Next Article in Journal
Terrestrial and Satellite-Based Positioning and Navigation Systems—A Review with a Regional and Global Perspective
Previous Article in Journal
Modelling the Influence of the 2.4 GHz Electromagnetic Field on the User of a Wearable Internet of Things (IoT) Device for Monitoring Hazards in the Work Environment
 
 
Font Type:
Arial Georgia Verdana
Font Size:
Aa Aa Aa
Line Spacing:
Column Width:
Background:
Proceeding Paper

An Application of Wavelet Analysis to Assess Partial Discharge Evolution by Acoustic Emission Sensor †

by
Vitor Vecina dos Santos
1,
Bruno Albuquerque de Castro
1,*,
Amanda Binotto
1,2,
Jorge Alfredo Ardila Rey
3,
Guilherme Beraldi Lucas
1 and
André Luiz Andreoli
1
1
São Paulo State University (UNESP), School of Engineering, Bauru, Department of Electrical Engineering, Bauru-SP 17033-360, Brazil
2
IEEE Women in Engineering, São Paulo State University (UNESP), Bauru-SP 17033-360, Brazil
3
Department of Electrical Engineering, Universidad Técnica Federico Santa María, Av. Vicuña Mackenna 3939, Santiago de Chile 8940000, Chile
*
Author to whom correspondence should be addressed.
Presented at the 7th Electronic Conference on Sensors and Applications, 15–30 November 2020; Available online: https://ecsa-7.sciforum.net/.
Eng. Proc. 2020, 2(1), 33; https://doi.org/10.3390/ecsa-7-08244
Published: 14 November 2020
(This article belongs to the Proceedings of 7th International Electronic Conference on Sensors and Applications)

Abstract

:
Under normal operation, insulation systems of high voltage electrical devices, like power transformers, are constantly subjected to multiple types of stresses (electrical, thermal, mechanical, environmental, etc.), which can lead to a degradation of the machine insulation. One of the main indicators of the dielectric degradation process is the presence of partial discharges (PD). Although it starts due to operational stresses, PD can cause a progressive insulation deterioration, since it is characterized by localized current pulses that emit heat, UV radiation, acoustic, and electromagnetic waves. In this sense, acoustic emission (AE) transducers are wildly applied in PD detection. The goal is to reduce maintenance costs by predictive actions and avoid total failures. Becasue of the progressive deterioration, the assessment of the PD evolution is crucial for improving the maintenance planning and ensure the operation of the transformer. Based on this issue, this article presents a new wavelet -based analysis in order to characterize the PD evolution. Three levels of failures were carried out in a transformer and the acoustic signals captured by a lead zirconate titanate piezoelectric transducer were processed by discrete wavelet transform. The experimental results revealed that the energy of the approximation levels increasing with the failure evolution. More specifically, levels 4, 6, 7, and 10 presented a linear fit to characterize the phenomena, enhancing the applicability of the proposed approach to transformer monitoring.

1. Introduction

The interest in transformer monitoring systems has grown significantly in recent years, due to its widespread use in the energy generation, distribution, and industry [1]. The motivation for studying comes both from researchers and several sectors of the industry. From a scientific point of view, monitoring and detecting faults mean achieving a high degree of control over the condition of these electrical machines. From a financial point of view, systems with this capacity allow significant savings in maintenance and better control the industrial process. The transformers in its regular operation are subject to different types of unexpected stress that can produce failure, such as thermal, mechanical, electrical, and environmental. These critical factors in the operation of this equipment induce a slow degradation of the physical-chemical properties of the dielectric materials and its insulation, culminating in a total failure of the device [2]. For the early detection of these failures, some non-destructive methods have shown promising results [3,4,5,6,7]. The acoustic emission method consists in the frequency analysis of the acoustic signal behavior, provided by the machine and when combined with temporal data, it is possible to establish patterns of evolution in the degradation of the transformer [2,8,9,10]. In the final stages of the total failure in the transformer, it is common to detect discharges (DPs), which are low energy ionization processes in dielectrics materials, composing the machine insulation [11,12]. Therefore, the diagnosis of partial discharges is an important indication of the insulation condition and the well functioning of the transformer. Your early diagnostic can anticipate device failures. The discharges, when occurring, produce heat, light, electromagnetic, and acoustic waves, aggravating the degradation of the electrical machine’s insulating material [2,13]. As the discharges intensify through the time, the insulation of the material becomes less effective, and the characteristics described before are intensified until the complete failure on the transformer.
The goal of this work is to present a new technique for classifying the evolution of partial discharge while using wavelet transform. The results indicate that the energy of the approximation coefficients can be a promising solution for assessing the failure evolution.
This work is divided into six sections: Section 2 reviews the piezoelectric sensor and Section 3 reviews wavelet transform. The methods used in this work are described in Section 4. The results are presented in Section 5. In the final section, the conclusion from this work is presented.

