One-Pot Synthesis of Imidazo[1,2-a]pyridines via Groebke–Blackburn–Bienaymé Reaction and CuAAC Assisted by MW †
Abstract
1. Introduction
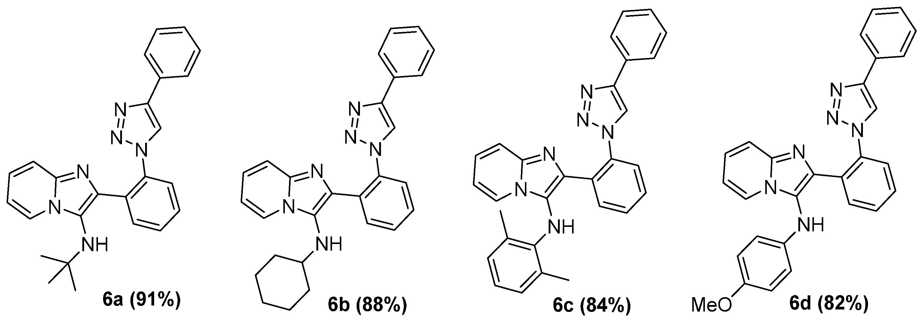
2. Results and Discussion
3. Experimental Section
3.1. General Information, Instrumentation and Chemicals
3.2. General Procedure (GP)
3.3. Spectral Data
3.3.1. Characterization of the N-(tert-butyl)-2-(2-(4-phenyl-1H-1,2,3-triazol-1-yl)phenyl)imidazo[1,2-a]pyridin-3-amine (6a)
3.3.2. Characterization of the N-cyclohexyl-2-(2-(4-phenyl-1H-1,2,3-triazol-1-yl)phenyl)imidazo [1,2-a]pyridin-3-amine (6b)
3.3.3. Characterization of the N-(2,6-Dimethylphenyl)-2-(2-(4-phenyl-1H-1,2,3-triazol-1-yl)phenyl)imidazo[1,2-a]pyridin-3-amine (6c)
3.3.4. Characterization of the N-(4-Methoxyphenyl)-2-(2-(4-phenyl-1H-1,2,3-triazol-1-yl)phenyl)imidazo[1,2-a]pyridin-3-amine (6d)
4. Conclusions
Author Contributions
Funding
Institutional Review Board Statement
Informed Consent Statement
Data Availability Statement
Acknowledgments
Conflicts of Interest
References
- Chaudhran, P.A.; Sharma, A. Progress in the Development of Imidazopyridine-Based Fluorescent Probes for Diverse Applications. Crit. Rev. Anal. Chem. 2022, 54, 2148–2165. [Google Scholar] [CrossRef] [PubMed]
- Ishwar Bhat, S. One-Pot Construction of Bis-Heterocycles through Isocyanide Based Multicomponent Reactions. ChemistrySelect 2020, 5, 8040–8061. [Google Scholar] [CrossRef]
- Devi, N.; Singh, D.; Rawal, R.K.; Bariwal, J. Virender Singh Medicinal Attributes of Imidazo[1,2-a]Pyridine Derivatives: An Update. Curr. Top. Med. Chem. 2016, 16, 2963–2994. [Google Scholar] [CrossRef] [PubMed]
- Agouram, N.; El Hadrami, E.M.; Bentama, A. 1,2,3-Triazoles as Biomimetics in Peptide Science. Molecules 2021, 26, 2937. [Google Scholar] [CrossRef]
- Bonandi, E.; Christodoulou, M.S.; Fumagalli, G.; Perdicchia, D.; Rastelli, G.; Passarella, D. The 1,2,3-triazole ring as a bioisostere in medicinal chemistry. Drug Discov. Today 2017, 22, 1572–1581. [Google Scholar] [CrossRef] [PubMed]
- Ulloora, S.; Shabaraya, R.; Adhikari, A.V. New dihydropyridine derivatives: Anti-inflammatory, analgesic and docking studies. Bioorg. Med. Chem. Lett. 2013, 23, 3368–3372. [Google Scholar] [CrossRef]
- Reddyrajulaa, R.; Dalimba, U.K. Structural modification of zolpidem led to potent antimicrobial activity in imidazo[1,2-a]pyridine/pyrimidine-1,2,3-triazoles. New J. Chem. 2019, 43, 16281–16299. [Google Scholar] [CrossRef]
- Sayeed, I.B.; Vishnuvardhan MV, P.S.; Nagarajan, A.; Kantevari, S.; Kamal, A. Imidazopyridine linked triazoles as tubulin inhibitors, effectively triggering apoptosis in lung cancer cell line. Bioorganic Chem. 2018, 80, 714–720. [Google Scholar] [CrossRef]
- Panda, J.; Raiguru, B.P.; Mishra, M.; Mohapatra, S.; Nayak, S. Recent Advances in the Synthesis of Imidazo[1,2-a]Pyridines: A Brief Review. ChemistrySelect 2022, 7, e202103987. [Google Scholar] [CrossRef]
- Tietze, L.F.; Beifuss, U. Sequential Transformations in Organic Chemistry: A Synthetic Strategy with a Future. Angew. Chem. Int. Ed. Engl. 1993, 32, 131–163. [Google Scholar] [CrossRef]
- Tzitzikas, T.Z.; Chandgude, A.L.; Dömling, A. Multicomponent Reactions, Union of MCRs and Beyond. Chem. Rec. 2015, 15, 981–996. [Google Scholar]
- Zhu, J.; Wang, Q.; Wang, M.-X. Multicomponent Reactions in Organic Synthesis; Wiley-VCH: Weinheim, Germany, 2015. [Google Scholar]
- Devi, N.; Rawal, R.K.; Singh, V. Diversity-oriented synthesis of fused-imidazole derivatives via Groebke–Blackburn–Bienayme reaction: A review. Tetrahedron 2015, 71, 183. [Google Scholar] [CrossRef]
- Shaaban, S.; Abdel-Wahab, B.F. Groebke-Blackburn-Bienaymé multicomponent reaction: Emerging chemistry for drug discovery. Mol. Divers. 2016, 20, 233. [Google Scholar] [CrossRef]
- Boltjes, A.; Dömling, A. The Groebke-Blackburn-Bienaymé Reaction. Eur. J. Org. Chem. 2019, 2019, 7007–7049. [Google Scholar]
