Abstract
6-Aminopyridine-3,5-dicarbonitriles and 3,6-diamino-5-cyanothieno[2,3-b]pyridines are well known as compounds with a broad spectrum of bioactivity. In particular, such thienopyridines are known as inhibitors of scrapie prion infection replication and accumulation, as well as selective inhibitors of malaria plasmodia kinase-3 with a pronounced antimalarial effect. To expand the range of such compounds, we studied the reaction of 3,6-diaminothieno[2,3-b]pyridine-5-carbonitriles with chloroacetyl chloride. The analysis of the Fukui indices showed that in these compounds the amino group at the C(3) atom is the most reactive. In fact, the reaction with ClCH2C(O)Cl leads to the predicted product. Other reactions of thienopyridines as well as data on the biological activity of the products are discussed.
1. Introduction
The chemistry of thieno[2,3-b]pyridine derivatives still remains a rapidly developing area of research, which has repeatedly become the subject of detailed consideration in a number of papers, reviews, and dissertations [1,2,3,4,5,6]. In recent years, significant progress has been made in this area of heterocyclic chemistry, which is reflected in a significant number of new publications concerning methods for the preparation, modification, and especially issues of biological activity of thieno[2,3-b]pyridine derivatives. It is important to note that thieno[2,3-b]pyridine derivatives are used in various fields, which confirms their importance and prospects for further research. In this regard, further study of these compounds plays an important role in the development of scientific knowledge and practical application in the modern world.
3,6-Diamino-5-cyanothieno[2,3-b]pyridines are of great importance due to their diverse biological activities. For example, based on 3,6-diamino-5-cyanothieno[2,3-b]pyridines, drugs have been created for the treatment of Huntington’s disease and dengue fever, and many compounds also have high antimicrobial and antibacterial activity [1,7]. Their synthetic accessibility also makes them valuable scaffolds for further transformations. In this work, we report the synthesis of starting compounds, their selective acylation, and intramolecular cyclization.
2. Results and Discussion
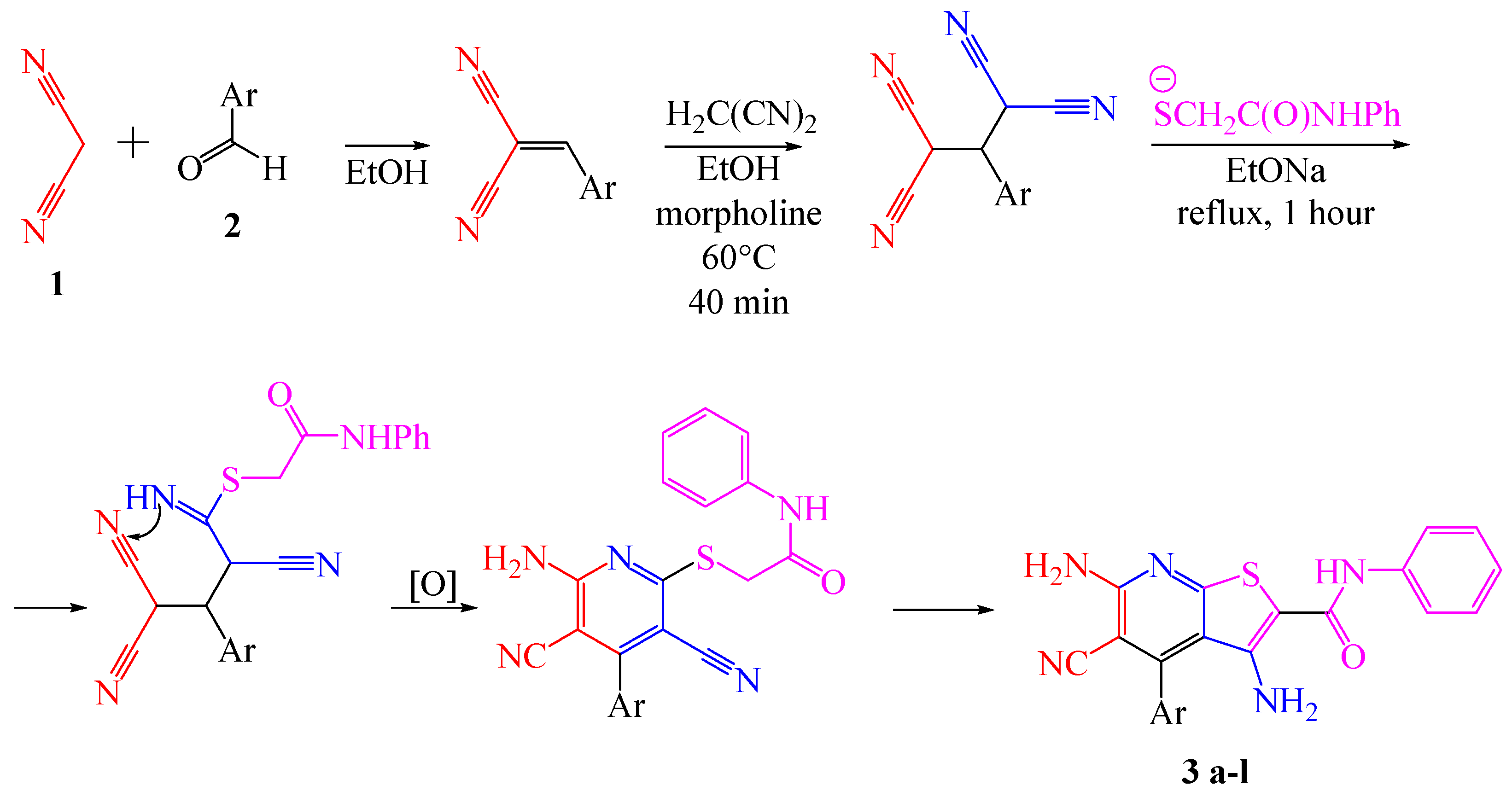
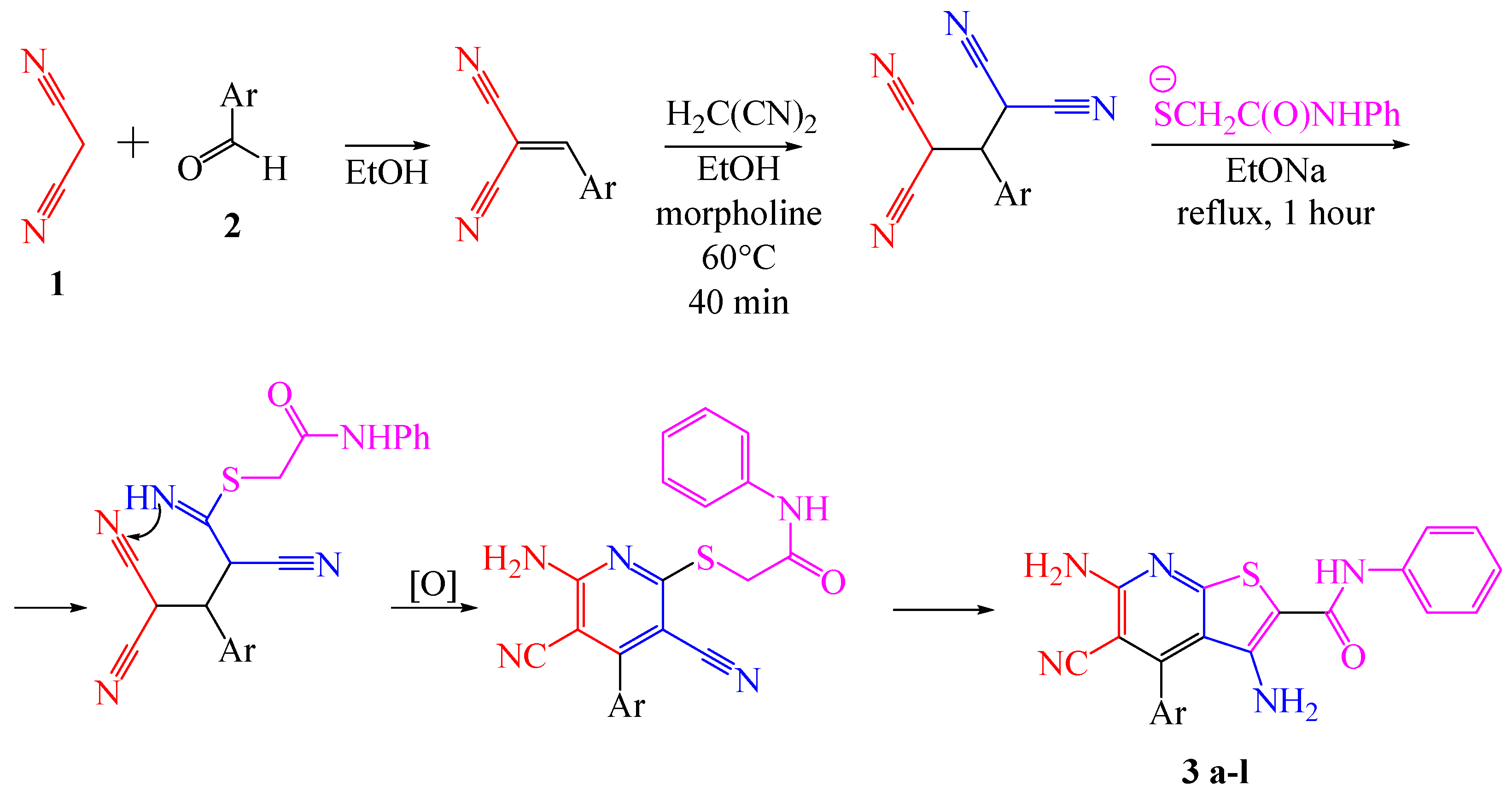
The starting 3,6-diaminothienopyridines were prepared in a one-pot, two-step process. In the first step, 2 equivalents of malononitrile react with an aromatic aldehyde to form Michael adducts. Mercaptoacetanilide was then added to the reaction, initiating the cascade process of assembling the thienopyridine system (Scheme 1) [2].
