Abstract
In the present work, winery wastewater (WW) was treated by a combined coagulation–flocculation–decantation (CFD)/photo-Fenton/adsorption process. The aim of this work was to (1) optimize the CFD process with the application of polyvinylpolypyrrolidone (PVPP); (2) optimize the photo-Fenton process; (3) evaluate the efficiency of combined CFD/photo-Fenton/adsorption process. Under the best conditions ([PVPP] = 0.5 g/L, pH = 6.0, rapid mix (rpm/min) = 150/3, slow mix (rpm/min) = 20/20, sedimentation 12 h), the CFD process achieved a total organic carbon (TOC) of 46.9 %. With the application of photo-Fenton ([Fe2+] = 2.5 mM/[H2O2] = 225 mM/ pH = 3.0), a TOC removal of 69.1 and 76.0%, respectively, for UV-A and UV-C radiation was achieved. Electric energy per order (EEO) achieved 641 and 170 kWh m−3 order−1, respectively. The application of adsorption ([Bentonite] = 1.5 g/L, pH = 6.0, agitation = 350 rpm, sedimentation = 2 h) achieved a TOC removal of 72.0 and 76.0%, respectively. In conclusion, the combined treatment is energy efficient for WW treatment.
1. Introduction
The winery wastewaters (WW) are defined as the residual liquid produced during the wine processing. They are characterized by a high content of soluble sugars (fructose and glucose), organic acids (tartaric, lactic and acetic), alcohols (glycerol and ethanol) and high-molecular weight compounds, such as polyphenols, tannins and lignin [1]. Physicochemical treatments, such as the coagulation–flocculation–decantation (CFD) process, can be a suitable technique to reduce the polluting load of WW and, particularly, the colloidal particles and organic matter [2]. Hydrolysable metal salts (mainly, aluminum and ferric) are effective for the destabilization of colloidal particles, however, aluminum has been proven to have a causal action in dialysis encephalopathy and is related to higher prevalence of Alzheimer’s disease, and iron compounds are generally corrosive [3,4]. In this work, polyvinylpolypyrrolidone (PVPP) was applied as an alternative to the metal salts in WW treatment. To complement the CFD process, advanced oxidation processes (AOPs), such as photo-Fenton process, were applied that involve the generation of hydroxyl radicals (), which are the second strongest oxidizing agent after fluorine with a standard reduction potential of = (/H2O) = 2.8 V [5]. To increase the efficiency of these treatments, adsorption process can be used as a complementary process, due to its simple operation and good selectivity and given the vast availability of renewable adsorbents, such as bentonite [6]. Considering the limited information regarding WW treatment, the aim of this work was to (1) study the performance of PVPP in the CFD process; (2) optimize the photo-Fenton process; (3) evaluate the efficiency of the combined CFD/photo-Fenton/adsorption process.
2. Material and Methods
2.1. Reagents and WW Sampling
Polyvinylpolypyrrolidone (PVPP, 10% w/w) was provided by A. Freitas Vilar, bentonite was provided by Angelo Coimbra and Ca., sulphate heptahydrated (FeSO4·7H2O) was acquired from Panreac and H2O2 (30% w/w) was acquired from Scharlab. The sulfuric acid (H2SO4) was acquired from Scharlau, and sodium hydroxide (NaOH) was acquired from Panreac, and both were used for pH adjustment. The WW was collected from a cellar located in the Douro Region from Portugal, samples were stored in plastic containers and transported to the laboratory.
2.2. Analytical Techniques
Different physical-chemical parameters were determined in order to characterize the winery wastewater (WW), including turbidity, total suspended solids (TSS), chemical oxygen demand (COD), biological oxygen demand (BOD5), total organic carbon (TOC) and total polyphenols. The main wastewater characteristics are shown in Table 1.
Table 1.
WW characterization.
2.3. CFD/Photo-Fenton/Adsorption Experimental Set-Up
CFD experiments were performed in a conventional model jar-test apparatus (ISCO JF-4) under fixed conditions, as follows rapid mix (rpm/min) = 150/3, slow mix (rpm/min) = 20/20, sedimentation = 12 h, with variation of (1) pH (4.0–7.0), and (2) [PVPP] (0.5–2.0 g/L).
