A Compact Dual-Band Microstrip Patch Antenna for C- and X- and Ku-Band Applications †
Abstract
:1. Introduction
2. Design of Antenna
2.1. Step 1 Antenna
2.2. Step 2 Antenna
2.3. Step 3 Antenna
2.4. Step 4 Antenna
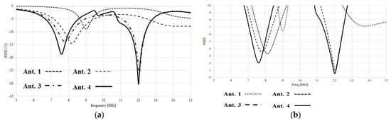
3. Results
4. Conclusions
Author Contributions
Funding
Institutional Review Board Statement
Informed Consent Statement
Data Availability Statement
Conflicts of Interest
References
- Parasuraman, S.; Yogeeswaran, S.; Ramesh, G.P. Design of Microstrip Patch Antenna with improved characteristics and its performance at 5.1 GHz for Wireless Applications. IOP Conf. Ser. Mater. Sci. Eng. 2020, 925, 012005. [Google Scholar] [CrossRef]
- Singh, S.; Singla, B.S.; Sharma, M.; Goyal, S.; Sabo, A. Comprehensive Study on Internet of Things (IoT) and Design Considerations of Various Microstrip Patch Antennas for IoT Applications. In Mobile Radio Communications and 5G Networks: Proceedings of MRCN 2020; Springer: Singapore, 2021. [Google Scholar]
- Samsuzzaman, M.; Islam, M.T.; Misran, N.; Mohd Ali, M.A. Dual-band X shape microstrip patch antenna for satellite applications. Procedia Technol. 2013, 11, 1223–1228. [Google Scholar] [CrossRef]
- Chakraborty, U.; Kundu, A.; Chowdhury, S.K.; Bhattacharjee, A.K. Compact dual-band microstrip antenna for IEEE 802.11 a WLAN application. IEEE Antennas Wirel. Propag. Lett. 2014, 13, 407–410. [Google Scholar] [CrossRef]
- Malisuwan, S.; Sivaraks, J.; Madan, N.; Suriyakrai, N. Design of microstrip patch antenna for Ku-band satellite communication applications. Int. J. Comput. Commun. Eng. 2014, 3, 413. [Google Scholar] [CrossRef]
- Chinnagurusamy, B.; Perumalsamy, M.; Sarasam, A.S.T. Design and fabrication of compact triangular multiband microstrip patch antenna for C-and X-band applications. Int. J. Commun. Syst. 2021, 34, e4939. [Google Scholar] [CrossRef]
- Haque, A.; Paul, L.C.; Azim, R.; Mowla, M.; Saleh, A.; Hossain, N. A Modified E-Shaped Microstrip Patch Antenna for C Band Satellite Applications. In Proceedings of the 2019 IEEE International Conference on Signal Processing, Information, Communication & Systems (SPICSCON), Dhaka, Bangladesh, 28–30 November 2019. [Google Scholar]
- Verma, R.K.; Srivastava, D.K. Bandwidth improvement of stub loaded compact ultra-wideband microstrip patch antenna for C/X-band applications. Wirel. Pers. Commun. 2021, 120, 185–202. [Google Scholar] [CrossRef]
- Felicia, I.E.; Gomathi, V.; Paulraj, E.I. Two-Port UWB-MIMO Antenna Design for WiMAX and X-Band Applications. In Proceedings of the 2023 International Conference on Recent Trends in Electronics and Communication (ICRTEC), Mysore, India, 10–11 February 2023; pp. 1–7. [Google Scholar] [CrossRef]
- Arshad, M.A.; Zahid, M.; Amin, Y.; Jaffer, S.S. MIMO Antenna for C-band Applications. In Proceedings of the 2023 International Multi-Disciplinary Conference in Emerging Research Trends (IMCERT), Karachi, Pakistan, 4–5 January 2023; pp. 1–5. [Google Scholar] [CrossRef]
- Karthika, K.; Anusha, K. A Novel Compact Slotted Pentagon Shaped Patch Antenna for Ultra-Wideband Applications. In Proceedings of the 2021 International Conference on Advancements in Electrical, Electronics, Communication, Computing, and Automation (ICAECA), Coimbatore, India, 8–9 October 2021. [Google Scholar]
- Rana, S.; Rahman, M. Study of microstrip patch antenna for a wireless communication system. In Proceedings of the 2022 International Conference for Advancement in Technology (ICONAT), Goa, India, 21–22 January 2022. [Google Scholar]
- Mohammed, A.S.; Kamal, S.; Bin Ain, M.F.; Najmi, F.; Ahmad, Z.A.; Zahar, Z.; Hussin, R.; Zubir, I.A.; Ab Rahman, M. Improving the gain performance of air substrate patch antenna array using the effect of conductive material thickness study for 5G applications. J. Phys. Conf. Ser. 2020, 1529, 052020. [Google Scholar] [CrossRef]



| Parameter | Value (mm) | Parameter | Value (mm) | Parameter | Value (mm) |
|---|---|---|---|---|---|
| W | 16 | S | 5.87 | L | 16 |
| Wf | 0.6 | R2 | 2 | Lf | 4.21 |
| R | 5 | W1 | 0.21 | R | 1.1 |
| L1 | 2.68 | R1 | 2.3 |
Disclaimer/Publisher’s Note: The statements, opinions and data contained in all publications are solely those of the individual author(s) and contributor(s) and not of MDPI and/or the editor(s). MDPI and/or the editor(s) disclaim responsibility for any injury to people or property resulting from any ideas, methods, instructions or products referred to in the content. |
© 2023 by the authors. Licensee MDPI, Basel, Switzerland. This article is an open access article distributed under the terms and conditions of the Creative Commons Attribution (CC BY) license (https://creativecommons.org/licenses/by/4.0/).
Share and Cite
Zahid, M.; Taqdeer, M.M.; Amin, Y. A Compact Dual-Band Microstrip Patch Antenna for C- and X- and Ku-Band Applications. Eng. Proc. 2023, 46, 16. https://doi.org/10.3390/engproc2023046016
Zahid M, Taqdeer MM, Amin Y. A Compact Dual-Band Microstrip Patch Antenna for C- and X- and Ku-Band Applications. Engineering Proceedings. 2023; 46(1):16. https://doi.org/10.3390/engproc2023046016
Chicago/Turabian StyleZahid, Muhammad, Muhammad Muqadas Taqdeer, and Yasar Amin. 2023. "A Compact Dual-Band Microstrip Patch Antenna for C- and X- and Ku-Band Applications" Engineering Proceedings 46, no. 1: 16. https://doi.org/10.3390/engproc2023046016
APA StyleZahid, M., Taqdeer, M. M., & Amin, Y. (2023). A Compact Dual-Band Microstrip Patch Antenna for C- and X- and Ku-Band Applications. Engineering Proceedings, 46(1), 16. https://doi.org/10.3390/engproc2023046016

