of muscles of the lower extremity. The range established by the isometric handgrip may be either too liberal or conservative. Our protocol assessed four muscles unilaterally. There may be additional compensations within other muscles of the quadriceps and hamstring muscles groups or bilateral compensations we did not identify. The data for this study were analyzed only in the time domain and fatigue can also be identified from the frequency domain [].
Using the relative change in surface EMG activity to make coaching decisions also means that individual muscle MVCs are unnecessary. In fact, interpreting the data normalized to MVC could be contra-indicated in this situation. The isometric squat is a multi-joint action and it should be anticipated that the individual muscle groups’ absolute action be different as they are performing different functions and are at varied muscle lengths. It also cannot be assumed that each muscle’s EMG amplitude will increase linearly with the isometric squat force. Lastly, the MVC procedure in this methodology does not target each muscle using a single joint movement, meaning that the peak muscle activation measured could be underestimated [,]. With the preceding three points, a direct comparison of the absolute activation between different muscles can lead to inappropriate conclusions. Our approach to identifying compensations during fatigue necessitates that the relative change to baseline be assessed. However, activation relative to MVC can still have some utility when investigating muscle activation strategies in the isometric squat.
This assessment is quick (less than 10 min) and gives exercise professionals actionable information. The final barriers to general use in strength and conditioning environments are accessibility and cost. While the force plates used in this study provide six degrees of freedom, only the vertical ground reaction forces were used. Unilateral force plates are much cheaper and portable versions are already available from a number of manufacturers. With further research, it may be found that research-grade EMG may provide unnecessarily high resolution and cheaper surface EMG systems can be developed.
Author Contributions
Conceptualization, D.A.P., K.C., E.L.M.; methodology, D.A.P., K.C., A.R.D.V., E.L.M.; formal analysis, D.A.P., A.R.D.V.; data curation, D.A.P.; writing—original draft preparation, D.A.P.; writing—review and editing, D.A.P., A.R.D.V., K.C., E.L.M.; supervision, D.A.P., E.L.M. All authors have read and agreed to the published version of the manuscript.
Funding
This research received no external funding.
Institutional Review Board Statement
The study was conducted according to the guidelines of the Declaration of Helsinki, and approved by the Institutional Review Board (or Ethics Committee) of Montclair State University (FY18-19-1395 on 4/18/2019).
Informed Consent Statement
Informed consent was obtained from all subjects involved in the study.
Data Availability Statement
Data are hosted at the following doi:10.17632/t6tmh4dfwb.2.
Conflicts of Interest
The authors declare no conflict of interest.
References
- Haff, G.; Triplett, T. (Eds.) Essentials of Strength Training and Conditioning, 4th ed.; Human Kinetics: Champaign, IL, USA, 2016. [Google Scholar]
- Vigotsky, A.D.; Halperin, I.; Lehman, G.J.; Trajano, G.S.; Vieira, T.M. Interpreting Signal Amplitudes in Surface Electromyography Studies in Sport and Rehabilitation Sciences. Front. Physiol. 2018, 8, 985. [Google Scholar] [CrossRef] [PubMed]
- Konrad, P. The ABC of EMG: A Practical Introduction to Kinesiological Electromyography. Available online: https://www.scienceopen.com/document?vid=a0604ccc-6b14-4586-bb50-dff58b04e859 (accessed on 19 April 2019).