The photo-Fenton process was optimized under the following conditions:
- (1)
- Variation of Fe2+ concentration (1.0–2.5 mM), under the following conditions: pH = 3.0, radiation = UV-A IUV = 32.7 W/m2, agitation = 350 rpm, t = 150 min;
- (2)
- Variation of radiation type (no radiation, UV-C, UV-A), under the following conditions: [Fe2+] = 2.5 mM, pH = 3.0, agitation = 350 rpm, t = 150 min.
The adsorption process was applied under the following conditions: [Bentonite] = 1.5 g/L, pH = 6.0, agitation = 350 rpm, sedimentation = 2 h.
2.4. Statistical Analysis
All the experiments were performed in triplicate and differences among means were determined by analysis of variance (ANOVA) using OriginLab 2019 software (Northampton, MA, USA) and the Tukey’s test was used for the comparison of means, which were considered different when p < 0.05. The data are presented as mean and standard deviation (mean ± SD).
3. Results and Discussion
3.1. Coagulation–Flocculation–Decantation Experiments
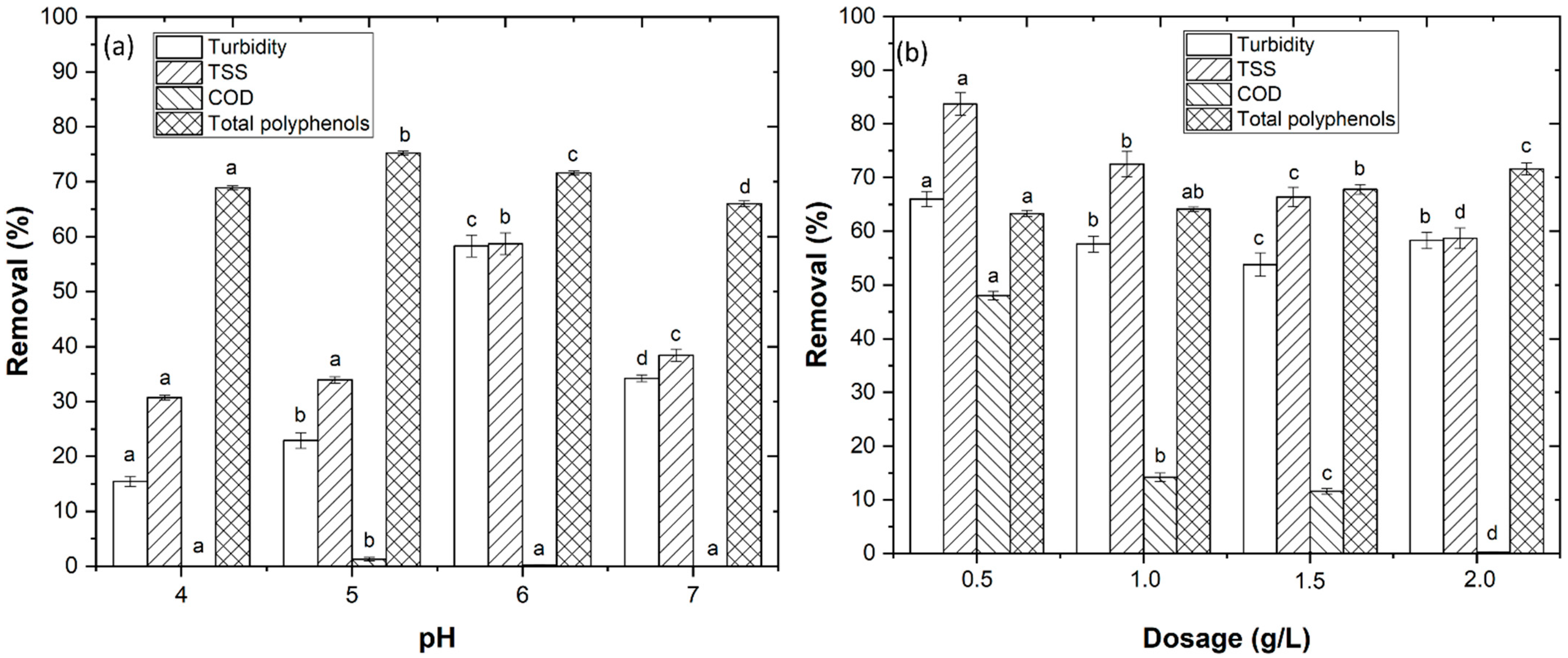
In this section, the CFD process was optimized, with an application of PVPP as a coagulant. In Figure 1a, the pH of the WW was varied from 4.0 to 7.0. Results showed a significant removal of turbidity, TSS, COD and total polyphenols with the application of pH 6.0 (58.3, 58.7, 0.2 and 71.6%, respectively). In Figure 1b, the PVPP dosage was varied (0.5–2.0 g/L). With application of 0.5 g/L, the results showed a significant increase in the turbidity, TSS, COD and total polyphenols removal (66.0, 83.7, 48.0 and 63.3%, respectively). These results showed similar efficiency to the application of chitosan for the treatment of wastewater at pH 6.0 [7]. In addition, PVPP forms stable H bonds with phenol groups via its -CO-N linkages and hydrophobic interactions between the pyrrolidone and phenol rings [8], which explains how there is a large removal in polyphenols.
