A Fluorescein-Based Probe for Selective Detection of ClO− and Resultant Mixture as a Fluorescence Sensor for Br− and I−
Abstract
1. Introduction
2. Materials and Methods
2.1. Chemicals
2.2. Instruments
2.3. DFT Study
3. Results
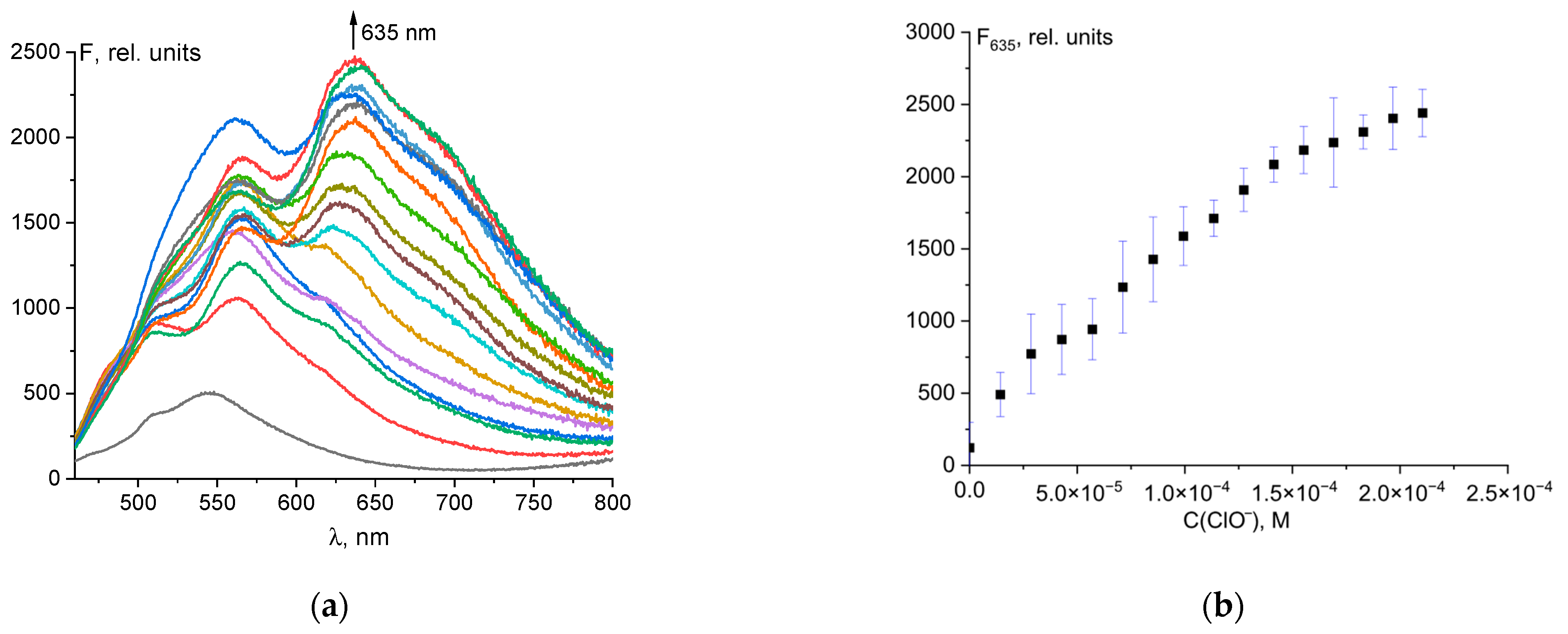
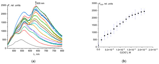
3.1. Selectivity of Probe 1 to ClO− and Other Anions in Solution
3.2. Determination of Bromide Ions Using Probe 1
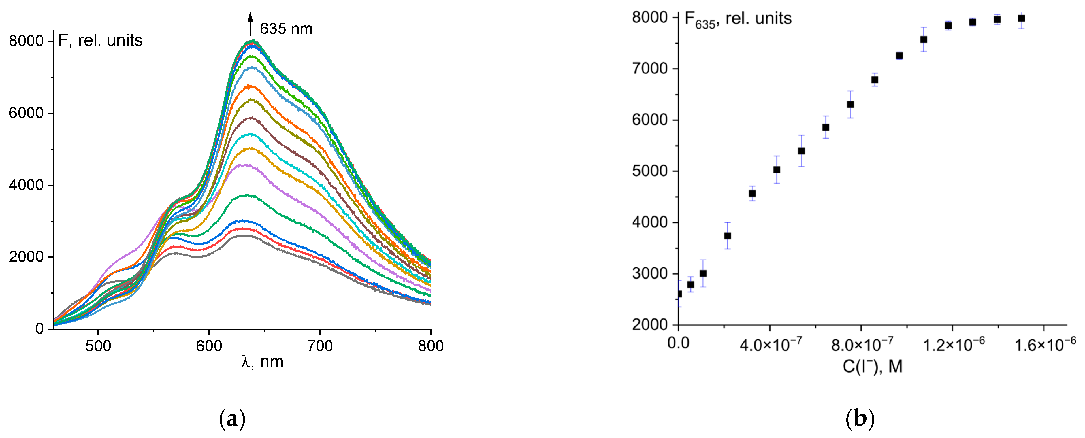
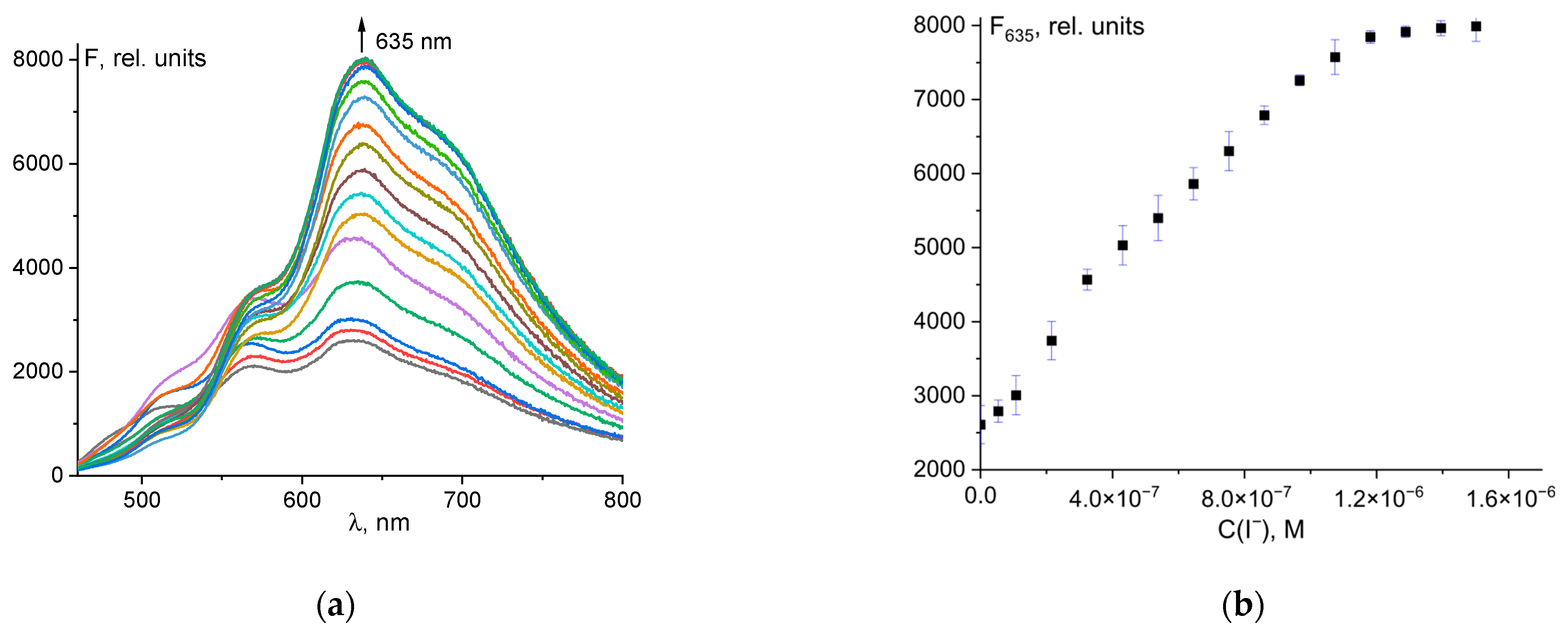
3.3. Determination of Iodide Ions Using Probe 1
3.4. Practical Application
4. Conclusions
Supplementary Materials
Author Contributions
Funding
Data Availability Statement
Acknowledgments
Conflicts of Interest
Abbreviations
| MALDI TOF | Matrix-assisted laser desorption/ionization |
| UV–Vis | Ultraviolet–visible spectroscopy |
References
- Harwood, J.J.; Wen, S. Analysis of Organic and Inorganic Selenium Anions by Ion Chromatography-Inductively Coupled Plasma Atomic Emission Spectroscopy. J. Chromatogr. A 1997, 788, 105–111. [Google Scholar] [CrossRef]
- Arienzo, M.; Capasso, R. Analysis of Metal Cations and Inorganic Anions in Olive Oil Mill Waste Waters by Atomic Absorption Spectroscopy and Ion Chromatography. Detection of Metals Bound Mainly to the Organic Polymeric Fraction. J. Agric. Food Chem. 2000, 48, 1405–1410. [Google Scholar] [CrossRef]
- Aboubakr, H.; Brisset, H.; Siri, O.; Raimundo, J.-M. Highly Specific and Reversible Fluoride Sensor Based on an Organic Semiconductor. Anal. Chem. 2013, 85, 9968–9974. [Google Scholar] [CrossRef]
- López-Ruiz, B. Advances in the Determination of Inorganic Anions by Ion Chromatography. J. Chromatogr. A 2000, 881, 607–627. [Google Scholar] [CrossRef]
- Rezaeian, K.; Khanmohammadi, H. Naked-Eye Detection of Biologically Important Anions by a New Chromogenic Azo-Azomethine Sensor. Spectrochim. Acta Part A Mol. Biomol. Spectrosc. 2014, 133, 31–37. [Google Scholar] [CrossRef] [PubMed]
- Yan, F.; Fan, K.; Bai, Z.; Zhang, R.; Zu, F.; Xu, J.; Li, X. Fluorescein Applications as Fluorescent Probes for the Detection of Analytes. TrAC Trends Anal. Chem. 2017, 97, 15–35. [Google Scholar] [CrossRef]
- Zhou, Y.; Huang, X.; Hu, X.; Tong, W.; Leng, Y.; Xiong, Y. Recent Advances in Colorimetry/Fluorimetry-Based Dual-Modal Sensing Technologies. Biosens. Bioelectron. 2021, 190, 113386. [Google Scholar] [CrossRef]
- Wang, Y.; Yu, H.; Zhang, Y.; Jia, C.; Ji, M. Development and Application of Several Fluorescent Probes in near Infrared Region. Dyes Pigments 2021, 190, 109284. [Google Scholar] [CrossRef]
