Abstract
Nowadays, one of the most significant environmental risks is the slow rate of plastic materials degradation or even the non-biodegradability of some organic compounds in real-life systems. Therefore, green additives and the adequate processing of the packaging materials are necessary to intensify plastic biodegradation under natural conditions. In this study, commercial grade low-density polyethylene (LDPE) with 1% rosemary (Rosmarinus officinalis L.) extract was used for the preparation of composite films. Biodegradability studies were carried out by incubating unmodified and modified composites with Aspergillus Niger. Based on microcalorimetric results, it can be concluded that rosemary extract can be used to increase the biodegradability of polyethylene films by reducing their degree of crystallinity.
1. Introduction
The present production and global consumption of plastics (especially for packaging) is continuously increasing, leading to an inefficient waste management system. In order to reduce the level of waste products and plastic materials, recycling and the alternative use of environmentally friendly materials must be considered. Plastic packaging materials represent a large percentage of materials used for food packaging. Because most of these are not biodegradable, a constant challenge for packaging material technologists is to design environmentally friendly systems containing biodegradable materials.
One of the most significant environmental threats is the slow rate of degradation or non-biodegradability of organic materials under natural conditions. Recently, research focused on the use of bio-based materials made from organic, natural, or renewable resources for manufacturing food packaging [1,2,3,4]. Another way to increase the biodegradability of food packaging is the incorporation of essential oils extracted from plants into plastic materials, which yields composites with enhanced biodegradability characteristics [5,6]. Essential oils from plants and spices have been extensively studied as materials incorporated into film microstructures due to their influence on: (i) physical (tensile, optical) and structural properties of plastic materials, (ii) antioxidant power, and (iii) antimicrobial effects [7,8].
Polyethylene is present in many applications in daily use because of its easy processing and low cost. It is used for carrying food articles, packaging textiles, manufacturing laboratory instruments and automotive components. Rosemary (Rosmarinus officinalis L.) is a medicinal and culinary herb well-known for its potential health benefits, such as antibacterial, antioxidant and anti-inflammatory properties. Many studies have demonstrated that the incorporation of rosemary essential oils into food packaging can improve the antioxidant properties of packaging materials [9,10]. In recent years, scientific research groups have studied the biodegradation of polyethylene. Thermal analysis techniques are suitable for assessing the thermal properties and effect of biodegradation on the structure of biodegradable biopolymers.
This contribution is therefore dedicated to the study of the thermal behavior of low-density polyethylene films with 1% rosemary content using a microcalorimetry technique at different heating rates. Biodegradability studies were carried out by incubating modified low-density polyethylene films with Aspergillus Niger. The incorporation of rosemary extract in polyethylene films was proven to enhance their biodegradability by reducing the degree of crystallinity.
2. Materials and Methods
2.1. Materials
Commercial-grade low-density polyethylene (LDPE) was provided by Sigma (Taufkirchen, Germany) and used as received. The other reagents used in the experiments were purchased as follows: D(+)-glucose from Loba (Fischamend, Austria), peptone from Oxoid (Hampshire, UK) and rosemary extract powder (RM) from S.C. Hofigal S.A. (Bucharest, Romania). They were used without further purification. Aspergillus Niger was provided from Microbial Collection of INCDCP–ICECHIM.
2.2. Preparation of LDPE Films with 1% RM Extract
Low-density polyethylene films with a concentration of 1% rosemary extract (LDPE 1% RM) were prepared by mixing in molten state LDPE and RM using a Brabender Plastograph. Subsequently, the extrusion–calendering process was successfully performed to produce composite films with thicknesses of 0.6 mm. The composite films were cut into pieces of 2 cm × 2 cm. The polymer films were extruded at 190 °C at a screw speed sheet extrusion of 40 rpm. For comparison, a blank sample (noted LDPE) with 0% rosemary extract was used.
2.3. Microbial Attack
Polyethylene with 1% rosemary composite films was exposed to microorganism (Aspergillus Niger) contact during liquid cultivation in Sabouraud diluted medium (1% peptone; 2.2% D(+)-glucose). The films were sterilized for 10 min at UV light. Then, each piece was aseptically transferred and placed in a sterile medium. The culture was carried out in an orbital incubator. Heidolph Unimax 1000, at 200 rpm and 37 ± 2 °C for 50 days and in 100 mL Erlenmeyer flasks that contained 50 mL of the highly nutritive liquid medium. A blank sample (noted control sample) was prepared by introduction into 50 mL medium without microbial inoculation. The control sample was also maintained under the same conditions as the samples with Aspergillus Niger inoculation. The samples were analyzed in triplicate.
