Serum Oxidized LDL and Interleukin-10 as Biomarkers for Peripheral Artery Disease in Chronic Myeloid Leukemia Patients Receiving Tyrosine Kinase Inhibitor Therapy
Abstract
1. Introduction
2. Materials and Methods
2.1. Study Design
2.2. Study Subjects
2.3. Ankle Brachial Index
2.4. Measurement of Serum OxLDL
2.5. Measurement of Serum IL-10
2.6. Statistics
3. Results
3.1. Subjects
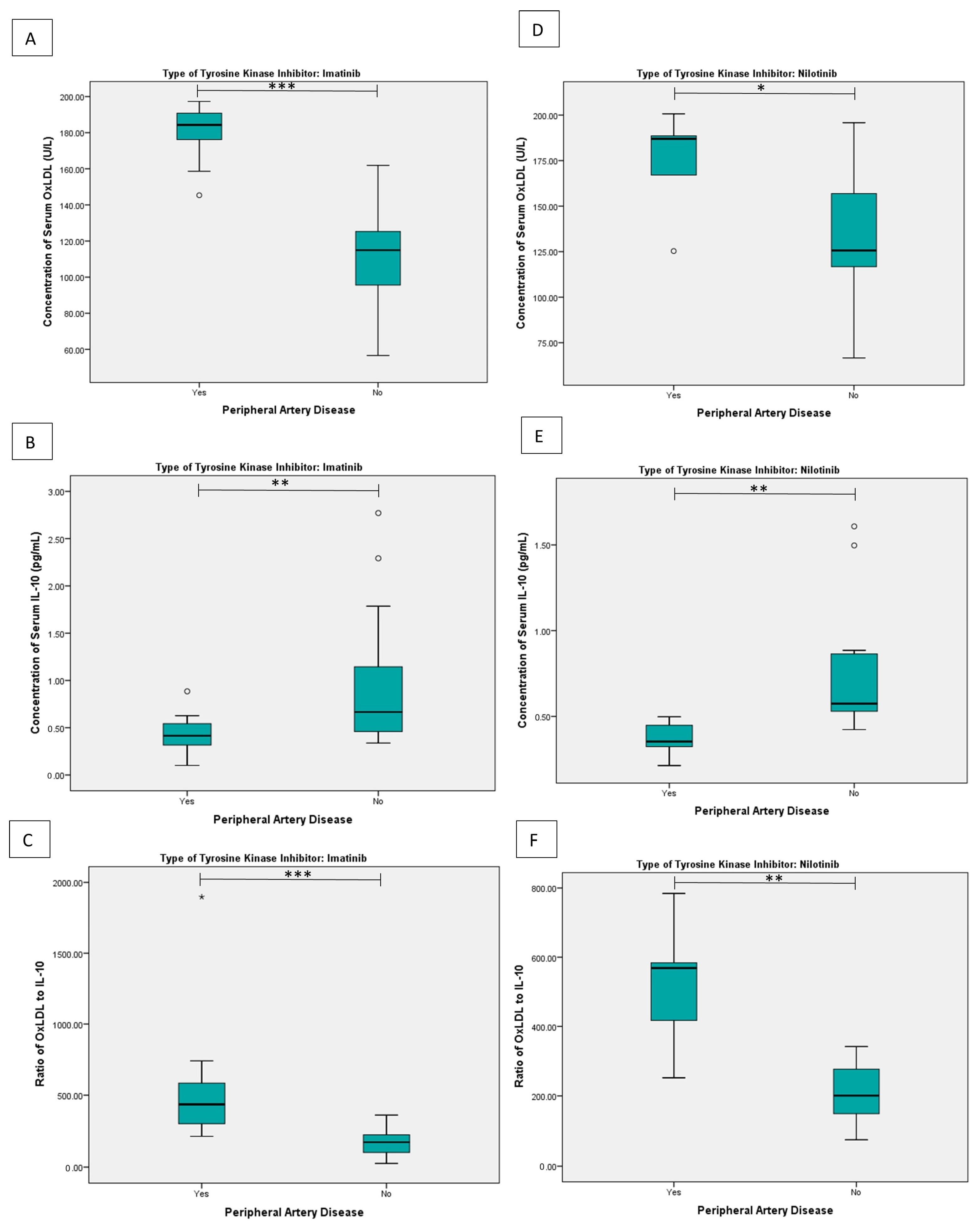
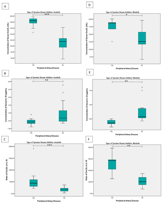
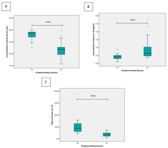
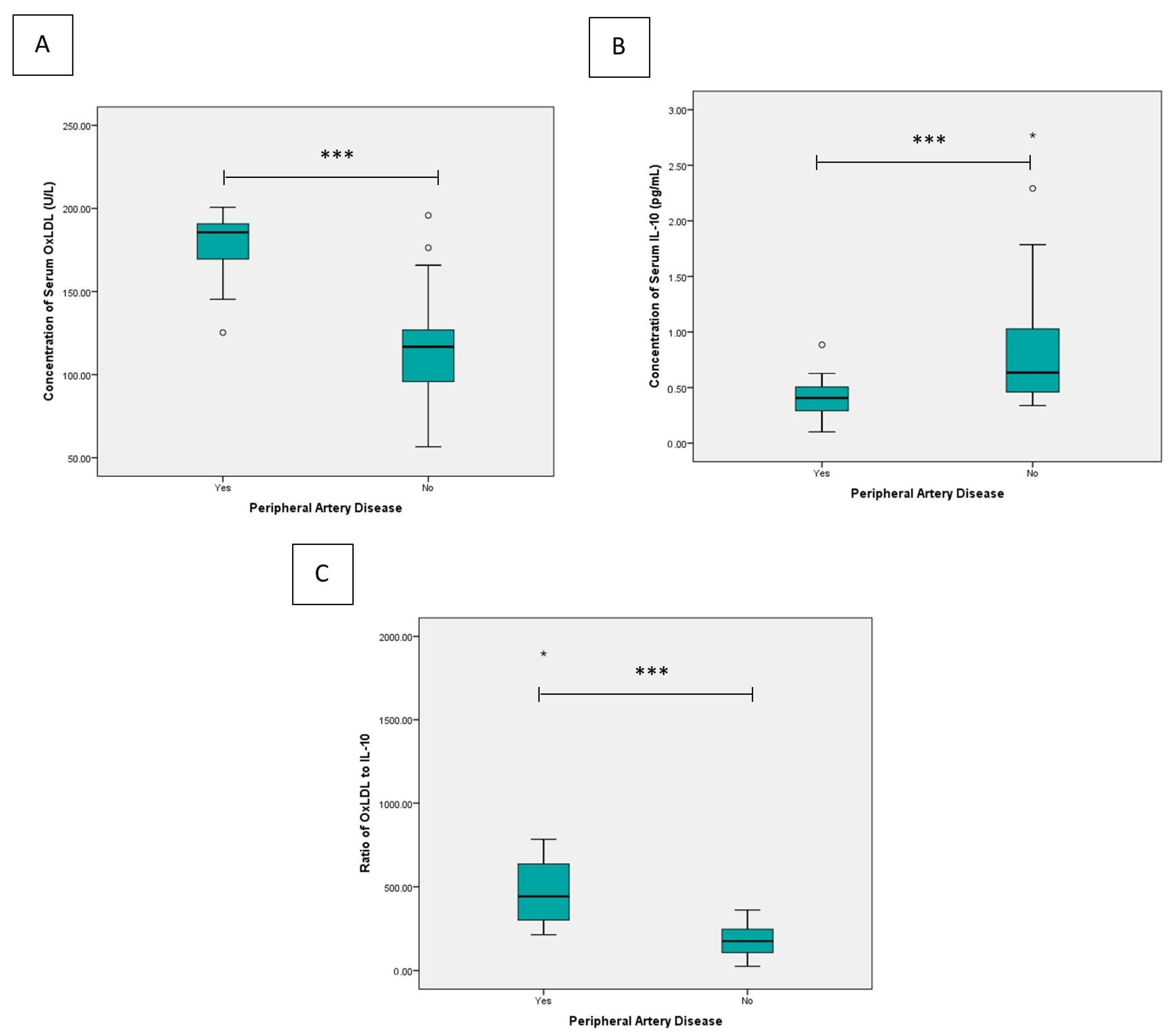
3.2. OxLDL and IL-10
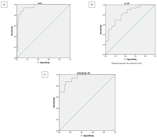
3.3. Diagnostic Value
4. Discussion
5. Conclusions
Author Contributions
Funding
Institutional Review Board Statement
Informed Consent Statement
Data Availability Statement
Conflicts of Interest
Abbreviations
| ABI | Ankle–Brachial Index |
| ACCF | American College of Cardiology Foundation |
| AHA | American Heart Association |
| AUC | Area Under the Receiver Operating Characteristic Curve |
| BCR::ABL1 | Breakpoint Cluster Region–Abelson Fusion Gene |
| CAD | Coronary Artery Disease |
| CAVI | Cardio–Ankle Vascular Index |
| CI | Confidence Interval |
| CML | Chronic Myeloid Leukemia |
| DDR1 | Discoidin Domain Receptor 1 |
| eGFR | Estimated Glomerular Filtration Rate |
| HRP | Horseradish Peroxidase |
| IL-10 | Interleukin-10 |
| JAK/STAT | Janus Kinase/Signal Transducer and Activator of Transcription |
| LOX-1 | Lectin-Like Oxidized LDL Receptor-1 |
| MACE | Major Adverse Cardiovascular Events |
| mTOR | Mechanistic Target of Rapamycin |
| NF-κB | Nuclear Factor Kappa-B |
| OxLDL | Oxidized Low-Density Lipoprotein |
| PAD | Peripheral Artery Disease |
| PAOD | Peripheral Arterial Occlusive Disease |
| PDGFR | Platelet-Derived Growth Factor Receptor |
| PI3K/AKT | Phosphatidylinositol 3-Kinase/Protein Kinase B |
| Ph | Philadelphia Chromosome |
| ROC | Receiver Operating Characteristic |
| ROS | Reactive Oxygen Species |
| TKI | Tyrosine Kinase Inhibitor |
| TMB | 3,3′,5,5′-Tetramethylbenzidine |
| VEGFR | Vascular Endothelial Growth Factor Receptor |
| c-KIT | Receptor Tyrosine Kinase KIT |
References