Scheme 1.
The possible mechanism for the formation of thienopyridines 3.
The 1H NMR spectrum shows signals for the protons of the NH2 group, located in the third position of the thienopyridine system: a singlet at δ 5.80–5.99 ppm, signals for the protons of the NH2 group, located in the sixth position: a broadened singlet at δ 7.42–7.57 ppm and signals for the protons of the amide group: a singlet at δ 9.28–9.45 ppm.
It is known that 3-aminothieno[2,3-b]pyridines are quite easily acylated [8]. 3,6-Diamino-5-cyanothieno[2,3-b]pyridines have two amino groups, so it seemed appropriate to study their behavior under this reaction’s conditions and to investigate the regional direction of the process.
An analysis of the Fukui indices showed that the amino group at the C(3) atom is the most reactive in compounds 3. Therefore, it was expected that the reaction with ClCH2COCl would proceed predominantly at C(3)NH2. Indeed, the reaction with 2.2–2.4 equivalents of chloroacetyl chloride for 3–4 h leads to the predicted product 4 (Scheme 2).
Scheme 2.
Chloroacetylation reaction of thienopyridines 3.
Further heating for 8–10 h leads to intramolecular cyclization and the formation of product 4. It was also found that when using 3 equivalents of the ClCH2COCl and refluxing for 8–9 h, the reaction can proceed at the amino group C(6)NH2, as evidenced by spectral data (IR, NMR 1H, and 13C). This produces a mixture of four acylation products 4–7 in approximately equal proportions (Figure 1).
Figure 1.
NMR data set 1H and 13C for a mixture of compounds 4–7.
The 1H NMR spectra are characterized by the presence of a signal of methylene protons in the form of a singlet for compounds 4 in the region of δ 3.35–3.54 ppm, and for compounds 5 in the region of δ 3.99–4.04 ppm.
The evidence of obtaining a mixture of four products in equal proportions using 3 equivalents ClCH2COCl and refluxing for 8–9 h is provided by the set of data from the 1H and 13C NMR spectra, based on which it can be concluded that the mixture of products contains signals of four -OCH3, six -NH2, and six -CH2- groups (Figure 1).
The starting 3,6-diamino-5-cyanothieno[2,3-b]pyridines were tested for activity against the new coronavirus infection. The compounds were found to be inactive to SARS-CoV-2 infection model. Almost all compounds are poorly soluble in common organic solvents. Modifications to increase solubility and bioavailability are required.
Potential protein targets for the obtained compounds were predicted using the new protein-ligand docking protocol GalaxySagittarius [9] based on the GalaxyWeb web server. All synthesized 3,6-diaminothieno[2,3-b]pyridine-5-carbonitriles are inhibitors of Hsp90 (PDB ID 3wha), a chaperone protein that stabilizes oncoproteins, making them potential antitumor agents (Figure 2).
Figure 2.
Predicted structure of the protein-ligand complex for compound 4g and the chaperone protein Hsp90 (PDB ID 3wha).
According to molecular docking data, acylated thienopyridines 4 bind to the Ephrin type-A receptor 2 (EPHA2) (PDB ID 5nkh). This receptor is responsible for the resistance of BRAF-mutant melanomas (where the mutation is caused by a thymine to adenine transversion at nucleotide 1799 of the gene) to BRAF inhibitors and for the entry of Kaposi’s sarcoma-associated herpesvirus (KSHV) into cells. Furthermore, these compounds inhibit the Replication Protein A (RPA) (PDB ID 4lwc), disrupting DNA repair in cancer cells and increasing their sensitivity to damage.