2.4. Methods
The thermal runs were performed on a SETARAM microDSC 7 evo differential scanning calorimeter within the 50–120 °C temperature range; at heating rates of 0.2, 0.3, 0.4, 0.6 and 1 °C min−1; and in a nitrogen atmosphere with a flow rate of 50 mL min−1. Sample mass was of 1 mg. Microcalorimetric curves (µDSC) were further used for obtaining the physical and thermal parameters of studied samples.
3. Results and Discussion
µDSC measurements were used for the estimation of melting temperature (Tm) (as the minimum of endothermal peak) and the corresponding melting heat (ΔHm) (as endothermal peak area) of polyethylene films. The crystallinity degree (c%) was calculated according to Equation (1):
where is the melting enthalpy of a perfectly crystalline polyethylene (293 J/g) [11].
Figure 1 shows the µDSC curves of the raw LDPE (Figure 1a) and LDPE incorporated with 1% RM extract (Figure 1b). The results show that the presence of the 1% rosemary extract affects the shape of the curves. The samples that contain rosemary extract exhibit a broader endothermal peak compared with raw polyethylene for all heating rates used.
Figure 1.
μDSC melting curves of (a) LDPE and (b) LDPE with 1% rosemary at several heating rates, in nitrogen atmosphere.
The melting endotherm of raw polyethylene (LDPE) exhibits a peak temperature of ~113.2 °C. The incorporation of 1% rosemary extract in the LDPE films (Figure 1b) affects the peak melting temperatures, which show a slight decrease. In the µDSC curve of LDPE, with 1% RM extract recorded at 1 °C/min heating rate, a slight splitting of the melting signal manifested as a shoulder was observed. This can be explained by the disruption of the crystallinity of the polyethylene samples induced by the presence of 1% rosemary extract.
Table 1 shows the physical parameters and the crystallinity degree determined for LDPE and LDPE with 1% rosemary extract.
Table 1.
Melting temperature (Tmin), melting heat (ΔH), and crystallinity degree (c%) of untreated LDPE and LDPE incorporated with 1% rosemary extract and obtained from µDSC measurements at different heating rates.
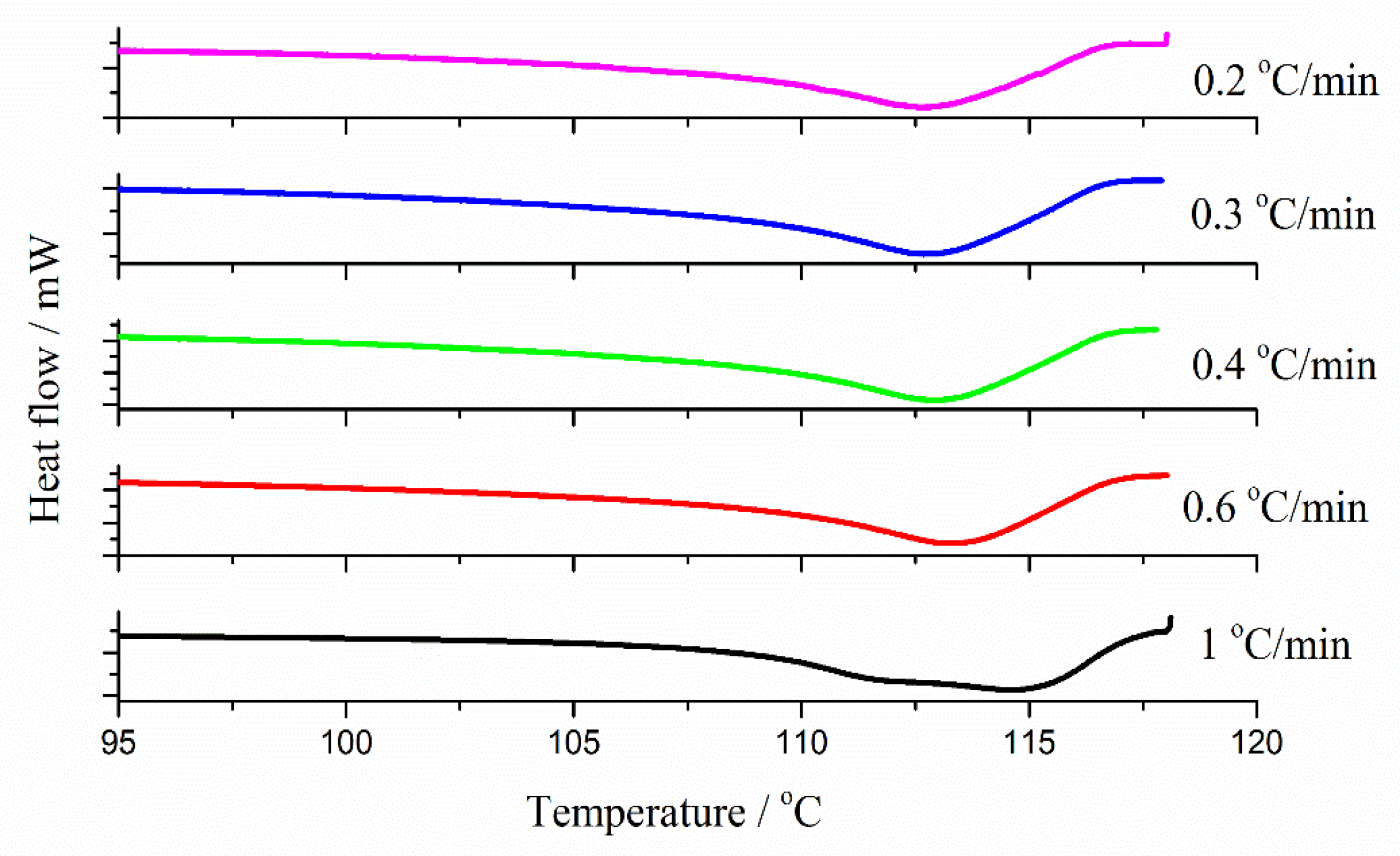
A clear difference can be observed between the melting temperatures and crystallinity degree of polyethylene samples containing 1% rosemary extract after 50 days of incubation with Aspergillus Niger. The results are shown in Figure 2 and Table 2.
Figure 2.
μDSC melting curves of LDPE with 1% rosemary extract after microbial attack with Aspergillus Niger at several heating rates in nitrogen atmosphere.
Table 2.