- Bhaskar, R.; Mageswari, N.; Sankar, D.; Vinoth Kumar, G.G. Fluorescence Chemosensor for Fluoride Ion Using Quinoline-Derived Probe: Molecular Logic Gate Application. Mater. Lett. 2022, 327, 133040. [Google Scholar] [CrossRef]
- Mohanasundaram, D.; Vinoth Kumar, G.G.; Kumar, S.K.; Maddiboyina, B.; Raja, R.P.; Rajesh, J.; Sivaraman, G. Turn-on Fluorescence Sensor for Selective Detection of Fluoride Ion and Its Molecular Logic Gates Behavior. J. Mol. Liq. 2020, 317, 113913. [Google Scholar] [CrossRef]
- Kumar, G.G.V.; Kesavan, M.P.; Sivaraman, G.; Rajesh, J. Colorimetric and NIR Fluorescence Receptors for F− Ion Detection in Aqueous Condition and Its Live Cell Imaging. Sens. Actuators B Chem. 2018, 255, 3194–3206. [Google Scholar] [CrossRef]
- Kumar, G.G.V.; Sharma, P.; Thiruppathi, G.; Sundararaj, P.; Draksharapu, A. A Highly Selective Indole-Based Sensor for Zn2+, Cu2+, and Al3+ Ions with Multifunctional Applications. J. Mater. Chem. B 2025, 13, 7335–7348. [Google Scholar] [CrossRef]
- Attin, T.; Paqué, F.; Ajam, F.; Lennon, Á.M. Review of the Current Status of Tooth Whitening with the Walking Bleach Technique. Int. Endodontic. J. 2003, 36, 313–329. [Google Scholar] [CrossRef]
- Jagadeesan, S.; Kaliyadan, F.; Ashique, K.T.; Karunakaran, A. Bleaching and Skin-lightening Practice among Female Students in South India: A Cross-sectional Survey. J. Cosmet. Dermatol. 2021, 20, 1176–1181. [Google Scholar] [CrossRef]
- Joseph, R. Comparison of Efficacy of Sodium Hypochlorite with Sodium Perborate in the Removal of Stains from Heat Cured Clear Acrylic Resin. J. Indian Prosthodont. Soc. 2009, 9, 6. [Google Scholar] [CrossRef]
- Lineback, C.B.; Nkemngong, C.A.; Wu, S.T.; Li, X.; Teska, P.J.; Oliver, H.F. Hydrogen Peroxide and Sodium Hypochlorite Disinfectants Are More Effective against Staphylococcus aureus and Pseudomonas aeruginosa Biofilms than Quaternary Ammonium Compounds. Antimicrob. Resist. Infect. Control 2018, 7, 154. [Google Scholar] [CrossRef]
- Wang, C.; Collins, D.B.; Abbatt, J.P.D. Indoor Illumination of Terpenes and Bleach Emissions Leads to Particle Formation and Growth. Environ. Sci. Technol. 2019, 53, 11792–11800. [Google Scholar] [CrossRef] [PubMed]
- Erina, A.A.; Borodulin, V.B.; Dereven’kov, I.A.; Makarov, S.V.; Ischenko, A.A. Destruction of Vitamin B12 During Interaction with Active Oxygen Species. ChemChemTech 2024, 67, 6–18. [Google Scholar] [CrossRef]
- Becking, A.G. Complications in the Use of Sodium Hypochlorite during Endodontic Treatment. Oral Surg. Oral Med. Oral Pathol. 1991, 71, 346–348. [Google Scholar] [CrossRef] [PubMed]
