Abstract
Chemical wastewater treatment in laboratories poses a significant challenge due to the complex nature of the contaminants involved. Humic materials and clay have emerged as promising solutions for remediation due to their unique properties, such as high adsorption capacity and ability to form stable complexes with heavy metals. This research explores the potential of humic materials and clay in wastewater treatment by evaluating their effectiveness in removing various chemicals commonly found in laboratory effluents. Ultimately, this research aims to contribute to developing sustainable and cost-effective approaches for managing chemical wastewater in laboratories. Humic acid demonstrated a higher affinity for specific metals, with Cobalt (Co) showing the highest uptake, followed by Manganese (Mn) and Molybdenum (Mo), among other elements. On the other hand, the natural clay sample exhibited a different uptake sequence, indicating its distinct sorption preferences for various metals. The notable uptake of Molybdenum (Mo), Barium (Ba), and Arsenic (As) by the clay sample underscores its potential as an effective sorbent for these elements in wastewater treatment applications.
1. Introduction
Natural sorbents play a crucial role in wastewater treatment by effectively removing pollutants and contaminants from water []. They have adsorptive properties that allow them to attach to the surface of contaminants and trap them, leading to cleaner water quality. These natural sorbents, such as activated carbon, zeolites, clay minerals, chitosan, lignocelluloses, and humic materials, have shown high efficiency in removing metal ions and other pollutants from wastewater []. Humic acid is an organic compound in soil, water, and sediment. It is formed by decomposing organic matter, such as plant and animal residues. Laboratory wastewater often contains various organic compounds, including humic acid, which can be problematic for the environment if not properly managed []. The presence of humic acid in laboratory wastewater can lead to increased organic load and color, making it more difficult to treat before discharge. Additionally, humic acid can interfere with specific treatment processes, such as coagulation and flocculation, reducing treatment efficiency [].
Humic materials and clay play a crucial role in wastewater treatment due to their unique chemical properties, which aid in removing contaminants. These materials have a high surface area, which allows for the adsorption of various pollutants, such as heavy metals, organic compounds, and dyes, from wastewater streams. Additionally, humic substances contain functional groups like carboxyl, phenolic, and hydroxyl groups, which can complex with metal ions and facilitate their precipitation, thereby promoting the removal of harmful substances from the water. Furthermore, humic materials possess redox-active sites that can participate in electron transfer reactions, enabling the reduction of toxic species like chromium (VI) into less harmful forms such as chromium (III). The multifaceted nature of humic materials makes them practical tools for enhancing the efficiency of wastewater treatment processes [].
Clay minerals, characterized by a layer structure and particle size of less than 2 μm, predominantly comprise hydrous aluminum silicates []. These clays may contain notable iron levels, alkali metals, or alkaline earth []. They have been utilized as effective adsorbents due to their high surface area, porosity, surface electrical charge, cation exchange capacity, acidity, and various active sites []. These attributes are crucial in numerous natural neutralizing processes and pollution control efforts []. Clay minerals have historically served as valuable resources in industrial applications and human societies over the centuries []. Clay minerals have a remarkable capacity to eliminate different impurities. Alteration techniques can improve the adsorption characteristics of clay minerals, leading to increased adsorption sites and functional groups capable of absorbing diverse environmental pollutants []. Therefore, altering clay minerals to improve their adsorption capacity is essential. Consequently, selecting modifiers is crucial in obtaining suitable clays as efficient adsorbents [].
Chemical wastewater treatment involves various methods to remove contaminants and pollutants from water. Coagulation and flocculation are standard methods, where chemicals are added to the water to form flocs that attract and absorb impurities. Another method is chemical precipitation, where chemicals are added to the water to form insoluble residues that can be easily removed []. Additionally, oxidation–reduction processes can be used to break down organic contaminants by adding chemicals or using advanced oxidation processes. Each method has advantages and limitations, so carefully considering the treated wastewater’s specific needs is essential. Another widely used method for chemical wastewater treatment is neutralization, which involves adjusting the pH level of the wastewater using chemicals to make it less acidic or alkaline. This helps stabilize the water and make it suitable for further treatment or discharge into the environment []. Furthermore, adsorption effectively removes pollutants from the water by adhering to a solid surface, such as activated carbon. This process effectively removes organic contaminants and certain heavy metals from wastewater []. It is essential to evaluate the specific composition of the wastewater and the desired effluent quality before selecting a treatment method. Combining these chemical wastewater treatment methods can often provide more effective and efficient results than using a single method alone []. Humic materials have shown potential in adsorbing contaminants and improving overall treatment performance. Investigating the application of these materials in laboratory-scale setups can provide valuable insights for optimizing real-world treatment systems [].
