Application of Combined Coagulation–Flocculation–Decantation/Photo-Fenton/Adsorption Process for Winery Wastewater Treatment †
Abstract
:1. Introduction
2. Material and Methods
2.1. Reagents and WW Sampling
2.2. Analytical Techniques
2.3. CFD/Photo-Fenton/Adsorption Experimental Set-Up
- (1)
- Variation of Fe2+ concentration (1.0–2.5 mM), under the following conditions: pH = 3.0, radiation = UV-A IUV = 32.7 W/m2, agitation = 350 rpm, t = 150 min;
- (2)
- Variation of radiation type (no radiation, UV-C, UV-A), under the following conditions: [Fe2+] = 2.5 mM, pH = 3.0, agitation = 350 rpm, t = 150 min.
2.4. Statistical Analysis
3. Results and Discussion
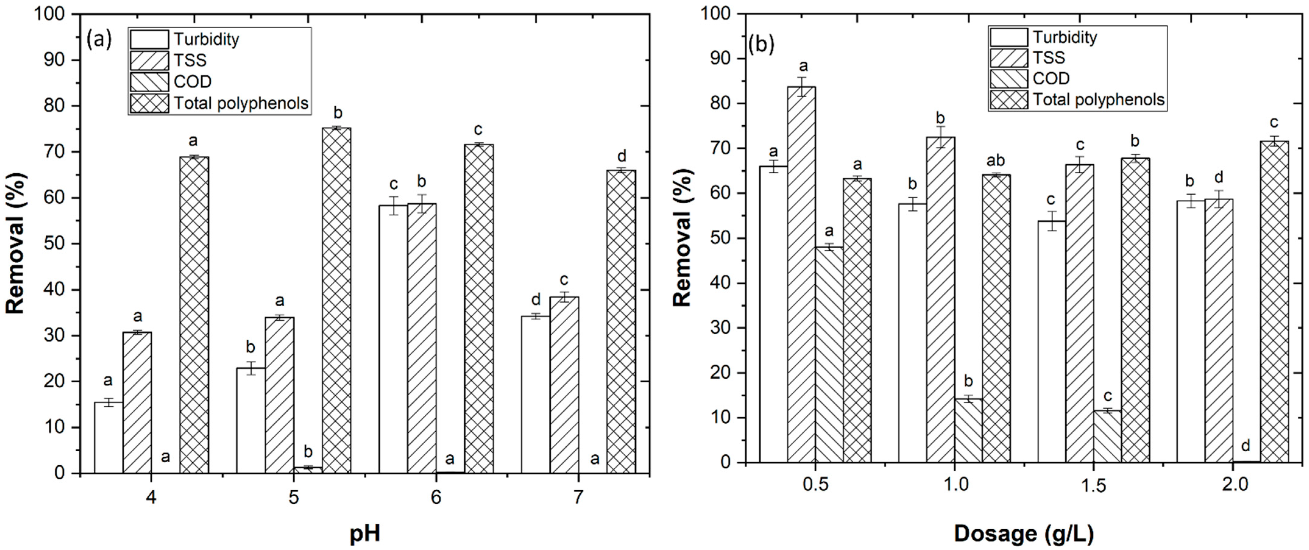
3.1. Coagulation–Flocculation–Decantation Experiments
3.2. Photo-Fenton Experiments
3.3. Combination of CFD/Photo-Fenton/Adsorption
4. Conclusions
- (1)
- The CFD process with the application of PVPP achieves a COD and total polyphenols removal of 48.0 and 63.3%, respectively;
- (2)
- With the application of UV-A-Fenton and UV-C-Fenton process, it achieves 54.2 and 65.0% TOC removal, respectively, with a H2O2 consumption of 225 and 169 mM H2O2;
- (3)
- The UV-C-Fenton achieves lower regarding the UV-A-Fenton process (170 and 641 kWh m−3 order−1, respectively);
- (4)
- The combined CFD/UV-A-Fenton/Adsorption system achieves a COD removal of 80.9% with a biodegradability of 0.51.
Supplementary Materials
Author Contributions
Funding
Institutional Review Board Statement
Informed Consent Statement
Data Availability Statement
Conflicts of Interest
References
- Souza, B.S.; Moreira, F.C.; Dezotti, M.W.C.; Vilar, V.J.P.; Boaventura, R.A.R. Application of Biological Oxidation and Solar Driven Advanced Oxidation Processes to Remediation of Winery Wastewater. Catal. Today 2013, 209, 201–208. [Google Scholar] [CrossRef]
- Zhao, C.; Zhou, J.; Yan, Y.; Yang, L.; Xing, G.; Li, H.; Wu, P.; Wang, M.; Zheng, H. Application of Coagulation/Flocculation in Oily Wastewater Treatment: A Review. Sci. Total Environ. 2021, 765, 142795. [Google Scholar] [CrossRef]
- Ghernaout, D.; Simoussa, A.; Alghamdi, A.; Ghernaout, B.; Elboughdiri, N.; Mahjoubi, A.; Aichouni, M.; El-Wakil, A.E.-A. Combining Lime Softening with Alum Coagulation for Hard Ghrib Dam Water Conventional Treatment. Int. J. Adv. Appl. Sci. 2018, 5, 61–70. [Google Scholar] [CrossRef] [Green Version]
- Cheremisinoff, N.P. Handbook of Water and Wastewater Treatment Technologies; Butterworth-Heinemann: Boston, MA, USA, 2002; ISBN 0-7506-7498-9. [Google Scholar]
- Ganiyu, S.O.; Sable, S.; El-din, M.G. Advanced Oxidation Processes for the Degradation of Dissolved Organics in Produced Water: A Review of Process Performance, Degradation Kinetics and Pathway. Chem. Eng. J. 2022, 429, 132492. [Google Scholar] [CrossRef]
- Gao, L.; Cao, Y.; Wang, L.; Li, S. A Review on Sustainable Reuse Applications of Fenton Sludge during Wastewater Treatment. Front. Environ. Sci. Eng. 2022, 16, 77. [Google Scholar] [CrossRef]
- Agbovi, H.K.; Wilson, L.D. Design of Amphoteric Chitosan Flocculants for Phosphate and Turbidity Removal in Wastewater. Carbohydr. Polym. 2018, 189, 360–370. [Google Scholar] [CrossRef] [PubMed]
- Laborde, B.; Moine-Ledoux, V.; Richard, T.; Saucier, C.; Dubourdieu, D.; Monti, J.-P. PVPP—Polyphenol Complexes: A Molecular Approach. J. Agric. Food Chem. 2006, 54, 4383–4389. [Google Scholar] [CrossRef] [PubMed]
- Gupta, A.; Garg, A. Degradation of Ciprofloxacin Using Fenton’s Oxidation: Effect of Operating Parameters, Identification of Oxidized by-Products and Toxicity Assessment. Chemosphere 2018, 193, 1181–1188. [Google Scholar] [CrossRef] [PubMed]
- Ferreira, L.C.; Fernandes, J.R.; Rodriguez-Chueca, J.; Peres, J.A.; Lucas, M.S.; Tavares, P.B. Photocatalytic Degradation of an Agro-Industrial Wastewater Model Compound Using a UV LEDs System: Kinetic Study. J. Environ. Manag. 2020, 269, 110740. [Google Scholar] [CrossRef] [PubMed]
- Jorge, N.; Teixeira, A.R.; Guimarães, V.; Lucas, M.S.; Peres, J.A. Treatment of Winery Wastewater with a Combination of Adsorption and Thermocatalytic Processes. Processes 2022, 10, 75. [Google Scholar] [CrossRef]



