Comprehensive Investigation of Relative Permittivity Effects on Perovskite Solar Cell Performance Using SCAPS-1D and Impedance Spectroscopy
Abstract
1. Introduction
2. Method
2.1. Simulation Parameters Using SCAPS-1D
2.2. Device Structure Modeled
2.3. Simulation Steps
2.4. Impedance Spectroscopy Analysis of CH3NH3PbI3
3. Results and Discussion
3.1. J-V Characteristics
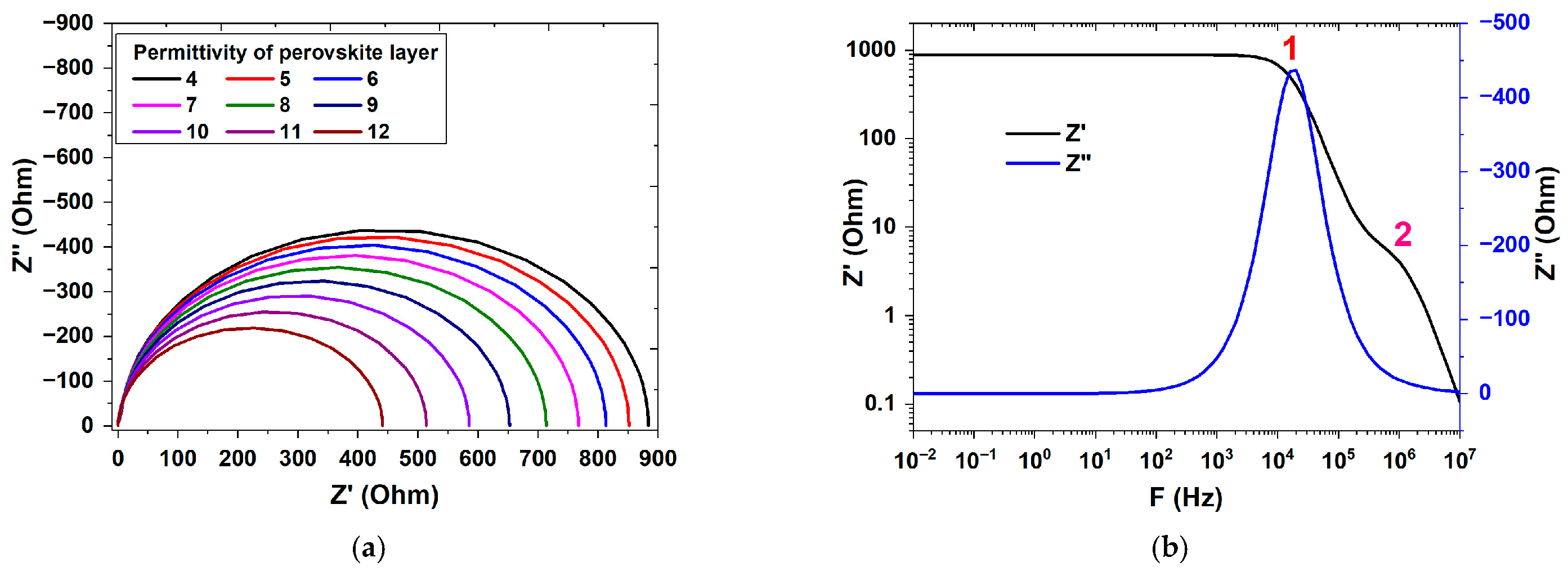
3.2. Complex Impedance Simulations
3.2.1. Complex Modulus Simulations
3.2.2. Analysis of Extracted Parameters from the Equivalent Electrical Circuit
4. Conclusions
Author Contributions
Funding
Institutional Review Board Statement
Informed Consent Statement
Data Availability Statement
Conflicts of Interest
References
- Arif, H.; Tahir, M.; Sagir, M.; Alrobei, H.; Alzaid, M.; Ullah, S.; Hussien, M. Effect of potassium on the structural, electronic, and optical properties of CsSrF3 fluro perovskite: First-principles computation with GGA-PBE. Optik 2022, 259, 168741. [Google Scholar] [CrossRef]
- Mishra, K.; Chahar, S.; Sharma, R. An extensive investigation of structural, electronic, and optical properties of inorganic perovskite Ca3AsCl3 for photovoltaic and optoelectronic applications: A first-principles approach using Quantum ATK Tool. Solid State Commun. 2024, 390, 115623. [Google Scholar] [CrossRef]
- Shafiq, M.; Tahir, M.B.; Ahmed, B.; Dahshan, A.; Ali, H.E.; Sagir, M. DFT screening of Ga-dopped ScInO3 perovskite for optoelectronic and solar cell applications. Inorg. Chem. Commun. 2024, 161, 112054. [Google Scholar] [CrossRef]
- Han, J.; Park, K.; Tan, S.; Vaynzof, Y.; Xue, J.; Diau, E.W.G.; Bawendi, M.G.; Lee, J.W.; Jeon, I. Perovskite solar cells. Nat. Rev. Methods Primers 2025, 5, 3. [Google Scholar] [CrossRef]
- Miglani, A.; Ogale, S.B.; Game, O.S. Architectural innovations in perovskite solar cells. Small 2025, 21, e2411355. [Google Scholar] [CrossRef] [PubMed]
- Haider, S.Z.; Anwar, H.; Wang, M. A comprehensive device modelling of perovskite solar cell with inorganic copper iodide as hole transport material. Semicond. Sci. Technol. 2018, 33, 035001. [Google Scholar] [CrossRef]
- Jarwal, D.K.; Kumar, A.; Mishra, A.K.; Ratan, S.; Upadhyay, R.K.; Kumar, C.; Mukherjee, B.; Jit, S. Fabrication and TCAD validation of ambient air-processed ZnO NRs/CH3NH3PbI3/spiro-OMeTAD solar cells. Superlattices Microstruct. 2020, 143, 106540. [Google Scholar] [CrossRef]
- Bhatt, V.; Kumar, M.; Yadav, P.; Kumar, M.; Yun, J.-H. Low cost and solution processible sandwiched CH3NH3PbI3-xClx based photodetector. Mater. Res. Bull. 2018, 99, 79–85. [Google Scholar] [CrossRef]
- Mortadi, A.; El Hafidi, E.; Monkade, M.; El Moznine, R. Investigating the influence of absorber layer thickness on the performance of perovskite solar cells: A combined simulation and impedance spectroscopy study. Mater. Sci. Energy Technol. 2024, 7, 158–165. [Google Scholar] [CrossRef]
- Chouk, R.; Aguir, C.; Tala-Ighil, R.; Al-Hada, N.M.; Al-Asbahi, B.A.; Khalfaoui, M. Numerical simulation and optimal design of perovskite solar cell based on sensitized zinc oxide electron-transport layer. Multiscale Multidiscip. Model. Exp. Des. 2024, 7, 2893–2900. [Google Scholar] [CrossRef]