This research focuses on treating laboratory wastewater using humic material. Sources and production methods for humic acid play a significant role in understanding its diverse applications. Humic acid is commonly derived from leonardite, lignite, peat, or composted organic matter through complex extraction processes involving alkaline solutions and acid precipitation. These natural materials are rich in organic residues and decomposed plant matter, which give humic acid its unique molecular structure and beneficial properties. Humic acid extraction involves multiple steps, including extraction, filtration, and drying, to obtain a concentrated form suitable for various agricultural, environmental, and industrial uses. Understanding humic acid’s sources and production methods is crucial for optimizing its quality, purity, and effectiveness in different applications, from soil conditioning to water remediation. Hence, further research into innovative extraction techniques and sustainable sources is essential to enhancing the production and utilization of humic acid in diverse fields of study [].
Applying humic materials in chemical wastewater laboratories has proven to be a promising strategy for enhancing treatment efficiency. Humic substances, derived from decayed organic matter, possess unique properties such as high adsorption capacity, ion exchange capability, and metal chelation potential. These characteristics make humic materials effective in wastewater remediation by facilitating the removal of heavy metals, organic pollutants, and other contaminants from water sources. Additionally, the use of humic materials can aid in reducing the toxicity of wastewater effluents, thereby minimizing environmental impacts. Studies have demonstrated that incorporating humic substances into treatment protocols can improve water quality standards and reduce treatment costs. By harnessing the beneficial properties of humic materials, chemical wastewater laboratories can optimize their treatment processes to achieve more sustainable and eco-friendly outcomes, making them a valuable asset in environmental science and engineering [].
2. Experimental
2.1. Materials
All reagents and chemicals utilized in this work were of analytical grade purity. In all experiments, water used for dissolution, dilution, and final washing of glassware and vials was deionized water purified by an ELGA purification system (Purelab Chorus water VEOLIA, Lane End, UK). The humic acid (HA) extraction procedure from the compost sample was designed based on the standard method of the International Humic Substance Society []. The humic material (humic acid) was separated from a local Qatari compost sample prepared from modified agricultural residues. The clay sample was collected from a local Qatari farm in northern Qatar. All analytical techniques used in this study relied on equipment available at the Central Laboratories Unit (CLU) at Qatar University. Humic acid characterization was accomplished by using the Flash 2000 elemental analyzer (ThermoFisher Scientific, Waltham, MA, USA) for elemental analysis (CHNS/O), FTIR Spectrum 400 (PerkinElmer, Shelton, CT, USA), Nova-Nano SEM 450 (ThermoFisher Scientific, Eindhoven, The Netherlands), and Liquid Chromatography Triple Quadrapol mass Spectroscopy (Agilent Technologies 6460, Santa Clara, CA, USA).
The clay samples’ elemental content was determined using inductively coupled plasma optical emission spectrometry (ICP-OES), Optima 7300DV (PerkinElmer, Waltham, MA, USA). All sample and solution preparation chemicals were weighed using a high-accuracy calibrated weight balance (KERN ABJ220-4NM, Balingen, Germany). In all steps of this work, all vessels were thoroughly cleaned with tap water and organic detergents and, finally, washed with deionized water several times. In the sorption experiments, mixing the two phases was achieved using thermostatic shaking water bath for shaking and heating water (Centurion Scientific, Chichester, UK). Complete separation of the two phases was obtained by centrifugation using a Centurion Scientific, PrO-PRP S centrifuge. A PerkinElmer Optima 7300DV inductively coupled plasma optical emission spectrometer (ICP-OES) (PerkinElmer, Waltham, MA, USA) was used to detect the heavy and trace metal content of the laboratory wastewater samples before and after treatment.