Melting temperature (Tmin), melting heat (ΔH), and crystallinity degree (c%) of LDPE incorporated with 1% rosemary extract after Aspergillus Niger attack obtained from µDSC measurements at different heating rates.
From Figure 2 and Table 2, it was observed that the melting heats slightly increased after microbial attack, while the melting temperatures remained practically unchanged.
From Table 2, one may notice a slight increase in the crystallinity degree after the microbial attack. This can be explained by microorganisms consumption of the amorphous part of LDPE with 1% RM extract.
Studies in the literature reported that the polymers’ biodegradability is started from their amorphous components [12]. The LDPE biodegradability is correlated with the addition of rosemary extract and degree of crystallinity of the obtained samples. Therefore, the incorporation of 1% rosemary extract into the LDPE matrix disrupts the structure regularity of the polymer chain. Moreover, the microbial degradation of LDPE preferentially occurs in the amorphous part of the polymer instead of its crystalline region [13]. An increase in the amorphous region and a low crystallinity of LDPE with 1% RM enhances the biodegradation of the polymer film. The present research demonstrates that rosemary extract acts as a disrupting agent by decreasing the LDPE crystallinity since the action of the Aspergillus Niger acts in the amorphous part of polymer.
4. Conclusions
LDPE and its composites with 1% rosemary extract have a high potential in applications as packaging materials. The effect of rosemary extract content on modified polyethylene structure, before and after a microbial attack, was evidenced. Experimental results and microcalorimetric analyses may help us to better understand the relationship between the structure and properties of biodegradable polymer blends. This approach would be of significant interest and importance for modifying the properties and extending the practical applications of biodegradable polymers from both academic and industrial viewpoints.
Author Contributions
Conceptualization, A.M.M. and V.T.P.; methodology, A.M.M. and V.T.P.; investigation, A.M.M., M.D. and V.T.P.; data curation, A.M.M.; writing—original draft preparation, A.M.M. and V.T.P.; writing—review and editing, A.M.M. and V.T.P. All authors have read and agreed to the published version of the manuscript.
Funding
This research received no external funding.
Institutional Review Board Statement
Not applicable.
Informed Consent Statement
Not applicable.
Data Availability Statement
Not applicable.
Conflicts of Interest
The authors declare no conflict of interest.