- Rahman, S.; Miah, S.; Marma, M.S.W.; Sabrina, T. Simulation based investigation of inverted planar perovskite solar cell with all metal oxide inorganic transport layers. In Proceedings of the 2019 International Conference on Electrical, Computer and Communication Engineering (ECCE), Cox’s Bazar, Bangladesh, 7–9 February 2019; pp. 1–6. [Google Scholar]
- Adhikari, K.R.; Gurung, S.; Bhattarai, B.K.; Soucase, B.M. Comparative study on MAPbI3 based solar cells using different electron transporting materials. Phys. Status Solidi C 2015, 13, 13–17. [Google Scholar] [CrossRef]
- Shamsuddin, A.S.; Fahsyar, P.N.A.; Ludin, N.A.; Burhan, I.; Mohamad, S. Device simulation of perovskite solar cells with molybdenum disulfide as active buffer layer. Bull. Electr. Eng. Informatics 2019, 8, 1251–1259. [Google Scholar] [CrossRef]
- Raoui, Y.; Ez-Zahraouy, H.; Tahiri, N.; El Bounagui, O.; Ahmad, S.; Kazim, S. Performance analysis of MAPbI3 based perovskite solar cells employing diverse charge selective contacts: Simulation study. Sol. Energy 2019, 193, 948–955. [Google Scholar] [CrossRef]
- Crovetto, A.; Huss-Hansen, M.K.; Hansen, O. How the relative permittivity of solar cell materials influences solar cell performance. Sol. Energy 2017, 149, 145–150. [Google Scholar] [CrossRef]
- Gohri, S.; Madan, J.; Pandey, R. Augmenting CIGS solar cell efficiency through multiple grading profile analysis. J. Electron. Mater. 2023, 52, 6335–6349. [Google Scholar] [CrossRef]
- Dasgupta, U.; Saha, S.K.; Pal, A.J. Fully-depleted pn-junction solar cells based on layers of Cu2ZnSnS4 (CZTS) and copper-diffused AgInS2 ternary nanocrystals. Sol. Energy Mater. Sol. Cells 2014, 124, 79–85. [Google Scholar] [CrossRef]
- Irvine, S.; Oklobia, O.; Jones, S.; Lamb, D.; Kartopu, G.; Lu, D.; Xiong, G. Creating metal saturated growth in MOCVD for CdTe solar cells. J. Cryst. Growth 2023, 607, 127124. [Google Scholar] [CrossRef]
- Crovetto, A.; Cazzaniga, A.; Ettlinger, R.B.; Schou, J.; Hansen, O. Optical properties and surface characterization of pulsed laser-deposited Cu2ZnSnS4 by spectroscopic ellipsometry. Thin Solid Film. 2014, 582, 203–207. [Google Scholar] [CrossRef][Green Version]
- Crovetto, A.; Chen, R.; Ettlinger, R.B.; Cazzaniga, A.C.; Schou, J.; Persson, C.; Hansen, O. Dielectric function and double absorption onset of monoclinic Cu2SnS3: Origin of experimental features explained by first-principles calculations. Sol. Energy Mater. Sol. Cells 2016, 154, 121–129. [Google Scholar] [CrossRef][Green Version]
- Chen, C.; Fu, Q.; Guo, P.; Chen, H.; Wang, M.; Luo, W.; Zheng, Z. Ionic transport characteristics of large-size CsPbBr3 single crystals. Mater. Res. Express 2019, 6, 115808. [Google Scholar] [CrossRef]
- Hua, Y.; Sun, X.; Li, X.; Cui, F.; Yue, Z.; Liu, J.; Liu, H.; Zhang, G.; Tao, X. Anisotropic X-ray detection performance of melt-grown CsPbBr 3 single crystals. J. Mater. Chem. C 2023, 11, 9153–9160. [Google Scholar] [CrossRef]
