Train Pulses with a Random Spatial Distribution to Measure In-Plane Thermal Diffusivity †
Abstract
:1. Introduction
2. Modeling
3. Materials and Methods
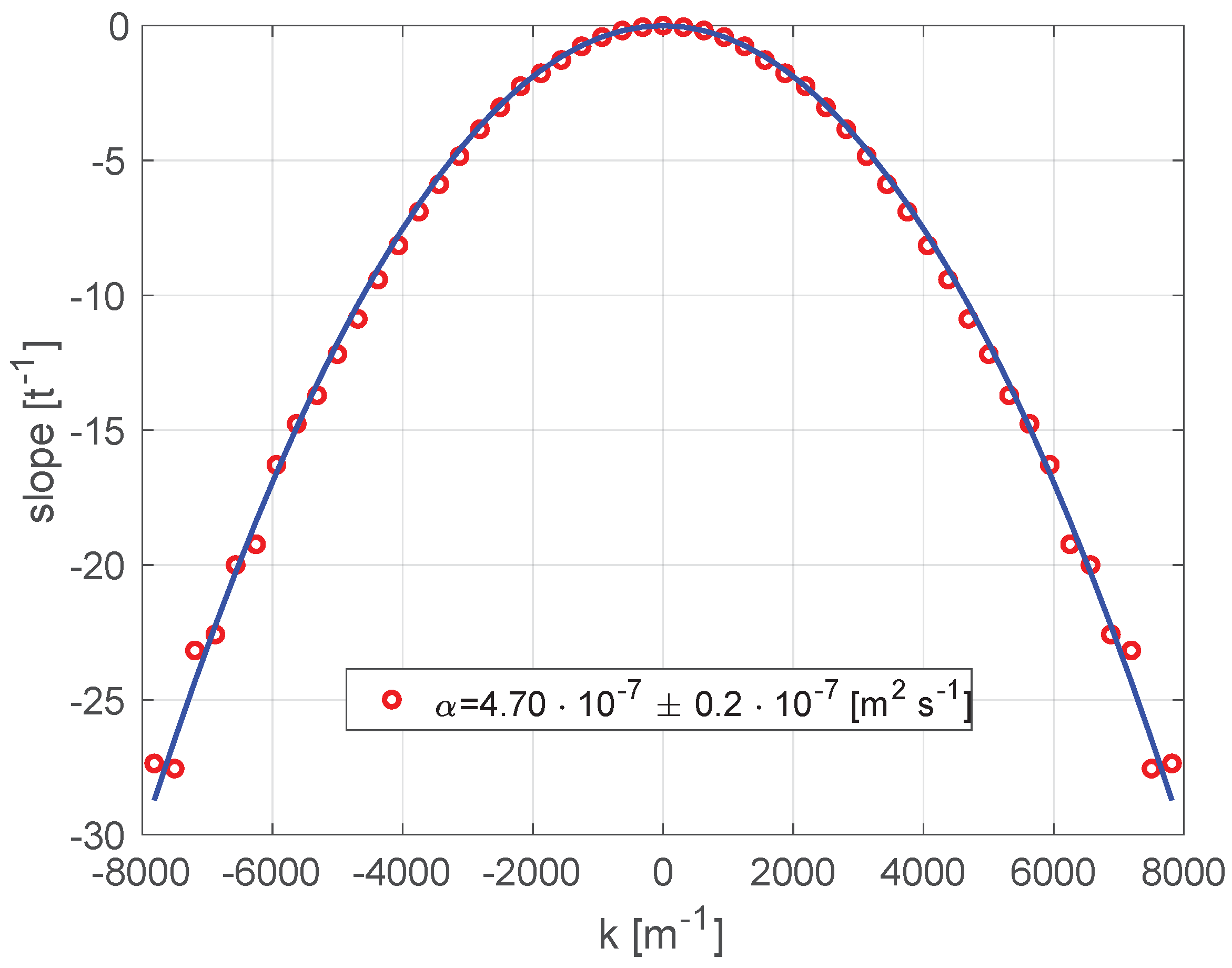
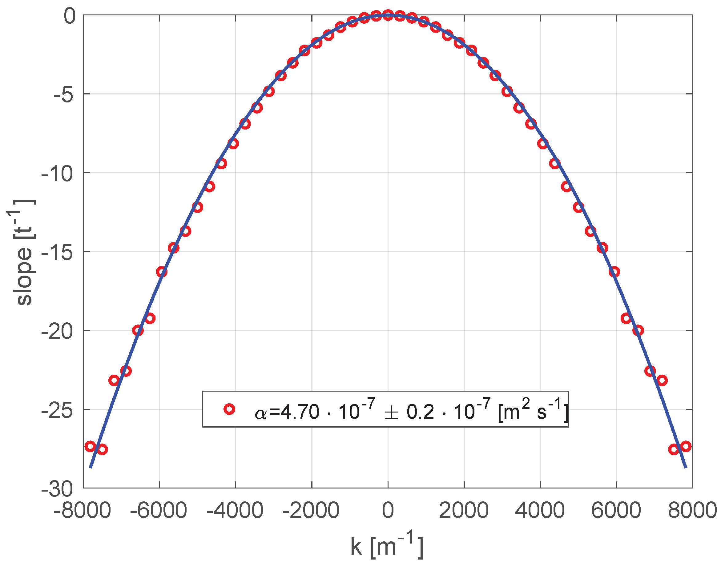
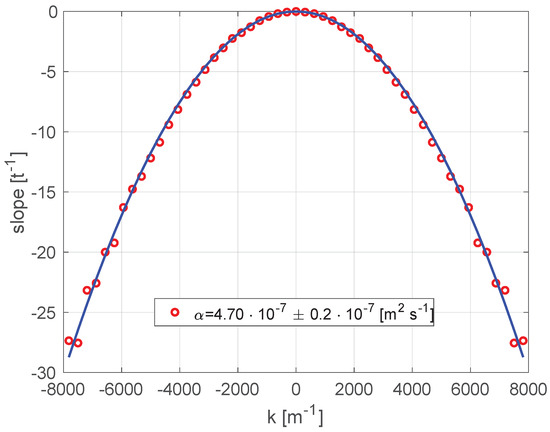
4. Results
Author Contributions
Funding
Institutional Review Board Statement
Informed Consent Statement
Data Availability Statement
Conflicts of Interest
References
- Parker, W.; Jenkins, R.; Butler, C.; Abbott, G. Flash method of determining thermal diffusivity, heat capacity, and thermal conductivity. J. Appl. Phys. 1961, 32, 1679–1684. [Google Scholar] [CrossRef]
- Cernuschi, F.; Russo, A.; Lorenzoni, L.; Figari, A. In plane thermal diffusivity evaluation by infrared thermography. Rev. Sci. Instruments 2001, 72, 3988–3995. [Google Scholar] [CrossRef]
- Kalogiannakis, G.; Van Hemelrijck, D.; Longuemart, S.; Ravi, J.; Okasha, A.; Glorieux, C. Thermal characterization of anisotropic media in photothermal point, line, and grating configuration. J. Appl. Phys. 2006, 100, 063521. [Google Scholar] [CrossRef]
- Krapez, J.C. Simultaneous measurement of in-plane and out-of-plane diffusivity by using a grid-like mask. In Proceedings of the 5th International Workshop on Advanced Infrared Technology and Applications, Venezia, Italy, 29–30 September 1999; pp. 289–296. [Google Scholar]
- Favro, L.D.; Ouyang, Z.; Wang, L.; Zhang, F.; Zhang, L.; Thomas, R.L. Fast infrared measurements of the thermal diffusivities of anisotropic materials. In Proceedings of the SPIE Thermosense XX, Orlando, FL, USA, 14–16 April 1998; pp. 248–253. [Google Scholar]
- Batsale, J.C.; Battaglia, J.L.; Fudym, O. Autoregressive algorithms and spatially random flash excitation for 2D non-destructive evaluation with infrared cameras. Quant. Infrared Thermogr. J. 2004, 1, 5–20. [Google Scholar] [CrossRef]
- Philippi, I.; Batsale, J.C.; Maillet, D.; Degiovanni, A. Measurement of thermal diffusivity trough processing of infrared images. Rev. Sci. Instruments 1995, 66, 182–192. [Google Scholar] [CrossRef]
