Abstract
Dye-sensitized solar cells (DSSCs) are made of manganese dioxide (MnO2) and Ag-doped manganese dioxide (Ag-MnO2) counter electrodes (CEs). Herein, MnO2 and Ag-MnO2 were synthesized using the hydrothermal method and deposited through the drop casting technique. Electrical characterizations were performed to obtain the fill factor (FF), short-circuit current density (JSC), open-circuit voltage (VOC), and power conversion efficiency (PCE). Frequency- and voltage-dependent impedance spectroscopy were performed to gain an insight into the charge transport characteristics. DSSCs fabricated with a MnO2-coated electrode gave a PCE of 2.86% with a VOC of 0.60 V and a JSC of 8.72 mA/cm2, while DSSCs fabricated with Ag-MnO2 CEs demonstrated a higher PCE of 3.05%, with a VOC of 0.66 v and a JSC of 13.3 mA/cm2. The obtained results indicate that Ag-doped MnO2-coated counter electrodes have the potential to replace expensive Pt=coated counter electrodes.
1. Introduction
Dye-sensitized solar cells (DSSCs) are a breakthrough in green energy production. DSSCs belong to third-generation photovoltaics and were reported for the first time by O’Regan and Grätzel in 1991 [1]. They are considered a substitute to silicon-based solar cells because of their low cost, flexible structure, easy fabrication, and short payback period [2]. However, lower-efficiency, instable, and expensive platinum electrodes are the main obstacles for the successful commercialization of DSSCs. DSSCs consist of four major parts: dye, a photoanode, an electrolyte, and a counter electrode, as shown in Figure 1a. CEs play a significant role in performance enhancement due to their high electrical conductivity, high surface area, high electrocatalytic activity, and good reflectivity. CEs work as a catalyst for redox electrolytes and complete the external circuit. A typical choice for CEs is platinum (Pt) due to its excellent catalytic activity and stability toward redox electrolytes. The primary challenges for the commercialization of Pt CEs are the high cost and limited availability of platinum [3]. Besides this, Pt is a very rare precious metal; therefore, other conducting polymers and transition metal compounds have been studied and used in the CEs of DSSCs [4,5]. Carbon has also emerged as an appealing material for CEs because of its low cost, abundance in nature, corrosion resistance, environmental friendliness, and best catalytic activity [6]. Zhang et al. achieved a PCE of 6.29% by preparing a counter electrode from an optimum mixture of different carbon-based materials including carbon black, graphite, graphene, and multiwalled carbon nanotubes (MWCNTs) [7]. Tamilselvi et al. fabricated DSSCs with a NiSe2/graphene hybrid counter electrode and achieved an efficiency of 10.6% [8]. Different metal oxides, including vanadium pentoxide (V2O5), niobium pentoxide (Nb2O5), manganese dioxide (MnO2), copper oxide (CuO), and tungsten(IV) oxide(W02), are also suitable candidates for counter electrode materials in DSSCs because of their low cost and abundance in nature [3,9].
Figure 1.
(a) Schematic of DSSCs; (b) Jsc−V and (c) P−V characteristics of Ag-MnO2 and MnO2, with inset of Pt-coated CE.
In this work, we synthesized MnO2 and Ag-doped MnO2 using the hydrothermal technique and investigated their potential as counter electrode materials in DSSCs. Ag doping enhanced the PCE by reducing the charge transfer resistance and series resistance. Comparatively, MnO2 and Ag-MnO2 showed lower efficiency than platinum (Pt) due to the excellent electrocatalytic activity and higher conductivity of Pt.