3. Experimental
Synthesis of 3,6-diamino-4-(2-chlorophenyl)-5-cyano-N-phenylthieno [2,3-b]pyridine-2-carboxamide (3a): a solution of 2 g (0.014 mol) of 2-chlorobenzaldehyde and 1.88 g (0.028 mol) of malononitrile in 15 mL of ethyl alcohol is placed in a flat-bottomed flask. Four drops of morpholine are added. The reaction mixture is heated to 60 °C with stirring. After some time, a precipitate of arylidene malononitrile forms. To ensure complete formation of the reaction product, the reaction mixture is stirred with heating for 40 min. For the second stage of the reaction, a solution of sodium ethoxide is prepared (the calculated amount of metallic sodium is dissolved in anhydrous ethyl alcohol). Then, 2.37 g (0.014 mol) of mercaptoacetanilide is added to the sodium ethoxide. The resulting mixture is then added to the reaction mixture containing the Michael adduct, 2-aryl-1,1,3,3,-tetracyanopropane. The precipitate dissolves immediately, and after some time, crystals of the product begin to form. The synthesis is carried out for one hour at 100 °C. The precipitate was filtered off and washed with cold alcohol. Yield was 57%. M.p. 254–255 °C. FT-IR, ν, cm−1: 3456, 3408 (NH2); 3302 (NH); 2210 (CN), 1633 (C=O).
NMR 1H spectrum (400 MHz, DMSO-d6), δH, ppm: 5.68 s (2H, NH2); 7.05 dd (1H, J = 7.33, J = 1.4, Hph); 7.29 dd (2H, J = 8.32, J = 1.4, Hph); 7.57 s (2H, NH2); 7.58–7.71 m (5H, Hph); 7.77 d (1H, J = 7.33, Hph); 9.36 s (1H, NH). NMR 13C DEPTQ (DMSO-d6), δC, ppm: 90.69 (C5), 93.64 (C2), 114.33 (C3a), 115.64 (CN), 121.62 (C2″,6″), 123.83 (C4″), 128.68 (C4′), 128.85 (C3′,5′), 130.60 (C3″,5″), 131.81 (C1″), 132.58 (C6′), 132.73 (C3), 139.36 (C2′), 147.57 (C1′), 149.69 (C4), 159.1 (C7a), 164.08 (C6), 164.27 (C=O).
3,6-Diamino-4-aryl-5-cyano-N-phenylthieno[2,3-b]pyridine-2-carboxamides 3b–3l were prepared using a similar procedure.
6-amino-3-(2-chloroacetamido)-4-(2-chlorophenyl)-5-cyano-N-phenylthieno[2,3-b]pyridine-2-carboxamide (4a): A round-bottomed flask was charged with 1 g (0.00238 mol) of 3,6-diamino-4-(2-chlorophenyl)-5-cyano-N-phenylthieno[2,3-b]pyridine-2-carboxamide (3a) and 30 mL of anhydrous dioxane and heated until completely dissolved. Then, 0.42 mL (0.00524 mol) of chloroacetyl chloride was added. The reaction mixture is refluxed for 3–4 h. The progress of the synthesis is monitored by TLC (acetone/petroleum ether 2:1). The precipitate was filtered off and purified by recrystallization from acetone. Light yellow crystals were obtained in 51% yield.
6-Amino-3-chloroacetylaminothieno[2,3-b]pyridine-2-carboxamides (4b–4e) were obtained by a similar procedure. Purification of some compounds (4) was carried out by recrystallization from dioxane. M.p. 233–234 °C. FT-IR, ν, cm−1: 3455 (NH2); 3328, 3214 (NH); 2216 (CN), 1670, 1618 (C=O). NMR 1H spectrum (400 MHz, DMSO-d6), δH, ppm: 3.35 d (1H, J = 14.18, CH2); 3.44 d (1H, J = 14.30, CH2); 7.10 dd (1H, J = 7.34, J = 1.9, Hap); 7.30–7.37 m (3H, Hph); 7.47–7.55 m (2H, Hph); 7.56 s (2H, NH2); 7.62 d (1H, J = 7.83, Hph); 7.65 (1H, dd, J = 0,85, J = 7.95, Hap); 7.95 dd (1H, J = 1.23, J = 8.44, Hap); 9.635 s (1H, NH); 9.835 s (1H, NH).