2. Piezoelectric Sensors: Review

The piezoelectric sensors can be defined as bidirectional devices that transform mechanic energy into electric energy and the electric in mechanic [2]. It is based on the properties of specific types of material that can create this phenomenon. The relation of transformation, direct and reverse, are described by Equations (1) and (2):
D i = d i k l T k l + ϵ i k T E k
S i j = S i j k l T k l + d k i j k
In Equations (1) and (2), d i k l and d k i j are the piezoelectric constants, S i j is the tensor of mechanical deformation (strain), T k l is the mechanical stress tensor, s i j k l is the tensor of material elasticity. E k is the electric field component, D i is the electrical displacement component, and ϵ i k T is the dielectric permittivity tensor of the material, the superscript T indicates constant mechanical stress, and i, j, k, and l are the indices of the material tensioners (1, 2, and 3).
Knowing that, in Equation (2), an application of an electric field E k causes a mechanic deformation S i j , the reverse piezoelectric effect can be used as transducers, being configured as acoustic wave sensors, identifying discharges that are produced by transformers.
In this work, the Piezoelectric transducers were used in the acquisition of the partial discharge waves. With these signals, the wavelet transform was applied in order to characterize the evolution of the discharges.

3. Wavelet Transform

The Wavelet transform allows a simultaneous observation of the wave in frequency for each instant of time of a signal. This type of analysis is as a powerful tool for identifying transients in signals [14,15]. Because partial discharges emit acoustic waves, this approach becomes fundamental in identifying the moment of failure, as well as their frequency spectrum.
By definition, the continuous Wavelet transform W (a, b) of an x (t) signal can be described as a function of two variables: scale and displacement
W ( a , b ) = x ( t ) Ψ a , b ( t ) d t
where a and b are the scale and displacement coefficients. Ψ a , b is a Wavelet function obtained according to the equation:
Ψ a , b ( t ) = 1 a Ψ t b a
where Ψ represents a mother Wavelet function.
In this article, the Discrete Wavelet Transform (DFT) was applied aiming to perform feature extraction of PD evolution by analyzing the detail and approximation coefficients. The approximation coefficients allow signal analysis in high scale and low frequencies, as opposed to details, which take features in low-scale and high-frequency components [15].
a j + 1 [ p ] = n = + h [ n 2 p ] · a j [ n ]
d j + 1 [ p ] = n = + g [ n 2 p ] · d j [ n ]
where a and d are, respectively, the approximation and details coefficients; g and h are, respectively, the low and high filters and j is the DWT. To characterize PD evolution, this work used the energy of the wavelet coefficients ( E w ) according to Equation (7):
E w = n = 0 N 1 W c [ n ] 2
where W c [ n ] is the wavelet coefficient

4. Experimental Setup

To evaluate the effectiveness of the proposed wavelet-based technique in characterizing the PD evolution, an electrode with a gap of 5 mm was placed in the transformer in order to produce the failure activity. A piezoelectric transducer was attached to the transformer wall in order to capture the acoustic emission waves that are produced by the failure (Figure 1). The sensors used in this work were the piezoelectric diaphragms, which have similar characteristics to conventional PZT ceramics [16].
An oscilloscope was set to a 100 MHz sampling rate. All cables were grounded, and the signals were amplified 25 times by INA128P in order to avoid electromagnetic interference. This integrated circuit was used as an antialiasing filter once its frequency response is until to 400 kHz. Because the degradation level of the dielectrics and the electric field can interfere in the PD activity evolution, a voltage of 2.1 kV, 2.9 kV, and 3.5 kV was applied in the copper electrode. For each acquired signal, the energy of the approximation and details coefficients of Daubechies wavelet was calculated.

