Decomposition-Based Hybrid Models for Very Short-Term Wind Power Forecasting †
Abstract
:1. Introduction
2. Methodology
2.1. Decomposition-Based Hybrid Models
2.2. Performance Evaluation
3. Data
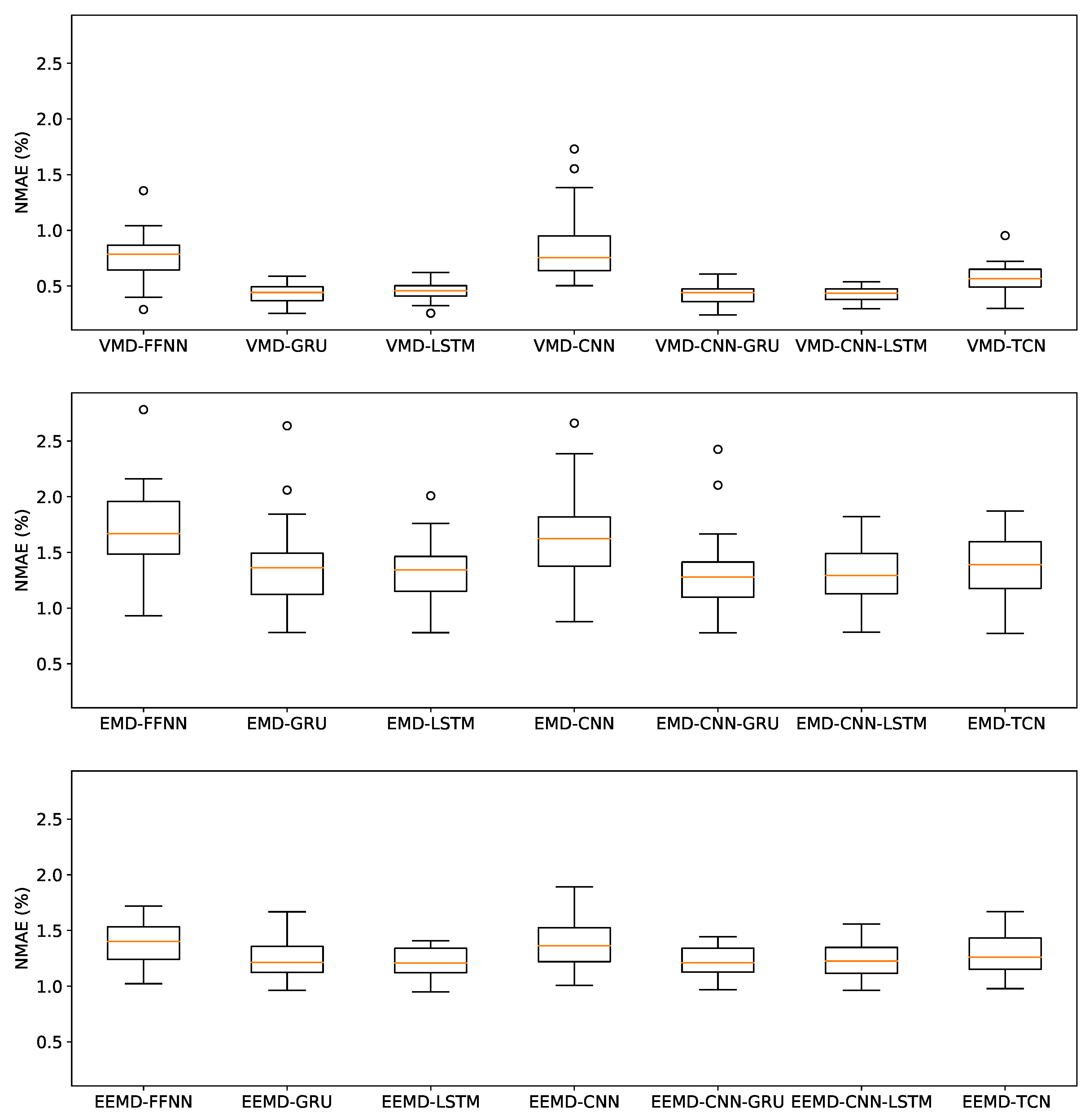
4. Results
5. Conclusions
Author Contributions
Funding
Data Availability Statement
Acknowledgments
Conflicts of Interest
Abbreviations
| ADMM | Alternate direction method of multipliers |
| ANN | Artificial neural network |
| CNN | Convolutional neural network |
| EEMD | Ensemble empirical mode decomposition |
| EMD | Empirical mode decomposition |
| FFNN | Feedforward neural network |
| GRU | Gated recurrent unit |
| IMF | Intrinsic mode function |
| LSTM | Long short-term memory |
| MAE | Mean absolute error |
| NMAE | Normalized mean absolute error |
| RNN | Recurrent neural network |
| TCN | Temporal convolutional network |
| VMD | Variational mode decomposition |
| WPF | Wind power forecasting |
References
- Bessa, R.J.; Matos, M.A.; Costa, I.C.; Bremermann, L.; Franchin, I.G.; Pestana, R.; Machado, N.; Waldl, H.P.; Wichmann, C. Reserve setting and steady-state security assessment using wind power uncertainty forecast: A case study. IEEE Trans. Sustain. Energy 2012, 3, 827–836. [Google Scholar] [CrossRef]
- Pinson, P.; Chevallier, C.; Kariniotakis, G.N. Trading wind generation from short-term probabilistic forecasts of wind power. IEEE Trans. Power Syst. 2007, 22, 1148–1156. [Google Scholar] [CrossRef] [Green Version]
- Soman, S.S.; Zareipour, H.; Malik, O.; Mandal, P. A review of wind power and wind speed forecasting methods with different time horizons. In Proceedings of the North American Power Symposium 2010, Arlington, TX, USA, 26–28 September 2010; pp. 1–8. [Google Scholar]
- Qian, Z.; Pei, Y.; Zareipour, H.; Chen, N. A review and discussion of decomposition-based hybrid models for wind energy forecasting applications. Appl. Energy 2019, 235, 939–953. [Google Scholar] [CrossRef]
- Huang, N.E.; Shen, Z.; Long, S.R.; Wu, M.C.; Shih, H.H.; Zheng, Q.; Yen, N.C.; Tung, C.C.; Liu, H.H. The empirical mode decomposition and the Hilbert spectrum for nonlinear and non-stationary time series analysis. Proc. R. Soc. Lond. Ser. A 1998, 454, 903–995. [Google Scholar] [CrossRef]
- Dragomiretskiy, K.; Zosso, D. Variational mode decomposition. IEEE Trans. Signal Process. 2013, 62, 531–544. [Google Scholar] [CrossRef]