2.2. Procedure
Humic acid preparation: A 250 g composite sample underwent pretreatment by washing with deionized water several times. Subsequently, humic and fulvic acids were extracted by adding one liter of 0.5 M NaOH. The sample was stirred continuously with a magnetic stirrer for 24 h and left to settle for an additional 48 h. Following this, the sample underwent a 24 h treatment with 0.5 M HCl to remove any adsorbed metallic environmental contaminants and facilitate the release of adsorbed humic acid, thereby increasing the final yield. The supernatant solution, containing both humic and fulvic acids, was allowed to settle overnight for complete precipitation and then centrifuged and filtered through filter paper. This extraction process was repeated for the entire sample to ensure the removal of any remaining fulvic acid. The supernatant containing fulvic acid (FA) was then separated from the precipitated humic acid (HA) via centrifugation.
2.3. Characterization
Humic acid was characterized by using various analytical techniques to gain insights into its nature and properties. The specific molecular structure of the humic acid sample was analyzed using FT-IR spectroscopy, enabling the identification of functional groups and molecular bonds within the sample. Furthermore, the morphology of the humic acid sample was studied through scanning electron microscopy (SEM), providing visual and structural details about its surface characteristics and particle morphology. This comprehensive approach to characterization allowed for a thorough understanding of the chemical composition, molecular structure, and physical attributes of humic acid, contributing to enhanced knowledge about its nature and source as a humic substance. Humic acid molecular fragments were further studied using Agilent Liquid Chromatography Tandem Mass Spectrometry (LC/MS/MS) (Agilent Technologies 6460, Santa Clara, CA, USA). The sorption of heavy and trace metals by humic materials and clay, natural sorbents, was investigated, focusing on the influence of the weight of the natural sorbent on the sorption of metallic content from laboratory wastewater. The investigation involved varying amounts of sorbent (0.05, 0.1, 0.2, 0.3, 0.4, and 0.5 g) for each experimental run. For each test, the appropriate amount of sorbent was measured and added to 30 mL of the laboratory wastewater solution to be treated. The samples were then placed in vials and shaken for 2 h in a thermostatic water bath set at 35 °C. Following agitation, the vials underwent centrifugation for 5 min at 3500 rpm, and the resulting supernatant was further filtered using vacuum filtration. Once complete phase separation was achieved, 10 mL of each sample was extracted for analysis using inductively coupled plasma optical emission spectroscopy (ICP-OES) (PerkinElmer, Waltham, MA, USA).
3. Results and Discussion
Humic acid characterization: An elemental composition analysis of the examined humic acid sample revealed a carbon content of 50.1%, oxygen content of 43.65%, hydrogen content of 4.52%, and nitrogen content of 1.2%. These findings align well with previously published data []. They confirmed the consistency of the sample’s elemental composition. Furthermore, the FTIR spectrum of the investigated humic acid sample displayed a range of characteristic bands indicative of its specific molecular structure, as depicted in Figure 1. These bands included H-bonded OH at 3317 cm−1, aliphatic CH at 2914 cm−1 and 2800 cm−1, carboxyl group at 1715 cm−1 and 1250 cm−1, and aromatic C = C at 1614 cm−1, among others. These spectral features closely match those reported in previously published humic acid spectra [,,] providing further validation of the molecular structure identified in the analysis.

Figure 1.
The FT-IR spectrum of the humic acid.
As part of this research study, surface morphology was examined using a scanning electron microscope (SEM). Figure 2 images represent the morphological structure of the extracted humic acid by using Nova-Nano SEM 450. The images show that humic acid has a high density and sizeable molecular accumulation, which aligns with other published articles []. The images showing compact aggregates with large flake shapes indicate that the naturally extracted humic acid has a suitable surface area for absorbing different pollutants.

Figure 2.
SEM images of the humic acid sample.
The LC/MS/MS spectra depicted in Figure 3a,b reveal the presence of two discernible fractions distinguished by their molecular weights. The first fraction, characterized by low molecular weights ranging from 100 to 500 g/mole, corresponds primarily to aliphatic and aromatic carboxylic acids. On the other hand, the second fraction, exhibiting higher molecular weights spanning 500 to 2500 g/mole, can be attributed to polymeric substances such as saccharides, proteins, and lignin. This differentiation in molecular weight ranges provides valuable insights into the composition and nature of compounds detected within the analyzed samples, highlighting organic compounds’ diversity and potential roles in various biochemical processes or environmental interactions.

Figure 3.
