Abstract
The integration of photonics and artificial intelligence (AI) has led to the emergence of intelligent photonics, which offers significant advancements in medical imaging. In this paper, a Photonic Crystal Fiber (PCF)-based sensor is presented for tumor detection. The finite element method is used to simulate the proposed sensor. By varying the geometrical parameters of the proposed sensor, an optimized sensor is proposed. Meanwhile, the latest AI techniques used in medical imaging, such as deep learning (DL) and convolutional neural networks (CNN), are also analyzed to improve upon the ability of the sensor. This paper highlights the potential of intelligent photonics in improving efficiency, sensitivity, specificity and accuracy of medical imaging, particularly in the areas of tumor detection and treatment. The results show that DL has an efficiency of 95%, and CNN has shown an accuracy of 98%. Additionally, this paper discusses the challenges and limitations that need to be addressed in order to fully realize the potential of these technologies. This paper demonstrates that the integration of photonics and AI has great potential to revolutionize medical imaging.
1. Introduction
The convergence of cutting-edge technologies has led to remarkable advancements in diagnostic and therapeutic approaches. Among these innovations, intelligent photonics stands out as a transformative force in the field of medical imaging [1]. Incorporating the fundamental principles of photonics [2] and intelligent systems, this interdisciplinary domain combines optics, electronics and data-driven algorithms to enhance the precision, speed and accuracy of medical imaging techniques. Medical imaging plays a pivotal role in healthcare, enabling clinicians to visualize and diagnose a wide range of conditions, from bone fractures to deep-seated tumors [3]. Key components of intelligent photonics in Medical Imaging include the following:
Non-invasive photonic imaging technology: Photonics refers to the science and technology of generating, detecting and manipulating light. Many intelligent photonics techniques are non-invasive, reducing patient discomfort and the risk of complications [4]. Optical imaging methods like fluorescence imaging and diffuse optical tomography are used to achieve the high-resolution imaging of biological tissues and provide valuable information.
Sensors and detectors: Intelligent photonics relies on highly sensitive detectors and sensors [5] that can capture and convert optical signals into meaningful data. These devices are critical in modalities like positron emission tomography (PET), where gamma rays are detected to produce detailed images of metabolic activity [6] within the body.
Machine learning and artificial intelligence: The integration of machine learning (ML) and artificial intelligence (AI) algorithms is a game-changer in medical imaging. These algorithms can process vast amounts of image data, detect subtle patterns, and aid in disease diagnosis and prognosis [7,8]. For example, AI-powered image analysis can assist radiologists in identifying abnormalities in X-rays, CT scans, or MRI images.
2. Proposed Design and Methodology
In the development of a Photonic Crystal Fiber (PCF) sensor for tumor detection, we begin with the meticulous design of the PCF using COMSOL, as shown in Figure 1. The core material, composed of silica (SiO2), and the cladding material, gold (Au), are chosen for their optical properties [9]. As shown in Figure 1a, the gold layer has thickness of 0.05 µm, analyte layer has a thickness of 8.5 µm and the air hole has a diameter of 1 µm. The PCF operates in the wavelength range of 1.70 µm to 2.10 µm. The Refractive Index (RI) [10] of the core and the Surface Plasmon Polaritons (SPPs) model are calculated for this proposed Spiral PCF.
Figure 1.
Proposed PCF sensor model: (a) structural configuration and (b) mesh diagram of the sensor.
Its sensing capabilities are mathematically formulated based on changes in the refractive index within the core:
where Δλ is the change in wavelength due to refractive index variations.
Sensitivity = Δλ/Δn
Δn is the change in refractive index, which can be correlated with tumor presence.
PCF sensors operate on the principle of guided light propagation within the core of the fiber. When light is guided through the core of PCF, an evanescent field extends into the surrounding material or sample. This field can interact with the molecules or nano-particles near the core’s surface, allowing for the highly sensitive detection of changes in the sample’s refractive index or composition. The proposed Surface Plasmon Polaritons (SPPs) model is functionalized with a bio-molecule on the inner surface of the core. When target molecules associated with tumors bind to these functionalized surfaces, this leads to a change in the refractive index within the core, which can be detected through SPP by changes in the fiber’s optical properties.
3. Utilization of Deep Learning (DL) and Convolutional Neural Networks (CNNs)
Once the PCF collects spectral data from samples, DL and CNN techniques come into play. By combining a PCF-based SPP sensor model with DL and CNNs, a powerful and accurate tumor detection system is designed. It enhances the sensitivity of the sensor for detecting bio-molecular interactions and increases the ability of DL to learn complex patterns in the sensor data. Such systems have the potential to improve the early detection of tumors and enhance medical diagnostics. This model classifies the data as either indicating the presence or absence of a tumor. Convolutional Neural Network (CNN) architecture is also employed for tumor detection. The input layer receives spectral data, followed by convolutional layers for feature extraction and fully connected layers for classification [11]. The CNN model is trained using labeled data, and the following metrics are computed for evaluation: efficiency measures the model’s ability to correctly identify tumors while minimizing false positives and negatives.