5. Results and Discussion

Figure 2 show AE PD signals that are produced by three different PD levels.
Although the energy of PD activity increasing with the voltage applied, by analyzing the raw signals it is not possible to conclude about PD evolution, since the signals are similar. Based on this issue, this article applied wavelet analysis in order to characterize PD evolution. Figure 3 presents the energy of the approximation and detail levels for each type of PD.
All of the approximation levels were effective in assessing the PD evolution since the energy of the coefficients increase with the voltage applied. The approximation levels 1, 2, and 3 have higher values of energy since it grows around from 1 V 2 to 2.5 V 2 and 5.5 V 2 for each increment of 700 V in the electrode. Wavelet levels 7, 8, 9, and 10 were less sensitive, once the values of the energy were less than 1 V 2 . By Figure 3b, only the detail levels 5, 7, and 8 perform the PD evolution characterization. Level 5 has higher sensibility, since the energy increased from 0.4 V 2 to 0.6 V 2 and 1.94 V 2
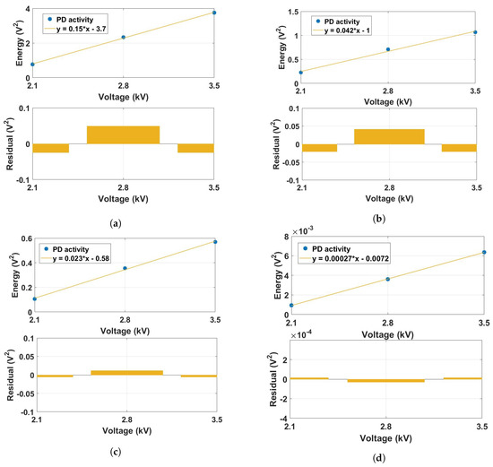
The linear fit of the energy points per voltage applied was calculated intending to quantify the quality of the wavelet analysis to assess PD evolution. Besides, the residuals, i.e., the difference from the points to linear fit were taken for the four wavelet levels that presented lower residuals.
Figure 4 shows the linear fit for the approximation levels 4, 6, 7, and 10, which were observed lower residuals. By analysis of these results, it can be concluded that the wavelet transform is a promising tool for assessing PD evolution. Besides, the linear fit of the energy values achieved PD evolution estimation, since the residuals of these levels were lower than 0.1 V 2 .
As shown in all graphics, the linear fit equations become a simple predictive tool for assessing the quality of the insulation system of the transformer.

6. Conclusions

The presence of partial discharges is one of the indicators of the dielectric degradation in power transformers. This critical issue can lead the device to total failure since this phenomenon causes progressive insulation deterioration. Therefore, the development of techniques that aim to guarantee the assessment of PD evolution can improve maintenance planning and ensure the operation of the transformer. In this sense, this article presented a new technique to assess the partial discharge evolution by wavelet analysis. A lead zirconate titanate (PZT) transducer was attached to a transformer wall to detect the acoustic activity of the PD, and the wavelet transform was applied as a signal processing tool to characterize its evolution. The results indicated that the energy of all approximation wavelet levels increased with the level of PDs. Besides, the linear fit has been demonstrated as an important tool for predictive maintenance. Future works need to investigate more levels of PDs under noise and temperature variations. Further analysis can use machine learning in order to improve the effectiveness of this proposed methodology.

Acknowledgments

The authors would like to thanks São Paulo Research Foundation - FAPESP 2020/11035-3

Conflicts of Interest

The author(s) declare(s) that there is no conflict of interest.