- Fairoosa, J.; Saranya, S.; Radhika, S.; Anilkumar, G. Recent Advances in Microwave Assisted Multicomponent Reactions. ChemistrySelect 2020, 5, 5180–5197. [Google Scholar] [CrossRef]
- Rostovtsev, V.V.; Green, L.G.; Fokin, V.V.; Sharpless, K.B. A stepwise huisgen cycloaddition process: Copper(I)-catalyzed regioselective “ligation” of azides and terminal alkynes. Angew. Chem. Int. Ed. 2002, 41, 2596–2599. [Google Scholar] [CrossRef]
- Tornøe, C.W.; Christensen, C.; Meldal, M. Peptidotriazoles on solid phase: [1,2,3]-triazoles by regiospecific copper(i)-catalyzed 1,3-dipolar cycloadditions of terminal alkynes to azides. J. Org. Chem. 2002, 67, 3057–3064. [Google Scholar] [CrossRef] [PubMed]
- Brandner, L.; Müller, T.J.J. Multicomponent synthesis of chromophores—The one-pot approach to functional π-systems. Front. Chem. 2023, 11, 1124209. [Google Scholar]
- Mala, R.; Nandhagopal, M.; Narayanasamy, M.; Thennarasu, S. An Imidazo[1,2-a]pyridine Derivative That Enables Selective and Sequential Sensing of Cu2+ and CN− Ions in Aqueous and Biological Samples. ChemistrySelect 2019, 4, 13131–13137. [Google Scholar] [CrossRef]
- Kurva, M.; Claudio-Catalán, M.Á.; Rentería-Gómez, Á.; Jiménez-Halla, J.O.C.; González-García, G.; Velusamy, J.; Ramos-Ortíz, G.; Castaño-González, K.; Piazza, V.; Gámez-Montaño, R. Multicomponent one-pot synthesis of luminescent imidazo [1,2-a]pyridine-3-amines. Studies of fluorescence, solvatochromism, TD-DFT calculations and bioimaging application. J. Mol. Struct. 2023, 1276, 134797. [Google Scholar] [CrossRef]
- Kurva, M.; Pharande, S.G.; Quezada-Soto, A.; Gámez-Montaño, R. Ultrasound assisted green synthesis of bound type bis-heterocyclic carbazolyl imidazo[1,2-a]pyridines via Groebke-Blackburn-Bienayme reaction. Tetrahedron Lett. 2018, 59, 1596. [Google Scholar] [CrossRef]





| Entry [a] | Catalyst [b] | Solvent [1.0 M] | Time (h) | Temp °C | Yield [d] |
|---|---|---|---|---|---|
| 1 | NH4Cl | EtOH | 24 | rt | 82 |
| 2 | NH4Cl | EtOH | 8 | 60 | 80 |
| 3 [c] | NH4Cl | EtOH | 0.5 | 60 | 89 |
Disclaimer/Publisher’s Note: The statements, opinions and data contained in all publications are solely those of the individual author(s) and contributor(s) and not of MDPI and/or the editor(s). MDPI and/or the editor(s) disclaim responsibility for any injury to people or property resulting from any ideas, methods, instructions or products referred to in the content. |
© 2024 by the authors. Licensee MDPI, Basel, Switzerland. This article is an open access article distributed under the terms and conditions of the Creative Commons Attribution (CC BY) license (https://creativecommons.org/licenses/by/4.0/).
Share and Cite
Rentería-Gómez, M.A.; Calderón-Rangel, D.; Rodríguez-López, F.; Corona-Díaz, A.; Gámez-Montaño, R. One-Pot Synthesis of Imidazo[1,2-a]pyridines via Groebke–Blackburn–Bienaymé Reaction and CuAAC Assisted by MW. Chem. Proc. 2024, 16, 28. https://doi.org/10.3390/ecsoc-28-20190
Rentería-Gómez MA, Calderón-Rangel D, Rodríguez-López F, Corona-Díaz A, Gámez-Montaño R. One-Pot Synthesis of Imidazo[1,2-a]pyridines via Groebke–Blackburn–Bienaymé Reaction and CuAAC Assisted by MW. Chemistry Proceedings. 2024; 16(1):28. https://doi.org/10.3390/ecsoc-28-20190
Chicago/Turabian StyleRentería-Gómez, Manuel A., David Calderón-Rangel, Fidel Rodríguez-López, Alejandro Corona-Díaz, and Rocío Gámez-Montaño. 2024. "One-Pot Synthesis of Imidazo[1,2-a]pyridines via Groebke–Blackburn–Bienaymé Reaction and CuAAC Assisted by MW" Chemistry Proceedings 16, no. 1: 28. https://doi.org/10.3390/ecsoc-28-20190
APA StyleRentería-Gómez, M. A., Calderón-Rangel, D., Rodríguez-López, F., Corona-Díaz, A., & Gámez-Montaño, R. (2024). One-Pot Synthesis of Imidazo[1,2-a]pyridines via Groebke–Blackburn–Bienaymé Reaction and CuAAC Assisted by MW. Chemistry Proceedings, 16(1), 28. https://doi.org/10.3390/ecsoc-28-20190

