Transformed Log-Burr III Distribution: Structural Features and Application to Milk Production †
Abstract
:1. Introduction
- The log-Burr III distribution provides better fit than the traditional Burr III distribution.
- The Burr III distribution offers symmetrical and left-skewed densities with an upside-down bath-tub and decreasing failure rates.
- The Burr III distribution was applied to fit a long-tailed real data, and it provides superior fits than the other competing distributions.
2. Developing the Log-Burr III Distribution
2.1. Model Validity Check
2.2. Failure Rate
2.3. Mixture Representations
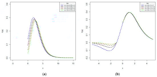
3. Structural Features of the LBIII Distribution
3.1. Moments
3.2. Quantile Function
4. Parameter Estimation
5. Applications
Dataset: Milk Production Data
6. Conclusions
Author Contributions
Funding
Institutional Review Board Statement
Informed Consent Statement
Data Availability Statement
Acknowledgments
Conflicts of Interest
References
- Burr, I.W. Cumulative frequency functions. Ann. Math. Stat. 1942, 13, 215–232. [Google Scholar] [CrossRef]
- Lindsay, S.; Wood, G.; Woollons, R. Modelling the diameter distribution of forest stands using the Burr distribution. J. Appl. Stat. 1996, 23, 609–620. [Google Scholar] [CrossRef]
- Rodriguez, R.N. A guide to the Burr type XII distributions. Biometrika 1977, 64, 129–134. [Google Scholar] [CrossRef]
- Shao, Q.; Chen, Y.D.; Zhang, L. An extension of three-parameter Burr III distribution for low-flow frequency analysis. Comput. Stat. Data Anal. 2008, 52, 1304–1314. [Google Scholar] [CrossRef]
- Burr, I. Parameters for a General System of Distribution to Match a Grid of ?3 and ?4. Commun. Stat. Theory Methods 1973, 2, 1–21. [Google Scholar]
- Gomes, A.E.; da-Silva, C.Q.; Cordeiro, G.M.; Ortega, E.M.M. The beta Burr III model for lifetime data. Braz. J. Probab. Stat. 2013, 27, 502–543. [Google Scholar] [CrossRef]
- El-Bar, A.M.T.A.; Lima, M.D.C.S. Exponentiated odd Lindley-X family with fitting to reliability and medical data sets. J. King Saud Univ. —Sci. 2023, 35, 102444. [Google Scholar] [CrossRef]
- Koobubpha, K.; Panitanarak, T.; Domthong, P.; Panitanarak, U. The Maxwell-Burr X Distribution: Its Properties and Applications to the COVID-19 Mortality Rate in Thailand. Thail. Stat. 2023, 21, 421–434. [Google Scholar]
- De Santana, T.V.F.; Ortega, E.M.; Cordeiro, G.M.; Silva, G.O. The Kumaraswamy-log-logistic distribution. J. Stat. Theory Appl. 2012, 11, 265–291. [Google Scholar]
- Hassan, A.; Elshrpieny, E.; Mohamed, R. Odd generalized exponential power function distribution: Properties and applications. Gazi Univ. J. Sci. 2021, 32, 351–370. [Google Scholar]
- Suleiman, A.A.; Daud, H.; Singh, N.S.S.; Othman, M.; Ishaq, A.I.; Sokkalingam, R. The Odd Beta Prime-G Family of Probability Distributions: Properties and Applications to Engineering and Environmental Data. Comput. Sci. Math. Forum 2023, 7, 20. [Google Scholar]
- Suleiman, A.A.; Daud, H.; Singh, N.S.S.; Othman, M.; Ishaq, A.I.; Sokkalingam, R. A Novel Odd Beta Prime-Logistic Distribution: Desirable Mathematical Properties and Applications to Engineering and Environmental Data. Sustainability 2023, 15, 10239. [Google Scholar] [CrossRef]
- Okorie, I.E.; Akpanta, A.C.; Ohakwe, J.; Chikezie, D.C.; Onyemachi, C.U.; Rastogi, M.K. Zero-truncated Poisson-power function distribution. Ann. Data Sci. 2021, 8, 107–129. [Google Scholar] [CrossRef]
- Ribeiro-Reis, L.D. Unit Log-Logistic Distribution and Unit Log-Logistic Regression Model. J. Indian Soc. Probab. Stat. 2021, 22, 375–388. [Google Scholar] [CrossRef]
- Nasiru, S.; Abubakari, A.G.; Angbing, I.D. Bounded odd inverse pareto exponential distribution: Properties, estimation, and regression. Int. J. Math. Math. Sci. 2021, 1–18. [Google Scholar] [CrossRef]


| Model | Estimate | AIC | CAIC | BIC | HQIC |
|---|---|---|---|---|---|
| BIII | = 1.0970 | 163.1852 | 163.3006 | 168.5309 | 165.3523 |
| =1.0946 | |||||
| NMBIII | = 0.2210 | 190.8067 | 191.0398 | 198.8252 | 194.0573 |
| = 0.6682 | |||||
| = 1.1411 | |||||
| LBIII | = 1.1425 | 142.7657 | 142.9988 | 150.7842 | 146.0163 |
| = 1.8952 | |||||
| = 1.8509 |
Disclaimer/Publisher’s Note: The statements, opinions and data contained in all publications are solely those of the individual author(s) and contributor(s) and not of MDPI and/or the editor(s). MDPI and/or the editor(s) disclaim responsibility for any injury to people or property resulting from any ideas, methods, instructions or products referred to in the content. |
© 2023 by the authors. Licensee MDPI, Basel, Switzerland. This article is an open access article distributed under the terms and conditions of the Creative Commons Attribution (CC BY) license (https://creativecommons.org/licenses/by/4.0/).
Share and Cite
Ishaq, A.I.; Suleiman, A.A.; Usman, A.; Daud, H.; Sokkalingam, R. Transformed Log-Burr III Distribution: Structural Features and Application to Milk Production. Eng. Proc. 2023, 56, 322. https://doi.org/10.3390/ASEC2023-15289
Ishaq AI, Suleiman AA, Usman A, Daud H, Sokkalingam R. Transformed Log-Burr III Distribution: Structural Features and Application to Milk Production. Engineering Proceedings. 2023; 56(1):322. https://doi.org/10.3390/ASEC2023-15289
Chicago/Turabian StyleIshaq, Aliyu Ismail, Ahmad Abubakar Suleiman, Abubakar Usman, Hanita Daud, and Rajalingam Sokkalingam. 2023. "Transformed Log-Burr III Distribution: Structural Features and Application to Milk Production" Engineering Proceedings 56, no. 1: 322. https://doi.org/10.3390/ASEC2023-15289
APA StyleIshaq, A. I., Suleiman, A. A., Usman, A., Daud, H., & Sokkalingam, R. (2023). Transformed Log-Burr III Distribution: Structural Features and Application to Milk Production. Engineering Proceedings, 56(1), 322. https://doi.org/10.3390/ASEC2023-15289

