Efficiency Studies of Fast Neutron Tracking Using MCNP
Abstract
:1. Introduction
2. Basic Idea of Fast Neutron Tracking
3. MCNP Simulations
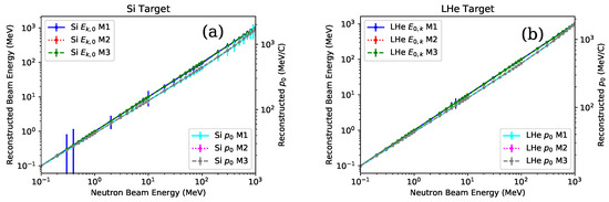
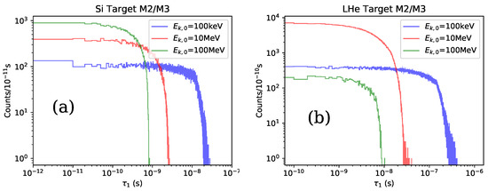
4. Results and Discussion
5. Ion Range
6. Conclusions
Author Contributions
Funding
Data Availability Statement
Acknowledgments
Conflicts of Interest
References
- Wang, Z.; Morris, C.L. Tracking fast neutrons. Nucl. Instrum. Methods Phys. Res. Sect. A Accel. Spectrom. Detect. Assoc. Equip. 2013, 726, 145–154. [Google Scholar] [CrossRef] [Green Version]
- Werner, C.J. (Ed.) MCNP Users Manual-Code Version 6.2. Los Alamos National Laboratory, LA-UR-17-29981. 2017. Available online: https://mcnp.lanl.gov/pdf_files/la-ur-17-29981.pdf (accessed on 10 March 2022).
- Ziegler, J.F.; Biersack, J.P. The Stopping and Range of Ions in Matter; Springer: Boston, MA, USA, 1985; Chapter 3; pp. 93–129. [Google Scholar] [CrossRef]
- Koning, A.; Hilaire, S.; Goriely, S. TALYS 1.95 A Nuclear Reaction Program 28 December 2019. Available online: http://www.talys.eu/ (accessed on 10 March 2022).
- Koning, A.; Hilaire, S.; Duijvestijn, M.C. TALYS-1.0. In Proceedings of the International Conference on Nuclear Data for Science and Technology, Nice, France, 22–27 April 2007; pp. 211–214. [Google Scholar]
- Wang, Z.; Anagnost, K.; Barnes, C.W.; Dattelbaum, D.M.; Fossum, E.R.; Lee, E.; Liu, J.; Ma, J.J.; Meijer, W.Z.; Nie, W.; et al. Billion-pixel x-ray camera (BiPC-X). Rev. Sci. Instrum. 2021, 92, 043708. [Google Scholar] [CrossRef] [PubMed]
- Weinfurther, K.; Mattingly, J.; Brubaker, E.; Steele, J. Model-based design evaluation of a compact, high-efficiency neutron scatter camera. Nucl. Instrum. Methods Phys. Res. Sect. A Accel. Spectrom. Detect. Assoc. Equip. 2018, 883, 115–135. [Google Scholar] [CrossRef]
- Musumarra, A.; Leone, F.; Massimi, C.; Pellegriti, M.; Romano, F.; Spighi, R.; Villa, M. RIPTIDE: A novel recoil-proton track imaging detector for fast neutrons. J. Instrum. 2021, 16, C12013. [Google Scholar] [CrossRef]













Publisher’s Note: MDPI stays neutral with regard to jurisdictional claims in published maps and institutional affiliations. |
© 2022 by the authors. Licensee MDPI, Basel, Switzerland. This article is an open access article distributed under the terms and conditions of the Creative Commons Attribution (CC BY) license (https://creativecommons.org/licenses/by/4.0/).
Share and Cite
Chu, P.; James, M.R.; Wang, Z. Efficiency Studies of Fast Neutron Tracking Using MCNP. J. Nucl. Eng. 2022, 3, 117-127. https://doi.org/10.3390/jne3020007
Chu P, James MR, Wang Z. Efficiency Studies of Fast Neutron Tracking Using MCNP. Journal of Nuclear Engineering. 2022; 3(2):117-127. https://doi.org/10.3390/jne3020007
Chicago/Turabian StyleChu, Pinghan, Michael R. James, and Zhehui Wang. 2022. "Efficiency Studies of Fast Neutron Tracking Using MCNP" Journal of Nuclear Engineering 3, no. 2: 117-127. https://doi.org/10.3390/jne3020007
APA StyleChu, P., James, M. R., & Wang, Z. (2022). Efficiency Studies of Fast Neutron Tracking Using MCNP. Journal of Nuclear Engineering, 3(2), 117-127. https://doi.org/10.3390/jne3020007

