Next Article in Journal
Stress Relaxation and Creep Behaviour of Material Jetting Parts
Previous Article in Journal
Cellular Materials Optimisation Framework
 
 
Font Type:
Arial Georgia Verdana
Font Size:
Aa Aa Aa
Line Spacing:
Column Width:
Background:
Proceeding Paper

Reduction of Ferric Iron in Hydrometallurgical Solutions Using Zero-Valent Iron †

by
Christiana Mystrioti
*,
Nymphodora Papassiopi
and
Anthimos Xenidis
School of Mining and Metallurgical Engineering, Zografou Campus, National Technical University of Athens, 157 73 Athens, Greece
*
Author to whom correspondence should be addressed.
Presented at International Conference on Raw Materials and Circular Economy, Athens, Greece, 5–9 September 2021.
Mater. Proc. 2021, 5(1), 133; https://doi.org/10.3390/materproc2021005133
Published: 16 June 2022
(This article belongs to the Proceedings of International Conference on Raw Materials and Circular Economy)

Abstract

Most hydrometallurgical solutions usually contain high levels of ferric iron, which is often regarded as a major and problematic impurity. Precipitation of Fe(III) by raising the solution pH results in a voluminous amorphous residue that is particularly difficult to handle. Prior complete or partial reduction of Fe(III) to the divalent state facilitates the precipitation of crystalline iron oxides such as magnetite or goethite. The aim of this research was to investigate the effectiveness of zero-valent iron (ZVI) for the reduction of Fe(III) to Fe(II), which is a crucial pretreatment step for the efficient removal of iron. The effects of pH, reaction time and type of coexisting anions, i.e., sulphates or chlorides, were evaluated by conducting batch tests in an agitated reactor. It was found that using ZVI, Fe(III) is rapidly reduced to Fe(II), with higher reduction kinetics achieved in sulphate solutions at acidic pHs of 0.5–1.

1. Introduction

Hydrometallurgical treatment of ores and concentrates to dissolve the valuable metals is commonly carried out using sulphuric or hydrochloric acid solutions. However, this treatment results in the co-dissolution of iron minerals and the generation of high Fe(III) levels in the pregnant leaching solution (PLS) [1,2,3]. Iron is commonly removed from leaching liquors by adding a base (NaOH, CaCO3), which increases the solution pH and causes the precipitation of iron in the form of amorphous hydroxides. This process generates a large quantity of a gelatinous solid which is difficult and costly to manage, and it usually also adsorbs the valuable metals coexisting in the PLS [4].
The reduction of Fe(III) to the divalent form can facilitate the precipitation of iron in the form of low-volume crystalline oxides, which can be easily separated from the aqueous phase and recovered in the form of potentially marketable products. This is the principle of the goethite process, which involves the reduction of iron to the ferrous state followed by an oxidation step under controlled conditions for the final precipitation of Fe in the form crystalline goethite [4,5]. Ferrous iron solutions can be also used as precursors for the precipitation of nano-magnetite, a high-added-value material with a wide variety of biomedical and technological applications [6].
The aim of this research was to investigate the effectiveness of zero-valent iron for the reduction of Fe(III) to the divalent state. Microscale zero-valent iron (ZVI) is an inexpensive, non-toxic and moderate reducing reagent which has been successfully used to remediate groundwater due to its negative reduction potential. ZVI donates electrons and is then oxidized in the presence of species with more positive reduction potentials. ZVI has mostly been applied for the treatment of polluted waters via the construction of a permeable reactive barrier (PRB) [7,8]. ZVI has been efficiently used for the removal of various pollutants such as Cr(VI) and Se(VI), through reductive and adsorptive processes [7,8,9].
In this study, ZVI was selected as a reducing agent for the reduction of ferric to ferrous iron, since it does not affect the solution chemistry or pH and therefore eliminates the need for the external addition of chemical reagents for pH control or solution purification. To the best of our knowledge, there has been no attempt until now to use granular elemental iron for ferric iron reduction. A few previous studies dealing with the reduction of ferric iron have used hydrogen [10], ascorbic acid [11] and sulphites [12]. The effects of pH and the type of iron source for ferric reduction using ZVI were evaluated by conducting batch tests.