Figure 1.
Optimization of CFD (a) pH (4.0–7.0) under the following conditions: [PVPP] = 2.0 g/L, rapid mix (rpm/min) = 150/3, slow mix (rpm/min) = 20/20, sedimentation = 12 h; (b) PVPP dosage (0.5–2.0 g/L) under the following conditions: pH = 6.0, rapid mix (rpm/min) = 150/3, slow mix (rpm/min) = 20/20, sedimentation = 12 h. Means in bars with different letters represent significant differences (p < 0.05) within each parameter (turbidity, TSS, COD and total polyphenols) by comparing wastewaters.
3.2. Photo-Fenton Experiments
To optimize the photo-Fenton process, the effect of the addition of Fe2+ catalyst was studied and the results are shown in Figure 2a. The Fe2+ concentration was varied (1.0–2.5 mM) under the operational conditions pH = 3.0, radiation = UV-A IUV = 32.7 W/m2, agitation = 350 rpm, t = 150 min. Results showed a TOC removal of 45.3, 44.7, 43.2 and 54.2%, respectively, for 1.0, 1.5, 2.0 and 2.5 mM. The increase in catalyst concentration increased the H2O2 decomposition into hydroxyl radicals (), increasing the rate of TOC removal. In Figure 2a, it was observed there was a H2O2 consumption of 116, 146, 168 and 169 mM, respectively. These results were in agreement to Gupta and Garg [9], who observed that and increase in Fe2+ concentration increased the degradation of ciprofloxacin using Fenton’s oxidation process. In Figure 2b, it is shown the variation of radiation type (no radiation, UV-C and UV-A) under operational conditions: [Fe2+] = 2.5 mM, pH = 3.0, agitation = 350 rpm, t = 150 min. Results showed a TOC removal of 35.5, 65.0 and 54.2%, respectively, for no radiation, UV-C and UV-A. The H2O2 consumption was observed to be 30, 225 and 169 mM, respectively, therefore, the application of UV-C was able to generate more radicals, increasing the TOC removal from the WW.
Figure 2.
(a) TOC and H2O2 consumption with Fe2+ variation (1.0–2.5 mM) under operational conditions: pH = 3.0, radiation = UV-A IUV = 32.7 W/m2, agitation = 350 rpm, t = 150 min; (b) TOC and H2O2 consumption with radiation type variation (no radiation, UV-C and UV-A) under operational conditions: [Fe2+] = 2.5 mM, pH = 3.0, agitation = 350 rpm, t = 150 min.
In Table 2, the energy consumption of both systems used for the photo-Fenton process is presented. The energy consumption, given by the electric energy per order (), was determined by Equation (1) [10] as follows:
where P is the power of the system (kW), V the volume (m3) and k the pseudo first-order kinetic rate (min−1). The results showed a higher energy consumption with the application of UV-A, regarding UV-C (641 and 170 kWh m−3 order−1, respectively).
Table 2.
Photo-Fenton experiments with UV-A and UV-C radiation systems; pseudo first-order kinetic rate (k) and electric energy per order () with V = 500 × 10−6 m3. Means in the same column with different letters represent significant differences (p < 0.05) within each condition (k and ) by comparing the radiation.