- Hehlmann, R.; Hochhaus, A.; Baccarani, M. Chronic myeloid leukaemia. Lancet 2007, 370, 342–350. [Google Scholar] [CrossRef]
- Rinaldi, I.; Winston, K. Chronic Myeloid Leukemia, from Pathophysiology to Treatment-Free Remission: A Narrative Literature Review. J. Blood Med. 2023, 14, 261–277. [Google Scholar] [CrossRef]
- Braun, T.P.; Eide, C.A.; Druker, B.J. Response and Resistance to BCR-ABL1-Targeted Therapies. Cancer Cell 2020, 37, 530–542. [Google Scholar] [CrossRef] [PubMed]
- Cirmi, S.; El Abd, A.; Letinier, L.; Navarra, M.; Salvo, F. Cardiovascular Toxicity of Tyrosine Kinase Inhibitors Used in Chronic Myeloid Leukemia: An Analysis of the FDA Adverse Event Reporting System Database (FAERS). Cancers 2020, 12, 826. [Google Scholar] [CrossRef] [PubMed]
- Douxfils, J.; Haguet, H.; Mullier, F.; Chatelain, C.; Graux, C.; Dogné, J.M. Association Between BCR-ABL Tyrosine Kinase Inhibitors for Chronic Myeloid Leukemia and Cardiovascular Events, Major Molecular Response, and Overall Survival. JAMA Oncol. 2016, 2, 625. [Google Scholar] [CrossRef] [PubMed]
- Rea, D.; Ame, S.; Charbonnier, A.; Coiteux, V.; Cony-Makhoul, P.; Escoffre-Barbe, M.; Etienne, G.; Gardembas, M.; Guerci-Bresler, A.; Legros, L.; et al. Recommandations 2015 du France Intergroupe des Leucémies Myéloïdes Chroniques pour la gestion du risque d’événements cardiovasculaires sous nilotinib au cours de la leucémie myéloïde chronique. Bull. Cancer 2016, 103, 180–189. [Google Scholar] [CrossRef]
- Barber, M.C.; Mauro, M.J.; Moslehi, J. Cardiovascular care of patients with chronic myeloid leukemia (CML) on tyrosine kinase inhibitor (TKI) therapy. Hematology 2017, 2017, 110–114. [Google Scholar] [CrossRef]
- Kim, T.D.; Rea, D.; Schwarz, M.; Grille, P.; Nicolini, F.E.; Rosti, G.; Levato, L.; Giles, F.J.; Dombret, H.; Mirault, T.; et al. Peripheral artery occlusive disease in chronic phase chronic myeloid leukemia patients treated with nilotinib or imatinib. Leukemia 2013, 27, 1316–1321. [Google Scholar] [CrossRef]