(a) LC/MS/MS chart of humic acid sample, low molecular weights ranging from 100 to 500 g/mole; (b) LC/MS/MS chart of humic acid sample, higher molecular weights ranging from 500 to 2500 g/mole.
The metallic content of the clay sample was quantified by acid digestion followed by ICP-OES analysis. Table 1 summarizes the metallic content of the natural clay sample examined.

Table 1.
Natural clay metallic content (mg/kg).
Table 2 summarizes the elemental content of the ICP/OES laboratory wastewater sample before treatment. The obtained results indicated variety in the metal concentrations.

Table 2.
Laboratories wastewater metallic content (µg/L).
The sorption of heavy and trace metal content in the laboratory wastewater by solid humic acid and clay as natural sustainable sorbents was investigated. In the following parameters, the percentage of uptake (% uptake) of heavy and trace metals was calculated by the following formula:
where
% Uptake = (Co − Ce)/Co
- Co is the initial metal ion concentration;
- Ce is the metal ion concentration after equilibrium.
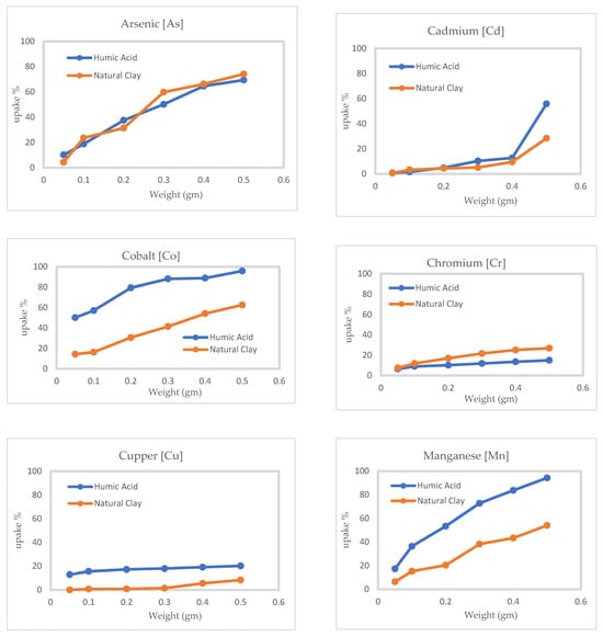
The data in Figure 4 depict the percentage uptake of heavy metal content from laboratory wastewater by both humic acid and natural clay sorbents. It was observed that the percentage uptake increased proportionally with the weight of the sorbent materials until reaching a state of saturation, after which, the uptake remained relatively constant. Furthermore, the sequence of growing percentage uptake varied depending on the type of sorbent used. The findings indicate that humic acid exhibits superior sorption capabilities to natural clay for most tested heavy metals. The elements analyzed in this study included Arsenic (As), Cadmium (Cd), Cobalt (Co), Chromium (Cr), Copper (Cu), Manganese (Mn), Nickel (Ni), Lead (Pb), Zinc (Zn), Molybdenum (Mo), Silver (Ag), Barium (Ba), and Beryllium (Be).


Figure 4.
The impact of natural sorbent weight on the uptake of the investigated elements.
During trace element analyses of environmental samples, several elements are commonly identified as waste or by-products. These include Arsenic (As), Cadmium (Cd), Cobalt (Co), Chromium (Cr), Copper (Cu), Manganese (Mn), Nickel (Ni), Lead (Pb), Zinc (Zn), Mercury (Hg), Aluminum (Al), Barium (Ba), Beryllium (Be), Selenium (Se), and Thallium (Tl). These elements are typically found in trace amounts in samples and can be quantified using ICP-OES spectroscopy. However, not all sample material is consumed or detected during analysis, resulting in waste containing these elements. Proper handling and disposal protocols are crucial to manage such waste effectively and prevent environmental contamination.
The detailed results of the study provided valuable insights into the sorption capabilities of humic acid and natural clay for a wide range of heavy metals. Humic acid exhibited remarkable sorption efficiency, particularly for metals such as Cobalt (Co), Manganese (Mn), and Molybdenum (Mo), as indicated by their higher percentage uptake in laboratory wastewater. This suggests the strong binding affinity of humic acid toward these specific metals, making it an effective sorbent for their removal from contaminated water sources. The maximum percentage uptake sequence revealed a distinct pattern, with Cobalt (Co) showing the highest uptake, followed by Manganese (Mn), Molybdenum (Mo), Barium (Ba), Lead (Pb), Arsenic (As), Beryllium (Be), Zinc (Zn), Cadmium (Cd), Silver (Ag), Nickel (Ni), and Chromium (Cr).