2. Experimental Procedure
For the synthesis of MnO2, 316 mg of potassium permanganate (KMnO4) was dissolved in DI water (112 mL) under magnetic stirring for half an hour. After this, hydrochloric acid (HCl) was added dropwise and stirred for 1 h. The golden-brown precipitate was collected from the solution and washed with DI water. The obtained precipitate was dried at 60 °C for 12 h. For the synthesis of Ag-doped MnO2, in a 100 mL flask, 0.2 g of MnO2 and 17.3 mg of AgNO3 were dissolved in 50 mL ethylene glycol. Then, the solution was heated for 30 min at 180 °C and again for another 30 min at 280 °C. The precipitate was separated from the solution and washed with DI water several times. The final product was dried under vacuum at 80 °C for 12 h. For the preparation of the counter electrode, the obtained MnO2 and Ag-doped MnO2 were dispersed in DI water and deposited on the FTO substrate using the drop casting technique and dried at 65 °C for 24 h. The FTO substrates were cleaned in an ultrasonic bath with detergent, DI water, ethanol, and acetone. Transparent TiO2 paste was deposited on the FTO substrate using the doctor blade technique and heated for 30 min at 450 °C. This process with the same paste was repeated to achieve the required thickness. A scattering layer of TiO2 with a larger particle size was deposited on the transparent layer through the same method and annealed for 30 min at 470 °C. After this, these TiO2-coated electrodes were immersed in a dye solution for one day. After removal from the dye solution, the photoanodes were washed with ethanol to separate the loosely attached dye molecules. The photoanodes and counter electrodes were assembled using a 60-micrometer gasket. Then, a liquid electrolyte was injected through the hole in the counter electrode and the hole was taped up. I-V and C-V measurements were performed with a Keithley SCS-4200 (Tektronix, USA) apparatus equipped with an AAA solar simulator (Newport, Irvine, CA, USA). Most of DSSC materials used in this research work including TiO2 paste, electrolyte, dye, FTO substrate, sealing was purchased from Solaronix, Aubonne, Switzerland. Other chemicals and solvents were purchased from Merck, Darmstadt, Germany.
3. Results and Discussion
3.1. Electrical Characteristics
The current density–voltage (Jsc-V) and power density–voltage (P-V) characteristic curves are shown in Figure 1b,c. The typical photovoltaic performance parameters obtained from the current voltage (J-V) characteristic curve are shown in Table 1. The short-circuit current density (Jsc) was found to be enhanced from 8.72 mA to 13.3 mA when the MnO2-based CE was replaced with the Ag-doped MnO2 CE. Similarly, the open-circuit voltage (Voc) was also enhanced from 0.6 V to 0.66 V. This improvement in the short-circuit current density and open-circuit voltage enhanced the overall efficiency of the DSSC up to 6.64%.
Table 1.
Comparison of photovoltaic performance parameters of DSSCs with different CEs.
3.2. Impedance vs. Frequency (Z-f) Characteristics
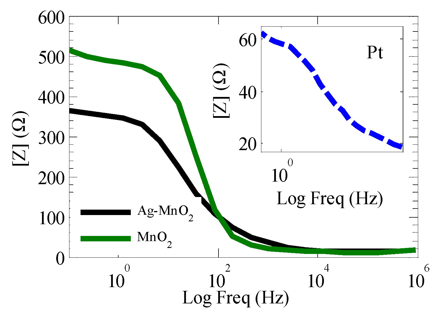
The Z-f characteristic is a well-known technique to track the magnitude of the impedance of a cell. The Z-f characteristics are shown in Figure 2. The impedance of the Ag-doped MnO2-based cell was observed to be lower than that of the pristine MnO2-based cell, and this is one of the reasons for the higher efficiency of the Ag-doped MnO2. It can be observed from the figure that impedance is inversely proportional to frequency, and at high frequencies it reaches, the lowest value. For comparison, the Z-f curve of the platinum-based DSSC is shown in Figure 2 (inset).
Figure 2.
Z-f curve of MnO2, Ag-MnO2, and Pt (inset).