- You, J.; Meng, L.; Song, T.-B.; Guo, T.-F.; Yang, Y.; Chang, W.-H.; Hong, Z.; Chen, H.; Zhou, H.; Chen, Q. Improved air stability of perovskite solar cells via solution-processed metal oxide transport layers. Nat. Nanotechnol. 2016, 11, 75–81. [Google Scholar] [CrossRef]
- Hailegnaw, B.; Sariciftci, N.S.; Scharber, M.C. Impedance spectroscopy of perovskite solar cells: Studying the dynamics of charge Carriers before and after continuous Operation. Phys. Status Solidi A 2020, 217, 2000291. [Google Scholar] [CrossRef]
- Yadav, P.; Pandey, K.; Bhatt, V.; Kumar, M.; Kim, J. Critical aspects of impedance spectroscopy in silicon solar cell characterization: A review. Renew. Sustain. Energy Rev. 2017, 76, 1562–1578. [Google Scholar] [CrossRef]
- Wang, R.; Lin, Z.; Ouyang, X. Tailoring the permittivity of passivated dyes to achieve stable and efficient perovskite solar cells with modulated defects. Mater. Today Adv. 2024, 22, 100501. [Google Scholar] [CrossRef]
- Jarwal, D.K.; Dubey, C.; Baral, K.; Bera, A.; Rawat, G. Comparative analysis and performance optimization of low-cost solution-processed hybrid perovskite-based solar cells with different organic HTLs. IEEE Trans. Electron Devices 2022, 69, 5012–5020. [Google Scholar]
- Musiienko, A.; Moravec, P.; Grill, R.; Praus, P.; Vasylchenko, I.; Pekarek, J.; Tisdale, J.; Ridzonova, K.; Belas, E.; Landová, L. Deep levels, charge transport and mixed conductivity in organometallic halide perovskites. Energy Environ. Sci. 2019, 12, 1413–1425. [Google Scholar] [CrossRef]
- Azpiroz, J.M.; Mosconi, E.; Bisquert, J.; De Angelis, F.; Science, E. Defect migration in methylammonium lead iodide and its role in perovskite solar cell operation. Energy 2015, 8, 2118–2127. [Google Scholar]
- Singh, N.S.; Kumar, L.; Sharma, V.K. Solving the equivalent circuit of a planar heterojunction perovskite solar cell using Lambert W-function. Solid State Commun. 2021, 337, 114439. [Google Scholar] [CrossRef]
- Kumar, C.; Mary, D.M. A novel chaotic-driven Tuna Swarm Optimizer with Newton-Raphson method for parameter identification of three-diode equivalent circuit model of solar photovoltaic cells/modules. Optik 2022, 264, 169379. [Google Scholar] [CrossRef]
- Yu, F.; Huang, G.; Xu, C. An explicit method to extract fitting parameters in lumped-parameter equivalent circuit model of industrial solar cells. Renew. Energy 2020, 146, 2188–2198. [Google Scholar] [CrossRef]
- Song, H.; Hou, J.; Zhang, Y. The measurements and determinants of patent technological value: Lifetime, strength, breadth, and dispersion from the technology diffusion perspective. J. Informetr. 2023, 17, 101370. [Google Scholar]
- Aranda, C.A.; Alvarez, A.O.; Chivrony, V.S.; Das, C.; Rai, M.; Saliba, M. Overcoming ionic migration in perovskite solar cells through alkali metals. Joule 2024, 8, 241–254. [Google Scholar] [CrossRef]
- Erdinç, A.K.; Mutlu, A.; Gültekin, B.; Zafer, C. Impact of Li passivation on recombination and charge transfer at the TiO2/perovskite interface. J. Appl. Electrochem. 2024, 55, 665–678. [Google Scholar]
- Mortadi, A.; Nasrellah, H.; Monkade, M.; El Moznine, R. Investigation of bandgap grading on performances of perovskite solar cell using SCAPS-1D and impedance spectroscopy. Sol. Energy Adv. 2024, 4, 100056. [Google Scholar] [CrossRef]