- Giles, F.J.; Mauro, M.J.; Hong, F.; Ortmann, C.E.; McNeill, C.; Woodman, R.C.; Hochhaus, A.; Le Coutre, P.D.; Saglio, G. Rates of peripheral arterial occlusive disease in patients with chronic myeloid leukemia in the chronic phase treated with imatinib, nilotinib, or non-tyrosine kinase therapy: A retrospective cohort analysis. Leukemia 2013, 27, 1310–1315. [Google Scholar] [CrossRef]
- Valent, P.; Hadzijusufovic, E.; Schernthaner, G.H.; Wolf, D.; Rea, D.; le Coutre, P. Vascular safety issues in CML patients treated with BCR/ABL1 kinase inhibitors. Blood 2015, 125, 901–906. [Google Scholar] [CrossRef]
- Pasvolsky, O.; Leader, A.; Iakobishvili, Z.; Wasserstrum, Y.; Kornowski, R.; Raanani, P. Tyrosine kinase inhibitor associated vascular toxicity in chronic myeloid leukemia. Cardio-Oncology 2015, 1, 5. [Google Scholar] [CrossRef] [PubMed]
- Chen, M.T.; Huang, S.T.; Lin, C.W.; Ko, B.S.; Chen, W.J.; Huang, H.H.; Hsiao, F.Y. Tyrosine Kinase Inhibitors and Vascular Adverse Events in Patients with Chronic Myeloid Leukemia: A Population-Based, Propensity Score-Matched Cohort Study. Oncologist 2021, 26, 974–982. [Google Scholar] [CrossRef] [PubMed]
- Upshaw, J.N.; Travers, R.; Jaffe, I.Z. ROCK and Rolling Towards Predicting BCR-ABL Kinase Inhibitor-Induced Vascular Toxicity. Cardio Oncol. 2022, 4, 384–386. [Google Scholar] [CrossRef] [PubMed]
- Damiano, S.; Montagnaro, S.; Puzio, M.V.; Severino, L.; Pagnini, U.; Barbarino, M.; Cesari, D.; Giordano, A.; Florio, S.; Ciarcia, R. Effects of antioxidants on apoptosis induced by dasatinib and nilotinib in K562 cells. J. Cell. Biochem. 2018, 119, 4845–4854. [Google Scholar] [CrossRef]
- Allegra, A.; Mirabile, G.; Caserta, S.; Stagno, F.; Russo, S.; Pioggia, G.; Gangemi, S. Oxidative Stress and Chronic Myeloid Leukemia: A Balance between ROS-Mediated Pro- and Anti-Apoptotic Effects of Tyrosine Kinase Inhibitors. Antioxidants 2024, 13, 461. Available online: https://pubmed.ncbi.nlm.nih.gov/38671909 (accessed on 5 October 2025). [CrossRef]
- Appel, S.; Rupf, A.; Weck, M.M.; Schoor, O.; Brummendorf, T.H.; Weinschenk, T.; Grunebach, F.; Brossart, P. Effects of Imatinib on Monocyte-Derived Dendritic Cells Are Mediated by Inhibition of Nuclear Factor-κB and Akt Signaling Pathways. Clin. Cancer Res. 2005, 11, 1928–1940. [Google Scholar] [CrossRef]