3.3. Capacitance–Frequency (C-F) and Conductance–Frequency (GP-F) Characteristics
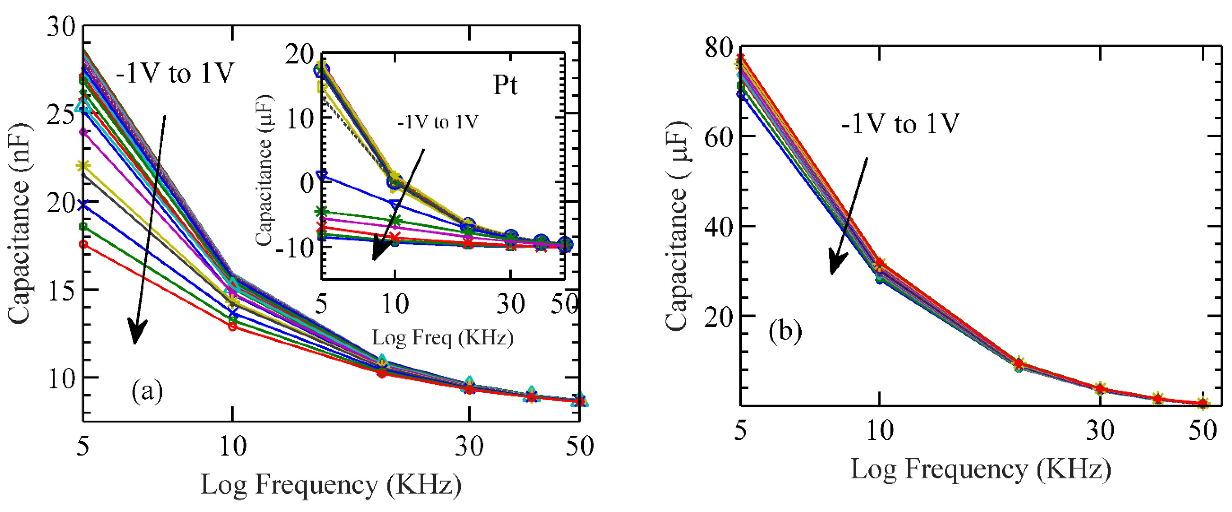
The C-F characteristics of the MnO2-, Ag-MnO2-, and platinum-CE-based DSSCs are shown in Figure 3. The figure shows that the capacitance inversely varied with frequency, and this inverse relationship was due to the interface states. These interface states added excess capacitance at low frequencies, but at high frequencies, these states could not respond to the AC signal [14,15]. At higher frequencies, the capacitance became constant. A conductance–frequency (Gp-F) measurement of the fabricated DSSCs was performed under darkness to investigate the conductance losses due to the interface states. It can be seen in Figure 4a,b that the conductance increased with an increase in frequency. Comparatively, the Pt-based DSSC showed the highest conductance among the investigated devices.
Figure 3.
(a) C-F curve of MnO2 with platinum (inset); (b) C-F curve of Ag-MnO2 on different biasing potentials. Different colors are used for capacitance- frequency plots on different voltages.
Figure 4.
(a) Gp−F curve of MnO2 with platinum (inset); (b) C−F curve of Ag-MnO2. Each color corresponds to a specific voltage level.
4. Conclusions
In this study, Dye-sensitized solar cells were fabricated by using MnO2- and Ag-doped-MnO2-coated counter electrodes and characterized using impedance spectroscopy and photovoltaic characterization. The photovoltaic performance parameters such as FF, JSC, VOC, and PCE were extracted and compared with platinum-CE-based DSSCs. An overall improvement in the behavior and efficiency was observed for the Ag-doped-MnO2-based DSSC. The results indicate that efficient DSSCs can be realized by doping Ag in metal oxide counter electrodes. The obtained results suggest that cost-effective and efficient Dye-sensitized solar cells can be fabricated by replacing expensive Pt counter electrodes with doped-metal-oxide electrodes.
Author Contributions
W.S. designed the study, performed synthesis, fabrication and characterizations, analyzed the result and wrote the original draft; R.W.K., S.M.F., Z.H.A. and M.H.S. conceptualized the study, performed formal analysis, assisted in methods and supervision. All authors contributed to discussions and critically proofread the manuscript. All authors have read and agreed to the published version of the manuscript.
Funding
This research received no external funding.
Institutional Review Board Statement
Not applicable.
Informed Consent Statement
Not applicable.
Data Availability Statement
Not applicable.
Conflicts of Interest
The authors declare no conflict of interest.