- Ferrarini, G.; Bortolin, A.; Cadelano, G.; Finesso, L.; Bison, P. Multiple shots averaging in laser flash measurement. Appl. Opt. 2020, 59, E72–E79. [Google Scholar] [CrossRef] [PubMed]





Disclaimer/Publisher’s Note: The statements, opinions and data contained in all publications are solely those of the individual author(s) and contributor(s) and not of MDPI and/or the editor(s). MDPI and/or the editor(s) disclaim responsibility for any injury to people or property resulting from any ideas, methods, instructions or products referred to in the content. |
© 2023 by the authors. Licensee MDPI, Basel, Switzerland. This article is an open access article distributed under the terms and conditions of the Creative Commons Attribution (CC BY) license (https://creativecommons.org/licenses/by/4.0/).
Share and Cite
Bison, P.; Ferrarini, G.; Glorieux, C.; Kamegaki, S.; Morikawa, J.; Rossi, S.; Ryu, M. Train Pulses with a Random Spatial Distribution to Measure In-Plane Thermal Diffusivity. Eng. Proc. 2023, 51, 39. https://doi.org/10.3390/engproc2023051039
Bison P, Ferrarini G, Glorieux C, Kamegaki S, Morikawa J, Rossi S, Ryu M. Train Pulses with a Random Spatial Distribution to Measure In-Plane Thermal Diffusivity. Engineering Proceedings. 2023; 51(1):39. https://doi.org/10.3390/engproc2023051039
Chicago/Turabian StyleBison, Paolo, Giovanni Ferrarini, Christ Glorieux, Shuji Kamegaki, Junko Morikawa, Stefano Rossi, and Meguya Ryu. 2023. "Train Pulses with a Random Spatial Distribution to Measure In-Plane Thermal Diffusivity" Engineering Proceedings 51, no. 1: 39. https://doi.org/10.3390/engproc2023051039
APA StyleBison, P., Ferrarini, G., Glorieux, C., Kamegaki, S., Morikawa, J., Rossi, S., & Ryu, M. (2023). Train Pulses with a Random Spatial Distribution to Measure In-Plane Thermal Diffusivity. Engineering Proceedings, 51(1), 39. https://doi.org/10.3390/engproc2023051039