2. Materials and Methods

Microscale elemental iron (H2Omet 86) was supplied by Rio Tinto Metal Powders Ltd. H2Omet 86 is a high-density fine granular zero-valent iron (ZVI), >99% Fe, with a bulk density equal to 3.28 g/cm³ and a particle size of less than 250 µm. H2Omet 86 was mainly designed for injection in field-scale remediation applications and as a filler for permeable reactive barriers.
The salts iron(III) sulphate hydrate (>97% Merck, Darmstadt, Germany) and ferric chloride hexahydrate of analytical grade (>99.0%, Merck, Germany) were used as sources of ferric iron solutions. The iron solutions were prepared by dissolving Fe2(SO4)3·xH2O and FeCl3·6H2O in deionized water (DW) to yield a 0.22 M concentration of Fe(III). The deionized water was previously boiled in order to remove the dissolved oxygen. In each experiment, 0.5 L of ferric iron solution with an initial concentration of 0.22 M was prepared, and the pH was adjusted to the desired value using either hydrochloric or sulphuric acid. Elemental iron was then added to the solution in an amount equivalent to 0.18 moles/L. Taking into consideration the stoichiometry of reduction (reaction 1), the added amount of ZVI corresponds to an excess of 64%.
The experiments were carried out in a glass reactor (1 L) which was purged with nitrogen gas during the reaction, and the suspension was stirred by a mixer at a speed of 500 rpm. The temperature of the reactor was kept constant at 25 °C. Aliquots of samples (5 mL) were withdrawn at various reaction times (t = 2, 5, 10, 20, 40 and 60 min) and analysed for Fe(II). Ferrous iron concentration was determined by redox titration using potassium permanganate. The Fe(III) concentration was calculated based on the stoichiometry of reaction (1).
2   Fe ( III ) +   Fe ( 0 ) 3 Fe ( II )

3. Results and Discussion

The effects of pH and of the coexisting anions on the kinetics of ferric ion reduction by ZVI are shown in Figure 1. It can be seen that Fe(III) reduction is more rapid at lower pHs and in the presence of sulphate anions. At pH 0.5, 100% reduction of Fe(III) was achieved within 40 min in the presence of SO4, whereas it reached 96% after 60 min in the presence of chlorides. At pH 1.0, the reduction of Fe(III) was equal to 99% and 92% after 60 min of reaction in the sulphate and chloride media, respectively. At pH 1.5, the corresponding reduction percentages were 84% and 73%.
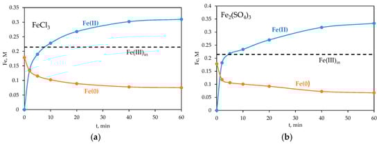
During the reduction of Fe(III), the elemental iron is oxidized in the divalent state, as shown in reaction (1). The aqueous solution is thus enriched in ferrous iron at values exceeding the initial concentration of Fe(III). The evolution of the Fe(II) concentration in comparison with the initial Fe(III) content and the corresponding depletion of Fe(0) is shown in Figure 2 for the experiments carried out at pH 0.5.

4. Conclusions

Microscale zero-valent iron can be efficiently used as reducing agent for the rapid reduction of ferric to ferrous iron at acidic pHs, in order to proceed to the following precipitation steps for the final recovery of iron in the form of low-volume crystalline oxides with a possible market potential. The sulphate anions were found to favour the reduction kinetics in comparison with the chloride medium. Reduction was also found to be faster in the lower range of tested pHs.

Author Contributions

Conceptualization, N.P.; methodology, N.P. and A.X.; validation, C.M.; formal analysis, C.M.; investigation, C.M.; resources, C.M.; data curation, A.X.; writing—original draft preparation, C.M.; writing—review and editing, C.M.; visualization, C.M.; supervision, N.P. and A.X.; project administration, C.M.; funding acquisition, C.M. All authors have read and agreed to the published version of the manuscript.

Funding

This research was co-funded by Greece and the European Union (European Social Fund (ESF)) through the Operational Program “HUMAN RESOURCES DEVELOPMENT, EDUCATION AND LIFELONG LEARNING” in the context of the project “Reinforcement of Postdoctoral Researchers – 2nd Cycle” (MIS-5033021), implemented by the State Scholarships Foundation (IKY).

Institutional Review Board Statement

Not applicable.

Informed Consent Statement

Not applicable.

Conflicts of Interest

The authors declare no conflict of interest.