- Dörfel, D.; Lechner, C.J.; Joas, S.; Funk, T.; Gutknecht, M.; Salih, J.; Geiger, J.; Kropp, K.N.; Maurer, S.; Müller, M.R.; et al. The BCR-ABL inhibitor nilotinib influences phenotype and function of monocyte-derived human dendritic cells. Cancer Immunol. Immunother. 2018, 67, 775–783. Available online: https://pubmed.ncbi.nlm.nih.gov/29468363 (accessed on 5 October 2025). [CrossRef]
- Tedgui, A.; Mallat, Z. Cytokines in Atherosclerosis: Pathogenic and Regulatory Pathways. Physiol. Rev. 2006, 86, 515–581. [Google Scholar] [CrossRef]
- Bocchia, M.; Galimberti, S.; Aprile, L.; Sicuranza, A.; Gozzini, A.; Santilli, F.; Abruzzese, E.; Baratè, C.; Scappini, B.; Fontanelli, G.; et al. Genetic predisposition and induced pro-inflammatory/pro-oxidative status may play a role in increased atherothrombotic events in nilotinib treated chronic myeloid leukemia patients. Oncotarget 2016, 7, 72311–72321. Available online: https://pubmed.ncbi.nlm.nih.gov/27527867 (accessed on 5 October 2025). [CrossRef][Green Version]
- Sicuranza, A.; Ferrigno, I.; Abruzzese, E.; Iurlo, A.; Galimberti, S.; Gozzini, A.; Luciano, L.; Stagno, F.; Russo Rossi, A.; Sgherza, N.; et al. Pro-Inflammatory and Pro-Oxidative Changes During Nilotinib Treatment in CML Patients: Results of a Prospective Multicenter Front-Line TKIs Study (KIARO Study). Front. Oncol. 2022, 12, 835563. Available online: https://pubmed.ncbi.nlm.nih.gov/35178353 (accessed on 5 October 2025). [CrossRef]
- Hong, C.G.; Florida, E.; Li, H.; Parel, P.M.; Mehta, N.N.; Sorokin, A.V. Oxidized low-density lipoprotein associates with cardiovascular disease by a vicious cycle of atherosclerosis and inflammation: A systematic review and meta-analysis. Front. Cardiovasc. Med. 2023, 9, 1023651. [Google Scholar] [CrossRef]
- Arjuman, A.; Chandra, N.C. Effect of IL-10 on LOX-1 expression, signalling and functional activity: An atheroprotective response. Diabetes Vasc. Dis. Res. 2013, 10, 442–451. [Google Scholar] [CrossRef]
- Criqui, M.H.; Aboyans, V. Epidemiology of Peripheral Artery Disease. Circ. Res. 2015, 116, 1509–1526. [Google Scholar] [CrossRef]