- Agneta, M.; Zhaomin, L.; Chao, Z.; Gerald, G. Investigating Synergism and Antagonism of Binary Mixed Surfactants for Foam Efficiency Optimization in High Salinity. J. Pet. Sci. Eng. 2019, 175, 489–494. [Google Scholar] [CrossRef]
- Belloni, J. Photography: Enhancing Sensitivity by Silver-Halide Crystal Doping. Radiat. Phys. Chem. 2003, 67, 291–296. [Google Scholar] [CrossRef][Green Version]
- Royaux, E.; Van Ham, L.; Broeckx, B.J.G.; Van Soens, I.; Gielen, I.; Deforce, D.; Bhatti, S.F.M. Phenobarbital or Potassium Bromide as an Add-on Antiepileptic Drug for the Management of Canine Idiopathic Epilepsy Refractory to Imepitoin. Vet. J. 2017, 220, 51–54. [Google Scholar] [CrossRef] [PubMed]
- Zhao, R.; Kenseth, C.M.; Huang, Y.; Dalleska, N.F.; Seinfeld, J.H. Iodometry-Assisted Liquid Chromatography Electrospray Ionization Mass Spectrometry for Analysis of Organic Peroxides: An Application to Atmospheric Secondary Organic Aerosol. Environ. Sci. Technol. 2018, 52, 2108–2117. [Google Scholar] [CrossRef]
- Ravera, S.; Reyna-Neyra, A.; Ferrandino, G.; Amzel, L.M.; Carrasco, N. The Sodium/Iodide Symporter (NIS): Molecular Physiology and Preclinical and Clinical Applications. Annu. Rev. Physiol. 2017, 79, 261–289. [Google Scholar] [CrossRef]
- Abe, R.; Sayama, K.; Arakawa, H. Dye-Sensitized Photocatalysts for Efficient Hydrogen Production from Aqueous I− Solution under Visible Light Irradiation. J. Photochem. Photobiol. A Chem. 2004, 166, 115–122. [Google Scholar] [CrossRef]
- De Dios Azorín Abraham, J.; Durán, G.T.; Pabón, N.S.T.; Peña-Fernández, A.; Fernández, M.Á.P. Development of a Formulation of Potassium Iodide Tablets as an Antidote against Nuclear Incidents. Saudi Pharm. J. 2023, 31, 101814. [Google Scholar] [CrossRef]
- Guo, K.; Liu, T.; Li, S.; Zhu, D.; Fan, Y.; Fan, R.; Ding, C.; Jin, W.; Hu, J. Construction of a Near-Infrared Excited RhB@UCNPs Fluorescent Probe for Hypochlorite Detection. Microchim. Acta 2025, 192, 493. [Google Scholar] [CrossRef]
- Sultana, S.; Guetzloff, M.B.; Kakumanu, R.; Ostlund, T.R.; Halaweish, F.T.; Logue, B.A. Development of a Rapid Fluorescence Probe for the Determination of Aqueous Hypochlorite. Anal. Lett. 2025, 58, 2249–2263. [Google Scholar] [CrossRef] [PubMed]
- Nam, H.; Batsaikhan, O.; Park, S.; Kim, K.-T.; Kim, C. Easy and Portable Fluorescent Probe for ClO− Detection in Pure Water: A Versatile Platform for Environmental Samples, Bioimaging, and Smartphone-Assisted Technologies. J. Environ. Chem. Eng. 2025, 13, 116804. [Google Scholar] [CrossRef]