The data analysis also revealed the maximum percentage uptake sequence of laboratory wastewater elemental content by the natural clay sample, which followed a specific order: Molybdenum (Mo) exhibited the highest uptake, followed by Barium (Ba), Arsenic (As), Cobalt (Co), Manganese (Mn), Beryllium (Be), Silver (Ag), Lead (Pb), Zinc (Zn), Cadmium (Cd), Chromium (Cr), and Nickel (Ni). This sequence provides crucial information about the sorption preferences of natural clay for various heavy metals, indicating its effectiveness in removing some aspects of wastewater.
This research illustrates that humic acid exhibits superior sorption capabilities compared with natural clay for heavy metals such as Co, Mn, and Mo due to its complexation with humic acids, which contain high-molecular polyfunctional natural ligands. These ligands possess diverse functional groups (carboxylic, alcoholic, phenolic, amine, amide, etc.) that create strong complexes with heavy metal ions through ionic, covalent, and chelated compound formation. Conversely, humic acid does not demonstrate effective sorption for heavy metals like Cr, Zn, Ba, and Ni due to various factors, including the specific properties of these metals and the structure of humus compounds in the soil. Factors Affecting Sorption Capabilities: The number of functional groups and the structure of humus compounds influence sorption []. The presence of different functional groups in humic acids facilitates the formation of strong complexes with heavy metal ions. Humic acids consist of carboxylic and phenolic groups that engage in metal sorption by creating chelate complexes. Influence of Soil Components on Sorption: Soils rich in humic acids can bind significant amounts of heavy metals. The organic-matter-to-metal ratio plays a vital role in determining sorption capacity. Metal sorption by the organic part of the soil involves specific functional groups such as carboxyl and phenolic groups. Sorption Dynamics for Specific Heavy Metals: Cadmium sorption is hindered at pH 2.0 but remains relatively stable in poly-element enrichment. Lead sorption is influenced by pH levels, showing suppression at certain pH values and an increase in the presence of other metals. Zinc has an activating effect on cadmium absorption under different pH conditions. Sorption Capacity Research: The degree of heavy metal sorption by humic acids in dark and light chestnut soil under mono- and poly-element pollution scenarios is under investigation in the East Kazakhstan region. Understanding the adsorption capacity of soils can contribute to the development of strategies to manage chemical element compound transformations in technogenically polluted areas [].
The observed differences in sorption sequences between humic acid and natural clay underscore the importance of considering these materials’ properties and capabilities when designing wastewater treatment strategies. Further research and experimentation are needed to optimize using humic acid and clay as sorbents, explore potential synergistic effects between the two materials, and develop practical applications for environmental remediation and pollution control. Overall, the detailed results contribute significantly to understanding heavy metal sorption mechanisms and pave the way for innovative solutions in water treatment technologies.
4. Conclusions
The observed maximum percentage uptake sequence of laboratory wastewater elemental content by both humic acid and natural clay samples provides valuable insights into their potential applications for metal removal in wastewater treatment. Humic acid demonstrated a higher affinity for specific metals, with Cobalt (Co) showing the highest uptake, followed by Manganese (Mn) and Molybdenum (Mo), among other elements. This selective sorption ability of humic acid suggests its effectiveness in targeting specific heavy and trace metals, which is essential for efficient pollutant removal from contaminated water sources. On the other hand, the natural clay sample exhibited a different uptake sequence, indicating its distinct sorption preferences for various metals. The notable uptake of Molybdenum (Mo), Barium (Ba), and Arsenic (As) by the clay sample underscores its potential as an effective sorbent for these elements in wastewater treatment applications. Understanding humic acid and clay’s specific metal uptake capacities is crucial for designing tailored treatments. The optioned findings emphasize the importance of considering natural materials like humic acid and clay as sustainable alternatives in pollution control and remediation efforts. By harnessing their natural complexing properties and selective sorption capabilities, these materials can contribute significantly to mitigating the adverse effects of heavy metal pollution on water resources and ecosystems.