3.3. Combination of CFD/Photo-Fenton/Adsorption
In Section 3.1, it was observed that with application of the CFD process ([PVPP] = 0.5 g/L, pH = 6.0, rapid mix (rpm/min) = 150/3, slow mix (rpm/min) = 20/20, sedimentation = 12 h), a turbidity, TSS, TOC, COD, BOD5 and total polyphenols removal of 66.0, 58.3, 46.9, 48.0, 62.5 and 63.3%, respectively, was achieved. In Figure 3a, with application of UV-A-Fenton process ([Fe2+] = 2.5 mM, [H2O2] = 225 mM, pH = 3.0, agitation = 350 rpm, t = 150 min), it was observed there was a significant removal of 75.6, 86.0, 69.1, 78.3, 62.5 and >99.5%, respectively. The adsorption process ([Bentonite] = 1.5 g/L, pH = 6.0, agitation = 350 rpm, sedimentation = 2 h) was applied as a final complement, achieving a significant removal of 99.4, 90.5, 72.0, 80.9, 62.5 and >99.5%, respectively. In Figure 3b, with the application of UV-C-Fenton, it was observed there was a significant removal of 77.1, 86.2, 76.0, 79.1, 62.5 and 97.3%, respectively. The application of the adsorption process further enhanced the removals, removing 98.4, 88.3, 76.0, 81.3, 80.0 and 99.8%, respectively. The effect of bentonite as an adsorbent was also studied in the work of Jorge et al. [11], who observed a high organic removal by the bentonite in WW treatment.
Figure 3.
Removal efficiency of (a) CFD/UV-A-Fenton/Adsorption system; (b) CFD/UV-C-Fenton/Adsorption system. CFD operational conditions: [PVPP] = 0.5 g/L, pH = 6.0, rapid mix (rpm/min) = 150/3, slow mix (rpm/min) = 20/20, sedimentation = 12 h. Photo-Fenton operational conditions: [Fe2+] = 2.5 mM, [H2O2] = 225 mM, pH = 3.0, agitation = 350 rpm, t = 150 min. Adsorption operational conditions: [Bentonite] = 1.5 g/L, pH = 6.0, agitation = 350 rpm, sedimentation = 2 h. Means in bars with different letters represent significant differences (p < 0.05) within each parameter (turbidity, TSS, TOC, COD, BOD5 and total polyphenols) by comparing wastewaters.
Table 3 shows the evolution of the biodegradability after each treatment process. Results showed a significant increase in the biodegradability after the performance of the photo-Fenton process (0.45 and 0.47, respectively, for UV-A and UV-C). After the application of UV-A-Fenton/adsorption process, a significant increase to 0.51, regarding UV-C-Fenton/adsorption (0.28) was observed. Clearly, the CFD/UV-C-Fenton/adsorption system was more effective for organic carbon removal, however, the biodegradability was reduced.
Table 3.
Biodegradability (BOD5/COD) observed after each treatment process. BOD5/COD > 0.8 highly biodegradable; 0.8 > BOD5/COD > 0.7 biodegradable; 0.7 > BOD5/COD > 0.3 slowly biodegradable; 0.3 > BOD5/COD > 0.1 slightly biodegradable; BOD5/COD < 0.1 non-biodegradable.
4. Conclusions
Considering this work’s results, it is concluded:
- (1)
- The CFD process with the application of PVPP achieves a COD and total polyphenols removal of 48.0 and 63.3%, respectively;
- (2)
- With the application of UV-A-Fenton and UV-C-Fenton process, it achieves 54.2 and 65.0% TOC removal, respectively, with a H2O2 consumption of 225 and 169 mM H2O2;
- (3)
- The UV-C-Fenton achieves lower regarding the UV-A-Fenton process (170 and 641 kWh m−3 order−1, respectively);
- (4)
- The combined CFD/UV-A-Fenton/Adsorption system achieves a COD removal of 80.9% with a biodegradability of 0.51.
Supplementary Materials
The following supporting information can be downloaded at: https://www.mdpi.com/article/10.3390/ECP2022-12653/s1.
Author Contributions
Conceptualization, N.J., A.R.T. and L.M.; methodology, N.J., A.R.T. and L.M.; software, N.J.; validation, N.J., A.R.T. and L.M.; formal analysis, N.J.; investigation, N.J.; resources, N.J., M.S.L. and J.A.P.; data curation, N.J.; writing—original draft preparation, N.J.; writing—review and editing, N.J., M.S.L. and J.A.P.; visualization, N.J., M.S.L. and J.A.P.; supervision, M.S.L. and J.A.P.; project administration, J.A.P.; funding acquisition, J.A.P. All authors have read and agreed to the published version of the manuscript.