- Zhang, Y.; Gan, Y.; Lai, B.; Ran, X.; Cao, D.; Wang, L. A Portable Sensing Platform Using a Novel Dipyrrolopyrazinedione-Based Aza-BODIPY Dimer for Highly Efficient Detection of Hypochlorite and Hydrazine. Spectrochim. Acta Part A Mol. Biomol. Spectrosc. 2025, 341, 126415. [Google Scholar] [CrossRef]
- Zhang, Q.; Zhou, X.; Zhang, Z.; Shen, L.; Wang, Z.; Xu, H.; Redshaw, C.; Zhang, Q. A Schiff Base Dual Mode”Turn-On” Fluorescent Probe for Selective Detection of HClO/ClO− in Buffer. J. Mol. Struct. 2025, 1343, 142876. [Google Scholar] [CrossRef]
- Zhao, H.; Guo, S.; Jian, Y. An ESIPT-Type Fluorescent Probe Based on Benzoquinoline for the Detection of Hypochlorite in Living Cells. J. Mol. Liq. 2025, 437, 128609. [Google Scholar] [CrossRef]
- Liu, M.; Wang, Y.; Wang, M.; Cheng, P.; Xu, K. Naphthalene-Dicyanoisophorone Hybrid Fluorescent Probe for Detection of Hypochlorite Based on Cyclization Mechanism. Sens. Actuators B Chem. 2025, 438, 137808. [Google Scholar] [CrossRef]
- Hammer, M.; Schweitzer, D.; Richter, S.; Königsdörffer, E. Sodium Fluorescein as a Retinal pH Indicator? Physiol. Meas. 2005, 26, N9–N12. [Google Scholar] [CrossRef]
- Vilchez, J.L.; Manzano, E.; Avidad, R.; Orbe, I.; Capitán-Vallvey, L.F. Spectrofluorimetric Determination of Traces of Bromide. Mikrochim. Acta 1994, 113, 29–36. [Google Scholar] [CrossRef]
- Chen, X.; Ma, H. A Selective Fluorescence-on Reaction of Spiro Form Fluorescein Hydrazide with Cu(II). Anal. Chim. Acta 2006, 575, 217–222. [Google Scholar] [CrossRef]
- Zavalishin, M.N.; Gamov, G.A.; Kiselev, A.N.; Nikitin, G.A. A Fluorescein Conjugate as Colorimetric and Red-Emissive Fluorescence Chemosensor for Selective Recognition Cu2+ Ions. Opt. Mater. 2024, 153, 115580. [Google Scholar] [CrossRef]
- Xie, Z.; Huo, F.; Su, J.; Yang, Y.; Yin, C.; Yan, X.; Jin, S. Sensitive Colorimetric and Fluorescent Detection of Mercury Using Fluorescein Derivations. OJAB 2012, 01, 44–52. [Google Scholar] [CrossRef]
- Chen, X.; Pradhan, T.; Wang, F.; Kim, J.S.; Yoon, J. Fluorescent Chemosensors Based on Spiroring-Opening of Xanthenes and Related Derivatives. Chem. Rev. 2012, 112, 1910–1956. [Google Scholar] [CrossRef]
- Ali, M.; Memon, N.; Mallah, M.A.; Channa, A.S.; Gaur, R.; Jiahai, Y. Recent Development in Fluorescent Probes for Copper Ion Detection. Curr. Top. Med. Chem. 2022, 22, 835–854. [Google Scholar] [CrossRef] [PubMed]
- Maity, S.; Maity, A.C.; Das, A.K.; Bhattacharyya, N. Dual-Mode Chemosensor for the Fluorescence Detection of Zinc and Hypochlorite on a Fluorescein Backbone and Its Cell-Imaging Applications. Anal. Methods 2022, 14, 2739–2744. [Google Scholar] [CrossRef]