References
- Kanikireddy, V.; Varaprasad, K.; Rani, M.S.; Venkataswamy, P.; Reddy, B.J.M.; Vithal, M. Biosynthesis of CMC-Guar gum-Ag0 nanocomposites for inactivation of food pathogenic microbes and its effect on the shelf life of strawberries. Carbohydr. Polym. 2020, 236, 116053. [Google Scholar] [CrossRef] [PubMed]
- Kamthai, S.; Magaraphan, R. Development of an active polylactic acid (PLA) packaging film by adding bleached bagasse carboxymethyl cellulose (CMCB) for mango storage life extension. Packag. Technol. Sci. 2019, 32, 103–116. [Google Scholar] [CrossRef]
- Jiang, G.; Hou, X.; Zeng, X.; Zhang, C.; Wu, H.; Shen, G.; Li, S.; Luo, Q.; Li, M.; Liu, X.; et al. Preparation and characterization of indicator films from carboxymethyl-cellulose/starch and purple sweet potato (Ipomoea batatas (L.) lam) anthocyanins for monitoring fish freshness. Int. J. Biol. Macromol. 2020, 143, 359–372. [Google Scholar] [CrossRef] [PubMed]
- Cheng, J.; Wang, H.; Kang, S.; Xia, L.; Jiang, S.; Chen, M.; Jiang, S. An active packaging film based on yam starch with eugenol and its application for pork preservation. Food Hydrocol. 2019, 96, 546–554. [Google Scholar] [CrossRef]
- Amiri, E.; Aminzare, M.; Azar, H.H.; Mehrasbi, M.R. Combined antioxidant and sensory effects of corn starch films with nanoemulsion of Zataria multiflora essential oil fortified with cinnamaldehyde on fresh ground beef patties. Meat Sci. 2019, 153, 66–74. [Google Scholar] [CrossRef] [PubMed]
- Da Rocha, M.; Alemán, A.; Romani, V.P.; López-Caballero, M.E.; Gómez-Guillén, M.C.; Montero, P.; Prentice, C. Effects of agar films incorporated with fish protein hydrolysate or clove essential oil on flounder (Paralichthys orbignyanus) fillets shelf-life. Food Hydrocol. 2018, 81, 351–363. [Google Scholar] [CrossRef] [Green Version]
- Dannenberg, G.D.S.; Funck, G.D.; Cruxen, C.E.D.S.; Marques, J.D.L.; Silva, W.P.D.; Fiorentini, Â.M. Essential oil from pink pepper as an antimicrobial component in cellulose acetate film: Potential for application as active packaging for sliced cheese. LWT Food Sci. Technol. 2017, 81, 314–318. [Google Scholar] [CrossRef]
- Fasihi, H.; Noshirvani, N.; Hashemi, M.; Fazilati, M.; Salavati, H.; Coma, V. Antioxidant and antimicrobial properties of carbohydrate-based films enriched with cinnamon essential oil by Pickering emulsion method. Food Packag. Shelf Life 2019, 19, 147–154. [Google Scholar] [CrossRef]
- Dong, Z.; Xu, F.J.; Ahmed, I.; Li, Z.X.; Lin, H. Characterization and preservation performance of active polyethylene films containing rosemary and cinnamon essential oils for Pacific white shrimp packaging. Food Control 2018, 92, 37–46. [Google Scholar] [CrossRef]
- Musuc, A.M.; Popa, V.T. Rosmarinus officinalis: A Natural Additive in Active and Biodegradable Food Packaging. In Agricultural Research Updates; Gorawala, P., Mandhatri, S., Eds.; Nova Science Publishers: New York, NY, USA, 2019; Volume 25, Chapter 3. [Google Scholar]
- Musuc, A.M.; Badea-Doni, M.; Jecu, L.; Rusu, A.; Popa, V.T. FTIR, XRD, and DSC analysis of the rosemary extract effect on polyethylene structure and biodegradability. J. Anal. Calorim. 2013, 114, 169–177. [Google Scholar] [CrossRef]
- Li, G.; Zhao, M.; Xu, F.; Yang, B.; Li, X.; Meng, X.; Teng, L.; Sun, F.; Li, Y. Synthesis and Biological Application of Polylactic Acid. Molecules 2020, 25, 5023. [Google Scholar] [CrossRef] [PubMed]
- Prudnikova, S.; Vinogradova, O.; Trusova, M. Specific character of bacterial biodegradation of polyhydroxyalkanoates with different chemical structure in soil. Dokl. Biochem. Biophys. 2017, 473, 94–97. [Google Scholar] [CrossRef] [PubMed]
Publisher’s Note: MDPI stays neutral with regard to jurisdictional claims in published maps and institutional affiliations. |
© 2022 by the authors. Licensee MDPI, Basel, Switzerland. This article is an open access article distributed under the terms and conditions of the Creative Commons Attribution (CC BY) license (https://creativecommons.org/licenses/by/4.0/).