- Su, Z.; Xu, S. Effective lifetimes of minority carriers in time-resolved photocurrent and photoluminescence of a doped semiconductor: Modelling of a GaInP solar cell. Sol. Energy Mater. Sol. Cells 2019, 193, 292–297. [Google Scholar] [CrossRef]







| S.L. | Properties | NiOx | CH3NH3PbI3 | ZnO |
|---|---|---|---|---|
| 1 | Thickness (nm) | 80 | 700 | 80 |
| 2 | Bandgap (ev) | 3.75 | 1.56 | 3.2 |
| 3 | Affinity (ev) | 2.1 | 3.90 | 4.10 |
| 4 | Dielectric perm | 10.7 | 10 | 8.1 |
| 5 | DOSCB (cm−3) | 2.8 × 1019 | 2.76 × 1018 | 4.5 × 1018 |
| 6 | DOSVB (cm−3) | 1.8 × 1019 | 3.9 × 1018 | 1 × 1018 |
| 7 | µe (cm2/VS) | 12 | 15 | 300 |
| 8 | µh (cm2/VS) | 25 | 15 | 1 |
| 9 | Acceptor concentration (cm−3) | 1 × 1015 | 1 × 1011 | 0 |
| 10 | Donnor concentration (cm−3) | 0 | 0 | 1 × 1019 |
| S.L. | Defect Properties | NiOx | CH3NH3PbI3 | ZnO |
|---|---|---|---|---|
| 1 | Defect type | acceptor | neutral | donor |
| 2 | Total defect density (cm−3) | 1 × 1017 | 1.5 × 1016 | 1 × 1017 |
| 3 | Electron Diffusion length, Ln (nm) | 180 | 510 | 280 |
| 4 | Hole Diffusion length, Lp (nm) | 800 | 510 | 51 |
Disclaimer/Publisher’s Note: The statements, opinions and data contained in all publications are solely those of the individual author(s) and contributor(s) and not of MDPI and/or the editor(s). MDPI and/or the editor(s) disclaim responsibility for any injury to people or property resulting from any ideas, methods, instructions or products referred to in the content. |
© 2025 by the authors. Licensee MDPI, Basel, Switzerland. This article is an open access article distributed under the terms and conditions of the Creative Commons Attribution (CC BY) license (https://creativecommons.org/licenses/by/4.0/).
Share and Cite
Mortadi, A.; Tabbai, Y.; Lizoul, B.; Salhi, I.; Chahid, E.H.; Nasrellah, H.; Mghaiouini, R.; Chahid, E.G. Comprehensive Investigation of Relative Permittivity Effects on Perovskite Solar Cell Performance Using SCAPS-1D and Impedance Spectroscopy. Eng 2025, 6, 371. https://doi.org/10.3390/eng6120371
Mortadi A, Tabbai Y, Lizoul B, Salhi I, Chahid EH, Nasrellah H, Mghaiouini R, Chahid EG. Comprehensive Investigation of Relative Permittivity Effects on Perovskite Solar Cell Performance Using SCAPS-1D and Impedance Spectroscopy. Eng. 2025; 6(12):371. https://doi.org/10.3390/eng6120371
Chicago/Turabian StyleMortadi, Abdelhadi, Yassine Tabbai, Brahim Lizoul, Imane Salhi, El Hadi Chahid, Hamid Nasrellah, Redouane Mghaiouini, and El Ghaouti Chahid. 2025. "Comprehensive Investigation of Relative Permittivity Effects on Perovskite Solar Cell Performance Using SCAPS-1D and Impedance Spectroscopy" Eng 6, no. 12: 371. https://doi.org/10.3390/eng6120371
APA StyleMortadi, A., Tabbai, Y., Lizoul, B., Salhi, I., Chahid, E. H., Nasrellah, H., Mghaiouini, R., & Chahid, E. G. (2025). Comprehensive Investigation of Relative Permittivity Effects on Perovskite Solar Cell Performance Using SCAPS-1D and Impedance Spectroscopy. Eng, 6(12), 371. https://doi.org/10.3390/eng6120371