- Tachapermpon, Y.; Chaneam, S.; Charoenpanich, A.; Sirirak, J.; Wanichacheva, N. Highly Cu2+-Sensitive and Selective Colorimetric and Fluorescent Probes: Utilizations in Batch, Flow Analysis and Living Cell Imaging. Sens. Actuators B Chem. 2017, 241, 868–878. [Google Scholar] [CrossRef]
- Mohammad, H.; Islam, A.S.M.; Prodhan, C.; Ali, M. A Fluorescein-Based Chemosensor for “Turn-on” Detection of Hg2+ and the Resultant Complex as a Fluorescent Sensor for S2− in Semi-Aqueous Medium with Cell-Imaging Application: Experimental and Computational Studies. New J. Chem. 2019, 43, 5297–5307. [Google Scholar] [CrossRef]
- Erdemir, S.; Aydin, D.; Kocyigit, O. Nanomolar “Turn-On” Hg2+ Detection by a Fluorescein Based Fluorescent Probe: DFT Calculations, Bioimaging and on-Site Assay Kit Studies. Mater. Chem. Phys. 2023, 310, 128376. [Google Scholar] [CrossRef]
- Mohammad, H.; Saleh Musha Islam, A.; Sasmal, M.; Prodhan, C.; Ali, M. A Fluorescein-2-(Pyridin-2-Ylmethoxy) Benzaldehyde Conjugate for Fluorogenic Turn-ON Recognition of Hg2+ in Water and Living Cells with Logic Gate and Memory Device Applications. Inorganica Chim. Acta 2022, 543, 121165. [Google Scholar] [CrossRef]
- Zavalishin, M.N.; Kiselev, A.N.; Isagulieva, A.K.; Shibaeva, A.V.; Kuzmin, V.A.; Morozov, V.N.; Zevakin, E.A.; Petrova, U.A.; Knyazeva, A.A.; Eroshin, A.V.; et al. Shedding Light on Heavy Metal Contamination: Fluorescein-Based Chemosensor for Selective Detection of Hg2+ in Water. Int. J. Mol. Sci. 2024, 25, 3186. [Google Scholar] [CrossRef]
- Zavalishin, M.N.; Pogonin, A.E.; Gamov, G.A. Hg2+-Induced Hydrolysis of Fluorescein Hydrazone: A New Fluorescence Probe for Selective Recognition Hg2+ in an Aqueous Solution. J. Mol. Struct. 2025, 1334, 141930. [Google Scholar] [CrossRef]
- Leng, X.; Wang, D.; Mi, Z.; Zhang, Y.; Yang, B.; Chen, F. Novel Fluorescence Probe toward Cu2+ Based on Fluorescein Derivatives and Its Bioimaging in Cells. Biosensors 2022, 12, 732. [Google Scholar] [CrossRef]
- Yang, G.; Meng, X.; Fang, S.; Wang, L.; Wang, Z.; Wang, F.; Duan, H.; Hao, A. Two Novel Pyrazole-Based Chemosensors: “Naked-Eye” Colorimetric Recognition of Ni2+ and Al3+ in Alcohol and Aqueous DMF Media. New J. Chem. 2018, 42, 14630–14641. [Google Scholar] [CrossRef]
- Frisch, M.J.; Trucks, G.W.; Schlegel, H.B.; Scuseria, G.E.; Robb, M.A.; Cheeseman, J.R.; Scalmani, G.; Barone, V.; Petersson, G.A.; Nakatsuji, H.; et al. Gaussian 09, Revision D.01; Gaussian, Inc.: Wallingford, CT, USA, 2016.