References

  1. Aizpurua, J.I.; Stewart, B.G.; McArthur, S.D.; Lambert, B.; Cross, J.G.; Catterson, V.M. Improved power transformer condition monitoring under uncertainty through soft computing and probabilistic health index. Appl. Soft Comput. 2019, 85, 105530. [Google Scholar] [CrossRef]
  2. de Castro, B.A.; de Melo Brunini, D.; Baptista, F.G.; Andreoli, A.L.; Ulson, J.A.C. Assessment of Macro Fiber Composite Sensors for Measurement of Acoustic Partial Discharge Signals in Power Transformers. IEEE Sens. J. 2017, 17, 6090–6099. [Google Scholar] [CrossRef]
  3. Albarracín-Sánchez, R.; Álvarez-Gómez, F.; Vera-Romero, C.A.; Rodríguez-Serna, J.M. Separation of Partial Discharge Sources Measured in the High-Frequency Range with HFCT Sensors Using PRPD-teff Patterns. Sensors 2020, 20, 382. [Google Scholar] [CrossRef] [PubMed]
  4. Xavier, G.V.R.; da Costa, E.G.; Serres, A.J.R.; Nobrega, L.A.M.M.; Oliveira, A.C.; Sousa, H.F.S. Design and Application of a Circular Printed Monopole Antenna in Partial Discharge Detection. IEEE Sens. J. 2019, 19, 3718–3725. [Google Scholar] [CrossRef]
  5. Ardila-Rey, J.A.; Barrueto, A.; Zerene, A.; Castro, B.A.d.; Ulson, J.A.C.; Mas’ud, A.A.; Valdivia, P. Behavior of an inductive loop sensor in the measurement of partial discharge pulses with variations in its separation from the primary conductor. Sensors 2018, 18, 2324. [Google Scholar] [CrossRef] [PubMed]
  6. Ma, G.; Zhou, H.; Zhang, M.; Li, C.; Yin, Y.; Wu, Y. A High Sensitivity Optical Fiber Sensor for GIS Partial Discharge Detection. IEEE Sens. J. 2019, 19, 9235–9243. [Google Scholar] [CrossRef]
  7. Chai, H.; Phung, B.T.; Mitchell, S. Application of UHF sensors in power system equipment for partial discharge detection: A review. Sensors 2019, 19, 1029. [Google Scholar] [CrossRef] [PubMed]
  8. Sikorski, W. Development of acoustic emission sensor optimized for partial discharge monitoring in power transformers. Sensors 2019, 19, 1865. [Google Scholar] [CrossRef] [PubMed]
  9. Shaker, Y.O. Detection of partial discharge acoustic emission in power transformer. Int. J. Electr. Comput. Eng. (2088-8708) 2019, 9, 4573. [Google Scholar] [CrossRef]
  10. Meitei, S.N.; Borah, K.; Chatterjee, S. FEM based 3D modelling of partial discharge detection and localization in an oil-filled power transformer using piezoelectric acoustic sensor. tm-Technisches Messen 2020, 87, 586–596. [Google Scholar] [CrossRef]
  11. Boggs, S.A. Partial discharge. III. Cavity-induced PD in solid dielectrics. IEEE Electr. Insul. Mag. 1990, 6, 11–16. [Google Scholar] [CrossRef]
  12. British Standard. High-Voltage Test Techniques: Partial Discharge Measurements; IEC-60270; British Standard: London, UK, 2000. [Google Scholar]
  13. Fuhr, J.; Aschwanden, T. Identification and localization of PD-sources in power-transformers and power-generators. IEEE Trans. Dielectr. Electr. Insul. 2017, 24, 17–30. [Google Scholar] [CrossRef]
  14. Burrus, C.; Gopinath, R.; Guo, H. Introduction to Wavelets and Wavelet Transform—A Primer; Prentice Hall: Upper Saddle River, NJ, USA, 1998. [Google Scholar]
  15. Lucas, G.B.; de Castro, B.A.; Rocha, M.A.; Andreoli, A.L. Three-phase induction motor loading estimation based on Wavelet Transform and low-cost piezoelectric sensors. Measurement 2020, 107956. [Google Scholar] [CrossRef]
  16. de Castro, B.A.; Baptista, F.G.; Ciampa, F. Impedance-based structural health monitoring under low signal-to-noise ratio conditions. In Proceedings of the 9th European Workshop on Structural Health Monitoring, EWSHM 2018, Manchester, UK, 5–8 July 2018. [Google Scholar]
Figure 1. Acoustic emission setup.
Figure 1. Acoustic emission setup.
Engproc 02 00033 g001
Figure 2. Partial discharge (PD) signals produced by increasing voltage.
Figure 2. Partial discharge (PD) signals produced by increasing voltage.
Engproc 02 00033 g002
Figure 3. Energy for (a) approximation and (b) detail coefficients.
Figure 3. Energy for (a) approximation and (b) detail coefficients.
Engproc 02 00033 g003
Figure 4. Linear fit and residuals for approximation levels (a) 4, (b) 6, (c) 7, and (d) 10.
Figure 4. Linear fit and residuals for approximation levels (a) 4, (b) 6, (c) 7, and (d) 10.
Engproc 02 00033 g004
Publisher’s Note: MDPI stays neutral with regard to jurisdictional claims in published maps and institutional affiliations.

Share and Cite

MDPI and ACS Style

Santos, V.V.d.; Castro, B.A.d.; Binotto, A.; Rey, J.A.A.; Lucas, G.B.; Andreoli, A.L. An Application of Wavelet Analysis to Assess Partial Discharge Evolution by Acoustic Emission Sensor. Eng. Proc. 2020, 2, 33. https://doi.org/10.3390/ecsa-7-08244

AMA Style

Santos VVd, Castro BAd, Binotto A, Rey JAA, Lucas GB, Andreoli AL. An Application of Wavelet Analysis to Assess Partial Discharge Evolution by Acoustic Emission Sensor. Engineering Proceedings. 2020; 2(1):33. https://doi.org/10.3390/ecsa-7-08244

Chicago/Turabian Style

Santos, Vitor Vecina dos, Bruno Albuquerque de Castro, Amanda Binotto, Jorge Alfredo Ardila Rey, Guilherme Beraldi Lucas, and André Luiz Andreoli. 2020. "An Application of Wavelet Analysis to Assess Partial Discharge Evolution by Acoustic Emission Sensor" Engineering Proceedings 2, no. 1: 33. https://doi.org/10.3390/ecsa-7-08244

APA Style

Santos, V. V. d., Castro, B. A. d., Binotto, A., Rey, J. A. A., Lucas, G. B., & Andreoli, A. L. (2020). An Application of Wavelet Analysis to Assess Partial Discharge Evolution by Acoustic Emission Sensor. Engineering Proceedings, 2(1), 33. https://doi.org/10.3390/ecsa-7-08244

Article Metrics

Back to TopTop