Novel Control-like Approach for the Robust Integration of Functional Mock-Up Units into Digital Twins †
Abstract
1. Introduction
- Environmental control system (ECS)
- Fuel cell cooling system
- Power electronics and battery cooling system
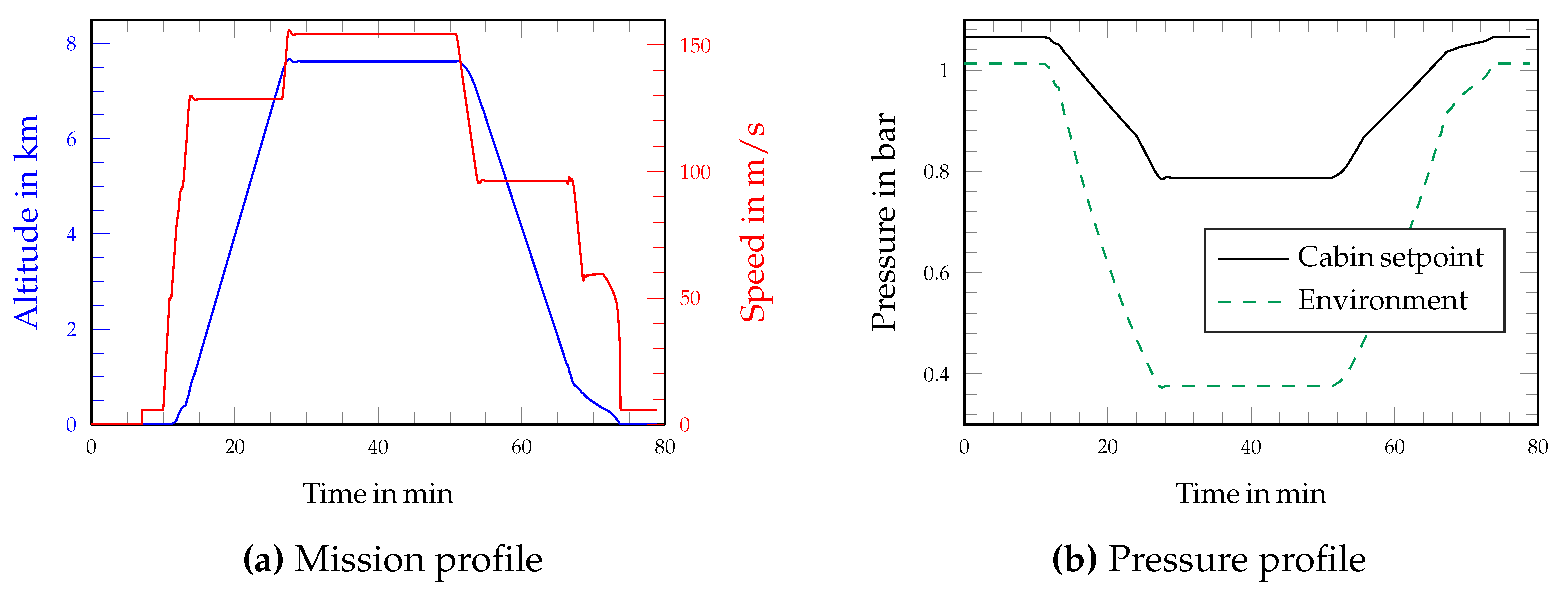
2. Digital Twin Base Model of the Environmental Control System
3. Integration of High-Fidelity FMU Models
- adds no additional systems of nonlinear equations,
- yields no steady state error (I-part of the controller),
- avoids initialization problems and keeps the robustness of the library,
- is easy to implement
4. Results
4.1. Results of the Base Digital Twin of the Environmental Control System
- Standard: 15 °C at sea level, 100% relative humidity
- Hot: 38 °C at sea level, 50% relative humidity
- Cold: °C at sea level, 100% relative humidity
4.2. FMU Integration
5. Discussion
Author Contributions
Funding

Institutional Review Board Statement
Informed Consent Statement
Data Availability Statement
Conflicts of Interest
Abbreviations
| ECS | Environmental control system | FMI | Functional Mock-Up Interface |
| FMU | Functional Mock-Up Unit | MSL | Modelica Standard Library |
| TFS | Thermofluid Stream Library | TMS | Thermal management system |
| TheMa4HERA | Thermal management for hybrid electric regional aircraft | ||
References
- CORDIS—EU Research Results—TheMa4HERA. Available online: https://cordis.europa.eu/project/id/101102008 (accessed on 15 November 2024).