- Daubechies, I.; Lu, J.; Wu, H.T. Synchrosqueezed wavelet transforms: An empirical mode decomposition-like tool. Appl. Comput. Harmon. Anal. 2011, 30, 243–261. [Google Scholar] [CrossRef] [Green Version]
- Mandic, D.P.; ur Rehman, N.; Wu, Z.; Huang, N.E. Empirical mode decomposition-based time-frequency analysis of multivariate signals: The power of adaptive data analysis. IEEE Signal Process. Mag. 2013, 30, 74–86. [Google Scholar] [CrossRef]
- Wu, Z.; Huang, N.E. Ensemble empirical mode decomposition: A noise-assisted data analysis method. Adv. Adapt. Data Anal. 2009, 1, 1–41. [Google Scholar] [CrossRef]
- Boyd, S.; Parikh, N.; Chu, E. Distributed Optimization and Statistical Learning via the Alternating Direction Method of Multipliers; Now Publishers Inc.: Delft, The Netherlands, 2011. [Google Scholar]
- Ghadimi, E.; Teixeira, A.; Shames, I.; Johansson, M. Optimal parameter selection for the alternating direction method of multipliers (ADMM): Quadratic problems. IEEE Trans. Autom. Control 2014, 60, 644–658. [Google Scholar] [CrossRef] [Green Version]
- Rumelhart, D.E.; Hinton, G.E.; Williams, R.J. Learning representations by back-propagating errors. Nature 1986, 323, 533–536. [Google Scholar] [CrossRef]
- Hochreiter, S.; Schmidhuber, J. Long short-term memory. Neural Comput. 1997, 9, 1735–1780. [Google Scholar] [CrossRef] [PubMed]
- Chung, J.; Gulcehre, C.; Cho, K.; Bengio, Y. Empirical evaluation of gated recurrent neural networks on sequence modeling. arXiv 2014, arXiv:1412.3555. [Google Scholar]
- Pascanu, R.; Mikolov, T.; Bengio, Y. On the difficulty of training recurrent neural networks. In Proceedings of the International Conference on Machine Learning, Atlanta, GA, USA, 16–21 June 2013; pp. 1310–1318. [Google Scholar]
- Chen, Y.; Zhang, S.; Zhang, W.; Peng, J.; Cai, Y. Multifactor spatio-temporal correlation model based on a combination of convolutional neural network and long short-term memory neural network for wind speed forecasting. Energy Convers. Manag. 2019, 185, 783–799. [Google Scholar] [CrossRef]
- Gan, Z.; Li, C.; Zhou, J.; Tang, G. Temporal convolutional networks interval prediction model for wind speed forecasting. Electr. Power Syst. Res. 2021, 191, 106865. [Google Scholar] [CrossRef]
- González-Sopeña, J.; Pakrashi, V.; Ghosh, B. An overview of performance evaluation metrics for short-term statistical wind power forecasting. Renew. Sustain. Energy Rev. 2020, 138, 110515. [Google Scholar] [CrossRef]