Future research endeavors in heavy metal decontamination in wastewater treatment processes could optimize the synthesis, modification, and application techniques of humic acid and clay-based sorbents to enhance their performance and feasibility in real-world scenarios. Key areas of exploration should also encompass optimizing sorption parameters such as pH, temperature, and sorbent dosage to achieve enhanced metal-removal efficiency. Furthermore, investigating the long-term stability and regeneration capabilities of natural sorbents; conducting mechanistic studies to elucidate sorption mechanisms; comparing efficacy with conventional methods; scaling up to field trials or pilot studies; assessing environmental impacts, integrating with advanced technologies; and fostering collaboration for knowledge exchange and innovative solutions in sustainable wastewater management are crucial aspects to consider. These collective efforts will significantly contribute to advancing the field and implementing effective strategies for heavy metal decontamination in wastewater treatment processes.
Author Contributions
Conceptualization, methodology, formal analysis, software, validation, data curation, writing—original draft preparation, and writing—review and editing, A.M.A.A., A.H.A.E., A.H.S.A. and R.A.M.E.K.; supervision, project administration, funding acquisition, and writing—review and editing, N.A.-Q.; resources, A.A.A.; resources A.E.; resources M.I.; validation, N.A.-Q. All authors have read and agreed to the published version of the manuscript.
Funding
This study was conducted at the Central Laboratories Unit (CLU), and Qatar University supported this work through a student grant (QUST) [QUST-1-CLU-2024-1673]. Open Access funding is provided by the Qatar National Library.
Institutional Review Board Statement
Not applicable.
Informed Consent Statement
Not applicable.
Data Availability Statement
The data are currently unavailable due to being part of ongoing research.
Acknowledgments
This research was carried out at the Central Laboratories Unit (CLU) at Qatar University. The authors take full responsibility for the content presented in this study.
Conflicts of Interest
The authors declare no conflict of interest.
References
- Godage, N.H.; Gionfriddo, E. Use of natural sorbents as alternative and green extractive materials: A critical review. Anal. Chim. Acta 2020, 1125, 187–200. [Google Scholar] [CrossRef] [PubMed]
- Crini, G.; Lichtfouse, E.; Wilson, L.D.; Morin-Crini, N. Green adsorbents for pollutant removal. Environ. Chem. Sustain. World 2018, 18, 23–71. [Google Scholar]
- Yuan, G.; Wada, S.I. Allophane and imogolite nanoparticles in soil and their environmental applications. In Nature’s Nanostructures; Pan Stanford: Singapore, 2012; pp. 494–515. [Google Scholar]
- Lipczynska-Kochany, E.; Kochany, J. Effect of humic substances on the Fenton treatment of wastewater at acidic and neutral pH. Chemosphere 2008, 73, 745–750. [Google Scholar] [CrossRef]
- Malati, M.L.; Mahlalela, L.C.; Malinga, S.P.; Dlamini, L.N. Impact of Macromolecules on the Stability of MoS2 Nanosheets and Understanding the Fate and Behavior Simulated in a Wastewater Treatment Plant Under Aerobic Conditions. Int. J. Environ. Res. 2022, 16, 44. [Google Scholar] [CrossRef]
- Barakan, S.; Aghazadeh, V. The advantages of clay mineral modification methods for enhancing adsorption efficiency in wastewater treatment: A review. Environ. Sci. Pollut. Res. 2021, 28, 2572–2599. [Google Scholar] [CrossRef] [PubMed]
- Gwinn, R.; Norton, P.; Mchenry, R. Micropædia. In The New Encyclopaedia Britannica; Encyclopædia Britannica: Chicago, IL, USA, 1993. [Google Scholar]
- Mukherjee, S. The Science of Clays; Springer Science and Business Media: Dordrecht, The Netherlands, 2013. [Google Scholar]