4. Conclusions
In summary, this work focuses on the synthesis of 3,6-diaminothienopyridines and explores their selective acylation, which, based on reactivity predictions, initially targets one amino group and can lead to intramolecular cyclization. While the initial compounds were inactive against SARS-CoV-2 and had solubility issues, molecular docking studies predicted significant therapeutic potential. The synthesized compounds, particularly the acylated derivatives, were identified as potential inhibitors of key cancer-related proteins like Hsp90 and EPHA2, suggesting promising antitumor and antiviral applications.
Author Contributions
Conceptualization, V.V.D.; methodology, V.V.D. and D.Y.L.; software, A.V.B. and A.V.K.; formal analysis, A.V.K., V.V.D. and D.Y.L.; investigation, A.V.K., V.K.K., V.V.D., A.V.B. and D.Y.L.; resources, V.V.D.; data curation, V.V.D.; writing—original draft preparation, A.V.K. and D.Y.L.; writing—review and editing, V.V.D.; visualization, A.V.K.; supervision, V.V.D.; project administration, V.V.D. All authors have read and agreed to the published version of the manuscript.
Funding
This research received no external funding.
Institutional Review Board Statement
Not applicable.
Informed Consent Statement
Not applicable.
Data Availability Statement
Available from authors.
Conflicts of Interest
The authors declare no conflicts of interest.
References
- Dotsenko, V.V.; Buryi, D.S.; Lukina, D.Y.; Krivokolysko, S.G. Recent advances in the chemistry of thieno[2,3-b]pyridines. 1. Methods of synthesis of thieno[2,3-b]pyridines. Russ. Chem. Bull. 2020, 69, 1829–1858. [Google Scholar] [CrossRef]
- Litvinov, V.P.; Dotsenko, V.V.; Krivokolysko, S.G. Thienopyridines: Synthesis, properties, and biological activity. Russ. Chem. Bull. 2005, 54, 864–904. [Google Scholar] [CrossRef]
- Litvinov, V.P.; Dotsenko, V.V.; Krivokolysko, S.G. The chemistry of thienopyridines. Adv. Heterocycl. Chem. 2007, 93, 117–178. [Google Scholar]
- El-Sayed, H.A. Heterocyclization of ethyl 3-amino-4,6-dimethylthieno[2,3-b]pyridine-2-carboxylate (Review). J. Iran. Chem. Soc. 2014, 11, 131–145. [Google Scholar] [CrossRef]
- Salem, M.A.; Abu-Hashem, A.A.; Abdelgawad, A.A.M.; Gouda, M.A. Synthesis and reactivity of thieno[2,3-b]quinoline derivatives (part II). J. Heterocycl. Chem. 2021, 58, 1705–1740. [Google Scholar] [CrossRef]
- Shaw, R.; Tewari, R.; Yadav, M.; Pandey, E.; Tripathi, K.; Rani, J.; Althagafi, I.; Pratap, R. Recent advancements in the synthesis of fused thienopyridines and their therapeutic applications. Eur. J. Med. Chem. Rep. 2024, 12, 100185. [Google Scholar] [CrossRef]
- Park, H.; Kim, Y.J.; Hahn, J.S. A novel class of Hsp90 inhibitors isolated by structure-based virtual screening. Bioorg. Med. Chem. Lett. 2007, 17, 6345–6349. [Google Scholar] [CrossRef] [PubMed]
- Kaigorodova, Y.A.; Vasilin, V.K.; Konyushkin, L.D.; Usova, Y.B.; Krapivin, G.D. Synthesis and reactions of substituted 3-amino-2-furyl(aryl)-thieno[2,3-b]pyridines. Molecules 2008, 5, 1085–1093. [Google Scholar] [CrossRef]
- Yang, J.; Kwon, S.; Bae, S.H.; Park, K.M.; Yoon, C.; Lee, J.H.; Seok, C. GalaxySagittarius: Structure- and Similarity-based Prediction of protein Targets for druglike Compounds. J. Chem. Inf. Model. 2020, 60, 3246–3254. [Google Scholar] [CrossRef] [PubMed]
Disclaimer/Publisher’s Note: The statements, opinions and data contained in all publications are solely those of the individual author(s) and contributor(s) and not of MDPI and/or the editor(s). MDPI and/or the editor(s) disclaim responsibility for any injury to people or property resulting from any ideas, methods, instructions or products referred to in the content. |
© 2025 by the authors. Licensee MDPI, Basel, Switzerland. This article is an open access article distributed under the terms and conditions of the Creative Commons Attribution (CC BY) license (https://creativecommons.org/licenses/by/4.0/).