Sensitivity (true positive rate) assesses the model’s capability to correctly detect tumors:
Sensitivity = TP/(TP + FN)
Accuracy quantifies the overall correctness of tumor predictions:
Accuracy = (TP + TN)/(TP + TN + FP + FN)
4. Result and Discussion
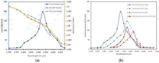
The performance of the proposed sensor is evaluated using the finite element method in COMSOL simulation software version 5.6.0.2 for healthy and infected skin cells corresponding to RIs of 1.36 and 1.38, respectively. Figure 1a depicts the x-polarized components of the electric field distribution in the proposed Photonic Crystal Fiber (PCF) and Figure 1b illustrates the operation of the PCF-based sensor in the Surface Plasmon Polariton (SPP) mode. These visuals demonstrate the effective confinement of light within the PCF core. Notably, the SPP mode in Figure 1b confirms ample light presence for interaction with the gold layer. Figure 2a shows the confinement loss and resonance peak achieved by the proposed sensor for RI of 1.38 (i.e., an infected skin). It is clearly observed from Figure 2b that there is a shift in confinement loss peak for healthy and infected skin, which makes the sensor capable of detecting or sensing infected skin and prominently infected cervical cancer cell (RI = 1.392). Thus, the proposed model observes infected cancer cells via variation in refractive index.
Figure 2.
Proposed sensors’ electric field distribution: (a) core mode and (b) SPP mode.
DL and CNN are used to calculate the sensitivity and accuracy of the proposed model for tumor identification. Light matter interaction and variation in RI with reference to a change in wavelength through the proposed model are already illustrated using Figure 2 and Figure 3.
Figure 3.
(a) Dispersion characteristics of the proposed sensor for infected skin at RI = 1.38. (b) Confinement loss spectrum vs. wavelength for detection of healthy (RI = 1.36) and infected skin cells (RI = 1.38) and infected cervical cancer cells (RI = 1.392).
The SPP with its meticulously designed structure and core-cladding PCF materials facilitates the collection of spectral data from samples, particularly in relation to the refractive index (RI) variations within the core. These data are then processed by the DL and CNN models. These artificial intelligence systems excel in pattern recognition and can discern intricate patterns in the spectral data, allowing them to identify specific variations in RI. The models are trained on diverse datasets from different patients, where RI values between 1.35 and 1.40 might correspond to healthy or infected cells, somehow with the possibility of certain benign or non-invasive tumors. However, an RI shift from 1.36 to 1.38 signifies the infected skin cells and an RI shift from 1.36 to 1.392 signifies the presence of certain malignant cancer (cervical here) cells. The observed RI shift falls within one of these predetermined ranges, allowing the DL and CNN systems to make a precise classification to identify the nature of the malignant tumor. Here, it is observed that this malignant tumor is a kind of cervical cancer as per the observed RI values. Table 1 is presenting a trained and tested dataset to measure accuracy and sensitivity using CNN and DL.
Table 1.
Trained and tested datasets.
Table 1 presents different parameters and their variation is plotted and shown in Figure 4 below. It indicates that CNN shows an accuracy of 98% and sensitivity of 35,328 nm/RIU. On the other hand, DL shows 95% accuracy and a sensitivity of 31,123 nm/RIU.
Figure 4.
Observed accuracy and sensitivity using CNN and DL.
It can be concluded that CNN outperforms DL in terms of accuracy, with a 3% higher accuracy rate. However, DL exhibits a slightly lower sensitivity compared to CNN. The choice between the two algorithms depends on the specific requirements of the application. If high accuracy is paramount, CNN might be preferred, while DL could be chosen if a slightly lower sensitivity is acceptable. A confusion matrix is presented on the basis of the results obtained and the presented accuracy and sensitivity values of both models. CNN and DL present the evaluation of tumor cells using the proposed model, and the following results have been analyzed for different parameters and are presented in Figure 5 below.
Figure 5.
(a) DL and CNN for tumor identification with different variations and (b) confusion matrix.