References
- O’Regan, B.; Grätzel, M. A Low-Cost, High-Efficiency Solar Cell Based on Dye-Sensitized Colloidal TiO2 Films. Nature 1991, 354, 56–58. [Google Scholar] [CrossRef]
- Shah, W.; Faraz, S.M.; Arshad, S.; Haider, S.S.; Sayyad, M.H. Co-Sensitized DSSC with Natural Dyes Extracted from Beetroot, Pomegranate and Cranberry. Eng. Proc. 2023, 32, 13. [Google Scholar]
- Aljafari, B.; Vijaya, S.; Takshi, A.; Anandan, S. Copper doped manganese dioxide as counter electrode for dye-sensitized solar cells. Arab. J. Chem. 2022, 15, 104068. [Google Scholar] [CrossRef]
- Thomas, S.; Deepak, T.G.; Anjusree, G.S.; Arun, T.A.; Nair, S.V.; Nair, A.S. A review on counter electrode materials in dye-sensitized solar cells. J. Mater. Chem. A 2014, 2, 4474–4490. [Google Scholar] [CrossRef]
- Shahzad, N.; Lutfullah; Perveen, T.; Pugliese, D.; Haq, S.; Fatima, N.; Salman, S.M.; Tagliaferro, A.; Shahzad, M.I. Counter electrode materials based on carbon nanotubes for dye-sensitized solar cells. Renew. Sustain. Energy Rev. 2022, 159, 112196. [Google Scholar] [CrossRef]
- Agrawal, A.; Siddiqui, S.A.; Soni, A.; Sharma, G.D. Advancements, frontiers and analysis of metal oxide semiconductor, dye, electrolyte and counter electrode of dye sensitized solar cell. Sol. Energy 2022, 233, 378–407. [Google Scholar] [CrossRef]
- Zhang, S.; Jin, J.; Li, D.; Fu, Z.; Gao, S.; Cheng, S.; Yu, X.; Xiong, Y. Increased power conversion efficiency of dye-sensitized solar cells with counter electrodes based on carbon materials. RSC Adv. 2019, 9, 22092–22100. [Google Scholar] [CrossRef] [PubMed]
- Tamilselvi, C.; Duraisamy, P.; Subathra, N. Graphene wrapped NiSe2 nanocomposite-based counter electrode for dye-sensitized solar cells (DSSCs). Diam. Relat. Mater. 2021, 116, 108396. [Google Scholar] [CrossRef]
- Gnanasekar, S.; Nirmala Grace, A. V2O5 Nanosheets as an Efficient, Low-cost Pt-free Alternate Counter Electrode for Dye-Sensitized Solar Cells. ChemNanoMat 2022, 8, e202100382. [Google Scholar] [CrossRef]
- Kakroo, S.; Surana, K.; Bhattacharya, B. Electrodeposited MnO2-NiO Composites as a Pt Free Counter Electrode for Dye-Sensitized Solar Cells. J. Electron. Mater. 2020, 49, 2197–2202. [Google Scholar] [CrossRef]
- Kanjana, N.; Pimsopa, S.; Maiaugree, W.; Laokul, P.; Chaiya, I.; Chingsungnoen, A.; Poolcharuansin, P.; Ratchapolthavisin, N.; Jarernboon, W.; Wongjom, P.; et al. Novel Micro-Ceramic Bottom Ash Mixed PEDOT:PSS/PVP for a Low-Cost Pt-Free Counter Electrode in a Dye Sensitized Solar Cell. J. Electrochem. Soc. 2022, 169, 083503. [Google Scholar] [CrossRef]
- Rafique, S.; Rashid, I.; Sharif, R. Cost effective dye sensitized solar cell based on novel Cu polypyrrole multiwall carbon nanotubes nanocomposites counter electrode. Sci. Rep. 2021, 11, 14830. [Google Scholar] [CrossRef] [PubMed]
- Rahman, M.M. Low-cost and efficient nickel nitroprusside/graphene nanohybrid electrocatalysts as counter electrodes for dye-sensitized solar cells. Materials 2021, 14, 6563. [Google Scholar] [CrossRef] [PubMed]
- Shah, W.; Muniza, S.; Hussain, Z. Physica B: Condensed Matter Photovoltaic properties and impedance spectroscopy of dye sensitized solar cells co-sensitized by natural dyes. Phys. B Condens. Matter 2023, 654, 414716. [Google Scholar] [CrossRef]
- Faraz, S.M.; Mazhar, M.; Shah, W.; Noor, H.; Awan, Z.H.; Sayyad, M.H. Comparative study of impedance spectroscopy and photovoltaic properties of metallic and natural dye based dye sensitized solar cells. Phys. B Condens. Matter 2020, 602, 412567. [Google Scholar] [CrossRef]
Disclaimer/Publisher’s Note: The statements, opinions and data contained in all publications are solely those of the individual author(s) and contributor(s) and not of MDPI and/or the editor(s). MDPI and/or the editor(s) disclaim responsibility for any injury to people or property resulting from any ideas, methods, instructions or products referred to in the content. |
© 2023 by the authors. Licensee MDPI, Basel, Switzerland. This article is an open access article distributed under the terms and conditions of the Creative Commons Attribution (CC BY) license (https://creativecommons.org/licenses/by/4.0/).