- Shirai, K.; Hiruta, N.; Song, M.; Kurosu, T.; Suzuki, J.; Tomaru, T.; Miyashita, Y.; Saiki, A.; Takahashi, M.; Suzuki, K.; et al. Cardio-Ankle Vascular Index (CAVI) as a Novel Indicator of Arterial Stiffness: Theory, Evidence and Perspectives. J. Atheroscler. Thromb. 2011, 18, 924–938. [Google Scholar] [CrossRef]
- Moslehi, J.J.; Deininger, M. Tyrosine Kinase Inhibitor–Associated Cardiovascular Toxicity in Chronic Myeloid Leukemia. J. Clin. Oncol. 2015, 33, 4210–4218. [Google Scholar] [CrossRef]
- Shyam Sunder, S.; Sharma, U.C.; Pokharel, S. Adverse effects of tyrosine kinase inhibitors in cancer therapy: Pathophysiology, mechanisms and clinical management. Signal Transduct. Target. Ther. 2023, 8, 262. [Google Scholar] [CrossRef] [PubMed]
- Matter, M.A.; Paneni, F.; Libby, P.; Frantz, S.; Stähli, B.E.; Templin, C.; Mengozzi, A.; Wang, Y.J.; Kündig, T.M.; Räber, L.; et al. Inflammation in acute myocardial infarction: The good, the bad and the ugly. Eur. Heart J. 2024, 45, 89–103. [Google Scholar] [CrossRef] [PubMed]
- Libby, P.; Ridker, P.M. Novel Inflammatory Markers of Coronary Risk. Circulation 1999, 100, 1148–1150. [Google Scholar] [CrossRef] [PubMed]



| Characteristics | PAD (n = 16) | Non PAD (n = 62) | p-Value |
|---|---|---|---|
| Age (Years) | 26.50 (18–49) | 44 (21–66) | 0.001 a* |
| Sex | Male: 8 (50.0%) Female: 8 (50.0%) | Male: 38 (61.3%) Female: 24 (38.7%) | 0.413 b |
| Passive/Active Cigarette Smoker | 11 (68.8%) | 13 (21.0%) | <0.001 b* |
| Comorbidities (Yes) | 2 (12.5%) | 4 (6.5%) | 0.418 b |
| Type 2 Diabetes Mellitus | 0 (0%) | 1 (1.6%) | 0.330 b |
| Hypertension | 1 (6.3%) | 1 (1.6%) | |
| Epilepsy | 0 (0%) | 1 (1.6%) | |
| Autoimmune | 0 (0%) | 1 (1.6%) | |
| History of Major Surgery | 1 (6.3%) | 0 (0%) | |
| Duration of CML | 4.50 (2–10) | 4.00 (2–14) | 0.470 |
| Tyrosine Kinase Inhibitor | Imatinib: 11 (68.8%) Nilotinib: 5 (31.3%) | Imatinib: 47 (75.8%) Nilotinib: 15 (24.2%) | 0.564 b |
| Parameter | Cutoff | AUC | Confidence Interval | Sensitivity | Specificity |
|---|---|---|---|---|---|
| OxLDL | >144.13 U/L | 0.954 | 0.90–1.00 | 93.8% | 87.1% |
| IL-10 | <0.518 pg/mL | 0.820 | 0.705–0.938 | 69.4% | 81.2% |