References

  1. McDonald, R.G.; Whittington, B.I. Atmospheric acid leaching of nickel laterites review: Part I. Sulphuric acid technologies. Hydrometallurgy 2008, 91, 35–55. [Google Scholar] [CrossRef]
  2. Rice, N.M. A hydrochloric acid process for nickeliferous laterites. Miner. Eng. 2016, 88, 28–52. [Google Scholar] [CrossRef]
  3. Mystrioti, C.; Papassiopi, N.; Xenidis, A.; Komnitsas, K. Counter-Current Leaching of Low-Grade Laterites with Hydrochloric Acid and Proposed Purification Options of Pregnant Solution. Minerals 2018, 8, 599. [Google Scholar] [CrossRef]
  4. Monhemius, A.J. The iron elephant: A brief history of hydrometallurgists’ struggles with element no. 26. CIM J. 2017, 8, 197–206. [Google Scholar] [CrossRef]
  5. Société de la Vieille Montagne. The Goethite Process to Eliminate the Iron Problem. Belgian Patent No. 724214, 20 November 1968.
  6. Mystrioti, C.; Papassiopi, N.; Xenidis, A. Synthesis of Iron Nanomaterials for Environmental Applications from Hydrometallurgical Liquors. Minerals 2022, 12, 556. [Google Scholar] [CrossRef]
  7. Tratnyek, P.G.; Scherer, M.M.; Johnson, T.L.; Matheson, L.J. Permeable reactive barriers of iron and other zero-valent metals. In Chemical Degradation Methods for Wastes and Pollutants: Environmental and Industrial Applications; Tarr, M.A., Ed.; Marcel Dekker: New York, NY, USA, 2003; Volume 9, pp. 371–422. [Google Scholar]
  8. Zhu, F.; Tan, X.; Zhao, W.; Feng, L.; He, S.; Wei, L.; Yang, L.; Wang, K.; Zhao, Q. Efficiency assessment of ZVI-based media as fillers in permeable reactive barrier for multiple heavy metal-contaminated groundwater remediation. J. Hazard. Mater. 2022, 424, 127605. [Google Scholar] [CrossRef] [PubMed]
  9. Dermatas, D.; Mpouras, T.; Papassiopi, N.; Mystrioti, C.; Toli, A.; Panagiotakis, I. Adsorption of groundwater pollutants by iron nanomaterials. In Iron Nanomaterials for Water and Soil Treatment; Pan Stanford Publishing Pte. Ltd.: Singapore, 2018; pp. 45–56. [Google Scholar]
  10. Noah, K.; Bruhn, D.; Wey, J.; Cherry, R. Hydrogen Reduction of Ferric Ions for Use in Copper Electrowinning; Idaho National Engineering and Environmental Laboratory: Idaho Falls, ID, USA, 2005. [Google Scholar] [CrossRef][Green Version]
  11. Hsieh, Y.H.P. Kinetics of Fe(III) Reduction by Ascorbic Acid in Aqueous Solutions. J. Agric. Food Chem. 2000, 48, 1569–1573. [Google Scholar] [CrossRef] [PubMed]
  12. Millero, F.J.; Gonzalez-Davila, M.; Santana-Casiano, J.M. Reduction of Fe(III) with sulfite in natural waters. J. Geophys. Res. 1995, 100, 7235–7244. [Google Scholar] [CrossRef]
Figure 1. Evolution of Fe(III) reduction with ZVI at (a) pH 0.5, (b) pH 1.0 and (c) pH 1.5 (initial concentrations: Fe(III) 0.22 M; ZVI 0.18 M).
Figure 1. Evolution of Fe(III) reduction with ZVI at (a) pH 0.5, (b) pH 1.0 and (c) pH 1.5 (initial concentrations: Fe(III) 0.22 M; ZVI 0.18 M).
Materproc 05 00133 g001
Figure 2. Evolution of Fe(II) concentration and depletion of Fe(0) in the experiments carried out at pH 0.5 for (a) FeCl3 and (b) Fe2(SO4)3 solutions.
Figure 2. Evolution of Fe(II) concentration and depletion of Fe(0) in the experiments carried out at pH 0.5 for (a) FeCl3 and (b) Fe2(SO4)3 solutions.
Materproc 05 00133 g002
Disclaimer/Publisher’s Note: The statements, opinions and data contained in all publications are solely those of the individual author(s) and contributor(s) and not of MDPI and/or the editor(s). MDPI and/or the editor(s) disclaim responsibility for any injury to people or property resulting from any ideas, methods, instructions or products referred to in the content.

Share and Cite

MDPI and ACS Style

Mystrioti, C.; Papassiopi, N.; Xenidis, A. Reduction of Ferric Iron in Hydrometallurgical Solutions Using Zero-Valent Iron. Mater. Proc. 2021, 5, 133. https://doi.org/10.3390/materproc2021005133

AMA Style

Mystrioti C, Papassiopi N, Xenidis A. Reduction of Ferric Iron in Hydrometallurgical Solutions Using Zero-Valent Iron. Materials Proceedings. 2021; 5(1):133. https://doi.org/10.3390/materproc2021005133

Chicago/Turabian Style

Mystrioti, Christiana, Nymphodora Papassiopi, and Anthimos Xenidis. 2021. "Reduction of Ferric Iron in Hydrometallurgical Solutions Using Zero-Valent Iron" Materials Proceedings 5, no. 1: 133. https://doi.org/10.3390/materproc2021005133

APA Style

Mystrioti, C., Papassiopi, N., & Xenidis, A. (2021). Reduction of Ferric Iron in Hydrometallurgical Solutions Using Zero-Valent Iron. Materials Proceedings, 5(1), 133. https://doi.org/10.3390/materproc2021005133

Article Metrics

Back to TopTop