- Asli, M.; König, P.; Sharma, D.; Pontika, E.; Huete, J.; Konda, K.R.; Mathiazhagan, A.; Xie, T.; Höschler, K.; Laskaridis, P. Thermal management challenges in hybrid-electric propulsion aircraft. Prog. Aerosp. Sci. 2024, 144, 100967. [Google Scholar] [CrossRef]
- Fritzson, P. Principles of Object-Oriented Modeling and Simulation with Modelica 3.3: A Cyber-Physical Approach, 2nd ed; John Wiley and Sons (Online): Hoboken, NJ, USA, 2014. [Google Scholar]
- Fritzson, P. The Openmodelica Environment for Building Digital Twins of Sustainable Cyber-Physical Systems. In Proceedings of the Winter Simulation Conference (WSC), Phoenix, AZ, USA, 12–15 December 2021; pp. 1–12. [Google Scholar] [CrossRef]
- Magargle, R.; Jonhson, L.; Mandloi, P.; Davoudabadi, P.; Kesarkar, O.; Krishnaswamy, S.; Batteh, J.; Pitchaikani, A. A Simulation-Based Digital Twin for Model-Driven Health Monitoring and Predictive Maintenance of an Automotive Braking System. In Proceedings of the 12th International Modelica Conference, Prague, Czech Republic, 15–17 May 2017. [Google Scholar]
- Zimmer, D.; Meißner, M.; Weber, N. The DLR ThermoFluid Stream Library. Electronics 2022, 11, 3790. [Google Scholar] [CrossRef]
- Zimmer, D. Robust object-oriented formulation of directed thermofluid stream networks. Math. Comput. Model. Dyn. Syst. 2020, 26, 204–233. [Google Scholar] [CrossRef]
- Bender, D. Exergy-Based Analysis of Aircraft Environmental Control Systems and Its Integration into Model-Based Design. Ph.D Dissertation, Technische Universität Berlin, Berlin, Germany, September 2018. Available online: https://elib.dlr.de/124010/ (accessed on 15 November 2024).
- Merzvinskas, M.; Bringhenti, C.; Tomita, J.T.; De Andrade, C.R. Air conditioning systems for aeronautical applications: A review. Aeronaut. J. 2020, 124, 499–532. [Google Scholar] [CrossRef]
- Sinnett, M. 787 no-bleed systems: Saving fuel and enhancing operational efficiencies. Aero Q. 2007, 18, 6–11. [Google Scholar]
- Blochwitz, T.; Otter, M.; Åkesson, J.; Arnold, M.; Clauss, C.; Elmqvist, H.; Friedrich, M.; Junghanns, A.; Mauss, J.; Neumerkel, D.; et al. Functional mockup interface 2.0: The standard for tool independent exchange of simulation models. In Proceedings of the 9th International Modelica Conference, Munich, Germany, 3–5 September 2012; pp. 173–184. [Google Scholar]
- Hirano, Y.; Shimada, S.; Teraoka, Y.; Seya, O.; Ohsumi, Y.; Murakami, S.; Hirono, T.; Sekisue, T. Initiatives for acausal model connection using FMI in JSAE (Society of Automotive Engineers of Japan). In Proceedings of the 11th International Modelica Conference, Versaille, France, 21–23 September 2015; pp. 795–801. [Google Scholar]
- Richter, C. Proposal of New Object-Oriented Equation-Based Model Libraries for Thermodynamic Systems. Doctoral Dissertation, Technische Universität Braunschweig, Braunschweig, Germany, 2008. [Google Scholar]
- Jorissen, F.; Reynders, G.; Baetens, R.; Picard, D.; Saelens, D.; Helsen, L. Implementation and verification of the IDEAS building energy simulation library. J. Build. Perform. Simul. 2018, 11, 669–688. [Google Scholar] [CrossRef]
- Wetter, M.; Fuchs, M.; Nouidui, T. Design Choices for Thermofluid Flow Components and Systems That Are Exported as Functional Mockup Units: Lawrence Berkeley National Laboratory. 2015. LBNL Report #: LBNL-1002826. Available online: https://escholarship.org/uc/item/67r3f6vm (accessed on 15 November 2024).