- Becke, A.D. Density-functional Thermochemistry. III. The Role of Exact Exchange. J. Chem. Phys. 1993, 98, 5648–5652. [Google Scholar] [CrossRef]
- Lee, C.; Yang, W.; Parr, R.G. Development of the Colle-Salvetti Correlation-Energy Formula into a Functional of the Electron Density. Phys. Rev. B 1988, 37, 785–789. [Google Scholar] [CrossRef] [PubMed]
- Krishnan, R.; Binkley, J.S.; Seeger, R.; Pople, J.A. Self-Consistent Molecular Orbital Methods. XX. A Basis Set for Correlated Wave Functions. J. Chem. Phys. 1980, 72, 650–654. [Google Scholar] [CrossRef]
- Barone, V.; Cossi, M. Quantum Calculation of Molecular Energies and Energy Gradients in Solution by a Conductor Solvent Model. J. Phys. Chem. A 1998, 102, 1995–2001. [Google Scholar] [CrossRef]
- Chemcraft—Graphical Program for Visualization of Quantum Chemistry Computations. Available online: https://www.chemcraftprog.com/index.html (accessed on 17 February 2023).
- Chen, X.; Wang, X.; Wang, S.; Shi, W.; Wang, K.; Ma, H. A Highly Selective and Sensitive Fluorescence Probe for the Hypochlorite Anion. Chemistry 2008, 14, 4719–4724. [Google Scholar] [CrossRef]
- Wang, B.; Chen, D.; Kambam, S.; Wang, F.; Wang, Y.; Zhang, W.; Yin, J.; Chen, H.; Chen, X. A Highly Specific Fluorescent Probe for Hypochlorite Based on Fluorescein Derivative and Its Endogenous Imaging in Living Cells. Dyes Pigments 2015, 120, 22–29. [Google Scholar] [CrossRef]
- Zhang, C.-C.; Gong, Y.; Yuan, Y.; Luo, A.; Zhang, W.; Zhang, J.; Zhang, X.; Tan, W. An Efficient Ratiometric Fluorescent Excimer Probe for Hypochlorite Based on a Cofacial Xanthene-Bridged Bispyrene. Anal. Methods 2014, 6, 609–614. [Google Scholar] [CrossRef]
- Long, L.; Zhang, D.; Li, X.; Zhang, J.; Zhang, C.; Zhou, L. A Fluorescence Ratiometric Sensor for Hypochlorite Based on a Novel Dual-Fluorophore Response Approach. Anal. Chim. Acta 2013, 775, 100–105. [Google Scholar] [CrossRef]
- Perrin, D.D.; Belcher, R.R. The Selection of Masking Agents for Use in Analytical Chemistry. C R C Crit. Rev. Anal. Chem. 1975, 5, 85–118. [Google Scholar] [CrossRef]
- World Health Organization. Guidelines for Drinking-Water Quality: Fourth Edition Incorporating the First and Second Addenda; WHO: Geneva, Switzerland, 2023; ISBN 978-92-4-004506-4. [Google Scholar]
- Lavis, L.D. Teaching Old Dyes New Tricks: Biological Probes Built from Fluoresceins and Rhodamines. Annu. Rev. Biochem. 2017, 86, 825–843. [Google Scholar] [CrossRef]
- Farkas, L.; Lewin, M.; Bloch, R. The Reaction between Hypochlorite and Bromides. J. Am. Chem. Soc. 1949, 71, 1988–1991. [Google Scholar] [CrossRef]
- Williams, P.M.; Robertson, K.J. Determination of HCIO Plus CIO− by Bromination of Fluorescein. J. Water Pollut. Control Fed. 1980, 52, 2167–2173. [Google Scholar]
- Gerritsen, C.M.; Gazda, M.; Margerum, D.W. Non-Metal Redox Kinetics: Hypobromite and Hypoiodite Reactions with Cyanide and the Hydrolysis of Cyanogen Halides. Inorg. Chem. 1993, 32, 5739–5748. [Google Scholar] [CrossRef]
- Wren, J.C.; Paquette, J.; Sunder, S.; Ford, B.L. Iodine Chemistry in the +1 Oxidation State. II. A Raman and Uv–Visible Spectroscopic Study of the Disproportionation of Hypoiodite in Basic Solutions. Can. J. Chem. 1986, 64, 2284–2296. [Google Scholar] [CrossRef]