Funding
The authors are grateful for the financial support of the Project AgriFood XXI, operation nº NORTE-01-0145-FEDER-000041, and to the Fundação para a Ciência e a Tecnologia (FCT) for the financial support provided to CQVR through UIDB/00616/2020. Ana R. Teixeira also thanks the FCT for the financial support provided through the doctoral scholarship UI/BD/150847/2020.
Institutional Review Board Statement
Not applicable.
Informed Consent Statement
Not applicable.
Data Availability Statement
Not applicable.
Conflicts of Interest
The authors declare no conflict of interest.
References
- Souza, B.S.; Moreira, F.C.; Dezotti, M.W.C.; Vilar, V.J.P.; Boaventura, R.A.R. Application of Biological Oxidation and Solar Driven Advanced Oxidation Processes to Remediation of Winery Wastewater. Catal. Today 2013, 209, 201–208. [Google Scholar] [CrossRef]
- Zhao, C.; Zhou, J.; Yan, Y.; Yang, L.; Xing, G.; Li, H.; Wu, P.; Wang, M.; Zheng, H. Application of Coagulation/Flocculation in Oily Wastewater Treatment: A Review. Sci. Total Environ. 2021, 765, 142795. [Google Scholar] [CrossRef]
- Ghernaout, D.; Simoussa, A.; Alghamdi, A.; Ghernaout, B.; Elboughdiri, N.; Mahjoubi, A.; Aichouni, M.; El-Wakil, A.E.-A. Combining Lime Softening with Alum Coagulation for Hard Ghrib Dam Water Conventional Treatment. Int. J. Adv. Appl. Sci. 2018, 5, 61–70. [Google Scholar] [CrossRef] [Green Version]
- Cheremisinoff, N.P. Handbook of Water and Wastewater Treatment Technologies; Butterworth-Heinemann: Boston, MA, USA, 2002; ISBN 0-7506-7498-9. [Google Scholar]
- Ganiyu, S.O.; Sable, S.; El-din, M.G. Advanced Oxidation Processes for the Degradation of Dissolved Organics in Produced Water: A Review of Process Performance, Degradation Kinetics and Pathway. Chem. Eng. J. 2022, 429, 132492. [Google Scholar] [CrossRef]
- Gao, L.; Cao, Y.; Wang, L.; Li, S. A Review on Sustainable Reuse Applications of Fenton Sludge during Wastewater Treatment. Front. Environ. Sci. Eng. 2022, 16, 77. [Google Scholar] [CrossRef]
- Agbovi, H.K.; Wilson, L.D. Design of Amphoteric Chitosan Flocculants for Phosphate and Turbidity Removal in Wastewater. Carbohydr. Polym. 2018, 189, 360–370. [Google Scholar] [CrossRef] [PubMed]
- Laborde, B.; Moine-Ledoux, V.; Richard, T.; Saucier, C.; Dubourdieu, D.; Monti, J.-P. PVPP—Polyphenol Complexes: A Molecular Approach. J. Agric. Food Chem. 2006, 54, 4383–4389. [Google Scholar] [CrossRef] [PubMed]
- Gupta, A.; Garg, A. Degradation of Ciprofloxacin Using Fenton’s Oxidation: Effect of Operating Parameters, Identification of Oxidized by-Products and Toxicity Assessment. Chemosphere 2018, 193, 1181–1188. [Google Scholar] [CrossRef] [PubMed]
- Ferreira, L.C.; Fernandes, J.R.; Rodriguez-Chueca, J.; Peres, J.A.; Lucas, M.S.; Tavares, P.B. Photocatalytic Degradation of an Agro-Industrial Wastewater Model Compound Using a UV LEDs System: Kinetic Study. J. Environ. Manag. 2020, 269, 110740. [Google Scholar] [CrossRef] [PubMed]
- Jorge, N.; Teixeira, A.R.; Guimarães, V.; Lucas, M.S.; Peres, J.A. Treatment of Winery Wastewater with a Combination of Adsorption and Thermocatalytic Processes. Processes 2022, 10, 75. [Google Scholar] [CrossRef]
Publisher’s Note: MDPI stays neutral with regard to jurisdictional claims in published maps and institutional affiliations. |
© 2022 by the authors. Licensee MDPI, Basel, Switzerland. This article is an open access article distributed under the terms and conditions of the Creative Commons Attribution (CC BY) license (https://creativecommons.org/licenses/by/4.0/).