- Churchman, G.J.; Gates, W.P.; Theng BK, G.; Yuan, G. Clays and clay minerals for pollution control. Dev. Clay Sci. 2006, 1, 625–675. [Google Scholar]
- Tomar, V.; Kumar, D. A critical study on efficiency of different materials for fluoride removal from aqueous media. Chem. Cent. J. 2013, 7, 1–15. [Google Scholar] [CrossRef] [PubMed]
- Yargeau, V. Water and wastewater treatment: Chemical processes. In Metropolitan Sustainability; Woodhead Publishing: Sawston, UK, 2012; pp. 390–405. [Google Scholar]
- Mohan, D.; Singh, K.P.; Singh, V.K. Wastewater treatment using low cost activated carbons derived from agricultural byproducts—A case study. J. Hazard. Mater. 2008, 152, 1045–1053. [Google Scholar] [CrossRef] [PubMed]
- Tünay, O. Developments in the application of chemical technologies to wastewater treatment. Water Sci. Technol. 2004, 48, 43–52. [Google Scholar] [CrossRef]
- Younas, F.; Mustafa, A.; Farooqi, Z.U.R.; Wang, X.; Younas, S.; Mohy-Ud-Din, W.; Ashir Hameed, M.; Mohsin Abrar, M.; Maitlo, A.A.; Noreen, S.; et al. Current and emerging adsorbent technologies for wastewater treatment: Trends, limitations, and environmental implications. Water 2021, 13, 215. [Google Scholar] [CrossRef]
- Mulopo, J. A systematic overview of current advancements for chemical, material, and energy production using sewage sludge for industrial ecology and sustainability transition. Environ. Sustain. 2024, 7, 5–29. [Google Scholar] [CrossRef]
- Fernández-Delgado, M.; López-Linares, J.C.; Lucas, S.; García-Cubero, M.T.; Coca, M. Efficient recovery and characterization of humic acids from municipal and manure composts: A comparative study. Waste Manag. 2023, 172, 245–255. [Google Scholar] [CrossRef] [PubMed]
- Hansen, S.H. Elucidating Exopolymers in Membrane Fouling: A Metaproteomic Approach; Aalborg Universitetsforlag: Aalborg, Denmark, 2018. [Google Scholar]
- Audette, Y.; Longstaffe, J.G.; Gillespie, A.W.; Smith, D.S.; Voroney, R.P. Validation and comparisons of NaOH and Na4P2O7 extraction methods for the characterization of organic amendments. Soil Sci. Soc. Am. J. 2021, 85, 273–285. [Google Scholar] [CrossRef]
- Rengasamy, P. Soil chemistry factors confounding crop salinity tolerance—A review. Agronomy 2016, 6, 53. [Google Scholar] [CrossRef]
- Doskočil, L.; Burdíková-Szewieczková, J.; Enev, V.; Kalina, L.; Wasserbauer, J. Spectral characterization and comparison of humic acids isolated from some European lignites. Fuel 2018, 213, 123–132. [Google Scholar] [CrossRef]
- Guo, Y.; Bustin, R.M. Micro-FTIR spectroscopy of liptinite macerals in coal. Int. J. Coal Geol. 1998, 36, 259–275. [Google Scholar] [CrossRef]
- He, M.; Shi, Y.; Lin, C. Characterization of humic acids extracted from the sediments of the various rivers and lakes in China. J. Environ. Sci. 2008, 20, 1294–1299. [Google Scholar] [CrossRef] [PubMed]
- Ahmed, Z.; Yusoff, M.S.; Kamal, N.H.M.; Aziz, H.A.; Roulia, M. Spectroscopic and Microscopic Analysis of Humic Acid Isolated from Stabilized Leachate HSs Fractionation. Agronomy 2023, 13, 1160. [Google Scholar] [CrossRef]
- Sabitova, A.N.; Bayakhmetova, B.B.; Mussabayeva, B.K.; Orazhanova, L.K.; Ganiyeva, K.G. Sorption of heavy metals by humic acids of chestnut soils. Bull. Karaganda Univ. Chem. Ser. 2020, 99, 88–98. [Google Scholar] [CrossRef]
Disclaimer/Publisher’s Note: The statements, opinions and data contained in all publications are solely those of the individual author(s) and contributor(s) and not of MDPI and/or the editor(s). MDPI and/or the editor(s) disclaim responsibility for any injury to people or property resulting from any ideas, methods, instructions or products referred to in the content. |
© 2024 by the authors. Licensee MDPI, Basel, Switzerland. This article is an open access article distributed under the terms and conditions of the Creative Commons Attribution (CC BY) license (https://creativecommons.org/licenses/by/4.0/).