- Pollack, J.B. Backpropagation is sensitive to initial conditions. Complex Syst. 1990, 4, 269–280. [Google Scholar]
- Prechelt, L. Early stopping-but when? In Neural Networks: Tricks of the Trade; Springer: Berlin/Heidelberg, Germany, 1998; pp. 55–69. [Google Scholar]
- Taieb, S.B.; Sorjamaa, A.; Bontempi, G. Multiple-output modeling for multi-step-ahead time series forecasting. Neurocomputing 2010, 73, 1950–1957. [Google Scholar] [CrossRef]




| Model | 10 min | 20 min | 30 min |
|---|---|---|---|
| VMD-FFNN | 0.77 | 0.97 | 1.13 |
| VMD-GRU | 0.43 | 0.59 | 0.91 |
| VMD-LSTM | 0.46 | 0.66 | 0.92 |
| VMD-CNN | 0.82 | 0.91 | 1.1 |
| VMD-CNN-GRU | 0.42 | 0.61 | 0.91 |
| VMD-CNN-LSTM | 0.43 | 0.61 | 0.91 |
| VMD-TCN | 0.57 | 0.8 | 1.05 |
| EMD-FFNN | 1.69 | 2.13 | 2.58 |
| EMD-GRU | 1.35 | 1.8 | 2.18 |
| EMD-LSTM | 1.31 | 1.71 | 2.1 |
| EMD-CNN | 1.62 | 2.02 | 2.31 |
| EMD-CNN-GRU | 1.3 | 1.72 | 2.08 |
| EMD-CNN-LSTM | 1.3 | 1.69 | 2.07 |
| EMD-TCN | 1.38 | 1.7 | 2.04 |
| EEMD-FFNN | 1.38 | 1.75 | 1.93 |
| EEMD-GRU | 1.23 | 1.56 | 1.71 |
| EEMD-LSTM | 1.21 | 1.54 | 1.69 |
| EEMD-CNN | 1.37 | 1.69 | 1.85 |
| EEMD-CNN-GRU | 1.22 | 1.54 | 1.7 |
| EEMD-CNN-LSTM | 1.23 | 1.57 | 1.74 |
| EEMD-TCN | 1.28 | 1.59 | 1.75 |
Publisher’s Note: MDPI stays neutral with regard to jurisdictional claims in published maps and institutional affiliations. |
© 2021 by the authors. Licensee MDPI, Basel, Switzerland. This article is an open access article distributed under the terms and conditions of the Creative Commons Attribution (CC BY) license (https://creativecommons.org/licenses/by/4.0/).
Share and Cite
Sopeña, J.M.G.; Pakrashi, V.; Ghosh, B. Decomposition-Based Hybrid Models for Very Short-Term Wind Power Forecasting. Eng. Proc. 2021, 5, 39. https://doi.org/10.3390/engproc2021005039
Sopeña JMG, Pakrashi V, Ghosh B. Decomposition-Based Hybrid Models for Very Short-Term Wind Power Forecasting. Engineering Proceedings. 2021; 5(1):39. https://doi.org/10.3390/engproc2021005039
Chicago/Turabian StyleSopeña, Juan Manuel González, Vikram Pakrashi, and Bidisha Ghosh. 2021. "Decomposition-Based Hybrid Models for Very Short-Term Wind Power Forecasting" Engineering Proceedings 5, no. 1: 39. https://doi.org/10.3390/engproc2021005039
APA StyleSopeña, J. M. G., Pakrashi, V., & Ghosh, B. (2021). Decomposition-Based Hybrid Models for Very Short-Term Wind Power Forecasting. Engineering Proceedings, 5(1), 39. https://doi.org/10.3390/engproc2021005039