- Dohi, T.; Kita, Y. Oxidizing Agents. In Iodine Chemistry and Applications; Kaiho, T., Ed.; Wiley: Hoboken, NJ, USA, 2014; pp. 277–301. ISBN 978-1-118-46629-2. [Google Scholar]
- Tao, Y.; Jin, Y.; Cui, Y.; Yu, T.; Ji, J.; Zhu, W.; Fang, M.; Li, C. A Novel Fluorescent Probe Based on Carbazole-Thiophene for the Recognition of Hypochlorite and Its Applications. Spectrochim. Acta Part Mol. Biomol. Spectrosc. 2024, 310, 123912. [Google Scholar] [CrossRef] [PubMed]
- Xia, W.; Yuan, Y.; Shen, S.; Zhu, Y.; Wang, Y.; Hou, Y.; Huang, B.; Tian, M.; Feng, F. A Novel Diaminomaleonitrile-Based Fluorescent Probe for the Fast Detection of Hypochlorite in Water Samples and Foods. J. Food Compos. Anal. 2024, 128, 106053. [Google Scholar] [CrossRef]
- Wang, L.; Li, B.; Jiang, C.; Sun, R.; Hu, P.; Chen, S.; Wu, W. A BODIPY Based Fluorescent Probe for the Rapid Detection of Hypochlorite. J. Fluoresc. 2018, 28, 933–941. [Google Scholar] [CrossRef]
- Vinayagam, D.; Subramanian, K. A Phenothiazine-Functionalized Pyridine-Based AIEE-Active Molecule: A Versatile Molecular Probe for Highly Sensitive Detection of Hypochlorite and Picric Acid. RSC Adv. 2024, 14, 5149–5158. [Google Scholar] [CrossRef]
- Yu, G.-H.; Hu, H.-R.; Liu, R.-B.; Sheng, G.-Z.; Niu, J.-J.; Fang, Y.; Wang, K.-P.; Hu, Z.-Q. A Triphenylamine-Based Fluorescence Probe for Detection of Hypochlorite in Mitochondria. Spectrochim. Acta Part Mol. Biomol. Spectrosc. 2023, 299, 122830. [Google Scholar] [CrossRef]
- Xu, L.; Xu, Y.; Zhu, W.; Xu, Z.; Chen, M.; Qian, X. Fluorescence Sensing of Iodide and Bromide in Aqueous Solution: Anion Ligand Exchanging and Metal Ion Removing. New J. Chem. 2012, 36, 1435–1438. [Google Scholar] [CrossRef]
- Singh, A.; Singh, A.; Singh, N.; Jang, D.O. Selective Detection of Hg(II) with Benzothiazole-Based Fluorescent Organic Cation and the Resultant Complex as a Ratiometric Sensor for Bromide in Water. Tetrahedron 2016, 72, 3535–3541. [Google Scholar] [CrossRef]
- Ko, Y.G.; Na, W.S.; Mayank; Singh, N.; Jang, D.O. Triazole-Coupled Benzimidazole-Based Fluorescent Sensor for Silver, Bromide, and Chloride Ions in Aqueous Media. J. Fluoresc. 2019, 29, 945–952. [Google Scholar] [CrossRef] [PubMed]
- Kim, J.; Lee, S.; Han, M.S. pH-Guided Fluorescent Sensing Probe for the Discriminative Detection of Cl− and Br− in Human Serum. Anal. Chim. Acta 2022, 1210, 339879. [Google Scholar] [CrossRef] [PubMed]
- Kumawat, L.K.; Abogunrin, A.A.; Kickham, M.; Pardeshi, J.; Fenelon, O.; Schroeder, M.; Elmes, R.B.P. Squaramide—Naphthalimide Conjugates as “Turn-On” Fluorescent Sensors for Bromide Through an Aggregation-Disaggregation Approach. Front. Chem. 2019, 7. [Google Scholar] [CrossRef]
- Shao, J.; Qiao, Y.-H.; Lin, H.; Lin, H.-K. A Novel Switch-on Fluorescent Receptor for Bromide Based on an Amide Group. J. Incl. Phenom. Macrocycl. Chem. 2008, 62, 99–103. [Google Scholar] [CrossRef]
- Alreja, P.; Kaur, N. A New Multifunctional 1, 10-Phenanthroline Based Fluorophore for Anion and Cation Sensing. J. Lumin. 2015, 168, 186–191. [Google Scholar] [CrossRef]
- Deng, L.; Xiong, J.; Liu, W.; Wu, L.; Hu, H.; Wu, J.; Liu, Y.; Yu, L.; Zhou, Y.; Gao, W.; et al. A Novel Fluorescence Sensor for Iodide Detection Based on the 1,3-Diaryl Pyrazole Unit with AIE and Mechanochromic Fluorescence Behavior. Molecules 2023, 28, 7111. [Google Scholar] [CrossRef]