- Massó, N.; Rey, F.; Romero, D.; Gual, G.; Costa, L.; Germán, A. Aplicacions de l’electromiografia de superfície a l’esport. Apunt. Med. l’Esport 2010, 45, 127–136. [Google Scholar] [CrossRef]
- Andersen, V.; Fimland, M.S.; Mo, D.-A.; Iversen, V.M.; Vederhus, T.; Hellebø, L.R.R.; Nordaune, K.I.; Saeterbakken, A.H. Electromyographic Comparison of Barbell Deadlift, Hex Bar Deadlift, and Hip Thrust Exercises: A Cross-Over Study. J. Strength Cond. Res. 2018, 32, 587–593. [Google Scholar] [CrossRef] [PubMed]
- Dickie, J.A.; Faulkner, J.A.; Barnes, M.; Lark, S.D. Electromyographic analysis of muscle activation during pull-up variations. J. Electromyogr. Kinesiol. 2017, 32, 30–36. [Google Scholar] [CrossRef] [PubMed]
- Slater, L.V.; Hart, J.M. Muscle Activation Patterns during Different Squat Techniques. J. Strength Cond. Res. 2017, 31, 667–676. [Google Scholar] [CrossRef] [PubMed]
- Seals, D.R.; Enoka, R.M. Sympathetic activation is associated with increases in EMG during fatiguing exercise. J. Appl. Physiol. 1989, 66, 88–95. [Google Scholar] [CrossRef] [PubMed]
- Bazyler, C.D.; Beckham, G.K.; Sato, K. The Use of the Isometric Squat as a Measure of Strength and Explosiveness. J. Strength Cond. Res. 2015, 29, 1386–1392. [Google Scholar] [CrossRef] [PubMed]
- Wang, R.; Hoffman, J.R.; Tanigawa, S.; Miramonti, A.A.; La Monica, M.B.; Beyer, K.S.; Church, D.D.; Fukuda, D.H.; Stout, J.R. Isometric Mid-Thigh Pull Correlates With Strength, Sprint, and Agility Performance in Collegiate Rugby Union Players. J. Strength Cond. Res. 2016, 30, 3051–3056. [Google Scholar] [CrossRef] [PubMed]
- Myer, G.D.; Kushner, A.M.; Brent, J.L.; Schoenfeld, B.J.; Hugentobler, J.; Lloyd, R.S.; Vermeil, A.; Chu, D.A.; Harbin, J.; McGill, S.M. The Back Squat. Strength Cond. J. 2014, 36, 4–27. [Google Scholar] [CrossRef] [PubMed]
- Lloyd, R.S.; Faigenbaum, A.D.; Stone, M.H.; Oliver, J.L.; Jeffreys, I.A.; Moody, J.; Brewer, C.; Pierce, K.C.; McCambridge, T.M.; Howard, R.; et al. Position statement on youth resistance training: The 2014 International Consensus. Br. J. Sports Med. 2014, 48, 498–505. [Google Scholar] [CrossRef]
- Cram, J.; Kasman, G.; Holtz, J. Introduction to Surface Electromyography; Aspen Publisher: Gaithersburg, MD, USA, 1998. [Google Scholar]
- Moore, K.; Dalley, A.; Agur, A. Clinically Oriented Anatomy, 7th ed.; Wolters Kluwer: Baltimore, MD, USA, 2014. [Google Scholar]
- Hewett, T.E.; Zazulak, B.T.; Myer, G.D.; Ford, K.R. A review of electromyographic activation levels, timing differences, and increased anterior cruciate ligament injury incidence in female athletes. Br. J. Sports Med. 2005, 39, 347–350. [Google Scholar] [CrossRef]
- Dimitrova, N.; Dimitrov, G. Interpretation of EMG changes with fatigue: Facts, pitfalls, and fallacies. J. Electromyogr. Kinesiol. 2003, 13, 13–36. [Google Scholar] [CrossRef]
- Roberts, T.J.; Gabaldon, A.M. Interpreting muscle function from EMG: Lessons learned from direct measurements of muscle force. Integr. Comp. Biol. 2008, 48, 312–320. [Google Scholar] [CrossRef] [PubMed]
- Mohamed, O.; Perry, J.; Hislop, H. Relationship between wire EMG activity, muscle length, and torque of the hamstrings. Clin. Biomech. 2002, 17, 569–579. [Google Scholar] [CrossRef]
Publisher’s Note: MDPI stays neutral with regard to jurisdictional claims in published maps and institutional affiliations. |
© 2021 by the authors. Licensee MDPI, Basel, Switzerland. This article is an open access article distributed under the terms and conditions of the Creative Commons Attribution (CC BY) license (https://creativecommons.org/licenses/by/4.0/).