| Parameters | Values | 
|---|---|
| pH | 3.61 ± 0.2 | 
| Electrical conductivity (μS/cm) | 172.5 ± 8.6 | 
| Turbidity (NTU) | 133 ± 8.2 | 
| Total suspended solids—TSS (mg/L) | 358 ± 9 | 
| Chemical Oxygen Demand—COD (mg O2/L) | 5723 ± 58 | 
| Biochemical Oxygen Demand—BOD5 (mg O2/L) | 1500 ± 44 | 
| Total Organic Carbon—TOC (mg C/L) | 1601 ± 10 | 
| Total polyphenols (mg gallic acid/L) | 52.1 ± 8 | 
| Biodegradability—BOD5/COD | 0.32 ± 0.3 | 
| [Fe2+] (mg Fe/L) | 0.59 ± 0.08 | 
| Radiation | P (kW) | k × 10−3 (min−1) | EEO (kWh m−3 Order−1) | 
|---|---|---|---|
| UV-A (365 nm) | 0.0327 | 3.92 ± 3.41 × 10−5 a | 641 ± 5.37 a | 
| UV-C (254 nm) | 0.0150 | 6.78 ± 3.09 × 10−5 b | 170 ± 3.37 b | 
| Treatment Processes | BOD5/COD | 
|---|---|
| CFD | 0.12 | 
| CFD + Photo-Fenton | 0.45 (UV-A), 0.47 (UV-C) | 
| CFD + Photo-Fenton + Adsorption | 0.51 (UV-A), 0.28 (UV-C) | 
| Publisher’s Note: MDPI stays neutral with regard to jurisdictional claims in published maps and institutional affiliations. | 
© 2022 by the authors. Licensee MDPI, Basel, Switzerland. This article is an open access article distributed under the terms and conditions of the Creative Commons Attribution (CC BY) license (https://creativecommons.org/licenses/by/4.0/).
Share and Cite
Jorge, N.; Teixeira, A.R.; Marchão, L.; Lucas, M.S.; Peres, J.A. Application of Combined Coagulation–Flocculation–Decantation/Photo-Fenton/Adsorption Process for Winery Wastewater Treatment. Eng. Proc. 2022, 19, 22. https://doi.org/10.3390/ECP2022-12653
Jorge N, Teixeira AR, Marchão L, Lucas MS, Peres JA. Application of Combined Coagulation–Flocculation–Decantation/Photo-Fenton/Adsorption Process for Winery Wastewater Treatment. Engineering Proceedings. 2022; 19(1):22. https://doi.org/10.3390/ECP2022-12653
Chicago/Turabian StyleJorge, Nuno, Ana R. Teixeira, Leonilde Marchão, Marco S. Lucas, and José A. Peres. 2022. "Application of Combined Coagulation–Flocculation–Decantation/Photo-Fenton/Adsorption Process for Winery Wastewater Treatment" Engineering Proceedings 19, no. 1: 22. https://doi.org/10.3390/ECP2022-12653
APA StyleJorge, N., Teixeira, A. R., Marchão, L., Lucas, M. S., & Peres, J. A. (2022). Application of Combined Coagulation–Flocculation–Decantation/Photo-Fenton/Adsorption Process for Winery Wastewater Treatment. Engineering Proceedings, 19(1), 22. https://doi.org/10.3390/ECP2022-12653
 
         
                                                



 
       