| OxLDL/IL-10 | >281.84 | 0.947 | 0.894–1.00 | 87.5% | 88.7% |
Disclaimer/Publisher’s Note: The statements, opinions and data contained in all publications are solely those of the individual author(s) and contributor(s) and not of MDPI and/or the editor(s). MDPI and/or the editor(s) disclaim responsibility for any injury to people or property resulting from any ideas, methods, instructions or products referred to in the content. |
© 2026 by the authors. Licensee MDPI, Basel, Switzerland. This article is an open access article distributed under the terms and conditions of the Creative Commons Attribution (CC BY) license.
Share and Cite
Sosilya, H.; Diansyah, M.N.; Savitri, M.; Amrita, P.N.A.; Romadhon, P.Z.; Novida, H.; Luthfah, N.; Ashariati, A.; Bintoro, S.U.Y. Serum Oxidized LDL and Interleukin-10 as Biomarkers for Peripheral Artery Disease in Chronic Myeloid Leukemia Patients Receiving Tyrosine Kinase Inhibitor Therapy. Hemato 2026, 7, 3. https://doi.org/10.3390/hemato7010003
Sosilya H, Diansyah MN, Savitri M, Amrita PNA, Romadhon PZ, Novida H, Luthfah N, Ashariati A, Bintoro SUY. Serum Oxidized LDL and Interleukin-10 as Biomarkers for Peripheral Artery Disease in Chronic Myeloid Leukemia Patients Receiving Tyrosine Kinase Inhibitor Therapy. Hemato. 2026; 7(1):3. https://doi.org/10.3390/hemato7010003
Chicago/Turabian StyleSosilya, Hernycane, Muhammad Noor Diansyah, Merlyna Savitri, Putu Niken Ayu Amrita, Pradana Zaky Romadhon, Hermina Novida, Nadya Luthfah, Ami Ashariati, and Siprianus Ugroseno Yudho Bintoro. 2026. "Serum Oxidized LDL and Interleukin-10 as Biomarkers for Peripheral Artery Disease in Chronic Myeloid Leukemia Patients Receiving Tyrosine Kinase Inhibitor Therapy" Hemato 7, no. 1: 3. https://doi.org/10.3390/hemato7010003
APA StyleSosilya, H., Diansyah, M. N., Savitri, M., Amrita, P. N. A., Romadhon, P. Z., Novida, H., Luthfah, N., Ashariati, A., & Bintoro, S. U. Y. (2026). Serum Oxidized LDL and Interleukin-10 as Biomarkers for Peripheral Artery Disease in Chronic Myeloid Leukemia Patients Receiving Tyrosine Kinase Inhibitor Therapy. Hemato, 7(1), 3. https://doi.org/10.3390/hemato7010003