- Ren, S.H.; Liu, S.G.; Ling, Y.; Li, N.B.; Luo, H.Q. Facile Method for Iodide Ion Detection via the Fluorescence Decrease of Dihydrolipoic Acid/Beta-Cyclodextrin Protected Ag Nanoclusters. Spectrochim. Acta Part Mol. Biomol. Spectrosc. 2019, 212, 199–205. [Google Scholar] [CrossRef]
- Singha, D.K.; Majee, P.; Mondal, S.K.; Mahata, P. A Luminescent Cadmium Based MOF as Selective and Sensitive Iodide Sensor in Aqueous Medium. J. Photochem. Photobiol. A Chem. 2018, 356, 389–396. [Google Scholar] [CrossRef]
- Cheng, H.-J.; Yan, H.; Sun, Y.-L.; Lu, C.-Y.; Huang, T.-Y.; Chen, S.-J.; Hu, C.-H.; Wu, Y.-Y.; Wu, A.-T. A Simple and Highly Selective Receptor for Iodide in Aqueous Solution. Analyst 2012, 137, 571–574. [Google Scholar] [CrossRef]
- Lee, D.Y.; Singh, N.; Kim, M.J.; Jang, D.O. Chromogenic and Fluorescent Recognition of Iodide with a Benzimidazole-Based Tripodal Receptor. Org. Lett. 2011, 13, 3024–3027. [Google Scholar] [CrossRef]
- Liu, Q.; Xiao, M.; Ding, H.; Fan, C.; Liu, G.; Pu, S. A Water-Soluble Colorimetric and Ratiometric Fluorescent Probe Based on Phenothiazine for the Detection of Hypochlorite Ion. Dye. Pigment. 2023, 215, 111194. [Google Scholar] [CrossRef]











| Structure | HOMO | LUMO |
|---|---|---|
| 4H | ![]() | ![]() |
| 4Br | ![]() | ![]() |
| 4I | ![]() | ![]() |
| Analyte | Added, µM | Found, µM | Recovery, % |
|---|---|---|---|
| ClO− | 40.00 μM | 42.18 ± 1.85 μM | 105.45 |
| 80.00 μM | 85.17 ± 5.68 μM | 106.46 | |
| Br− | 1.00 μM | 0.92 ± 0.10 μM | 92.00 |
| 3.00 μM | 2.94 ± 0.19 μM | 98.00 | |
| I− | 0.4 μM | 0.45 ± 0.11 μM | 112.5 |
| 0.8 μM | 0.78 ± 0.08 μM | 97.50 |
Disclaimer/Publisher’s Note: The statements, opinions and data contained in all publications are solely those of the individual author(s) and contributor(s) and not of MDPI and/or the editor(s). MDPI and/or the editor(s) disclaim responsibility for any injury to people or property resulting from any ideas, methods, instructions or products referred to in the content. |
© 2025 by the authors. Licensee MDPI, Basel, Switzerland. This article is an open access article distributed under the terms and conditions of the Creative Commons Attribution (CC BY) license (https://creativecommons.org/licenses/by/4.0/).
Share and Cite
Zavalishin, M.N.; Nikitin, G.A.; Osokin, V.S.; Gamov, G.A. A Fluorescein-Based Probe for Selective Detection of ClO− and Resultant Mixture as a Fluorescence Sensor for Br− and I−. Analytica 2025, 6, 58. https://doi.org/10.3390/analytica6040058
Zavalishin MN, Nikitin GA, Osokin VS, Gamov GA. A Fluorescein-Based Probe for Selective Detection of ClO− and Resultant Mixture as a Fluorescence Sensor for Br− and I−. Analytica. 2025; 6(4):58. https://doi.org/10.3390/analytica6040058
Chicago/Turabian StyleZavalishin, Maksim N., Gleb A. Nikitin, Vladimir S. Osokin, and George A. Gamov. 2025. "A Fluorescein-Based Probe for Selective Detection of ClO− and Resultant Mixture as a Fluorescence Sensor for Br− and I−" Analytica 6, no. 4: 58. https://doi.org/10.3390/analytica6040058
APA StyleZavalishin, M. N., Nikitin, G. A., Osokin, V. S., & Gamov, G. A. (2025). A Fluorescein-Based Probe for Selective Detection of ClO− and Resultant Mixture as a Fluorescence Sensor for Br− and I−. Analytica, 6(4), 58. https://doi.org/10.3390/analytica6040058