- Sielemann, M.; Casella, F.; Otter, M.; Clauß, C.; Eborn, J.; Mattsson, S.; Olsson, H. Robust Initialization of Differential-Algebraic Equations Using Homotopy. In Proceedings of the 8th International Modelica Conference, Dresden, Germany, 20–22 March 2011; pp. 75–85. [Google Scholar]
- Casella, F.; Sielemann, M.; Savoldelli, L. Steady-state initialization of object-oriented thermo-fluid models by homotopy methods. In Proceedings of the 8th International Modelica Conference, Dresden, Germany, 20–22 March 2011; pp. 86–96. [Google Scholar]
- Junglas, P.; Drente, P. Simulating a simple pneumatics network using the Modelica Fluid library. SNE Simul. Notes Eur. 2015, 25, 85–92. [Google Scholar] [CrossRef]
- Zimmer, D.; Giese, T.; Crespo, M.; Vial, S. Model Exchange in Industrial Practice. In Proceedings of the Greener Aviation Conference, Brussels, Belgium, 12–14 March 2014. [Google Scholar]
- Windholz, B.; Sporr, A.; Kling, S.; Lauermann, M.; Längauer, A.; Adler, B. Simulation towards demonstration: A Digital-Twin for developing control concepts of an industrial-scale Rotation Heat Pump. In Proceedings of the ECOS 2022, 35th International Conference on Efficiency, Cost, Optimization, Simulation and Environmental Impact of Energy Systems, Copenhagen, Denmark, 3–7 July 2022. [Google Scholar]








Disclaimer/Publisher’s Note: The statements, opinions and data contained in all publications are solely those of the individual author(s) and contributor(s) and not of MDPI and/or the editor(s). MDPI and/or the editor(s) disclaim responsibility for any injury to people or property resulting from any ideas, methods, instructions or products referred to in the content. |
© 2025 by the authors. Licensee MDPI, Basel, Switzerland. This article is an open access article distributed under the terms and conditions of the Creative Commons Attribution (CC BY) license (https://creativecommons.org/licenses/by/4.0/).
Share and Cite
Gebhart, R.; Lepais, C. Novel Control-like Approach for the Robust Integration of Functional Mock-Up Units into Digital Twins. Eng. Proc. 2025, 90, 12. https://doi.org/10.3390/engproc2025090012
Gebhart R, Lepais C. Novel Control-like Approach for the Robust Integration of Functional Mock-Up Units into Digital Twins. Engineering Proceedings. 2025; 90(1):12. https://doi.org/10.3390/engproc2025090012
Chicago/Turabian StyleGebhart, Raphael, and Corentin Lepais. 2025. "Novel Control-like Approach for the Robust Integration of Functional Mock-Up Units into Digital Twins" Engineering Proceedings 90, no. 1: 12. https://doi.org/10.3390/engproc2025090012
APA StyleGebhart, R., & Lepais, C. (2025). Novel Control-like Approach for the Robust Integration of Functional Mock-Up Units into Digital Twins. Engineering Proceedings, 90(1), 12. https://doi.org/10.3390/engproc2025090012