5. Conclusions
The integration of photonics and artificial intelligence has opened up new frontiers in the realm of medical imaging, paving the way for intelligent photonics to revolutionize the field. In this study, we presented a Photonic Crystal Fiber (PCF)-based sensor for tumor detection, coupled with state-of-the-art deep learning techniques, to significantly enhance the sensitivity and accuracy of medical imaging, particularly in the critical domain of tumor detection. The proposed PCF exhibited promising capabilities in capturing spectral data from samples, setting the stage for advanced data analysis. The CNN architecture, trained on labeled data, demonstrated remarkable performance in tumor detection, with an efficiency of 98% and 95%, respectively, for CNN and DL. An RI shift from 1.36 to 1.38 signifies the infected skin cells and an RI shift from 1.36 to 1.392 signifies the presence of cervical cancer cells. These results showcase the power of AI in medical imaging, particularly when harnessed in synergy with intelligent photonics. Our findings underscore the potential of intelligent photonics to revolutionize medical imaging, not only in tumor detection but also in various other healthcare applications. This convergence of photonics and AI offers a promising path toward more efficient, accurate, and non-invasive diagnostic tools, ultimately improving patient outcomes and advancing the practice of medicine.
Author Contributions
S.S. prepared the complete article while S.D. provided simulation work and L.T. supervised it. All authors have read and agreed to the published version of the manuscript.
Funding
This research received no external funding.
Institutional Review Board Statement
Not Applicable.
Informed Consent Statement
Not Applicable.
Data Availability Statement
No external data or new data are created.
Acknowledgments
We are thankful to Tharani for his support and guidance.
Conflicts of Interest
The authors declare no conflicts of interest.
References
- Smith, J.A.; Brown, R.B. Applications of Photonics in Medical Imaging. Adv. Opt. Photonics 2020, 8, 536–615. [Google Scholar]
- Shreve, J.T.; Khanani, S.A.; Haddad, T.C. Artificial Intelligence in Oncology: Current Capabilities, Future Opportunities, and Ethical Considerations. Am. Soc. Clin. Oncol. Educ. Book 2022, 42, 1–10. [Google Scholar] [CrossRef] [PubMed]
- Le Cun, Y.; Bengio, Y.; Hinton, G. Deep learning. Nature 2015, 521, 436–444. [Google Scholar] [CrossRef] [PubMed]
- Qureshi, T.A.; Javed, S.; Sarmadi, T.; Pandol, S.J.; Li, D. Artificial intelligence and imaging for risk prediction of pancreatic cancer: A narrative review. Chin Clin Oncol. 2022, 11, 1. [Google Scholar] [CrossRef] [PubMed]
- Huang, G.; Liu, Z.; Van Der Maaten, L.; Weinberger, K.Q. Densely Connected Convolutional Networks. In Proceedings of the IEEE Conference on Computer Vision and Pattern Recognition (CVPR), Honolulu, HI, USA, 21–26 July 2017; pp. 2261–2269. [Google Scholar]
- Mukhamediev, R.I.; Popova, Y.; Kuchin, Y.; Zaitseva, E.; Kalimoldayev, A.; Symagulov, A.; Levashenko, V.; Abdoldina, F.; Gopejenko, V.; Yakunin, K.; et al. Review of Artificial Intelligence and Machine Learning Technologies: Classification, Restrictions, Opportunities and Challenges. Mathematics 2022, 10, 2552. [Google Scholar] [CrossRef]
- Guo, Y.; Liu, Y.; Oerlemans, A.; Lao, S.; Wu, S.; Lew, M.S. Deep Learning for Visual Understanding: A Review. Neurocomputing 2016, 187, 27–48. [Google Scholar] [CrossRef]
- Hameed, B.S.; Krishnan, U.M. Artificial Intelligence-Driven Diagnosis of Pancreatic Cancer. Cancers 2022, 14, 5382. [Google Scholar] [CrossRef] [PubMed]
- Jain, A.K.; Duin, R.P.W.; Mao, J. Statistical Pattern Recognition: A Review. IEEE Trans. Pattern Anal. Mach. Intell. 2000, 22, 4–37. [Google Scholar] [CrossRef]
- Zhang, L.; Zhang, L.; Du, B. Deep Learning for Remote Sensing Data: A Technical Tutorial on the State of the Art. IEEE Geosci. Remote Sens. Mag. 2016, 4, 22–40. [Google Scholar] [CrossRef]
- Sharma, S.; Tharani, L. AI Impacts on Photonic Crystal Sensing for the Detection of Tumor. In Artificial Intelligence and Cybersecurity; CRC Press: Boca Raton, FL, USA, 2022; pp. 19–34. [Google Scholar]
Disclaimer/Publisher’s Note: The statements, opinions and data contained in all publications are solely those of the individual author(s) and contributor(s) and not of MDPI and/or the editor(s). MDPI and/or the editor(s) disclaim responsibility for any injury to people or property resulting from any ideas, methods, instructions or products referred to in the content. |
© 2023 by the authors. Licensee MDPI, Basel, Switzerland. This article is an open access article distributed under the terms and conditions of the Creative Commons Attribution (CC BY) license (https://creativecommons.org/licenses/by/4.0/).




